Leveraging Bayesian Quadrature for Accurate and Fast Credit Valuation Adjustment Calculations
Abstract
1. Introduction
1.1. Research Focus and Contributions
- Pricing Approximation: Using Bachelier’s formula, we demonstrate that forward start rates can be effectively modeled as Gaussian processes, enabling efficient and accurate CVA calculations.
- Practical CVA Approximations: We propose and validate an analytical approximation for the CVA of an interest rate swap portfolio, simplifying the calculation process while maintaining accuracy.
- Synergy of GPR and Bayesian Quadrature: Using GPR’s functional approximation capabilities along with Bayesian quadrature optimization of numerical integration, we achieve an innovative balance between computational efficiency and precision, presenting a practical solution for credit risk management.
1.2. Paper Structure
2. Counterparty Credit Risk Measures
2.1. Expected Exposure
2.2. Credit Valuation Adjustment (CVA)
- Probability of Default (PD): For a nonconstant default intensity , the default probability and survival probability are given by
- Loss Given Default (LGD): This is the portion of the exposure that is unrecoverable in the event of default. It quantifies the magnitude of losses in the event of default and is calculated as , where is the recovery rate.
- Exposure at Default (EAD): The expected exposure to the counterparty at the time of default is represented by .
3. Bayesian Inference Modeling
3.1. Gaussian Process Regression
3.2. Training Gaussian Process Algorithms
3.3. Bayesian Quadrature
| Algorithm 1 Bayesian quadrature. | |
| Input: | |
| Output: Bayesian quadrature estimation of the integral | |
| 1: procedure BQ() | |
| 2: | // Compute kernel mean |
| 3: | // Compute kernel variance |
| 4: | // Integrate prior mean |
| 5: | |
| 6: | // Compute quadrature weights |
| 7: | // Compute Bayesian quadrature mean |
| 8: | // Compute kernel variance |
| 9: | |
| 10: return | |
| 11: end procedure | |
4. CVA Calculation Under One-Factor Linear Gauss Markov
4.1. Analytical CVA Approximation Under LGM-1F Model
4.2. Swaption Valuation with LGM-1F Model
4.3. Swaption Valuation with Bachelier Model
- Assuming log-normal dynamics for the swap rate with a frozen g.
- Assuming Gaussian dynamics for the swap rate with a frozen drift.
5. Numerical Applications for CVA Calculation
5.1. Convergence Tests for a Unitary Interest Rate Swap
5.2. CVA Calculation of an IRS Portfolio by Classical Approaches
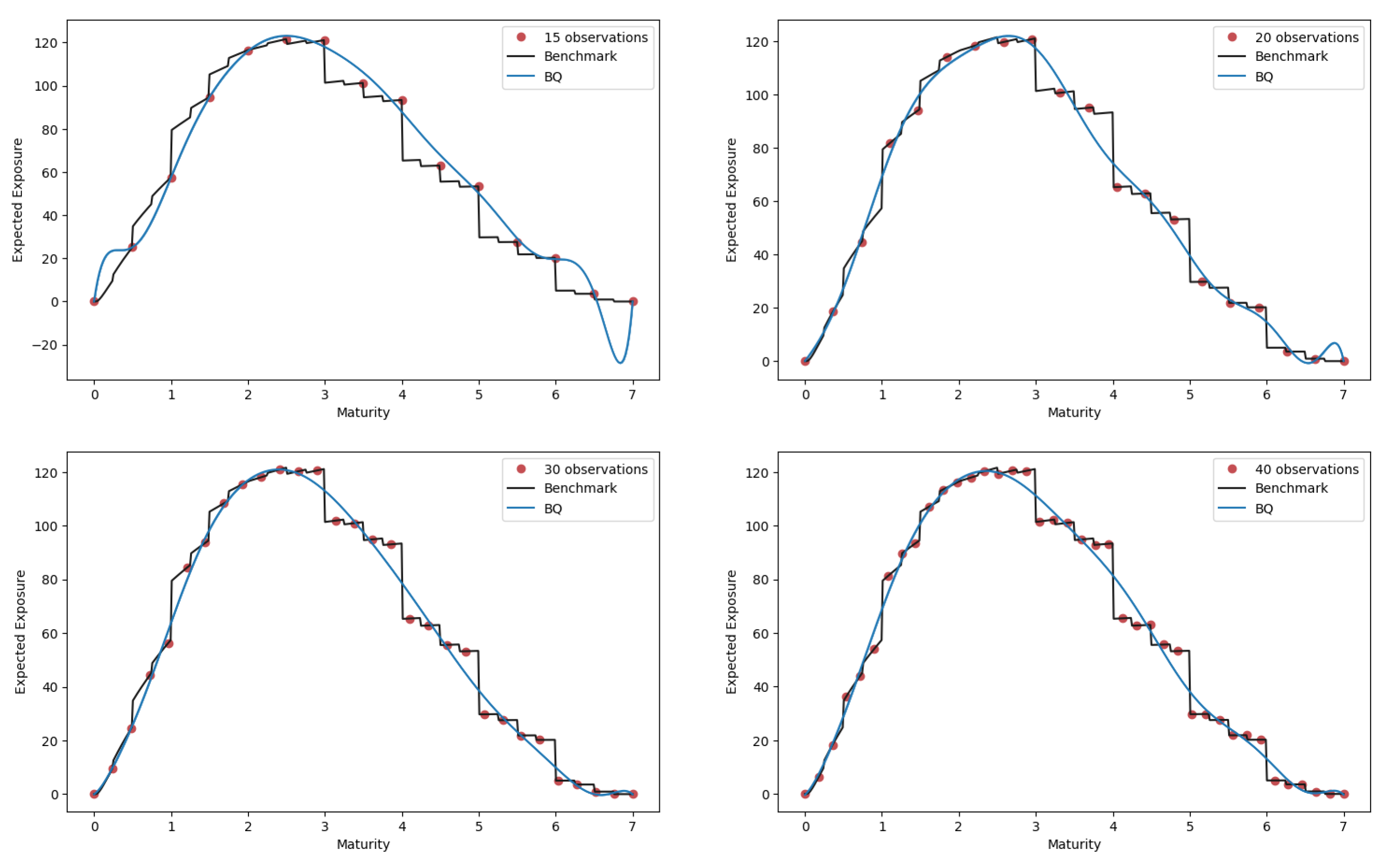
5.3. Numerical Tests for CVA Calculation by GPR and Bayesian Quandature
6. Discussion
7. Conclusions
- Sn approximation of swaption prices using Bachelier’s formula, which enables the modeling of forward-starting swap rates as Gaussian processes, facilitating efficient CVA computations,
- The proposal of an analytical approximation for the CVA of an interest rate swap portfolio, simplifying the calculation process while maintaining accuracy,
- The synergy between Gaussian process Rrgression and Bayesian quadrature, which optimizes numerical integration to achieve an innovative balance between computational efficiency and precision in credit risk management.
Author Contributions
Funding
Data Availability Statement
Conflicts of Interest
Appendix A. Change of Probability Measure via a Numéraire
- The price of a zero-coupon bond can serves as a numéraire, and the associated forward probability measure is the terminal probability measure, denoted by .
- The level associated to a swap rate or a European swaption also acts as a numéraire, and the corresponding forward probability measure is called the level probability measure, denoted by .
Appendix B. Numerical Specifications
| Tenor | 1M | 6M | 1Y | 2Y | 3Y | 4Y | 5Y | 6Y | 7Y | 10Y | 15Y | 20Y |
| Rate | 3% | 2% | 2% | 2% | 3% | 3% | 3% | 3% | 4% | 4% | 5% | 5% |
| Mean Reversion | Volatility |
|---|---|
| 1% | 0.5% |
| Recovery Rate R | Default Intensity |
|---|---|
| 40% | 0.5% |
| Deal ID | Start Date | Frequency | Notional | Fixed Rate | Maturity | Type |
|---|---|---|---|---|---|---|
| 0 | 0 | 0.25 | 10,000 | 4% | 2.5 | Payer |
| 1 | 0 | 0.25 | 10,000 | 5% | 1 | Payer |
| 2 | 0 | 0.25 | 10,000 | 5% | 1 | Payer |
| 3 | 0 | 0.5 | 10,000 | 3% | 7 | Receiver |
| 4 | 0 | 1 | 10,000 | 4% | 6.5 | Payer |
| 5 | 0 | 1 | 10,000 | 3% | 4.5 | Payer |
| ⋮ | ||||||
| 395 | 0 | 0.5 | 10,000 | 4% | 4.5 | Receiver |
| 396 | 0 | 1 | 10,000 | 2% | 2.5 | Payer |
| 397 | 0 | 0.5 | 10,000 | 4% | 5.5 | Payer |
| 398 | 0 | 1 | 10,000 | 4% | 3.5 | Payer |
| 399 | 0 | 0.25 | 10,000 | 3% | 4.5 | Payer |
| Variance | Length Scale l |
|---|---|
| 1 | 10 |
References
- Green, A. XVA: Credit, Funding and Capital Valuation Adjustments; John Wiley & Sons: Hoboken, NJ, USA, 2015. [Google Scholar]
- Gregory, J. Counterparty Credit Risk and Credit Value Adjustment: A Continuing Challenge for Global Financial Markets; John Wiley & Sons: Hoboken, NJ, USA, 2012. [Google Scholar]
- Hoffman, F. Credit Valuation Adjustment; Oxford University, Mathematical Institute: Oxford, UK, 2011. [Google Scholar]
- Basel Committee on Banking Supervision. Basel III: A Global Regulatory Framework for More Resilient Banks and Banking Systems; Technical Report; Revised June 2011; Bank for International Settlements (BIS): Basel, Switzerland, 2010. [Google Scholar]
- Basel Committee on Banking Supervision. Minimum Capital Requirements for Market Risk; Technical Report; Bank for International Settlements: Basel, Switzerland, 2019. [Google Scholar]
- Basel Committee on Banking Supervision. Credit Valuation Adjustment Risk: Targeted Final Revisions—Consultative Document; Technical Report; Bank for International Settlements: Basel, Switzerland, 2020. [Google Scholar]
- Sokol, A. Learning Quantitative Finance with R: From Models to Applications; Packt Publishing: Birmingham, UK, 2016. [Google Scholar]
- Hull, J.C. Risk Management and Financial Institutions; John Wiley & Sons: Hoboken, NJ, USA, 2014. [Google Scholar]
- Rockafellar, R.T.; Uryasev, S. Optimization of Conditional Value-at-Risk. J. Risk 2000, 2, 21–42. [Google Scholar] [CrossRef]
- Abad, P.; Benito, S.; Lopez, C. A Comprehensive Review of Value at Risk Methodologies. Span. Rev. Financ. Econ. 2013, 12, 15–32. [Google Scholar] [CrossRef]
- Dowd, K. An Introduction to Market Risk Measurement; John Wiley & Sons: Hoboken, NJ, USA, 2003. [Google Scholar]
- Duffie, D.; Pan, J. An Overview of Value at Risk. J. Deriv. 1997, 4, 7–49. [Google Scholar] [CrossRef]
- Lichters, R.; Stamm, R.; Gallagher, D. Modern Derivatives Pricing and Credit Exposure Analysis: Theory and Practice of CSA and XVA Pricing, Exposure Simulation and Backtesting; Applied Quantitative Finance; Palgrave Macmillan: London, UK, 2015. [Google Scholar]
- Liu, Q. Calculation of Credit Valuation Adjustment Based on Least Square Monte Carlo Methods. Math. Probl. Eng. 2015, 2015, 959312. [Google Scholar] [CrossRef]
- Basel Committee on Banking Supervision. Fundamental Review of the Trading Book: A Revised Market Risk Framework—Consultative Document; Technical Report; Bank for International Settlements: Basel, Switzerland, 2013. [Google Scholar]
- Zeron-Medina, M.; Ruiz, I. Denting the FRTB IMA Computational Challenge via Orthogonal Chebyshev Sliding Technique; Risk Books: London, UK, 2021. [Google Scholar]
- Swaps, I.; International Swaps and Derivatives Association (ISDA). User’s Guide to the ISDA Credit Support Documents Under English Law; Technical Report; International Swaps and Derivatives Association: New York, NY, USA, 1999. [Google Scholar]
- Crépey, S.; Dixon, M. Gaussian Process Regression for Derivative Portfolio Modeling and Application to CVA Computations. arXiv 2019, arXiv:1901.11081. [Google Scholar] [CrossRef]
- Gonzalvez, J.; Lezmi, E.; Roncalli, T.; Xu, J. Financial Applications of Gaussian Processes and Bayesian Optimization. arXiv 2019, arXiv:1903.04841. [Google Scholar] [CrossRef]
- Qian, F. Advanced Estimation of Credit Valuation Adjustment. Ph.D. Thesis, Delft University of Technology, Delft, The Netherlands, 2017. [Google Scholar]
- Mu, G.; Godina, T.; Maffia, A.; Sun, Y.C. Supervised Machine Learning with Control Variates for American Option Pricing. Found. Comput. Decis. Sci. 2018, 43, 207–217. [Google Scholar] [CrossRef]
- Sambasivan, R.; Das, S. A Statistical Machine Learning Approach to Yield Curve Forecasting. In Proceedings of the 2017 International Conference on Computational Intelligence in Data Science (ICCIDS), Chennai, India, 2–3 June 2017; IEEE: Piscataway, NJ, USA, 2017; pp. 1–6. [Google Scholar]
- Buehler, H.; Gonon, L.; Teichmann, J.; Wood, B. Deep Hedging. Quant. Financ. 2019, 19, 1271–1291. [Google Scholar] [CrossRef]
- Culkin, R.; Das, S.R. Machine Learning in Finance: The Case of Deep Learning for Option Pricing. J. Investig. Manag. 2017, 15, 92–100. [Google Scholar]
- DeBrusk, C.; Du, E. Why Wall Street Needs to Make Investing in Machine Learning a Higher Priority; Technical Report; Oliver Wyman: New York, NY, USA, 2018. [Google Scholar]
- Financial Stability Board (FSB). Artificial Intelligence and Machine Learning in Financial Services—Market Developments and Financial Stability Implications; Technical Report; Financial Stability Board: Basel, Switzerland, 2017. [Google Scholar]
- Leo, M.; Sharma, S.; Maddulety, K. Machine Learning in Banking Risk Management: A Literature Review. Risks 2019, 7, 29. [Google Scholar] [CrossRef]
- Wilkens, S. Machine Learning in Risk Measurement: Gaussian Process Regression for Value-at-Risk and Expected Shortfall. J. Risk Manag. Financ. Inst. 2019, 12, 374–383. [Google Scholar] [CrossRef]
- Cao, J.; Chen, J.; Hull, J.; Poulos, Z. Deep Hedging of Derivatives Using Reinforcement Learning. arXiv 2021, arXiv:2103.16409. [Google Scholar] [CrossRef]
- De Spiegeleer, J.; Madan, D.B.; Reyners, S.; Schoutens, W. Machine Learning for Quantitative Finance: Fast Derivative Pricing, Hedging and Fitting. Quant. Financ. 2018, 18, 1635–1643. [Google Scholar] [CrossRef]
- Lehdili, N.; Oswald, P.; Guéneau, H. Market Risk Assessment of a Trading Book Using Statistical and Machine Learning. Preprint 2019. [Google Scholar] [CrossRef]
- Ruiz, I.; Zeron, M. Machine Learning for Risk Calculations: A Practitioner’s View; John Wiley & Sons: Hoboken, NJ, USA, 2021. [Google Scholar]
- Glau, K.; Mahlstedt, M.; Pötz, C. A New Approach for American Option Pricing: The Dynamic Chebyshev Method. SIAM J. Sci. Comput. 2019, 41, B153–B180. [Google Scholar] [CrossRef]
- Pykhtin, M.; Rosen, D. Pricing Counterparty Risk at the Trade Level and CVA Allocations; Technical Report, FEDS Working Paper; FEDS: Washington, DC, USA, 2010.
- Jooma, Y.; Liu, H. GARP Research Fellowship 2017: An Analysis of the ISDA Model for Calculating Initial Margin for Non-Centrally Cleared OTC Derivatives. Technical Report. 2018. Available online: https://api.semanticscholar.org/CorpusID:254687829 (accessed on 15 October 2024).
- Bielecki, T.; Brigo, D.; Patras, F. Credit Risk Frontiers: Subprime Crisis, Pricing and Hedging, CVA, MBS, Ratings, and Liquidity; John Wiley & Sons: Hoboken, NJ, USA, 2011. [Google Scholar]
- Chen, Z.; Naslidnyk, M.; Gretton, A.; Briol, F.X. Conditional Bayesian Quadrature. arXiv 2024, arXiv:2406.16530. [Google Scholar]
- Gessner, A. Numerical Integration as and for Probabilistic Inference; Universität Tübingen: Tübingen, Germany, 2022. [Google Scholar]
- Kanagawa, M.; Sriperumbudur, B.K.; Fukumizu, K. Convergence Guarantees for Kernel-Based Quadrature Rules in Misspecified Settings. arXiv 2016, arXiv:1605.07254. [Google Scholar]
- Osborne, M.; Garnett, R.; Ghahramani, Z.; Duvenaud, D.K.; Roberts, S.J.; Rasmussen, C. Active Learning of Model Evidence Using Bayesian Quadrature. In Proceedings of the Advances in Neural Information Processing Systems, Lake Tahoe, NV, USA, 3–6 December 2012; Volume 25. [Google Scholar]
- Williams, C.K.I.; Rasmussen, C.E. Gaussian Processes for Machine Learning; MIT Press: Cambridge, MA, USA, 2006; Volume 2. [Google Scholar]
- Cheyette, O. Markov Representation of the Heath-Jarrow-Morton Model. SSRN Electron. J. 2001, 1–12. [Google Scholar] [CrossRef]
- Mercurio, F.; Brigo, D. Interest Rates Models Theory and Practice: II, Continuous Time Models; John Wiley & Sons: Hoboken, NJ, USA, 2008. [Google Scholar]
- Forrester, A.I.J.; Sóbester, A.; Keane, A.J. Multi-fidelity optimization via surrogate modelling. Proc. R. Soc. A Math. Phys. Eng. Sci. 2007, 463, 3251–3269. [Google Scholar] [CrossRef]
- Peherstorfer, B.; Willcox, K.; Gunzburger, M. Survey of multifidelity methods in uncertainty propagation, inference, and optimization. SIAM Rev. 2018, 60, 550–591. [Google Scholar] [CrossRef]
- Kennedy, M.C.; O’Hagan, A. Predicting the output from a complex computer code when fast approximations are available. Biometrika 2000, 87, 1–13. [Google Scholar] [CrossRef]
- Le Gratiet, L.; Cannamela, C.; Iooss, B. Bayesian analysis of multi-fidelity data: Gaussian processes and hierarchical models. Bayesian Anal. 2013, 9, 37–58. [Google Scholar]
- Li, Y. Utilisation des Méta-Modèles Multi-Fidélité pour l’Optimisation de la Production des Réservoirs. Ph.D. Thesis, Université de Pau et des Pays de l’Adour, Pyrénées-Atlantiques, France, 2016. [Google Scholar]
- Mirinioui, O. Bayesian Quadrature and Multi-Fidelity Machine Learning for Financial Risk Metrics Calculation. Master’s Thesis, University Paris-Dauphine, Paris, France, 2024. [Google Scholar]
- Privault, N. Introduction to Stochastic Finance with Market Examples, 2nd ed.; Chapman & Hall/CRC: Boca Raton, FL, USA, 2022; pp. 565–600. [Google Scholar]







| No. of Simulations | CVA Value (EUR) | Computation Time (s) |
|---|---|---|
| 10,000 | EUR 434 | 822 |
| 40,000 | EUR 434 | 1053 |
| 60,000 | EUR 431 | 2006 |
| 80,000 | EUR 431 | 3165 |
| 100,000 | EUR 431 | 9866 |
| Discretization Steps | CVA Value (EUR) | Computation Time (s) |
|---|---|---|
| 50 | EUR 436 | 6 |
| 100 | EUR 430 | 13 |
| 300 | EUR 431 | 41 |
| 500 | EUR 432 | 72 |
| 700 | EUR 432 | 96 |
| LGM1F Volatility | MC Value (EUR) | NI Value (EUR) | Proxy Value (EUR) |
|---|---|---|---|
| 0.5% | 432 | 431 | 435 |
| 1% | 629 | 628 | 642 |
| 1.5% | 845 | 841 | 874 |
| 2% | 1066 | 1062 | 1116 |
| No. of Training Points | Bayesian Quadrature Prediction (EUR) | Relative Error | Computation Time (Seconds) | Time Savings |
|---|---|---|---|---|
| 15 | EUR 446 | 0.26 | 4 | 615 |
| 25 | EUR 434 | 0.01 | 6 | 400 |
| 30 | EUR 423 | 0.17 | 7 | 369 |
| 35 | EUR 435 | 0.05 | 8 | 317 |
| 40 | EUR 432 | 0.00 | 9 | 276 |
Disclaimer/Publisher’s Note: The statements, opinions and data contained in all publications are solely those of the individual author(s) and contributor(s) and not of MDPI and/or the editor(s). MDPI and/or the editor(s) disclaim responsibility for any injury to people or property resulting from any ideas, methods, instructions or products referred to in the content. |
© 2024 by the authors. Licensee MDPI, Basel, Switzerland. This article is an open access article distributed under the terms and conditions of the Creative Commons Attribution (CC BY) license (https://creativecommons.org/licenses/by/4.0/).
Share and Cite
Lehdili, N.; Oswald, P.; Mirinioui, O. Leveraging Bayesian Quadrature for Accurate and Fast Credit Valuation Adjustment Calculations. Mathematics 2024, 12, 3779. https://doi.org/10.3390/math12233779
Lehdili N, Oswald P, Mirinioui O. Leveraging Bayesian Quadrature for Accurate and Fast Credit Valuation Adjustment Calculations. Mathematics. 2024; 12(23):3779. https://doi.org/10.3390/math12233779
Chicago/Turabian StyleLehdili, Noureddine, Pascal Oswald, and Othmane Mirinioui. 2024. "Leveraging Bayesian Quadrature for Accurate and Fast Credit Valuation Adjustment Calculations" Mathematics 12, no. 23: 3779. https://doi.org/10.3390/math12233779
APA StyleLehdili, N., Oswald, P., & Mirinioui, O. (2024). Leveraging Bayesian Quadrature for Accurate and Fast Credit Valuation Adjustment Calculations. Mathematics, 12(23), 3779. https://doi.org/10.3390/math12233779

