Next Article in Journal
Multi-Scale Geometric Feature Extraction and Global Transformer for Real-World Indoor Point Cloud Analysis
Previous Article in Journal
Bounded Rational Players in a Symmetric Random Exchange Market
 
 
Font Type:
Arial Georgia Verdana
Font Size:
Aa Aa Aa
Line Spacing:
Column Width:
Background:
Article

Variable Dose-Constraints Method for Enhancing Intensity-Modulated Radiation Therapy Treatment Planning

1
Graduate School of Health Sciences, Tokushima University, 3-18-15 Kuramoto, Tokushima 770-8509, Japan
2
Faculty of Science, Tanta University, El-Giesh St., Tanta 31527, Egypt
3
Radiation & Proton Therapy Office, Shizuoka Cancer Center, 1007 Shimonagakubo, Nagaizumi 411-8777, Japan
4
Institute of Biomedical Sciences, Tokushima University, 3-18-15 Kuramoto, Tokushima 770-8509, Japan
*
Author to whom correspondence should be addressed.
Mathematics 2024, 12(23), 3826; https://doi.org/10.3390/math12233826
Submission received: 17 October 2024 / Revised: 22 November 2024 / Accepted: 23 November 2024 / Published: 3 December 2024

Abstract

The conventional approach to intensity-modulated radiation therapy treatment planning involves two distinct strategies: optimizing an evaluation function while accounting for dose constraints, and solving feasibility problems using feasibility-seeking projection methods that incorporate inequality constraints. This paper introduces a novel iterative scheme within the framework of continuous dynamical systems, wherein constraint conditions dynamically evolve to enhance the optimization process. The validity of dynamically varying dose constraints is theoretically established through the foundation of continuous-time dynamical systems theory. In particular, we formalize a system of differential equations, with both beam coefficients and dose constraints modeled as state variables. The asymptotic stability of the system’s equilibrium is rigorously proven, ensuring convergence to a solution. In practical terms, we leverage a discretized iteration formula derived from the continuous-time system to achieve rapid computational speed. The mathematical structure of the proposed approach, which directly incorporates dose-volume constraints into the objective function, facilitates significant computational efficiency and solution refinement. The proposed method has an inherent dynamics that approaches more desirable solutions within the set of solutions when the solution to the optimization problem is not an isolated point. This property guarantees the identification of optimal solutions that respect the prescribed dose-volume constraints while enhancing accuracy when such constraints are feasible. By treating dose constraints as variables and concurrently solving the optimization problem with beam coefficients, we can achieve more accurate results when compared with using fixed values for prescribed dose conditions.

1. Introduction

Intensity-modulated radiation therapy [1,2,3] (IMRT) is a sophisticated cancer treatment technique that allows for precise control over the angle and intensity of high-energy radiation beams generated by a linear accelerator. This precision aims to deliver a sufficiently high dose to the planned target volume (PTV) for effective tumor eradication while minimizing the radiation dose to surrounding healthy tissues and organs at risk (OARs). The fundamental challenge in IMRT treatment planning is to find the optimal balance between maximizing the dose to the PTV and minimizing the exposure to OARs. Mathematically, this involves minimizing an objective function [4,5,6,7,8,9] defined over the beam intensity coefficients while solving the feasibility problems [10,11,12] subject to inequality constraints. The objective function typically aims to achieve an optimal dose distribution that meets predefined clinical criteria. However, incorporating dose-volume constraints [13], which are critical for evaluating treatment plans, directly into the optimization objective often results in non-convex and non-differentiable functions. These mathematical characteristics make the optimization process computationally intensive and challenging to solve efficiently [14,15,16]. Feasibility-seeking projection methods [17,18,19] provide an efficient approach to solving IMRT inverse problems that incorporate dose-volume constraints without encountering the problems of non-convexity and non-differentiability. These methods iteratively project the solution onto feasible regions that are defined by the constraints, ensuring that each iteration yields a feasible solution. Traditionally, IMRT optimization methods have relied on fixed dose constraints, which are predefined at the beginning of the optimization process. These static constraints do not adapt to the evolving solution landscape, potentially limiting the quality of the final treatment plan.
To address this limitation, this paper introduces a novel optimization approach that dynamically adjusts constraint conditions during the optimization process. This approach, referred to as the “variable dose-constraints method”, leverages the principles of continuous-time dynamical systems [20,21,22,23] to ensure the theoretical validity of dynamically varying dose constraints. Specifically, we define a piecewise-smooth system of simultaneous differential equations that includes both beam coefficients x ( t ) R + J and some dose constraints y ( t ) R + I as state variables:
d x d t = F θ ( x , y ) , d y d t = G θ ( x , y ) ,
for ( x , y ) Ω θ , where θ Ω θ R + J + I (with each domain Ω θ having a non-empty interior), and R + denotes the set of non-negative real numbers. The trajectory of the system is a connection of the trajectories governed by the dynamics of the subsystems that are parameterized by θ , each having a smooth vector field consisting of F θ ( x , y ) and G θ ( x , y ) , and where switching occurs when each subsystem reaches a certain condition on the state variables. The vectors x and y are mutually coupled, and it is expected that the solutions will converge to a steady state while influencing each other. We rigorously prove the stability of the equilibrium points corresponding to ideal solutions, thereby establishing the soundness of the proposed method. For practical purposes, an iteration formula derived from the discretization of the defined continuous-time system was used to achieve a fast computational speed.
In conventional approaches, achieving stricter constraints than feasible dose-volume constraints requires setting new constraints and solving the optimization problem separately. The proposed method introduces an inherent dynamics structure that consistently converges to more desirable solutions within the feasible region, particularly when the solution is not unique. Consequently, this method consistently seeks an optimal solution that provides a more stringent evaluation than specified dose-volume constraints, provided that the specified dose-volume constraint is feasible. We validate the effectiveness of the proposed variable dose-constraint method through numerical experiments, demonstrating superior results compared with the conventional fixed dose-constraint approach. This innovation promises to enhance the quality and efficiency of IMRT treatment planning, potentially leading to better clinical outcomes for patients.

2. IMRT Treatment Planning

For IMRT treatment planning, the radiation oncologist has to determine the PTV to be irradiated and the OARs to be spared. One can partition the radiation beam into many beamlets. Let J be the total number of beamlets computed from the multiplication of the number of beamlets in each beam head and the number of delivered beams, and let each component ( x ) j for j = 1 , 2 , , J of x R + J be the intensity in the corresponding beamlet. If there are volumes of PTV and OAR with I 1 and I 2 voxels, then the corresponding problem for dose calculations takes the forms of
D 1 = K 1 x
and
D 2 = K 2 x ,
respectively, where D 1 R + I 1 and D 2 R + I 2 are, respectively, the dose vectors whose components; ( D 1 ) i 1 for i 1 = 1 , 2 , , I 1 and ( D 2 ) i 2 for i 2 = 1 , 2 , , I 2 , represent the total doses deposited in each voxel of the patient’s three-dimensional volume; and K 1 R + I 1 × J and K 2 R + I 2 × J , respectively, consist of all the elements ( ( K 1 ) j ) i 1 and ( ( K 2 ) j ) i 2 representing the doses deposited in the i 1 th and i 2 th voxels due to the unit intensity in the jth beamlet. We call K 1 and K 2 the dose influence (or deposition) matrices. Let b 1 L and b 2 U represent the lower and upper bounds on the dose delivered to each voxel of PTV and OAR, respectively ( b 1 L > 0 and b 2 U 0 ). Additionally, we define an upper bound on the dose delivered to each voxel of PTV as b 1 U > b 1 L to avoid the excessively high doses inside the PTV. A similar definition can be applied to the existence of multiple PTVs and OARs, as well as to the additional dose constraints in terms of upper and lower bounds.
Let us consider the consistent and acceptable systems such that IMRT treatment plans based on dose constraints and dose-volume constraints are solvable, respectively.
Notation 1.
For a given x R + J , we use the index sets:
I 1 U ( x ) = i 1 I 1 : K 1 x i 1 b 1 U , I 1 L ( x ) = i 1 I 1 : K 1 x i 1 b 1 L , a n d I 2 U ( x ) = i 2 I 2 : K 2 x i 2 b 2 U
where
I 1 = 1 , 2 , , I 1 a n d I 2 = 1 , 2 , , I 2 .
Definition 1.
For a given IMRT treatment planning system ( K 1 , b 1 U ) , ( K 1 , b 1 L ) , ( K 2 , b 2 U ) , we define the following sets
E 1 U : = { e R + J : I 1 U ( e ) = I 1 } , E 1 L : = { e R + J : I 1 L ( e ) = I 1 } , a n d E 2 U : = { e R + J : I 2 U ( e ) = I 2 } ;
and we say that the system is consistent if the set
E : = E 1 U E 1 L E 2 U
is not empty; otherwise, it is inconsistent.
Definition 2.
For a given x R + J and each set of dose volumes and their conditions ( K 1 , b 1 U , ζ 1 U ), ( K 1 , b 1 L , ζ 1 L ), and ( K 2 , b 2 U , ζ 2 U ), where ζ 1 U 1 , ζ 1 L 1 , and ζ 2 U 1 are the prescribed proportion rates of the total voxels I 1 , I 1 , and I 2 , respectively, the corresponding dose distribution is partly acceptable if I 1 U ( x ) ζ 1 U I 1 , I 1 L ( x ) ζ 1 L I 1 , or I 2 U ( x ) ζ 2 U I 2 ; specifically, it is partly acceptable each time one of the following inequalities
η 1 U ( x ) : = I 1 U ( x ) I 1 ζ 1 U , η 1 L ( x ) : = I 1 L ( x ) I 1 ζ 1 L , a n d η 2 U ( x ) : = I 2 U ( x ) I 2 ζ 2 U
is satisfied for some x, where · indicates the cardinality of the set. It is acceptable if all of the above inequalities are satisfied for the same x.
We define the IMRT treatment planning system as acceptable if there exists a common beam set such that the dose distributions in PTVs and OARs are partly acceptable for all dose-volume constraints.
Definition 3.
For a given IMRT treatment planning system ( K 1 , b 1 U , ζ 1 U ) , ( K 1 , b 1 L , ζ 1 L ) , ( K 2 , b 2 U , ζ 2 U ) , we define the sets for the situation where each dose distribution is partly acceptable:
A 1 U : = { a R + J : η 1 U ( a ) ζ 1 U } , A 1 L : = { a R + J : η 1 L ( a ) ζ 1 L } , a n d A 2 U : = { a R + J : η 2 U ( a ) ζ 2 U } .
Then, the system is acceptable if the set
A : = A 1 U A 1 L A 2 U
is not empty; otherwise, it is partly acceptable or unacceptable.
It is considered that the set E is a special case of the set A with ζ 1 U = 1 , ζ 1 L = 1 , and ζ 2 U = 1 . We can also say that if the IMRT treatment planning system is consistent, then it is acceptable.

3. Proposed Dynamical System

For a given consistent system ( K 1 , b 1 U ) , ( K 1 , b 1 L ) , ( K 2 , b 2 U ) or an acceptable system ( K 1 , b 1 U , ζ 1 U ) , ( K 1 , b 1 L , ζ 1 L ) , ( K 2 , b 2 U , ζ 2 U ) in IMRT treatment planning, prepare a vector y R + I that is treated as a part of the variable dose constraints to be estimated.
Let us assume that we chose the sets of the prescribed dose conditions ( K 1 , b 1 L ) and ( K 2 , b 2 U ) as variables
y = y 1 y 2 R + I ,
with y 1 R + I 1 , y 2 R + I 2 , and I = I 1 + I 2 , although other combinations are applicable if at most one condition for every volume of PTV or OAR is chosen.

3.1. Continuous- and Discrete-Time Dynamical Systems

We present a continuous-time version of the variable dose-constraints method that is an initial-value problem for the system of differential equations with state variables ( x ( t ) , y ( t ) ) R + J + I , and it is defined by
d x ( t ) d t = f ( x ( t ) , y ( t ) ) , d y 1 ( t ) d t = g 1 ( x ( t ) , y 1 ( t ) ) , d y 2 ( t ) d t = g 2 ( x ( t ) , y 2 ( t ) ) .
The initial states were set to x ( 0 ) R + J , y 1 ( 0 ) Y 1 , and y 2 ( 0 ) Y 2 , where
Y 1 : = y 1 R + I 1 : ( y 1 ) i 1 b 1 L , i 1 I 1 and Y 2 : = y 2 R + I 2 : 0 ( y 2 ) i 2 b 2 U , i 2 I 2 .
For practical calculation, we constructed an iterative formula as a first-order numerical discretization of the autonomous differential equation, which enabled us to obtain its approximate solutions. This approach yields an iterative method that allows for the fastest and most efficient computations. However, whether this discretization retains the properties of a piecewise-smooth system will be validated through experiments. We show the iterative algorithm or discrete-time system with state variables for beam weights z ( n ) and variable dose-constraints w ( n ) as functions of the iteration numbers n with n = 0 , 1 , 2 , , N , where
w = w 1 w 2 R + I ,
with w 1 R + I 1 and w 2 R + I 2 being subvectors of w. By applying the Euler method to the continuous-time system in Equation (8) and making a modification for preserving the positiveness of the state variables, we have
z ( n + 1 ) = z ( n ) + λ f ( z ( n ) , w ( n ) ) + w 1 ( n + 1 ) = w 1 ( n ) + α g 1 ( z ( n ) , w 1 ( n ) ) + w 2 ( n + 1 ) = w 2 ( n ) + α g 2 ( z ( n ) , w 2 ( n ) ) +
for n = 0 , 1 , 2 , , N 1 , with z ( 0 ) = x ( 0 ) , w 1 ( 0 ) = y 1 ( 0 ) , and w 2 ( 0 ) = y 2 ( 0 ) , where λ represents the step-size of discretization defined by
λ 1 = max j 2 i 1 = 1 I 1 ( ( K 1 ) j ) i 1 + i 2 = 1 I 2 ( ( K 2 ) j ) i 2 ,
and α is also a step-size, but it is a positive constant chosen arbitrarily. Additionally, the th element of the vector-valued function s + of s is max { ( s ) , 0 } . Equation (9) shows the iterative algorithm for the variable dose-constraints method.
Before defining the sets of functions f, g 1 , and g 2 in Equation (8), the following definitions were prepared.
Notation 2.
P 1 U , P 1 L , and P 2 U are defined as
( P 1 U ( c 1 , d 1 ) ) i 1 = c 1 i 1 , i f   c 1 i 1 ( d 1 ) i 1 , ( d 1 ) i 1 , o t h e r w i s e ( P 1 L ( c 1 , d 1 ) ) i 1 = c 1 i 1 , i f   c 1 i 1 ( d 1 ) i 1 , ( d 1 ) i 1 , o t h e r w i s e ( P 2 U ( c 2 , d 2 ) ) i 2 = c 2 i 2 , i f   c 2 i 2 ( d 2 ) i 2 , ( d 2 ) i 2 , o t h e r w i s e
for i 1 I 1 and i 2 I 2 , where c 1 , d 1 R + I 1 , and c 2 , d 2 R + I 2 .
Notation 3.
For a given x R + J , define the following three functions according to Definition 2.
δ 1 U ( x ) = 0 , i f   x   w i t h   ( K 1 , b 1 U , ζ 1 U )   i s   p a r t l y   a c c e p t a b l e , 1 , o t h e r w i s e δ 1 L ( x ) = 0 , i f   x   w i t h   ( K 1 , b 1 L , ζ 1 L )   i s   p a r t l y   a c c e p t a b l e , 1 , o t h e r w i s e δ 2 U ( x ) = 0 , i f   x   w i t h   ( K 2 , b 2 U , ζ 2 U )   i s   p a r t l y   a c c e p t a b l e , 1 , o t h e r w i s e
Moreover, for indicating the level of interaction between IMRT subsystems, we define
Δ ( x ) : = δ 1 U ( x ) + δ 1 L ( x ) + δ 2 U ( x ) ,
for a given x, which is a metric we call the collaboration index.
When the preparations were completed, we gave the vector fields, as described in Equation (8)
f ( x , y ) : = δ 1 U ( x ) f 1 U ( x ) + δ 1 L ( x ) f 1 L ( x , y 1 ) + δ 2 U ( x ) f 2 U ( x , y 2 ) ,
with
f 1 U ( x ) : = K 1 P 1 U ( K 1 x , u 1 b 1 U ) K 1 x , f 1 L ( x , y 1 ) : = K 1 P 1 L ( K 1 x , y 1 ) K 1 x , f 2 U ( x , y 2 ) : = K 2 P 2 U ( K 2 x , y 2 ) K 2 x ,
and
g 1 ( x , y 1 ) : = δ 1 L ( x ) g 1 L ( x , y 1 ) ,
g 2 ( x , y 2 ) : = δ 2 U ( x ) g 2 U ( x , y 2 ) ,
with
g 1 L ( x , y 1 ) : = P 1 L ( y 1 , K 1 x ) y 1 ,
g 2 U ( x , y 2 ) : = P 2 U ( y 2 , K 2 x ) y 2 ,
where the superscript ⊤ stands for the transpose of a matrix or vector, and u 1 R + I 1 is a vector of ones.

3.2. Alternative Description as Piecewise-Smooth Flow

After defining several notations, we will provide an alternative description of the dynamical system.
Notation 4.
Define the index sets for some x R + J :
I ¯ 1 U ( x ) : = i 1 I 1 : K 1 x i 1 > b 1 U ,
and, for some x R + J and y R + I , we have
M 1 L ( x , y 1 ) : = i 1 I 1 : K 1 x i 1 ( y 1 ) i 1 , M 2 U ( x , y 2 ) : = i 2 I 2 : K 2 x i 2 ( y 2 ) i 2 , M ^ 1 L ( x , y 1 ) : = i 1 I 1 : K 1 x i 1 < ( y 1 ) i 1 , a n d M ^ 2 U ( x , y 2 ) : = i 2 I 2 : K 2 x i 2 > ( y 2 ) i 2 .
Notation 5.
We define the matrix-valued functions of x R + J
K 1 U ( x ) : o b t a i n e d   b y   r e p l a c i n g   i 1 t h   r o w s   o f   K 1 , w h e r e   i 1 I 1 U ( x ) , w i t h   a l l - z e r o   r o w s U 1 U ( x ) : o b t a i n e d   b y   r e p l a c i n g   i 1 t h   r o w s   o f   U 1 , w h e r e   i 1 I 1 U ( x ) , w i t h   a l l - z e r o   r o w s
and of x R + J and y R + I
K 1 L ( x , y 1 ) : o b t a i n e d   b y   r e p l a c i n g   i 1 t h   r o w s   o f   K 1 , w h e r e   i 1 M 1 L ( x , y 1 ) , w i t h   a l l - z e r o   r o w s U 1 L ( x , y 1 ) : o b t a i n e d   b y   r e p l a c i n g   i 1 t h   r o w s   o f   U 1 , w h e r e   i 1 M 1 L ( x , y 1 ) , w i t h   a l l - z e r o   r o w s K 2 U ( x , y 2 ) : o b t a i n e d   b y   r e p l a c i n g   i 2 t h   r o w s   o f   K 2 , w h e r e   i 2 M 2 U ( x , y 2 ) , w i t h   a l l - z e r o   r o w s U 2 U ( x , y 2 ) : o b t a i n e d   b y   r e p l a c i n g   i 2 t h   r o w s   o f   U 2 , w h e r e   i 2 M 2 U ( x , y 2 ) , w i t h   a l l - z e r o   r o w s K ^ 1 L ( x , y 1 ) : o b t a i n e d   b y   r e p l a c i n g   i 1 t h   r o w s   o f   K 1 , w h e r e   i 1 M ^ 1 L ( x , y 1 ) , w i t h   a l l - z e r o   r o w s U ^ 1 L ( x , y 1 ) : o b t a i n e d   b y   r e p l a c i n g   i 1 t h   r o w s   o f   U 1 , w h e r e   i 1 M ^ 1 L ( x , y 1 ) , w i t h   a l l - z e r o   r o w s K ^ 2 U ( x , y 2 ) : o b t a i n e d   b y   r e p l a c i n g   i 2 t h   r o w s   o f   K 2 , w h e r e   i 2 M ^ 2 U ( x , y 2 ) , w i t h   a l l - z e r o   r o w s U ^ 2 U ( x , y 2 ) : o b t a i n e d   b y   r e p l a c i n g   i 2 t h   r o w s   o f   U 2 , w h e r e   i 2 M ^ 2 U ( x , y 2 ) , w i t h   a l l - z e r o   r o w s
where U 1 and U 2 denote the identity matrices of sizes I 1 and I 2 , respectively.
Equations (13), (16) and (17) can be rewritten as
f 1 U ( x ) : = K 1 U ( x ) U 1 U ( x ) u 1 b 1 U K 1 U ( x ) x , f 1 L ( x , y 1 ) : = K 1 L ( x , y 1 ) U 1 L ( x , y 1 ) y 1 K 1 L ( x , y 1 ) x , f 2 U ( x , y 2 ) : = K 2 U ( x , y 2 ) U 2 U ( x , y 2 ) y 2 K 2 U ( x , y 2 ) x ,
and
g 1 L ( x , y 1 ) : = K ^ 1 L ( x , y 1 ) x U ^ 1 L ( x , y 1 ) y 1 ,
g 2 U ( x , y 2 ) : = K ^ 2 U ( x , y 2 ) x U ^ 2 U ( x , y 2 ) y 2 .
In Equation (8) with Equations (20)–(22), an IMRT subsystem is formed by the dose indices in all PTVs and OARs, which vary depending on the state variables of the system. Since the continuous-time system can be described by a set of ordinary differential equations during intervals where none of the indices change, it can be regarded as a piecewise-smooth dynamical system that is represented by a finite set of linear ordinary differential equations, as illustrated in the framework of Equation (1), where θ is used in a symbolic sense for parameterizing the subspaces and vector fields.
Example 1.
For example, depicting the trajectories of interest focusing on the lower bound of a PTV, Figure 1 illustrates a schematic diagram of the phase portrait projected to the dose plane of ( ( D 1 ) i 1 , ( D 1 ) i 1 ) by the map T 1 , denoting
T 1 : R + I 1 R + 2 ; D 1 ( D 1 ) i 1 ( D 1 ) i 1 ,
where i 1 M ^ 1 L ( x , y 1 ) , and i 1 M 1 L ( x , y 1 ) . The yellow-filled rectangular region represents the set T 1 ( K 1 a ) : a A 1 L . When ( y 1 ( 0 ) ) i 1 > b 1 L > ( K 1 x ( 0 ) ) i 1 and ( K 1 x ( 0 ) ) i 1 > ( y 1 ( 0 ) ) i 1 > b 1 L , there exists τ > 0 such that ( g 1 ( x ( t ) , y 1 ( t ) ) ) i 1 = 0 and ( g 1 ( x ( t ) , y 1 ( t ) ) ) i 1 > 0 for t in the interval ( 0 , τ ) for which no switching occurs in the system. Thus, the i 1 th and i 1 th elements of the trajectory remain stationary and increase, respectively, as illustrated in the figure. Generally, according to the effect of the variable y 1 ( t ) , it is expected that the trajectory will move toward a value that is greater than b 1 L .

4. Theoretical Results

We give theoretical results for the behavior of the solution ( x ( t ) , y ( t ) ) to the continuous-time dynamical systems in Equation (8) with Equations (12)–(17).
Proposition 1.
If the initial values of y ( t ) in Equation (8) with Equations (12)–(17) are chosen as y 1 ( 0 ) Y 1 and y 2 ( 0 ) Y 2 , then y 1 ( t ) Y 1 and y 2 ( t ) Y 2 hold for any t > 0 .
Proof. 
The proposition holds because, based on the definitions of g 1 and g 2 given in Equations (14) and (15), we have vector fields that satisfy ( g 1 ( x ( t ) , y 1 ( t ) ) ) i 1 0 and ( g 2 ( x ( t ) , y 2 ( t ) ) ) i 2 0 in Equation (8) for all t 0 , x ( t ) and any of i 1 I 1 and i 2 I 2 . □
Corollary 1.
If ( e , c 1 , c 2 ) is the equilibrium of a dynamical system describing the state variables ( x , y 1 , y 2 ) in Equation (8) with Equations (12)–(17), then c 1 and c 2 satisfy ( c 1 ) i 1 ( y 1 ( t ) ) i 1 and ( c 2 ) i 2 ( y 2 ( t ) ) i 2 for all t 0 and any of i 1 I 1 and i 2 I 2 .
Proof. 
According to the proof of Proposition 1, each element of y 1 ( t ) and y 2 ( t ) monotonically increases and decreases as time t proceeds, respectively. Therefore, the subvectors y 1 ( t ) and y 2 ( t ) of the solutions converge to the upper bound vector c 1 and the lower bound vector c 2 , respectively, for t tends to infinity or t is greater than some value τ > 0 such that Δ ( x ( t ) ) = 0 . □
Note that Proposition 1 and Corollary 1 hold true even if the system is inconsistent or unacceptable.

4.1. Consistent Planning

We then considered the consistent case. The variable dose-constraints method for solving the problem of consistent IMRT treatment planning was defined to obtain a desired solution of beam weights e E and the corresponding dose constraints K e , where
K : = K 1 K 2
from the solutions of beam weights x R + J and the variable dose constraints y R + I to an initial value problem of the dynamical system when the IMRT system is consistent in the meaning of Definition 1. It follows that the problem is to obtain unknown variables x and y by minimizing an appropriate cost function that takes zero at x = e and y = K e for some e E . To solve this problem, the following cost function of x R + J and y R + I with e E is considered:
V ( x , y ) = 1 2 x e 2 2 + 1 2 y K e 2 2 = 1 2 j = 1 J ( x ) j ( e ) j 2 + 1 2 i = 1 I ( y ) i ( K e ) i 2 .
Note that the function in Equation (23) is non-negative for the arbitrary x R + J and y R + I and zero if and only if x = e and y = K e , and it is expected to decrease in time t R along their solutions to the system in Equation (8).
Under the assumption that the inverse problem of IMRT treatment planning minimizing cost function V in Equation (23) is consistent, the equilibrium ( e , K e ) R + J + I for the differential equation in Equation (8) with Equations (12)–(17) is asymptotically stable according to the Lyapunov theorem.
Theorem 1.
If the set E in Equation (4) is not empty, then the solution ( x , y ) to the dynamical system described by Equation (8) with Equations (12)–(17) with initial values x ( 0 ) R + J , ( y 1 ( 0 ) ) i 1 = b 1 L , and ( y 2 ( 0 ) ) i 2 = b 2 U asymptotically converges to ( e , K e ) for some e E .
Proof. 
Any point ( e , K e ) with e E is an equilibrium for the system in Equation (8) with Equations (12)–(17). Consider the function V ( x , y ) 0 in Equation (23) as a Lyapunov-candidate function. The derivative along the solution to the system in Equation (8) with Equations (12)–(17) is given by the following:
d d t V ( x , y ) ( 8 ) = j = 1 J ( ( x ) j ( e ) j ) ( K 1 ) j ( K 1 x P 1 U ( K 1 x , u 1 b 1 U ) ) j = 1 J ( ( x ) j ( e ) j ) ( K 1 ) j ( K 1 x P 1 L ( K 1 x , y 1 ) ) j = 1 J ( ( x ) j ( e ) j ) ( K 2 ) j ( K 2 x P 2 U ( K 2 x , y 2 ) ) i 1 = 1 I 1 ( ( y 1 ) i 1 ( K 1 e ) i 1 ) ( ( y 1 ) i 1 ( P 1 L ( y 1 , K 1 x ) ) i 1 ) i 2 = 1 I 2 ( ( y 2 ) i 2 ( K 2 e ) i 2 ) ( ( y 2 ) i 2 ( P 2 U ( y 2 , K 2 x ) ) i 2 ) = i 1 I ¯ 1 U ( x ) ( ( K 1 x ) i 1 ( K 1 e ) i 1 ) ( ( K 1 x ) i 1 b 1 U ) i 1 M ^ 1 L ( x , y 1 ) ( ( K 1 e ) i 1 ( K 1 x ) i 1 ) ( ( y 1 ) i 1 ( K 1 x ) i 1 ) i 2 M ^ 2 U ( x , y 2 ) ( ( K 2 x ) i 2 ( K 2 e ) i 2 ) ( ( K 2 x ) i 2 ( y 2 ) i 2 ) i 1 M 1 L ( x , y 1 ) ( ( K 1 e ) i 1 ( y 1 ) i 1 ) ( ( K 1 x ) i 1 ( y 1 ) i 1 ) i 2 M 2 U ( x , y 2 ) ( ( y 2 ) i 2 ( K 2 e ) i 2 ) ( ( y 2 ) i 2 ( K 2 x ) i 2 ) .
Here, I ¯ 1 U ( x ) , M ^ 1 L ( x , y 1 ) , M ^ 2 U ( x , y 2 ) , M 1 L ( x , y 1 ) , and M 2 U ( x , y 2 ) , representing the ranges of summations, indicate that the sums are only taken on the non-zero elements. The five terms on the right-hand side of the above equation can be written as follows, with reasons according to the definitions and Corollary 1. The first term is
i 1 I ¯ 1 U ( x ) ( ( K 1 x ) i 1 ( K 1 e ) i 1 ) ( ( K 1 x ) i 1 b 1 U ) K 1 x P 1 U ( K 1 x , u 1 b 1 U ) 2 2 0
since ( K 1 x ) i 1 > b 1 U ( K 1 e ) i 1 for any i 1 I ¯ 1 U ( x ) . For the second term, we have
i 1 M ^ 1 L ( x , y 1 ) ( ( K 1 e ) i 1 ( K 1 x ) i 1 ) ( ( y 1 ) i 1 ( K 1 x ) i 1 ) P 1 L ( K 1 x , y 1 ) K 1 x 2 2 0
because ( K 1 e ) i 1 ( y 1 ) i 1 > ( K 1 x ) i 1 for any i 1 M ^ 1 L ( x , y 1 ) . Similarly, the third term can be expressed as
i 2 M ^ 2 U ( x , y 2 ) ( ( K 2 x ) i 2 ( K 2 e ) i 2 ) ( ( K 2 x ) i 2 ( y 2 ) i 2 ) K 2 x P 2 U ( K 2 x , y 2 ) 2 2 0
due to ( K 2 x ) i 2 > ( y 2 ) i 2 ( K 2 e ) i 2 for any i 2 M ^ 2 U ( x , y 2 ) . Additionally, the fourth term evaluates to
i 1 M 1 L ( x , y 1 ) ( ( K 1 e ) i 1 ( y 1 ) i 1 ) ( ( K 1 x ) i 1 ( y 1 ) i 1 ) = K 1 e y 1 P 1 L ( K 1 x , y 1 ) y 1 0
given ( K 1 e ) i 1 ( y 1 ) i 1 and ( K 1 x ) i 1 ( y 1 ) i 1 for any i 1 M 1 L ( x , y 1 ) , and the fifth term results in
i 2 M 2 U ( x , y 2 ) ( ( y 2 ) i 2 ( K 2 e ) i 2 ) ( ( y 2 ) i 2 ( K 2 x ) i 2 ) = y 2 K 2 e y 2 P 2 U ( K 2 x , y 2 ) 0
because ( y 2 ) i 2 ( K 2 x ) i 2 and ( y 2 ) i 2 ( K 2 e ) i 2 for any i 2 M 2 U ( x , y 2 ) . Consequently, the derivative of V ( x , y ) , being the sum of these five expressions, is less than or equal to zero. We see that the derivative is zero if x = e and y = K e . Conversely, consider the conditions under which the derivative equals zero; thus, each of the five terms equals zero. If the first, second, and third terms are zero, it follows that x belongs to the sets E 1 U , E 1 L , and E 2 U , respectively, that is, x E = E 1 U E 1 L E 2 U . Additionally, if the last two terms are zero, y = K x holds for x E . Hence, the equality of the derivative satisfies if and only if x = e and y = K e . Therefore, the asymptotic convergence of solutions to some e in E is guaranteed via using the Lyapunov theorem. □

4.2. Acceptable Planning

We are interested in the situation where the IMRT treatment planning system ( K 1 , b 1 U , ζ 1 U ) , ( K 1 , b 1 L , ζ 1 L ) , ( K 2 , b 2 U , ζ 2 U ) is inconsistent and acceptable. The fact that the equilibrium observed in Equation (8) that satisfies δ 1 U ( x ) 1 , δ 1 L ( x ) 1 , and δ 2 U ( x ) 1 is stable immediately indicates the stability of the equilibrium for the subsystems corresponding to any combination of ( K 1 , b 1 U , ζ 1 U ) , ( K 1 , b 1 L , ζ 1 L ) , and ( K 2 , b 2 U , ζ 2 U ) .
To investigate the behavior of solutions close to or in the neighborhood of the equilibrium a, we consider a set X R + J projected from the state space Ω θ in which the trajectory is governed by the smooth subsystem described in Equation (1). Thus, the projected subspace X assumes that the set 𝜕 X A is not empty, where 𝜕 X denotes the boundary of X . We show an example of X for the solutions to the IMRT subsystem ( K 1 , b 1 L , ζ 1 L ) as follows.
Example 2.
We consider the IMRT subsystem ( K 1 , b 1 L , ζ 1 L ) and assume that δ 1 U ( x ( t ) ) = 0 , δ 1 L ( x ( t ) ) = 1 , and δ 2 U ( x ( t ) ) = 0 for x ( t ) X with t in the interval [ 0 , τ ) , where τ > 0 . Since the projected subspace X is close to a A , it is required that the equilibrium a be located at 𝜕 X A . Therefore, using the index sets
L ¯ 1 L : = i 1 I 1 : K 1 a i 1 b 1 L a n d L 1 L : = i 1 I 1 : K 1 a i 1 > b 1 L
with the relation
L 1 L I 1 < ζ 1 L
and the sets
X ¯ 1 L : = x R + J : K 1 x i 1 < b 1 L , i 1 L ¯ 1 L a n d X 1 L : = x R + J : K 1 x i 1 b 1 L , i 1 L 1 L ,
let us define the projected subspace X as an intersection of the open set X ¯ 1 L and the closed set X 1 L :
X : = X ¯ 1 L X 1 L .
If we start from any initial state ( x ( 0 ) , y 1 ( 0 ) , y 2 ( 0 ) ) X × Y 1 × Y 2 , a solution ( x ( t ) , y 1 ( t ) , y 2 ( t ) ) X A × Y 1 × Y 2 to the smooth subsystem in Equation (1) for t > 0 can move toward the equilibrium ( a , c 1 , c 2 ) 𝜕 X A × Y 1 × Y 2 without switching events. We expect that there exists τ 1 L > 0 and a non-empty index set
L ˜ 1 L : = { i 1 L ¯ 1 L : K 1 x ( t ) i 1 < b 1 L , x ( t ) X   f o r   t < τ 1 L , K 1 x ( t ) i 1 = b 1 L , x ( t ) = a   f o r   t τ 1 L }
such that
L 1 L I 1 + L ˜ 1 L I 1 ζ 1 L .
Note that when the projected solution x ( t ) reaches the point a, it remains stationary for t τ 1 L because the vector field vanishes. See Figure 2a for a schematic diagram of a projected subspace X close to an equilibrium a and a trajectory x ( t ) that starts from the initial state at 𝜕 X 1 L X 1 L A and approaches stable equilibrium a, and see Figure 2b for an image of the corresponding doses K 1 x ( t ) and K 1 a in the ( ( D 1 ) i 1 , ( D 1 ) i 1 ) -plane using the projection
T 1 : R + I 1 R + 2 ; D 1 ( D 1 ) i 1 ( D 1 ) i 1
where ( i 1 , i 1 ) L ¯ 1 L × L 1 L .
Theorem 2.
If the set A in Equation (6) is not empty and a A is assumed, then an equilibrium ( a , c 1 , c 2 ) with c 1 Y 1 and c 2 Y 2 to the dynamical system described by Equation (8) with Equations (12)–(17) is locally asymptotically stable.
Proof. 
For any a A , c 1 Y 1 , and c 2 Y 2 , the point ( a , c 1 , c 2 ) is an equilibrium of Equation (8). To evaluate the stability of the equilibrium, consider the dynamical behavior of the variational equation with respect to the equilibrium in a neighborhood, say Ω , of the subspace X × Y 1 × Y 2 in which the solution is governed by a smooth subsystem. By assuming δ 1 U ( x ) = 1 , δ 1 L ( x ) = 1 , and δ 2 U ( x ) = 1 for x X , the derivative of the smooth vector field ( f , g 1 , g 2 ) with respect to the state variable ( x , y 1 , y 2 ) Ω is
𝜕 ( f , g 1 , g 2 ) 𝜕 ( x , y 1 , y 2 ) = 𝜕 f 𝜕 x 𝜕 f 𝜕 y 1 𝜕 f 𝜕 y 2 𝜕 g 1 𝜕 x 𝜕 g 1 𝜕 y 1 O 𝜕 g 2 𝜕 x O 𝜕 g 2 𝜕 y 2 ( x , y 1 , y 2 ) Ω ,
where
𝜕 f 𝜕 x = K 1 U ( x ) K 1 U ( x ) K 1 L ( x , y 1 ) K 1 L ( x , y 1 ) K 2 U ( x , y 2 ) K 2 U ( x , y 2 ) 𝜕 f 𝜕 y 1 = K 1 L ( x , y 1 ) 𝜕 f 𝜕 y 2 = K 2 U ( x , y 2 ) 𝜕 g 1 𝜕 x = K ^ 1 L ( x , y 1 ) 𝜕 g 1 𝜕 y 1 = U ^ 1 L ( x , y 1 ) 𝜕 g 2 𝜕 x = K ^ 2 U ( x , y 2 ) 𝜕 g 2 𝜕 y 2 = U ^ 2 U ( x , y 2 ) ,
and O denotes an all-zero matrix with an appropriate size. Note that as long as the state variable is located in Ω , the derivative consists of constant elements. As such, the Jacobian matrix evaluated at the equilibrium ( a , c 1 , c 2 ) is given by
Γ : = 𝜕 ( f , g 1 , g 2 ) 𝜕 ( x , y 1 , y 2 ) ( a , c 1 , c 2 ) ,
which is a constant matrix. Since both index sets M 1 L ( x , y 1 ) and M 2 U ( x , y 2 ) are the set complements of the index sets M ^ 1 L ( x , y 1 ) in I 1 and M ^ 2 U ( x , y 2 ) in I 2 , respectively, for any ( x , y 1 , y 2 ) , all elements of the matrix
𝜕 f 𝜕 ( y 1 , y 2 ) · 𝜕 ( g 1 , g 2 ) 𝜕 x = K 1 L ( x , y 1 ) K ^ 1 L ( x , y 1 ) + K 2 U ( x , y 2 ) K ^ 2 U ( x , y 2 )
are zero. Thus, we have the characteristic polynomial for Γ associated with the eigenvalue μ as follows:
det μ U Γ = det μ U 0 𝜕 f 𝜕 x det μ U 1 𝜕 g 1 𝜕 y 1 det μ U 2 𝜕 g 2 𝜕 y 2 ,
where U, U 0 , U 1 , and U 2 are the identity matrices of sizes J + I , J, I 1 , and I 2 , respectively. Therefore, the eigenvalues of Γ are the eigenvalues of 𝜕 f / 𝜕 x ( a , c 1 , c 2 ) and multiple 1 s and 0s. The eigenvalues of zero are associated with the nullspace of the derivative of y. Since the symmetric matrix 𝜕 f / 𝜕 x ( a , c 1 , c 2 ) is negative semi-definite, we can conclude that all eigenvalues are non-positive and that the equilibrium is locally stable.
The above is the result when Δ ( x ) = 3 for x X , namely the solution reaches an equilibrium point, with δ 1 U ( x ) , δ 1 L ( x ) , and δ 2 U ( x ) all simultaneously becoming 0. The same proof applies for any combination of the three indicators as it does for the case where Δ ( x ) = 3 . □

5. Experimental Method

To assess the efficacy of the suggested approach, we investigated two scenarios in the IMRT treatment planning: “consistent planning” and “acceptable planning.” Illustrated in Figure 3a is a phantom image utilized for this planning analysis. The phantom encompassed a Core (blue region), a C-shaped Target (red region), and a Body (dark gray region), referring to a C-shaped phantom detailed in Task Group 119 (TG119) report by the American Association of Physicists in Medicine (AAPM). Table 1 and Table 2 show the prescribed dose-volume constraints for the consistent IMRT treatment planning system ( K C , b C U ) , ( K T , b T U ) , ( K T , b T L ) , ( K B , b B U ) and for the acceptable system ( K C , b C U , ζ C U ) , ( K T , b T U , ζ T U ) , ( K T , b T L , ζ T L ) , ( K B , b B U , ζ B U ) , respectively. In the notation, the superscripts U and L represent the upper and lower limits, respectively, while the subscripts C, T, and B represent the Core, Target, and Body, respectively. While the details are omitted here, the corresponding notations and definitions to Notation 1, as well as to Definitions 1, 2, and 3, will be established accordingly. We used a configuration with 9 beam angles, each separated by 40 degrees, covering the range from 0 to 360 degrees ( J = 2492 ). The numbers of voxels for the Core, Target, and Body regions were I C = 1089 , I T = 6275 , and I B = 495,116, respectively. Variable dose constraints w C and w T with
w : = w C w T R + I C + I T
were prepared for the set of the prescribed dose conditions ( K C , b C U ) and ( K T , b T L ) , respectively. Figure 3b–d each illustrate an example of the dose distribution delivered to the Core, Target, and Body as a result of optimization.
Table 1. The prescribed constraints and equivalent parameters for the consistent IMRT treatment planning system ( D max and D min denote the maximum and minimum doses [Gy], respectively).
Table 1. The prescribed constraints and equivalent parameters for the consistent IMRT treatment planning system ( D max and D min denote the maximum and minimum doses [Gy], respectively).
Assigned Region
(Colored Region
in Figure 3a)
OrganConstraint
[Gy]
Equivalent Parameter
OAR (blue)Core D max = 30 ( K C , b C U ) with b C U = 30
PTV (red)Target D max = 40 ( K T , b T U ) with b T U = 40
D min = 35 ( K T , b T L ) with b T L = 35
OAR (dark gray)Body D max = 40 ( K B , b B U ) with b B U = 40
Table 2. The prescribed constraints and equivalent parameters for an acceptable IMRT treatment planning system ( V d denotes the percentage of volume receiving at least d [Gy]).
Table 2. The prescribed constraints and equivalent parameters for an acceptable IMRT treatment planning system ( V d denotes the percentage of volume receiving at least d [Gy]).
Assigned Region
(Colored Region
in Figure 3a)
OrganConstraint
[%]
Equivalent Parameter
OAR (blue)Core V 25 < 5 ( K C , b C U , ζ C U ) with b C U = 25 and ζ C U = 0.95
PTV (red)Target V 55 < 10 ( K T , b T U , ζ T U ) with b T U = 55 and ζ T U = 0.90
V 50 95 ( K T , b T L , ζ T L ) with b T L = 50 and ζ T L = 0.95
OAR (dark gray)Body V 20 < 20 ( K B , b B U , ζ B U ) with b B U = 20 and ζ B U = 0.80
Figure 3. (a) Phantom image of the C-shape (the red region represents Target as PTV, while the blue and dark gray regions, respectively, represent Core and Body as OARs) and examples of the dose distributions for (b) Core, (c) Target, and (d) Body (the unit of values indicated on the color bar is Gy).
Figure 3. (a) Phantom image of the C-shape (the red region represents Target as PTV, while the blue and dark gray regions, respectively, represent Core and Body as OARs) and examples of the dose distributions for (b) Core, (c) Target, and (d) Body (the unit of values indicated on the color bar is Gy).
Mathematics 12 03826 g003
The iterative algorithm of the variable dose-constraints method was derived by transforming Equation (9) on the basis of the given dose constraint conditions and can be described by the following simultaneous recurrence equations for the variables z R + J , w C R + I C , and w T R + I T :
z ( n + 1 ) = z ( n ) + λ f ( z ( n ) , w ( n ) ) + w C ( n + 1 ) = w C ( n ) + α g C ( z ( n ) , w C ( n ) ) + w T ( n + 1 ) = w T ( n ) + α g T ( z ( n ) , w T ( n ) ) +
for n = 0 , 1 , 2 , , N 1 , where
f ( z , w ) : = δ C U ( z ) f C U ( z , w C ) + δ T U ( z ) f T U ( z ) + δ T L ( z ) f T L ( z , w T ) + δ B U ( z ) f B U ( z )
with
f C U ( z , w C ) : = K C P C U ( K C z , w C ) K C z f T U ( z ) : = K T P T U ( K T z , u T b T U ) K T z f T L ( z , w T ) : = K T P T L ( K T z , w T ) K T z f B U ( z ) : = K B P B U ( K B z , u B b B U ) K B z
and
g C ( z , w C ) : = δ C U ( z ) g C U ( z , w C )
g T ( z , w T ) : = δ T L ( z ) g T L ( z , w T )
with
g C U ( z , w C ) : = P C U ( w C , K C z ) w C g T L ( z , w T ) : = P T L ( w T , K T z ) w T .
Here, u T , u B , and the subsequently used u C are vectors with all elements being 1. Moreover, the functions defined in accordance with Notations 2 and 3 were omitted. The parameters λ and α included in Equation (30) were set according to Equation (10) and to 0.1, respectively. The choice of the parameter value for α was made to align with the numerical order of the beam coefficients and doses, as well as to smooth out the change in dose.
We modified the open-source treatment planning platform matRad [24] to allow for solving the IMRT inverse problems for consistent and acceptable planning using the discrete dynamical systems in Equation (9) with Equations (12)–(17). All of the components of the initial values w C ( 0 ) and w T ( 0 ) were set as certain values that were equal to or less than b C U and equal to or greater than b T L , respectively; these components were, respectively, chosen as uniform values of 10 and 35 for the consistent case and of 15 and 52 for the acceptable case.

6. Experimental Results and Discussion

We conducted experiments to validate the feasibility and theoretical properties of the iterative scheme proposed as the variable dose-constraints method.

6.1. Consistent Planning

First, we focused on a consistent IMRT planning system. By utilizing Equation (30) of the iterative algorithm with fixed values of δ C U ( z ) 1 , δ T U ( z ) 1 , δ T L ( z ) 1 , and δ B U ( z ) 1 , as defined in Equation (31), and under the dose-constraints conditions presented in Table 1, we initialized z ( 0 ) with uniform positive values; set w C ( 0 ) and w T ( 0 ) to the prescribed dose constraints, i.e., w C ( 0 ) = u C b C U and w T ( 0 ) = u T b T L ; and obtained iterative sequences of the beam coefficients and variable dose-constraints denoted as z ( n ) , w C ( n ) , and w T ( n ) for n = 0 , 1 , 2 , , N . In the case of a consistent system, as indicated by the Lyapunov function used in Theorem 1, it is required not only that the beam coefficients z ( n ) reach an element e of the set E , but also that the dose variables w C ( n ) and w T ( n ) converge to K C e and K T e , respectively. Accordingly, we defined a function to evaluate the process through which the beam variables z ( n ) , w C ( n ) , and w T ( n ) converge to the ideal solution, as given by the function E ( n ) , n = 0 , 1 , 2 , , N , where
E ( n ) = P C U ( K C z ( n ) , w C ( n ) ) K C z ( n ) 2 + P T U ( K T z ( n ) , u T b T U ) K T z ( n ) 2 + P T L ( K T z ( n ) , w T ( n ) ) K T z ( n ) 2 + P B U ( K B z ( n ) , u B b B U ) K B z ( n ) 2 + P C U ( w C ( n ) , K C z ( n ) ) w C ( n ) 2 + P T L ( w T ( n ) , K T z ( n ) ) w T ( n ) 2 ,
which is derived from the vector field of the dose-related portion of the system of differential equations. A graph of E ( n ) plotted for iteration numbers n = 0 , 1 , 2 , , 2000 is presented in Figure 4. The values of E ( n ) became 0 for n N with N = 1788 .
To observe the behavior of the solution, the trajectories of K T z ( n ) and w T ( n ) regarding the 669th element of the dose region for the Target were plotted, as shown in Figure 5. The figure includes the prescribed maximum and minimum doses, denoted as b T U and b T L , respectively, as well as the initial and converged values of ( w T ( n ) ) 669 , which are represented as ( w T ( 0 ) ) 669 and ( c T ) 669 = 38.99 , respectively. We see that both the trajectories of ( K T z ( n ) ) 669 and ( w T ( n ) ) 669 , which started from the same value as b T L , converged asymptotically toward ( c T ) 669 in the yellow-shaded region, which represents the parameter range projected onto the 669th indexed dose of the set { K T e : e E T U E T L } .
Figure 4. Time evolution of the extended evaluation function E ( n ) in Equation (34) for consistent planning.
Figure 4. Time evolution of the extended evaluation function E ( n ) in Equation (34) for consistent planning.
Mathematics 12 03826 g004
Figure 5. Trajectories of ( K T z ( n ) ) 669 and ( w T ( n ) ) 669 for consistent planning. The yellow-shaded region represents { ( K T e ) 669 : e E T U E T L } .
Figure 5. Trajectories of ( K T z ( n ) ) 669 and ( w T ( n ) ) 669 for consistent planning. The yellow-shaded region represents { ( K T e ) 669 : e E T U E T L } .
Mathematics 12 03826 g005
A dose-volume histogram is presented in Figure 6. This histogram illustrates the distribution of the radiation dose across different regions, showing the percentage of each region’s volume that receives a specific dose level. The Core, Target, and Body regions satisfied the consistent conditions, and it can be verified from this figure that the variable dose-constraints for the Core and Target were equal to their respective doses. In fact, as evident from the evaluation values of the function E, it can be observed that at iteration number N , z ( N ) belonged to the set E , as specified in Definition 1, and that w T ( N ) coincided with K T z ( N ) .

6.2. Fixed Dose-Constraints Method for Acceptable Planning

Next, as shown in this section and the following section, we focused on an acceptable IMRT planning system that was provided under the conditions shown in Table 2. We present the results of the experiments conducted using the fixed dose-constraints method for comparison with the results of the variable dose-constraints method discussed in the subsequent section. The algorithm used for the fixed dose-constraints method in the computations was formulated as the following iterative formula for beam coefficient variables, excluding the variable dose constraints of Equation (30), while keeping the other conditions the same except for the settings related to variable dose-constraints.
z ( n + 1 ) = z ( n ) + λ h ( z ( n ) ) +
for n = 0 , 1 , 2 , , N , where
h ( z ) : = δ C U ( z ) h C U ( z ) + δ T U ( z ) h T U ( z ) + δ T L ( z ) h T L ( z ) + δ B U ( z ) h B U ( z )
with
h C U ( z ) : = K C P C U ( K C z , u C b C U ) K C z h T U ( z ) : = K T P T U ( K T z , u T b T U ) K T z h T L ( z ) : = K T P T L ( K T z , u T b T L ) K T z h B U ( z ) : = K B P B U ( K B z , u B b B U ) K B z .
The transition of the evaluation function is given by
E ( n ) = δ C U ( z ( n ) ) P C U ( K C z ( n ) , u C b C U ) K C z ( n ) 2 + δ T U ( z ( n ) ) P T U ( K T z ( n ) , u T b T U ) K T z ( n ) 2 + δ T L ( z ( n ) ) P T L ( K T z ( n ) , u T b T L ) K T z ( n ) 2 + δ B U ( z ( n ) ) P B U ( K B z ( n ) , u B b B U ) K B z ( n ) 2
for n = 0 , 1 , 2 , , 400 and is presented in Figure 7 to illustrate the convergence process. The non-monotonic decrease was partially due to the switching of partly acceptable states, but, ultimately, E ( n ) reached 0 at n N with N = 369 . To illustrate the transition of these partial states, the volume ratios, as disclosed in Equation (5); the acceptable indices, as indicated in Notation 3; and collaboration index, as defined in Equation (11), were plotted against the iteration numbers shown in Figure 8. The upper panel of the figure represents η C U ( z ( n ) ) , η T U ( z ( n ) ) , η T L ( z ( n ) ) , and η B U ( z ( n ) ) , while the lower panel displays δ C U ( z ( n ) ) , δ T U ( z ( n ) ) , δ T L ( z ( n ) ) , δ B U ( z ( n ) ) , and Δ ( z ( n ) ) from the top to bottom. The transitions leading to the fully acceptable state through several partial acceptable states can be observed through the collaboration index Δ ( z ( n ) ) . The number of iterations at which Δ ( z ( n ) ) reached zero aligns with the point where the evaluation function in Figure 7 also reached zero, indicating convergence to an acceptable solution. As an example of the behavior of an element contributing to η T L ( z ( n ) ) ζ T L among the elements of the Target doses K T z ( n ) , the behavior of the 3870th element is illustrated in Figure 9. The alternating change between 0 and 1 in the transition of δ T L ( z ( n ) ) observed in Figure 8 is due to the variation of elements within the Target region, such as the 3870th element, around the lower dose bound b T L .
Figure 10 shows the dose-volume histogram obtained from K T z ( N ) . The results adhere to the prescribed dose-volume constraints.

6.3. Variable Dose-Constraints Method for Acceptable Planning

This section demonstrates the effectiveness of the proposed method, which is one of the most significant aspects of the experimental results. To begin, as a measure of the evaluation function when applying the variable dose-constraints method to the acceptable system, we define E ( n ) using the following equation:
E ( n ) = δ C U ( z ( n ) ) P C U ( K C z ( n ) , w C ( n ) ) K C z ( n ) 2 + δ T U ( z ( n ) ) P T U ( K T z ( n ) , u T b T U ) K T z ( n ) 2 + δ T L ( z ( n ) ) P T L ( K T z ( n ) , w T ( n ) ) K T z ( n ) 2 + δ B U ( z ( n ) ) P B U ( K B z ( n ) , u B b B U ) K B z ( n ) 2 + δ C U ( z ( n ) ) P C U ( w C ( n ) , K C z ( n ) ) w C ( n ) 2 + δ T L ( z ( n ) ) P T L ( w T ( n ) , K T z ( n ) ) w T ( n ) 2 ,
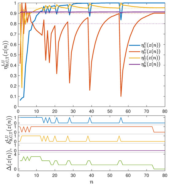
and we present a graph depicting its variation when changing the iterations in the range n = 0 , 1 , 2 , , 80 , as shown in Figure 11. The iteration number N at which the value of evaluation E ( n ) first became 0 was 73, which is significantly faster compared with the 369 iterations for the case of the fixed dose-constraints method observed in the previous section. The non-monotonic decrease and intermittent pulse-like spikes in the evolution of the evaluation function values were attributed to the changes in the volume fractions, as illustrated in Figure 12.
To gain insight into the behavior of the solutions, we focused on the Target region. For the initial iteration numbers n within the range { 1 , 2 , , 13 } and the final convergence range { 60 , 61 , , 74 } , we projected the sequences of K T z ( n ) and w T ( n ) onto the planes, respectively, using the mappings
T T : R + I T R + 2 ; D T ( D T ) 668 ( D T ) 669
and
T T : R + I T R + 2 ; D T ( D T ) 854 ( D T ) 850 ,
and we present the results in Figure 13a,b. From Figure 13a, the following observations can be made. When n reached 13, the 668th element entered the set A T L as K T z ( n ) , which continued to evolve, and, as the volume fraction of the entire Target region satisfied the condition, δ T L ( z ( 13 ) ) became 0, as is also observed in Figure 12. Several iterations before n reached 13, ( w T ( n ) ) 669 monotonically increased in the direction where ( K T z ( n ) ) 669 increased. Due to the increased value aimed for by ( K T z ( n ) ) 669 , ( w T ( n ) ) 669 achieved values greater than the prescribed dose constraint b T L , resulting in a more desirable outcome. On the other hand, we obtained additional insights, as shown in Figure 13b, which are as follows: During iterations from 73 to 74, ( K T z ( n ) ) 854 dropped below b T U , leading to a change in δ T U ( z ( n ) ) from 1 to 0 and causing Δ ( z ( n ) ) to shift from 1 to 0. Consequently, K T z ( 74 ) aligned with K T a , where a A . For the elements at indices 850 and 854, during the iterations from 60 to 74, w T ( n ) remained stationary since it was larger than K T z ( n ) . For a more comprehensible understanding of the aforementioned behavior, we provide the transition of the 854th element of K T z ( n ) and w T ( n ) over time in Figure 14. In the initial iterations, both K T z ( n ) and w T ( n ) increased together as K T z ( n ) aimed for values larger than b T L . However, since K T z ( n ) must also remain within the constraint set A T U , its behavior diverged from w T ( n ) , eventually satisfying the volume fraction condition as it entered set A T U . At this point, all of the vector fields became zero, signifying the solutions entering a stationary state.
Figure 12. Time evolutions of (upper panel) η C U ( z ( n ) ) , η T U ( z ( n ) ) , η T L ( z ( n ) ) , and η B U ( z ( n ) ) and (lower panel) δ C U ( z ( n ) ) , δ T U ( z ( n ) ) , δ T L ( z ( n ) ) , δ B U ( z ( n ) ) , and Δ ( z ( n ) ) from top to bottom, which were obtained using the variable dose-constraints method for acceptable planning.
Figure 12. Time evolutions of (upper panel) η C U ( z ( n ) ) , η T U ( z ( n ) ) , η T L ( z ( n ) ) , and η B U ( z ( n ) ) and (lower panel) δ C U ( z ( n ) ) , δ T U ( z ( n ) ) , δ T L ( z ( n ) ) , δ B U ( z ( n ) ) , and Δ ( z ( n ) ) from top to bottom, which were obtained using the variable dose-constraints method for acceptable planning.
Mathematics 12 03826 g012
Figure 13. Phase plane diagram the visualizing trajectories of K T z ( n ) and w T ( n ) from (a) the initial points to (b) the convergence to the set that was associated with the acceptable dose-distribution system (indicated by the yellow shaded region).
Figure 13. Phase plane diagram the visualizing trajectories of K T z ( n ) and w T ( n ) from (a) the initial points to (b) the convergence to the set that was associated with the acceptable dose-distribution system (indicated by the yellow shaded region).
Mathematics 12 03826 g013
Figure 14. Trajectories of ( K T z ( n ) ) 854 and ( w T ( n ) ) 854 , which were obtained using the variable dose-constraints method for acceptable planning. The yellow-shaded region represents { ( K T e ) 854 : e A T U A T L } .
Figure 14. Trajectories of ( K T z ( n ) ) 854 and ( w T ( n ) ) 854 , which were obtained using the variable dose-constraints method for acceptable planning. The yellow-shaded region represents { ( K T e ) 854 : e A T U A T L } .
Mathematics 12 03826 g014
We plotted dose-volume histograms, as shown in Figure 15, using the K T z ( N ) and w T ( N ) obtained at iteration N when the beam coefficient variable z reached point a A . In contrast to the consistent case (Figure 6), in this case, it was not necessary for all of the elements of the vectors ( K C , K T ) z ( n ) and w ( n ) to match. As a noteworthy observation, when compared with the fixed dose-constraints (FDC) method, in every element of the dose vectors, K C z was kept lower, and K T z was higher. For easier comparison, we summarized parts of Figure 10 and Figure 15 in Figure 16. Figure 16a represents the histograms for the Core region and (b) the Target region. In the fixed dose-constraints method, the prescribed dose constraints can be considered as uniform constant values for all elements, which we have represented with linear histograms in the left panels of (a) and (b). In the right panels of the figures obtained using the variable dose-constraints (VDC) method, we re-displayed the histograms obtained from the fixed dose-constraints method. The proposed method, which allows dose variations, yielded more desirable solutions from the set of acceptable solutions. This is because w C and w T (VDC in the right panel) changed such that they were, respectively, smaller and larger than the uniform prescribed values b C U and b T L (FDC in the left panel), resulting in more stringent constraints.
The dose distributions in Figure 3b–d are images that visualize the projection of the 3D voxels of K C z ( N ) , K T z ( N ) , and K B z ( N ) onto a plane, respectively.
Note that, although it is an iterative scheme with numerical discretization that uses the Euler method for the system of differential equations, it is evident that the intended results were achieved without any issues, thus faithfully reproducing the behavior of the original continuous-time system. However, it is necessary to conduct experiments on IMRT planning problems with additional constraints, particularly in clinical cases that reflect real-world scenarios, in order to more thoroughly validate whether the first-order discretization of the piecewise-smooth system is valid.
Figure 15. Dose-volume histogram obtained using the variable dose-constraints method for acceptable planning. Doses for Core and Target are represented by solid lines, while the variable dose-constraints (VDCs) are indicated by dashed lines.
Figure 15. Dose-volume histogram obtained using the variable dose-constraints method for acceptable planning. Doses for Core and Target are represented by solid lines, while the variable dose-constraints (VDCs) are indicated by dashed lines.
Mathematics 12 03826 g015
Figure 16. Dose-volume histograms for acceptable planning. Left panel (a): Core region obtained using the fixed method (solid line) along with fixed dose constraints (dashed line). Right panel (a): Core region obtained using the variable method (solid line) and fixed method (dashed-and-dotted line) along with variable dose constraints (dashed line). Left panel (b): Target region obtained using the fixed method (solid line) along with fixed dose constraints (dashed line). Right panel (b): Target region obtained using the variable method (solid line) and fixed method (dashed-and-dotted line), along with variable dose constraints (dashed line).
Figure 16. Dose-volume histograms for acceptable planning. Left panel (a): Core region obtained using the fixed method (solid line) along with fixed dose constraints (dashed line). Right panel (a): Core region obtained using the variable method (solid line) and fixed method (dashed-and-dotted line) along with variable dose constraints (dashed line). Left panel (b): Target region obtained using the fixed method (solid line) along with fixed dose constraints (dashed line). Right panel (b): Target region obtained using the variable method (solid line) and fixed method (dashed-and-dotted line), along with variable dose constraints (dashed line).
Mathematics 12 03826 g016

7. Concluding Remarks

In this paper, we have proposed a variable dose-constraints method as a solution to the IMRT planning problem based on dose-volume constraints, dynamically adjusting the constraints during optimization. The validity of the underlying principle for obtaining solutions is theoretically ensured based on continuous-time dynamical systems theory when the planning system is acceptable. Specifically, we defined a piecewise-smooth system of differential equations that includes both the beam coefficients and a subset of dose constraints as state variables, and we demonstrated the stability of equilibrium points corresponding to ideal solutions. The proposed approach inherently incorporates dynamics that steer the solution toward more desirable ones among the solution set, especially when the solution set is not composed solely of discrete points.
For practical computational efficiency, we used iterative schemes derived from the discretization of the continuous-time dynamical system, enabling high-speed calculations. We performed numerical experiments to verify both the preservation of the theoretically established properties in the discrete iterative scheme and the effectiveness of the proposed method. Compared with the fixed dose-constraints approach, our method demonstrates the ability to rapidly compute solutions under more stringent conditions than the prescribed constraints, showcasing its effectiveness.
Further analysis is now needed to delve into the global properties of the equilibrium points observed in the piecewise-smooth dynamical systems in greater detail.

Author Contributions

Conceptualization, T.Y.; Data Curation, N.O., R.N. and T.Y.; Formal Analysis, N.O., O.M.A.A.-O. and T.Y.; Methodology, N.O., O.M.A.A.-O. and T.Y.; Software, N.O. and T.Y.; Supervision, T.Y.; Validation, N.O., O.M.A.A.-O., R.N., T.K. and T.Y.; Writing—Original Draft, N.O., O.M.A.A.-O. and T.Y.; Writing—Review and Editing, N.O., O.M.A.A.-O., R.N., T.K. and T.Y. All authors have read and agreed to the published version of the manuscript.

Funding

This research was partially supported by JSPS KAKENHI (Grant Number 24K07507).

Data Availability Statement

All data used to support the findings of this study are included within the article.

Conflicts of Interest

The authors declare no conflicts of interest regarding the publication of this paper.

References

  1. Palta, J.R.; Mackie, T.R. (Eds.) Intensity-Modulated Radiation Therapy: The State of the Art; Medical Physics: Madison, WI, USA, 2003. [Google Scholar]
  2. Bortfeld, T. IMRT: A review and preview. Phys. Med. Biol. 2006, 51, R363–R379. [Google Scholar] [CrossRef] [PubMed]
  3. Cho, B. Intensity-modulated radiation therapy: A review with a physics perspective. Radiat. Oncol. J. 2018, 36, 1. [Google Scholar] [CrossRef] [PubMed]
  4. Wu, Q.; Mohan, R. Algorithms and functionality of an intensity modulated radiotherapy optimization system. Med. Phys. 2000, 27, 701–711. [Google Scholar] [CrossRef]
  5. Cotrutz, C.; Lahanas, M.; Kappas, C.; Baltas, D. A multiobjective gradient-based dose optimization algorithm for external beam conformal radiotherapy. Phys. Med. Biol. 2001, 46, 2161–2175. [Google Scholar] [CrossRef]
  6. Wu, Q.; Mohan, R. Multiple local minima in IMRT optimization based on dose-volume criteria. Med. Phys. 2002, 29, 1514–1527. [Google Scholar] [CrossRef] [PubMed]
  7. Lahanas, M.; Schreibmann, E.; Baltas, D. Multiobjective inverse planning for intensity modulated radiotherapy with constraint-free gradient-based optimization algorithms. Phys. Med. Biol. 2003, 48, 2843–2871. [Google Scholar] [CrossRef]
  8. Zhang, X.; Liu, H.; Wang, X.; Dong, L.; Wu, Q.; Mohan, R. Speed and convergence properties of gradient algorithms for optimization of IMRT. Med. Phys. 2004, 31, 1141–1152. [Google Scholar] [CrossRef]
  9. Censor, Y.; Bortfeld, T.; Martin, B.; Trofimov, A. A unified approach for inversion problems in intensity-modulated radiation therapy. Phys. Med. Biol. 2006, 51, 2353–2365. [Google Scholar] [CrossRef]
  10. Bauschke, H.H.; Borwein, J.M. On Projection Algorithms for Solving Convex Feasibility Problems. SIAM Rev. 1996, 38, 367–426. [Google Scholar] [CrossRef]
  11. Byrne, C. Iterative oblique projection onto convex sets and the split feasibility problem. Inverse Probl. 2002, 18, 441–453. [Google Scholar] [CrossRef]
  12. Censor, Y.; Chen, W.; Combettes, P.L.; Davidi, R.; Herman, G.T. On the effectiveness of projection methods for convex feasibility problems with linear inequality constraints. Comput. Optim. Appl. 2012, 51, 1065–1088. [Google Scholar] [CrossRef]
  13. Bortfeld, T.; Kufer, K.H.; Monz, M.; Trofimov, A.; Niemierko, A. Problems with current IMRT prescription practices and planning systems [abstract]. Med. Phys. 2004, 31, 1761. [Google Scholar]
  14. Lougovski, P.; LeNoach, J.; Zhu, L.; Ma, Y.; Censor, Y.; Xing, L. Toward truly optimal IMRT dose distribution: Inverse planning with voxel-specific penalty. Technol. Cancer Reserch Treat. 2010, 9, 629–636. [Google Scholar] [CrossRef]
  15. Fu, A.; Ungun, B.; Xing, L.; Boyd, S. A convex optimization approach to radiation treatment planning with dose constraints. Optim. Eng. 2018, 20, 277–300. [Google Scholar] [CrossRef]
  16. Mukherjee, S.; Hong, L.; Deasy, J.O.; Zarepisheh, M. Integrating soft and hard dose-volume constraints into hierarchical constrained IMRT optimization. Med. Phys. 2019, 47, 414–421. [Google Scholar] [CrossRef] [PubMed]
  17. Penfold, S.; Casiraghi, M.; Dou, T.; Schulte, R.W.; Censor, Y. SU-E-T-33: A Feasibility-Seeking Algorithm Applied to Planning of Intensity Modulated Proton Therapy: A Proof of Principle Study. Med. Phys. 2015, 42, 3338. [Google Scholar] [CrossRef]
  18. Penfold, S.; Zalas, R.; Casiraghi, M.; Brooke, M.; Censor, Y.; Schulte, R. Sparsity constrained split feasibility for dose-volume constraints in inverse planning of intensity-modulated photon or proton therapy. Phys. Med. Biol. 2017, 62, 3599. [Google Scholar] [CrossRef]
  19. Barkmann, F.; Censor, Y.; Wahl, N. Superiorization of projection algorithms for linearly constrained inverse radiotherapy treatment planning. Front. Oncol. 2023, 13, 1238824. [Google Scholar] [CrossRef]
  20. Schropp, J. Using dynamical systems methods to solve minimization problems. Appl. Numer. Math. 1995, 18, 321–335. [Google Scholar] [CrossRef]
  21. Airapetyan, R.G. Continuous Newton method and its modification. Appl. Anal. 1999, 73, 463–484. [Google Scholar] [CrossRef]
  22. Ramm, A. Dynamical systems method for solving operator equations. Commun. Nonlinear Sci. Numer. Simul. 2004, 9, 383–402. [Google Scholar] [CrossRef]
  23. Li, L.; Han, B. A dynamical system method for solving nonlinear ill-posed problems. Appl. Math. Comput. 2008, 197, 399–406. [Google Scholar] [CrossRef]
  24. Wieser, H.P.; Cisternas, E.; Wahl, N.; Ulrich, S.; Stadler, A.; Mescher, H.; Muller, L.R.; Klinge, T.; Gabrys, H.; Burigo, L.; et al. Development of the open-source dose calculation and optimization toolkit matRad. Med. Phys. 2017, 44, 2556–2568. [Google Scholar] [CrossRef] [PubMed]
Figure 1. Schematic diagram of the trajectory in dose plane.
Figure 1. Schematic diagram of the trajectory in dose plane.
Mathematics 12 03826 g001
Figure 2. Schematic diagram of a projected subspace X that is close to equilibrium in the space of (a) beamlets and (b) corresponding doses.
Figure 2. Schematic diagram of a projected subspace X that is close to equilibrium in the space of (a) beamlets and (b) corresponding doses.
Mathematics 12 03826 g002
Figure 6. A dose-volume histogram obtained using the variable dose-constraints (VDC) method for consistent planning. Doses for Core and Target (solid lines), as well as variable dose-constraints (dashed lines) for both overlapped with each other.
Figure 6. A dose-volume histogram obtained using the variable dose-constraints (VDC) method for consistent planning. Doses for Core and Target (solid lines), as well as variable dose-constraints (dashed lines) for both overlapped with each other.
Mathematics 12 03826 g006
Figure 7. Time evolution of the evaluation function E ( n ) in Equation (37) using the fixed dose-constraints method for acceptable planning.
Figure 7. Time evolution of the evaluation function E ( n ) in Equation (37) using the fixed dose-constraints method for acceptable planning.
Mathematics 12 03826 g007
Figure 8. Time evolutions of (upper panel) η C U ( z ( n ) ) , η T U ( z ( n ) ) , η T L ( z ( n ) ) , and η B U ( z ( n ) ) and (lower panel) δ C U ( z ( n ) ) , δ T U ( z ( n ) ) , δ T L ( z ( n ) ) , δ B U ( z ( n ) ) , and Δ ( z ( n ) ) from top to bottom, which were obtained using the fixed dose-constraints method for acceptable planning.
Figure 8. Time evolutions of (upper panel) η C U ( z ( n ) ) , η T U ( z ( n ) ) , η T L ( z ( n ) ) , and η B U ( z ( n ) ) and (lower panel) δ C U ( z ( n ) ) , δ T U ( z ( n ) ) , δ T L ( z ( n ) ) , δ B U ( z ( n ) ) , and Δ ( z ( n ) ) from top to bottom, which were obtained using the fixed dose-constraints method for acceptable planning.
Mathematics 12 03826 g008
Figure 9. The trajectories of ( K T z ( n ) ) 3870 obtained using the fixed dose-constraints method for acceptable planning. The yellow-shaded region represents { ( K T e ) 3870 : e A T U A T L } .
Figure 9. The trajectories of ( K T z ( n ) ) 3870 obtained using the fixed dose-constraints method for acceptable planning. The yellow-shaded region represents { ( K T e ) 3870 : e A T U A T L } .
Mathematics 12 03826 g009
Figure 10. The dose-volume histogram obtained using fixed the dose-constraints method for acceptable planning.
Figure 10. The dose-volume histogram obtained using fixed the dose-constraints method for acceptable planning.
Mathematics 12 03826 g010
Figure 11. Time evolution of the evaluation function E ( n ) in Equation (38) using the variable dose-constraints method for acceptable planning.
Figure 11. Time evolution of the evaluation function E ( n ) in Equation (38) using the variable dose-constraints method for acceptable planning.
Mathematics 12 03826 g011
Disclaimer/Publisher’s Note: The statements, opinions and data contained in all publications are solely those of the individual author(s) and contributor(s) and not of MDPI and/or the editor(s). MDPI and/or the editor(s) disclaim responsibility for any injury to people or property resulting from any ideas, methods, instructions or products referred to in the content.

Share and Cite

MDPI and ACS Style

Obata, N.; Abou Al-Ola, O.M.; Nakada, R.; Kojima, T.; Yoshinaga, T. Variable Dose-Constraints Method for Enhancing Intensity-Modulated Radiation Therapy Treatment Planning. Mathematics 2024, 12, 3826. https://doi.org/10.3390/math12233826

AMA Style

Obata N, Abou Al-Ola OM, Nakada R, Kojima T, Yoshinaga T. Variable Dose-Constraints Method for Enhancing Intensity-Modulated Radiation Therapy Treatment Planning. Mathematics. 2024; 12(23):3826. https://doi.org/10.3390/math12233826

Chicago/Turabian Style

Obata, Norihisa, Omar M. Abou Al-Ola, Ryosei Nakada, Takeshi Kojima, and Tetsuya Yoshinaga. 2024. "Variable Dose-Constraints Method for Enhancing Intensity-Modulated Radiation Therapy Treatment Planning" Mathematics 12, no. 23: 3826. https://doi.org/10.3390/math12233826

APA Style

Obata, N., Abou Al-Ola, O. M., Nakada, R., Kojima, T., & Yoshinaga, T. (2024). Variable Dose-Constraints Method for Enhancing Intensity-Modulated Radiation Therapy Treatment Planning. Mathematics, 12(23), 3826. https://doi.org/10.3390/math12233826

Note that from the first issue of 2016, this journal uses article numbers instead of page numbers. See further details here.

Article Metrics

Back to TopTop