Abstract
The Solvency II regulatory framework requires European insurance companies to guarantee their solvability and stability by retaining enough Own Funds to cover future unexpected losses at a given confidence level. A Standard Formula approach is provided to estimate the capital requirement needed. Still, Solvency II allows internal methodologies to quantify the capital absorption arising from specific risk types or even to replace the Standard Formula with a full internal model. This work proposes a new internal model approach to measure the Catastrophe Recession Risk. The Recession Risk implies a mandatory capital absorption component for the insurance companies operating in the credit and suretyship business. The proposed model is based on the CreditRisk+ model and designed to behave countercyclically, aligning with the original intent of the European supervisory authority when first introducing this risk into the Solvency II risks’ taxonomy. Additionally, the model is applied to define an index for monitoring future recession crises based on the time series of past default rates.
MSC:
91G40; 91G70; 62P05
1. Introduction
The business cycle—also commonly referred to as the economic cycle—is the concept used to describe the fluctuating behavior of an economy, featuring alternating expansion and contraction phases [1,2]. The word “recession” refers to the contraction phases in slightly different meanings depending on the context, as a rigorous, universally accepted definition of recession is missing to date [3].
A popular definition of a recession is two consecutive quarters of decline in a country’s real (i.e., inflation-adjusted) gross domestic product [3,4,5]. Recession may also refer to the whole period between a peak of economic activity and its subsequent trough or, even more generically, to a period of decline in economic activity [6]. However, every accepted definition requires that the considered period of economic contraction satisfies, to some extent, the criteria of depth, diffusion, and duration of the observed decline to be legitimately called a recession.
Recessions are characterized by a general increase in the likelihood of defaults (see, e.g., refs. [7,8] and the definition of Moody’s scenario “S3” in [9]). Thus, the frequency of default and insolvency events observed during a recession is significantly higher than average. In this work, “Recession Risk” refers to the potential unexpected losses experienced by an insurance company, a bank, or other financial institution in such an adverse scenario, due to the increased number of insolvent counterparties.
In the Solvency II regulatory framework [10,11,12], Recession Risk belongs to the broader set of Catastrophe Non-Life risks. These components of the Solvency Capital Requirement (SCR) are generally introduced to increase the capital requirement contribution from the Premium Risk, which measures the unexpected losses arising from future claims that an insurance company must indemnify during the following year.
In the Solvency II taxonomy of risks, most catastrophe risks are associated with claim generator events that are very specific in nature and, thus, may not be adequately considered in the corresponding Premium Risk measure. For example, concerning the damages to property insurance, the economic losses generated by an earthquake are classified as a catastrophic event, as opposed to a generic repair needed by an insured building, whose probability and severity are accounted for in the Premium Risk measure.
On the other hand, there is no clear distinction between the claims generated by a recession event and the claims considered in the corresponding Premium Risk measure. The Recession Risk, together with the Catastrophe Default Risk, is specifically considered in the SCR measure of the Solvency 2 Line of Business 9 (credit and suretyship insurance—C&S) [11]. The C&S Premium Risk, Catastrophe Default Risk, and Recession Risk are introduced to measure the unexpected losses arising from insured events of default, insolvency, and breach of the undertaking [13,14,15]. The Solvency II Calibration Paper clarifies that the original role of the Recession Risk measure was to dampen the procyclical nature of the LoB C&S. The European regulator EIOPA explicitly declared the original purpose of this submodule in the “Solvency II Calibration Paper” (see [16] § p. 312), where a counter-cyclical dampening mechanism has been introduced—to be abandoned later in the 2015 release of Standard Formula technical specifications [11]: “[…] This mechanism aims to ensure that at the peak of the cycle (low failure rates), the shall reach its highest value and C&S undertakings shall be required to have enough own funds to cover a higher SCR. On the other hand, at the trough of the cycle, SCR will be at its lowest value so that own funds will be released. In other words, as undertakings face a harder net claims ratio due to an increase of failure rates, the SCR decreases”.
Since the event type considered in C&S Recession Risk is the same as the Premium Risk, double-counting is possible if not prevented in calibration. Indeed, this is the view expressed by ICISA in 2018 [17], answering to EIOPA’s “Second, set of advice to the European Commission on specific items in the Solvency II Delegated Regulation” [18]. In its answer, ICISA pointed out that the C&S Premium Risk parameter’s calibration has been made without excluding recession events from the considered data. Thus, default events arising during a recession event should already be included in the Premium Risk measure, which aims to quantify the following year’s unexpected losses at the 99.5% confidence level.
EIOPA did not consider the objection of ICISA in the review of the Standard Formula [12]. Further, the Recession Risk SCR measure was simplified, losing the dampening feature that originally motivated its introduction. Nonetheless, Solvency II allows both the calibration of the Standard Formula parameters based on an insurance company’s dataset (the so-called Undertaking Specific Parameters) and the replacement of specific modules and submodules of the Standard Formula with a Partial Internal Model (PIM), given that both these possibilities are subject to the preliminary verification and formal approval by a National Supervisory Authority [10].
In this work, we propose a model that describes and measures the Recession Risk based on the original EIOPA’s perspective on this risk. The model can be considered a PIM approach to measure the C&S Recession Risk SCR, providing a coherent C&S Premium Risk SCR as well. These two SCR components restore the counter-cyclical dampening mechanism initially considered by EIOPA but with the granularity and realism required for a PIM. Additionally, the model can be calibrated entirely based on the historical dataset typically available to a C&S insurance company. Datasets adequate for model calibration should also be available for banks, financial institutions, and supervisory authorities. Indeed, the application of the proposed model is not limited to the insurance sector; it can also be used to define a new set of indexes and anticipate future recession events. Both the applications—SCR computation and crisis monitoring—are discussed throughout the remainder of this work.
As the name proposed for the model suggests, our approach is inspired by the classic CreditRisk+ model [19,20,21,22], which has been shown to describe well the underwriting risk both in credit insurance [23] and suretyship [13]. However, we have based this work on the modified version proposed in [22] and extended the modifications, resulting in a novel approach specifically designed to address the Recession Risk measurement. Overall, the one-year unexpected loss level corresponding to the C&S Premium Risk SCR is measured by a point-in-time (PIT) [24,25] loss distribution calibrated according to the current phase of the economic cycle. At the same time, the Recession Risk SCR is a function of the difference between Value at Risk (VaR) measures, defined at the same quantile of the PIT distribution mentioned above and a through-the-cycle (TTC) loss distribution, with the latter being calibrated including previously observed recession phases. In this way, at the peak of the economic cycle, we have the maximum difference between the two measures. In contrast, at the trough of the cycle, the PIT VaR results remarkably close to or even greater than the TTC VaR, decreasing Recession Risk and releasing own funds. The two distributions involved in the Premium and Recession risks measurement are naturally implied by the same set of assumptions, featuring a short-term autocorrelation in the probability of default time series to distinguish the one-year PIT loss distribution from the corresponding TTC distribution.
CreditRisk+ is a uniperiodal model where the realization of the latent market factors per scenario affects the local deviation of each subject’s probability of default from its TTC level. Although probabilities can be instantaneously shocked, they cannot be described through processes, and the model does not allow for the inference of trends from historical data. Conversely, RecessionRisk+ features a consistent multiperiod framework that describes market factors as processes over time. Additionally, the autocorrelation mentioned earlier introduces a memory effect within each process, leading to the possibility of modeling not only the current deviation from the TTC probability but also the existence of a trend towards or away from the through of the economic cycle. These two enhancements of the original CreditRisk+ framework allow the model to represent the approach to recession periods and, thus, to measure the recession risk.
Many studies are available concerning the modeling of recessions as a phase of the economic cycle (see, e.g., ref. [26]). In this perspective, the concept of the financial cycle and its relation with the business cycle has also been deeply investigated [27,28]. According to this macro-economic approach, the possible occurrence of a recession is seen as a phase of the interrelated dynamics of financial markets and the real economy. However, in this framework, default probabilities are not explanatory variables and recessions are mainly measured and modeled by considering GDP level, employment rate, interest rates, and other macroeconomic and financial variables as risk drivers (see, e.g., refs. [29,30]). One of the first models of this type is the “classic” CreditPortfolioView [31,32], where the probabilities of default are assumed to be a function of macro-economic variables, represented through autoregressive processes. Although not explicitly focused on recessions, these models allow to map the business cycle dynamics investigated in the aforementioned macro-economic literature to the default probabilities, thus being able to project an increasing number of default events in the presence of adverse macro-economic scenarios. The drawback of such a composite approach to managing Recession Risk is the vast data requirements to calibrate and validate the models, whose assumptions could need a high level of maintenance depending on the context. Furthermore, contagion models (see, e.g., ref. [33]) improve the macro-economic-inspired models by adding a further layer of complexity, based on the micro-economic description of direct connections between firms.
The proposed model is not comparable to any of these two classes of models, as it can be considered a reduced form model, given that the multivariate hazard rates dynamics is modeled by itself, without any explicit assumption concerning an underlying dependency on macro-economic or financial quantities. The elementary idea behind this method is that, given the cyclic nature of a considered economy, the comparison of the PIT and TTC hazard rate distributions (in particular of their tails) provides information concerning the likelihood of a recession event and, thus, a measure of Recession Risk. Although the banking research in the literature vastly discusses the PIT and TTC calibration approaches (see, e.g., ref. [34]), their specific and joint application to a multivariate Recession Risk model is new and worth investigating.
The work is organized as follows. Section 2 defines the proposed RecessionRisk+ model, introducing first the CreditRisk+ model to which our approach is inspired and its extension mentioned above. The same section provides a complete calibration method based on historical time series and describes the two applications of the model proposed in this work—the construction of a multivariate index to monitor the likelihood of future recession periods and the Recession Risk measurement in the Solvency II regulatory framework. The following Section 3 applies the model to a real dataset concerning the non-performing loans time series observed in Italy’s Banking System. Both the applications proposed in the previous Section 2 are implemented based on the considered dataset. Finally, Section 4 summarizes the main results of this work, also discussing the possible developments of this topic that are worth being investigated further.
2. Models and Methods
As anticipated in Section 1, in this work, we consider the extended CreditRisk+ framework developed in [22] and develop it further to measure the additional credit risk that may arise in the case of a recession crisis. To do so, in Section 2.1, the main assumptions underlying the original CreditRisk+ model are briefly summarized. In the following Section 2.2, we describe the extended framework that was previously developed. The further model extension introduced in this work is reported in Section 2.3, and a full calibration method for the new model is provided in Section 2.4. The proposed model is then utilized to define a Recession Risk forecasting index in Section 2.5. Finally, in Section 2.6, we apply the model to introduce a measure of the Recession Risk that copes with the Solvency II semantics.
2.1. The Original CreditRisk+ Model
The CreditRisk+ model (“” hereafter) was initially developed by Tom Wilde in 1997 and first disclosed by CSFB in 1998. is a well-known portfolio model, widely used across the financial industry in the recent three decades to quantify the distribution of future losses in t generated by a portfolio of risky debtors up to a projection time .
The model follows a frequency-severity paradigm, typical in actuarial non-life models. Indeed, the likelihood of a future default event is described separately from the severity (i.e., the so-called “exposure at default”, also EAD, in a bank’s perspective) of the same event. In its original formulation, assumes that is fixed and deterministic per each i-th debtor.
Default events are assumed to be conditionally independent, although a dependency structure is imposed among the debtors’ default probabilities (abbreviated as PDs hereafter). This structure is represented by introducing a set of independent, Gamma-distributed random variables, also known as “market factors”. Each PD depends linearly on the market factors through a set of weights, commonly addressed as factor loadings, which, in principle, may be different per debtor in the considered portfolio. The market factors’ realization represents the future market condition that a debtor experiences across the time interval : a wide shock in the Gamma latent factors implies that the debtors’ creditworthiness is generally worsened and causes the projected default events, although mutually independent, to increase in number.
Potential issues in PDs’ definition, assuming Gamma-distributed shocks to be applied to variables defined in the interval, are prevented by approximating the Bernoulli variable that describes each debtor’s default event with a Poisson variable. This substitution extends the domain of the distribution’s parameter from to . Further, it is numerically sound if the parameter’s expected value is “small” compared with 1. This is easily verified, recalling that the probability generating function of a Bernoulli r.v. can be read as the first-order approximation of the Poisson r.v.’s p.g.f. with the same parameter. Such a substitution, together with the assumption above concerning a deterministic EAD, enables a semi-analytical solution of the model. The original set of assumptions concerning the PDs can be summarized as follows: [19,20,21].
Assumption 1
( distributional assumption). Given a time horizon and a set of N risky debtors, the number of insolvency events generated by each i-th debtor over is distributed as follows:
where is an array of independent r.v.’s such that
and the factor loadings are supposed to be all non-negative and to sum up to unity:
2.2. The Multiperiodal Autocorrelated CreditRisk+ Extension
As discussed above in Section 2.1, the original model is defined in a uniperiodal framework. The model aims to simulate the terminal loss distribution in t that is observed in . Each scenario terminal loss is the sum of the losses generated by the considered set of risky debtors onto the future time horizon . The classic model’s calibration procedure infers the parameters’ values from the historical time series defined with a sampling period equal to the duration of the simulation time horizon (e.g., if , the model’s calibration considers yearly default rates time series as well). Namely, the model is defined considering just a single time scale.
Indeed, as shown in [22], it is possible and useful to generalize the model from the original single-time-scale framework to become a multiple-time-scale model. Such an extension is especially beneficial in terms of error reduction when calibrating the parameters based on, e.g., monthly or quarterly default rates time series, to apply the calibrated model for simulating a terminal loss distribution defined over a one-year time horizon. Indeed, calibrating the model based on data sampled with a given time scale (e.g., one month) shorter than the one considered for the model application (e.g., one year) leads to a more efficient inference process, provided that Assumption 1 is satisfied consistently at both the considered time scales, returning estimates of the model’s parameters much more precisely than the ones attainable with a single-time-scale calibration strategy. This is the case, as proved in [22], under different configurations.
In the following, we consider only a specific configuration of the generalized model among the ones discussed in [22]. The remainder of this subsection outlines the chosen configuration, upon which we define the model proposed in this work.
First, we recover the Bernoulli representation of each debtor by introducing the r.v.
Both the r.v. and its distribution parameter can take values larger than 1. This is formally correct, given that , despite not coping with the representation of absorbing events, which can occur at most once by definition. The so-called “Poisson approximation”, introduced by substituting with , is numerically sound as approaches to zero—a condition that is well fulfilled in most real world relevant cases. Indeed, Assumption 1 implies that , where the distribution parameter is
Representing the i-th debtor through instead of changes Assumption 1 into the following:
Assumption 2
(Modified distributional assumption). Given a time horizon and a set of N risky debtors, the number of insolvency events generated by each i-th debtor over is represented by the r.v. , where the distribution parameter satisfies (5). Assumptions on market factors’ array and factor loadings’ matrix remain the same as stated in Assumption 1.
Assumption 2 is well posed also in case it is required to hold at different time scales, resulting into a self-consistent multiperiodal model. Before describing the multiple-time-scale version of , let us introduce two simplifications that will be maintained in the remainder of this work.
First, each debtor belongs to a cluster . All the debtors belonging to the same cluster are described by the same set of parameters, allowing the re-indexing of the parameters themselves. Namely, it holds
This choice is relevant to practical purposes. Indeed, it reduces the number of parameters significantly, making the model calibration more achievable.
Further, the partition of the time interval needed in the following is assumed to always be uniform:
Although not strictly needed, these two simplifications cope with real-world applications of the model and make the results reported in this work easier to be proved and represented. Equipped with Equations (6) and (7), we are now ready to introduce the multiperiodal framework mentioned above.
Assumption 3
(Modified parameters at different time scales). Let be a partition of the time interval . Let Assumption 2 be verified by each j-th interval , where is the r.v. representing the i-th risk observed during the j-th interval. Further, the associated set of parameters and market factors satisfies the following for each :
where Ω is the factor loadings’ matrix and
Furthermore, is assumed to be a time-invariant ACF:
such that the following closure property with respect to the addition holds:
for a proper shape and scale parameters’ specification .
Equation (13) is satisfied by construction in case of summating independent Gamma random variables with the same scale parameters. The same is shown to hold with a good degree of approximation in case the Gamma variables are weakly correlated [35]. In [22], it is proved that the framework introduced in Assumption 3, (i.e., multiperiodal, short-time-scaled, autocorrelated) is consistent with the modified model defined in Assumption 2 (i.e., uniperiodal, long-time-scaled). For readers’ convenience, this result is summarized below with a notation that is lighter than the original one.
Proposition 1
(Consistency of the modified model). Assumption 3 implies Assumption 2.
Proof.
According to Assumption 3, Equation (5) holds for each interval (). Thus, Equations (8) and (10) imply that the survival function of the i-th debtor over the interval can be written as follows:
The proof is completed by showing that . Since the Gamma distribution is fully specified by its first two central moments, Equation (13) implies that the equivalence holds if and . The expectations’ requirement is immediately verified, given that for . As for the variances, Equations (11) and (12) imply
The equivalence of the first two central moments and the closure assumption implies that the shape and scale parameters that solve Equation (13) in Assumption 3 are the same regarding in Assumption 2, completing the proof. □
It is worth remarking that Equation (13) is assumed to be true but, actually, it is not satisfied by each form that could be chosen in Equation (12). As stated above, the trivial case verifies Equation (13). Further, given that the ACF obeys a power law, the sum-variable is known to be approximately Gamma-distributed [35], while other specifications imply the sum to be distributed differently [36,37]. Thus, for practical purposes, we complete the modified framework by introducing the following assumption:
Assumption 4
2.3. The Double-Distribution Framework
The two-time-scale framework introduced so far can be utilized to calibrate the modified model from the “short” time scale , and to project loss scenarios onto the “long” time scale , as demonstrated in [22,23]. In this subsection, the framework is completed to use both time scales for projection purposes.
To that end, we provide a notation representing the hazard rate processes defined onto the two time scales and .
We are now using the index “h” instead of “i”, given that we are assuming that the i-th debtor is fully specified by the h-th cluster to which it belongs. Assumptions 2 and 3 and Proposition 1 imply the following.
The processes and displayed above are unconditioned, in the sense that they do not take into account the past value of the latent market factors’ array . From an economic perspective, they can be regarded as through-the-cycle distributions of the h-th hazard rate onto the two time scales and , because they are evaluated without considering which phase of the macroeconomic cycle is occurring at t.
On the other hand, the corresponding conditioned processes, and , may be defined as well.
These conditioned distributions can be thought of as point-in-time from an economic perspective, as they depend on the most recently occurred market state . Thus, they are influenced by the current phase of the macroeconomic cycle.
We define evaluated at time t to be conditioned only on the value of the -time-scale market factors at . At the same time, the definition of allows us to utilize arbitrarily past values of the market factors.
The set of assumptions stated so far enables us to write closed-form expressions for and , provided that (), as shown by the following proposition.
Proposition 2
(point-in-time hazard rate distributions). Assumptions 3 and 4 imply that
where and .
Proof.
In the limit , we can approximate the Gamma-distributed market factors as being normally distributed, as shown below in Proposition A1. Doing so, we can estimate the conditioned expected value and variance of () as follows:
Equations (18) and (19) are immediately implied by applying Proposition A2 to the modified model outlined in Assumptions 3 and 4.
With specific reference to the short time scale , we now need to distinguish between the unconditioned market factor , which is distributed as stated in Equation (9), and the conditioned market factor , whose distribution follows from Equations (18) and (19):
Since Assumption 3 allows us to write the conditioned hazard rate onto the short time scale as
the functional form of determined above implies Equation (16).
Proposition A1 and Assumption 4 are consistent with each () being an process in the limit . Thus, only conditioning each to is needed to cope with the assumed ACF, implying (17) and completing the proof. □
It is worth noticing that—generally—we need to infer the value taken by the latent market factors’ array .
Remark 1.
We can avoid estimating only in the special case (), which has a modest interest from a practical perspective. Indeed, in case of uniform ρ across the market factors, Equation (16) can be written as a linear combination of and .
The RecessionRisk+ model consists of the two multivariate hazard rate distributions introduced to represent and compare the PIT and the TTC one-year tail default risk over a given set of clusters (e.g., sectors). The comparison between these two distributions enables us to monitor and quantify a counter-cyclical Recession Risk component separately from the “standard” default risk measure, as shown in Section 2.5 and Section 2.6. Figure 1 displays a diagram summarizing the steps involved in the model calibration and application, as described in the remainder of this section.
Figure 1.
Schematics of the RecessionRisk+ model’s calibration and application.
Remark 2.
The formal scope of the RecessionRisk+ definition goes as follows. Assumptions 3 and 4 are foundational. Proposition 1 proves that the model is well-posed and enables the construction of a practical form for the TTC hazard rates () in Equation (15). Proposition 2 provides the corresponding form for the PIT hazard rates in Equation (17). Proposition 3 enables the model’s parameterization at both the considered time scales and, together with the remainder of Section 2.4, constructs a complete calibration procedure. The framework allows to construct objects to quantify Recession Risk as a function of Λ and distributions. Indeed, the model is made applicable by the introduction of some procyclical quantifiers of Recession Risk, such as in Equation (31) (see Section 2.5), and also a couple of countercyclical quantifiers (see Section 2.6)—all of them being applied to real case studies in the following Section 3. There is no claim of completeness concerning the set of quantifiers designed in this work, as the model user can define other quantifiers in the same RecessionRisk+ framework depending on the specific application’s requirements.
2.4. Model Calibration
The model introduced in Section 2.3 defines the loss distribution over the time horizon both directly (i.e., uniperiodal, unconditioned loss distribution) and in a roll-over framework (i.e., m subsequent projection steps onto -long periods, each of them conditioned to the former). To fully apply the model, we need to calibrate all the parameters introduced above. Indeed, the parameters set
estimated in , is needed to evaluate in the loss distribution at (i.e., onto the long time scale directly). For the sake of convenience, in the following we consider the factor loadings’ matrix without the row of idiosincratic terms (), as it is fully specified by the normalization constraints in Equation (3). In addition, the parameters
must also be specified to evaluate in t the loss distribution at (i.e., first step of the roll-over process onto the short time scale).
First, let us introduce two observable counters that are needed to build the estimators for the quantities listed above: is the number of solvent debtors belonging to the h-th cluster at time t, and is the number of debtors defaulted onto the interval and belonging to the same cluster . For the sake of brevity, the time specifications will be omitted unless needed.
From the counters and , we can define , that is the empirical frequency of default measured on the interval . Given that estimates the Bernoulli distribution parameter , we can introduce the estimator
As , the standard error associated with scales as . Assuming large clusters (), the error is negligible. Since Equation (14) and Assumption 3 imply that , we can estimate as
It is possible estimating based on the long-time-scale observables as well, because Equation (15) implies that .
Also the parameters can be estimated based on both the considered time scales, through the result reported below.
Proposition 3.
Assumption 3 implies the following
where , , , , and .
Proof.
From Equations (14) and (15) it follows
where, for the sake of brevity, we have adopted the short notation and omitted the time argument unless needed. Since Assumption 3 implies
then we have
where the simplification above is due to the definition of . □
As detailed in [22], the short-time-scale estimator is more convenient in terms of lesser error. Thus, we choose to calibrate the parameters by applying the SNMF decomposition technique (see [21,22]) to the matrix , whose elements are defined as follows:
where is the sampling estimator of covariance.
Given and estimated by decomposing , we can calibrate the ACF () by the following relation between observable quantities and parameters, once again directly implied from Assumption 3:
Hence, the ACF parameters introduced in Assumption 4 are estimated as the solution of the following optimization problem:
where is the sampling estimator of variance.
Remark 3.
The optimization problem stated in Equation (24) can still be utilized to calibrate the ACF, even if Assumption 4 is modified to choose a functional form of other than .
Finally, can be inferred by as the solution of the problem
Section 3.1 reports a numerical validation of the calibration procedure discussed above.
2.5. Application as a Recession Risk Forecasting Index
Section 2.3 introduces two random variables , representing the unconditioned and conditioned one-year hazard rates per cluster , respectively. Section 2.4 describes the calibration procedure needed to specify their distributions fully.
In the remainder of Section 2, we describe the two applications of the framework depicted so far. First, let us introduce the random variables needed in this subsection and the following one. As anticipated above, can be interpreted as the array of one-year PIT hazard rates. Thus, the one-year PIT default probability , default event , and default frequency of the debtors belonging to the h-th cluster can be written as
while the replacement provides the corresponding TTC random variables: , , and . It is worth recalling that our model—like —is doubly stochastic, as are also random variables. Since is a TTC variable, its right-tail values are expected to reproduce the frequency-of-default level observed during past recession crises, provided that the time series considered in calibration is deep enough in the past to be considered TTC.
Assuming that the model is calibrated based on adequate time series, we determine the next year “recession” scenario of default probability for the h-th cluster as , where is the cdf of and is a given tolerance level.
Loosely speaking, to understand how far is from experiencing a recession in a p-worst-case scenario, we need to compare with the corresponding PIT quantity . Thus, two plain and readable definitions of a Recession Risk index per cluster are
As , the tail values of the PIT default probability distribution are closer to the corresponding TTC values; thus, recession events similar to the ones observed in the past are more likely. On the other side, implies that the tail of the current PIT distribution estimated in t is not comparable with the corresponding TTC distribution and, thus, the h-th cluster is far from experiencing a recession phase.
The “min” term introduced in the definition bounds the index domain to the compact interval . Hence, is dedicated only to understand whether the h-th cluster is far from experiencing a recession phase or not. Without the “min” term, it is not forbidden that the currently observed PIT distribution exhibits a “wider” right tail that the TTC distribution . This may be the case when approaching a recession worse than all previously observed in the time series available for calibration purposes. In such a case, may provide an insight concerning the magnitude of the possible recession phase that is approaching or occurring.
The index definition is anchored to the choice of p. At an increasing p, we are comparing less likely and more extreme scenarios of the PIT and the TTC distributions. Hence, should be chosen if we want to have early warnings of rare, extreme recession periods. On the other hand, a lesser p value—such as the 3rd quartile —should be chosen when aiming to monitor more frequent but less intense periods of simultaneous default events.
A comprehensive comparison between the PIT and TTC hazard rate tails is also feasible by considering an averaged index, such as
Indexes proposed in Equations (29)–(32) provide nontrivial information in at least two aspects. First, they compare the right tails of two forward-looking probability distributions arising from the proposed model. Second, each cluster’s index is evaluated based on the dependency structure among the clusters. Hence, the indexes can highlight a potential crisis situation even when a given cluster’s currently observed default frequency is under the cluster’s average level.
A numerical application of the proposed indexes to a real-world historical dataset is provided below in Section 3.2.
2.6. Application as a Solvency II Recession Risk Internal Model
In the following, RecessionRisk+ is applied as a PIM in the Solvency II framework to jointly measure C&S Premium Risk and Recession Risk.
First, let us introduce the random variable , which is the PIT one-year loss distribution generated by a given C&S portfolio.
where is the loss-given default generated by the i-th debtor. can be either deterministic or stochastic, with being easily simulated in both cases. When dealing with portfolios that are homogenous at cluster or higher level, can be simplified as .
The Premium Risk SCR represents the unexpected one-year loss level at the quantile for a given Line of Business. Thus, we can quantify the C&S Premium Risk measure as a risk capital evaluated on the distribution.
where is the cdf of . As discussed above in Section 2.5 with regard to each considered cluster, the C&S portfolio is likely to experience a recession phase when the right tail of is approaching the corresponding TTC distribution . Hence, our framework provides a “natural” dampening measure to quantify the Recession Risk SCR:
Using the same concept underlying Equation (30), widens as the “global” TTC loss distribution exhibits a right tail that is wider than the one of the corresponding “local” PIT distribution . Conversely, when tail loss scenarios are similar to or worse than the ones implied by , the capital requirement generated by the Recession Risk component lowers, releasing the company’s Own Funds. The “max” term is introduced to prevent a negative capital requirement in extremely severe recession scenarios.
Intuitively, the measures and could be summated, resulting in a prudential measure of unexpected loss , where the “max” term is not considered as being introduced only to cope with the Solvency II balance sheet legal requirements and with the expected one-year loss being evaluated based on the PIT loss , which provides a more reliable short-term estimate than the TTC loss L by definition.
Although reasonable, this linear aggregation mechanism between C&S Premium Risk and Recession Risk SCR components does not cope with the Solvency II Standard Formula’s aggregation rules. Indeed, the Standard Formula requires that
where , is the Recession Risk SCR, is the Catastrophe Default Risk SCR, is the Catastrophe Human-made Risk SCR, and is the Underwriting Risk SCR.
Equation (36) holds specifically under the assumption that all the risk components different from , , and are null and that C&S is the only Line of Business to be considered at risk. Imposing and implies that because we exploit a diversification effect introduced in the Standard Formula aggregation structure that is not featured in our model structure.
To fix this, we can insert our PIM in the Standard Formula structure, imposing that
Remark 4.
Actually, by construction. In fact, , where () are the first and the second largest exposures in the considered C&S portfolio, and is a loss-given-default coefficient fixed by EIOPA. Hence, any non-empty portfolio that exhibits also has a positive measure. Nonetheless, copes with the other constraints listed in Equation (37), implying that the measure is distributed only between and .
Equation (38) allows the application of RecessionRisk+ to the Solvency II Recession Risk SCR without any undue diversification benefit. It is worth noting that behaves as required. In fact, it holds and by construction. Further, it is easily verified that if .
Applying Equation (38) to the Premium Risk and Recession Risk measures, all the other SCR components can be evaluated and aggregated according to the Standard Formula specifications, including .
We can heuristically assess the degree of prudentiality obtained with the map by considering the model’s behavior at the trough and the peak of the economic cycle separately.
At the trough of the cycle, it is expected that . Considering the first-order MacLaurin series approximation of in Equation (38), we have
Conversely, at the peak of the cycle, it is expected . Considering the first-order MacLaurin series approximation of as a function of , we have
Hence, and are comparable at the peak of the cycle, while is expected to be about four times during recession periods, neutralizing the undue diversification benefit and satisfying the prudential behavior required from a PIM in the Solvency II framework.
A numerical application of the proposed Partial Internal Model to a real-world historical dataset is provided below in Section 3.3.
3. Numerical Applications
This section presents a selection of numerical experiments and case studies concerning the theoretical framework presented so far.
Section 3.1 discusses a numerical experiment performed to verify the absence of bias in the estimators introduced in Section 2.4, performing the calibration over a set of simulated scenarios, where the “true” parameters behind the simulated default frequencies are a priori chosen and, thus, known.
Section 3.2 and Section 3.3 describe two real-world case studies where the model applications introduced above in Section 2.5 and Section 2.6 are implemented and tested.
3.1. Validation of the Proposed Calibration Techniques on a Simulated Dataset
Generally speaking, unbiasedness is a desirable property for the estimators of any model’s parameters. To assess an estimator’s unbiasedness analytically, one must derive its distribution function and compute its expected value. Numerically, a Monte Carlo simulation allows one to check whether the estimators show clear deviations from the hypothesis of unbiasedness.
We have investigated the (possible) bias of the estimators introduced in Section 2.4 with a dedicated Monte Carlo experiment, finding that the sample averages of the estimated values of the parameters are in agreement, within confidence interval implied from Monte Carlo error, with the values used—in input—to generate the Monte Carlo samples mimicking real datasets.
The experiment was carried out as follows: We have considered an “infinite size” portfolio composed of clusters and a market described by sectors. The “infinite size” assumption corresponds to assuming that the size of each h-th cluster population is large enough that the contribution of the binomial error to the estimate of is negligible. The numerical findings of [22] justify this assumption and allow to speed up the test.
Given the portfolio, we have generated trajectories of the state variable , taking into account autocorrelation in the trajectories. The trajectories start at time and end at time years, with a monthly time step (). In each trajectory, autocorrelation was produced by generating, for each , the vector from a multivariate distribution having a dependence structure described by a normal copula function with correlation matrix , and marginal distributions. Following Assumption 4, the elements of the K correlation matrices were chosen as .
Given the state variable trajectories, for each trajectory and each cluster in the portfolio, we computed the default probabilities (). In this way, we obtained a set of datasets, each mimicking a possible time series of the realized default frequencies under the infinite size assumption mentioned above.
The next step is the estimate of the matrix, as defined in Equation (23). Possibly, this operation implies a regularization of the estimated covariance matrix of the hazard rates , which is performed using a standard algorithm [38]. We have checked that the inferred matrix per scenario reproduced well to the “true” A matrix utilized to simulate the scenarios.
The following step is the decomposition of in and using the SNMF, which is performed as in [21,22]. Numerically, this is the most delicate phase of the calibration since the solution to the numerical problem is not unique; in fact, different approximate solutions exist and are equally acceptable. Possibly, the factorization can use a regularization technique to identify the solution closest to an a priori solution. However, in this work, no regularization was introduced. Thus, we tested the unbiasedness of the estimate on the elements of the diagonal of the matrix rather than on the elements of the matrices and separately. Since depends on the product of and , this approach is a test that the factorization respects all constraints.
Figure 2 shows the distributions (as boxplots) of the estimates obtained in the scenarios versus the input values (as red dots). Since the average values of the boxplots cope with the input values, the possible unknown bias is deemed sufficiently small to be neglected.
Figure 2.
Comparison of the estimated values’ distribution of the diagonal elements of (shown as boxplots) and the corresponding input values to the simulated trajectories (red points), for each of the clusters.
After matrix factorization is performed, the values of () parameters can be inferred using Equation (24).
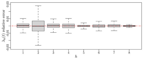
The last part of the numerical exercise is the reproduction of observed at the end of the time series. This computation involves all the estimated parameters and the inference of , which can be estimated as the solution to the problem stated in Equation (25). Figure 3 shows each cluster’s distribution of the relative error. The distributions are nicely centered on zero, which provides evidence in favor of the estimator’s unbiasedness.
Figure 3.
Distributions (boxplots) of the relative error in the estimate of at the end of the time series for each of the clusters. The red dashed line is the zero relative error level.
Given that the chosen numerical scenarios were generated based on realistic parameters, we are confident that the numerical procedure used in the estimate is robust enough both from the theoretical and practical points of view.
3.2. The 2012 Italian Sovereign Debt Crisis: A Indexes’ Case Study
In the 2011–2012 period, a complex crisis concerning the spread of sovereign debt arose across Europe. In Italy, significant effects on the real economy were apparent starting from 2012, following the approval of a large austerity plan in September 2011 [39]. The Italian parliament approved such a plan to contrast the crisis and its effect on the spread dynamics of Italian obligations. Discussing the causes and the evolution of that recession period is beyond the purposes of this work; however, the literature offers deep and accurate analyses that investigate those years under various perspectives (see, e.g., refs. [40,41] and the references therein).
Nonetheless, it is worth studying the behavior of through the time series of the Italian insolvency rates before and after the 2012 crisis. Indeed, these are publicly available from the Italian banking system and offer an ideal test bed to our model, as it can be calibrated based on observations preceding the crisis and then applied to define indexes to be observed during the crisis, verifying its ability to detect the different regimes occurring after 2012. As detailed in Section 2.4, the only dataset needed to calibrate is the couple of counters and , per cluster and past the observation date. Indeed, their ratios (like the Italian insolvency rates considered in this application) enable the full parameterization of the model. No other financial or economic information is needed.
The data utilized to calibrate the model for this application are the historical time series of bad loan rates supplied by the Bank of Italy. “Bad loans” are a subcategory of the broader class “Non-Performing Loans”, and they are defined as “exposures to debtors that are insolvent or in substantially similar circumstances” [42]. In particular, the chosen dataset is composed of the quarterly historical series TRI30496 (, choosing 1 year as the long time scale) over 14 years (from 1 January 2004 to 31 December 2017). The time series are publicly available at [43] and are supplied by six distinct customer sectors (), listed in Table 1.
Table 1.
Economic sectors available in the TRI30496 historical dataset.
As explained above, this application of focuses on the model’s ability to detect—or even to anticipate—the effect of the 2011–2012 crisis on the default rates observed in the following years, being calibrated to time series up to the end of 2010. Figure 4 displays the model performance across the available sectors. The index introduced in Equation (31) is compared with the default rate measured over the following period . The only parameter updated on a quarterly basis is the array , representing the last inferred value of the short-scale latent factors, based on the information available at t. All the other parameters are fixed at the 31 December 2010 filtration, estimated following the techniques described in Section 2.4. Re-performing a quarterly complete calibration would have been feasible, and the model would have a fair advantage from this. Nonetheless, calibrating the model only once highlights its robustness in a real-world context. Figure 4 shows that the index dynamics mimic or anticipate the observed default rate dynamics. Although noise and local deviations of the index from a posteriori observations are appreciable, the result is even more remarkable considering that is a reduced-form autoregressive model and does not consider any exogenous information on the macroeconomic or financial context at all.

Figure 4.
Index (, blue line) scaled and compared to the a posteriori observed 1-year default frequency time series (red line) for each sector listed in Table 1.
3.3. Numerical Comparison Between the Internal Model and the Standard Formula
In Section 2.6, the model is utilized to quantify the Recession Risk and the Premium Risk components of the Solvency Capital Requirement (SCR) for an insurance company operating in the Solvency II’s Segment 6 (credit and suretyship insurance). Further, the same framework also provides a measure of the expected loss , which represents the Best Estimate Liabilities component of the Premium Provision for the same segment. We now introduce some simplifying assumptions in order to build a toy Solvency II balance sheet with the available elements and compare its behavior when computed through the Standard Formula and internal model. First, we assume claims are being paid instantly (i.e., no reserve provisions and no reserve risk) and that lapse events do not apply to the policies at risk in the company’s portfolio. The latter assumption implies the absence of Lapse Risk, which is realistic for a Segment 6 portfolio. The policies are assumed to expire precisely after one year, which, once again, is a realistic assumption for the considered line of business and allows us to exclude the future premiums contribution from our Standard Formula determination of the SCR.
Further, the Risk Margin is assumed to be proportional to the SCR, enabling the computation of technical provisions from the available elements. Conversely, the policy premiums are assumed to be proportional to , following a classic approach (see, e.g., ref. [13] and the references therein). This assumption enables the computation of the volume measure needed for the Standard Formula Premium Risk and Catastrophe Recession Risk. The other components of the SCR not directly related to the insurance policies are neglected (e.g., operational risk; market, credit, and counterparty risks; deferred taxes and intangible assets). Finally, Catastrophe Default Risk is kept constant through time, assuming that the two largest exposures in the portfolio remain the same two debtors or contractors.
The (toy) Solvency II liabilities described above can be fully quantified with the model and the Standard Formula. We considered the dataset described in Section 3.3 as realistic quarterly dynamics of default probabilities. Each of our simulated debtors and contractors has an exposure inversely proportional to their default probabilities to represent the greater risk appetite of an insurer for the less risky subjects, and they are distributed among all the six economic sectors reported in Table 1. Instead of a uniform distribution, we have chosen to distribute them, introducing a negative dependency between and . Doing so, we have a realistic portfolio with “many” small exposures on subjects characterized by low creditworthiness and, conversely, a few exposures on high-standing subjects.
Figure 5 shows the behavior of the Solvency II liabilities across the quarters if the model is applied. The total liabilities level remains remarkably stable through time, although nontrivial dynamics of the underlying components are observed. This fact shows that the dampening mechanism originally conceived by EIOPA is restored by applying our model. Conversely, Figure 6 displays the effect of the Solvency 2 Standard Formula quantification of the same liabilities. Given the simplifications adopted in the Standard Formula’s SCR component for Recession Risk, the dampening mechanism is absent, and the level of total liabilities is subject to evident variations through time.
Figure 5.
Solvency II liabilities applying the model (quarterly simulations). The liabilities’ level is displayed on a logarithmic scale and with arbitrary units of economic value.
Figure 6.
Solvency II liabilities applying the Solvency II Standard Formula (quarterly simulations). The liabilities’ level is displayed on a logarithmic scale and with arbitrary units of economic value.
4. Conclusions
In this work, we have proposed a new model to measure Recession Risk based on the collective dynamics of default events generated by a population that can be clustered in distinct, internally homogenous sectors. The RecessionRisk+ model can be regarded as a reduced-form latent-factors’ model, like the classic CreditRisk+ from whom it was inspired. Nonetheless, there are relevant differences between the two models. The Bernoulli representation of default events was restored (instead of the Poisson approximation adopted by and moving the copula application from default probabilities to hazard rates), and the latent market factors were defined over multiple time scales, enabling a roll-over framework both in calibration (past observation times) and in projection (future observation times). Further, each market factor was autocorrelated, introducing a model memory that allowed different conditional distributions of future default probabilities to interfere depending on the recently observed default frequencies.
The RecessionRisk+ model has practical applications that make it relevant in real-world scenarios. It enables the estimation of the likelihood of a recession occurring in the next period, allowing for a comparison of multivariate through-the-cycle probability distribution and the corresponding point-in-time distribution within a consistent framework. This comparison facilitates the definition of a Solvency II internal model for Recession Risk that restores the dampening mechanism originally conceived by EIOPA, as we have numerically verified. The model can also be applied to define a set of non-macroeconomic indexes that allow for the separate monitoring of an economy’s proximity to a recession period per economic sector. Numerical simulations show that the model’s performance meets the a priori expectations in both the proposed applications.
A limitation of this research that may be addressed in further works is that a part of the analytical results is based on a “low-volatility assumption” that enables the approximation of the Gamma distributions used to describe the market factors as normal distributions. Further analytical developments may generalize the closed-form results provided by this work, weakening or even removing that approximation, although the model can be utilized in its present version without any practical limitations. Another possible analytical development is the investigation of the model’s consistency, given an ACF functional form that is different from the one utilized in this work. The robustness of the currently proposed set of assumptions can be further investigated as well, both by measuring the model’s performances on simulated data under different conditions and by applying the model to other historical datasets featuring peaks of default frequencies, such as the credit risk dynamics observed during the COVID-19 pandemic or the commodities prices crisis originated by the Russo–Ukrainian conflict.
This work also offers the possibility of relevant further developments from an applied perspective. Since the model is designed to describe the collective dynamics of absorbing events in a short-term-memory system, a change of semantics could enable applications of the model in other fields, such as epidemiology, where it is worth investigating the possible application of this model to measure the pandemic risk of a population, or herd behaviors when facing binary decisions, with particular—but not exclusive—reverence to the context of behavioral finance.
Author Contributions
Conceptualization, J.G. and L.P.; Methodology, J.G. and L.P.; Software, J.G.; Validation, J.G. and L.P.; Formal analysis, J.G. and L.P.; Investigation, J.G.; Writing—original draft, J.G.; Writing—review & editing, L.P. All authors have read and agreed to the published version of the manuscript.
Funding
This research received no external funding.
Data Availability Statement
The data that support the findings of this study are openly available in “Banca d’Italia—Base Dati Statistica” [43].
Conflicts of Interest
All authors declare that the research was conducted in the absence of any commercial or financial relationships that could be construed as a potential conflict of interest.
Appendix A. Auxiliary Results
In this section, we report some results needed in Section 2.3.
Proposition A1
(Gaussian limit). Let X be a Gamma-distributed random variable, such that
In the limit , it holds that
Proof.
The X probability densities can be written as
Since holds, we have
By introducing the auxiliary variable and replacing with the first three terms of its MacLaurin series, Relation (A2) can be equivalently written as
Changing back in Equation (A3) completes the proof. □
Proposition A2
(Correlated Gaussian variables). Let be a normally distributed random variable in , such that
Moreover, the conditional distribution is normal, with
Proof.
Let us consider first the standardized bivariate variable
The () joint density function is
and the marginal density function is
Thus, the conditional density function can be written as
implying and . By changing back , we have
and
completing the proof. □
Appendix B. List of Acronyms
Table A1 below reports all the acronyms utilized in this work for better readability.
| Acronym | Meaning |
|---|---|
| ACF | Autocorrelation Function |
| C&S | Credit and suretyship insurance |
| CR+ | CreditRisk+ |
| CSFB | Credit Suisse First, Boston |
| EAD | Exposure at default |
| EIOPA | European Insurance and Occupational Pensions Authority |
| ICISA | International Credit Insurance and Surety Association |
| LoB | Line of Business |
| PD | Probability of Default |
| PIM | Partial Internal Model |
| PIT | Point in time |
| RM | Risk Margin |
| RR+ | RecessionRisk+ |
| SCR | Solvency Capital Requirement |
| TTC | Through the cycle |
| VaR | Value at Risk |
References
- Economic Cycle Research Institute (ECRI). What’s A Business Cycle? ECRI’s Website. Available online: https://www.businesscycle.com/resource-center (accessed on 30 August 2024).
- Corporate Financial Institute (CFI). What is the Economic Cycle? CFI’s Website. Available online: https://corporatefinanceinstitute.com/resources/economics/economic-cycle (accessed on 30 August 2024).
- Claessens, S.; Ayhan Kose, M. Recession: When Bad Times Prevail. Finance & Development Magazine, International Monetary Fund (IMF). Available online: https://www.imf.org/external/pubs/ft/fandd/basics/recess.htm (accessed on 30 August 2024).
- Claessens, S.; Ayhan Kose, M.; Terrones M., E. What happens during recessions, crunches and busts? Econ. Policy 2009, 24, 653–700. [Google Scholar] [CrossRef]
- Claessens, S.; Ayhan Kose, M.; Terrones, M.E. Financial Cycles: What? How? When? IMF Working Paper WP/11/76. 2011. Available online: https://www.imf.org/external/pubs/ft/wp/2011/wp1176.pdf (accessed on 30 August 2024).
- National Bureau of Economic Research (NBER). Business Cycle Dating. NBER’s Website. Available online: https://www.nber.org/research/business-cycle-dating (accessed on 30 August 2024).
- Bruche, M.; González-Aguado, C. Recovery rates, default probabilities, and the credit cycle. J. Bank. Financ. 2010, 34, 754–764. [Google Scholar] [CrossRef]
- Nickell, P.; Perraudin, W.; Varotto, S. Stability of rating transitions. J. Bank. Financ. 2000, 24, 203–227. [Google Scholar] [CrossRef]
- Hamilton, D.; Su, J. High Yield’s Resilience Masks Underlying Weaknessin Corporate Credit. Moody’s First Quarter US Credit Review & Outlook. 2024. Available online: https://www.moodys.com/web/en/us/insights/resources/us-credit-review-and-outlook-q1-2024.pdf (accessed on 30 August 2024).
- Directive 2009/138/EC of the European Parliament and of the Council of 25 November 2009. Available online: https://eur-lex.europa.eu/eli/dir/2009/138/oj (accessed on 30 August 2024).
- Commission Delegated Regulation (EU) 2015/35 of 10 October 2014 Supplementing Directive 2009/138/EC of the European Parliament and of the Council on the Taking-Up and Pursuit of the Business of Insurance and Reinsurance. Available online: https://eur-lex.europa.eu/eli/reg_del/2015/35/oj (accessed on 30 August 2024).
- Commission Delegated Regulation (EU) 2019/981 of 8 March 2019 Amending Delegated Regulation (EU) 2015/35 Supplementing Directive 2009/138/EC of the European Parliament and of the Council on the Taking-Up and Pursuit of the Business of Insurance and Reinsurance (Solvency II). Available online: https://eur-lex.europa.eu/eli/reg_del/2019/981/oj (accessed on 30 August 2024).
- Giacomelli, J.; Passalacqua, L. Unsustainability Risk of Bid Bonds in Public Tenders. Mathematics 2021, 9, 2385. [Google Scholar] [CrossRef]
- Giacomelli, J. The Rating Scale Paradox: An Application to the Solvency 2 Framework. Standards 2023, 3, 356–372. [Google Scholar] [CrossRef]
- Giacomelli, J. Parametric estimation of latent default frequency in credit insurance. J. Oper. Res. Soc. 2022, 74, 330–350. [Google Scholar] [CrossRef]
- Committee of European Insurance and Occupational Pensions Supervisors (CEIOPS). Solvency II Calibration Paper. CEIOPS-SEC-40-10. 15 April 2010. Available online: https://register.eiopa.europa.eu/CEIOPS-Archive/Documents/Advices/CEIOPS-Calibration-paper-Solvency-II.pdf (accessed on 30 August 2024).
- International Credit Insurance & Surety Association. Comments Template on Consultation Paper on EIOPA’s Second Set of Advice to the European Commission on Specific Items in the Solvency II Delegated Regulation. Feedback from ICISA to EIOPA. January 2018. Available online: https://register.eiopa.europa.eu/Publications/Comments/Oliver%20Lockwood_01_03_18.pdf (accessed on 30 August 2024).
- EIOPA. EIOPA’s Second Set of Advice to the European Commission on Specific Items in the Solvency II Delegated Regulation. EIOPA-BoS-18/075. 28 February 2018. Available online: https://www.eiopa.europa.eu/publications/eiopas-second-set-advice-european-commission-specific-items-solvency-ii-delegated-regulation_en (accessed on 30 August 2024).
- Credit Suisse First Boston. CreditRisk+, A Credit Risk Management Framework; Credit Suisse First Boston: London, UK, 1998. [Google Scholar]
- Wilde, T. CreditRisk+. In Encyclopedia of Quantitative Finance; John Wiley & Sons: Hoboken, NJ, USA, 2010. [Google Scholar]
- Vandendorpe, A.; Ho, N.D.; Vanduffel, S.; Van Dooren, P. On the parameterization of the CreditRisk+ model for estimating credit portfolio risk. Insur. Math. Econ. 2008, 42, 736–745. [Google Scholar] [CrossRef]
- Giacomelli, J.; Passalacqua, L. Calibrating the CreditRisk+ Model at Different Time Scales and in Presence of Temporal Autocorrelation. Mathematics 2021, 9, 1679. [Google Scholar] [CrossRef]
- Giacomelli, J.; Passalacqua, L. Improved precision in calibrating CreditRisk+ model for Credit Insurance applications. In Mathematical and Statistical Methods for Actuarial Sciences and Finance—eMAF 2020; Springer International Publishing: Berlin/Heidelberg, Germany, 2021. [Google Scholar] [CrossRef]
- Basel Committee on Banking Supervision (BSBC). The Internal Ratings-Based Approach. Bank for International Settlements. January 2001. Available online: https://www.bis.org/publ/bcbsca05.pdf (accessed on 30 August 2024).
- Durović, A. Macroeconomic Approach to Point in Time Probability of Default Modeling—IFRS 9 Challenges. J. Cent. Bank. Theory Pract. 2019, 8, 209–223. [Google Scholar] [CrossRef]
- Borio, C. The financial cycle and macroeconomics: What have we learnt? J. Bank. Financ. 2014, 45, 182–198. [Google Scholar] [CrossRef]
- Borio, C.; Drehmann, M.; Xia, D. The financial Cycle and Recession Risk. BIS Quarterly Review. December 2018, pp. 59–71. Available online: https://www.bis.org/publ/qtrpdf/r_qt1812g.pdf (accessed on 30 August 2024).
- Borio, C.; Drehmann, M.; Xia, F.D. Forecasting recessions: The importance of the financial cycle. J. Macroecon. 2020, 66, 103258. [Google Scholar] [CrossRef]
- Liu, W.; Moench, E. What predicts US recessions? Int. J. Forecast. 2016, 32, 1138–1150. [Google Scholar] [CrossRef]
- Giesecke, K.; Longstaff, F.A.; Schaefer, S.; Strebulaev, I. Corporate bond default risk: A 150-year perspective. J. Financ. Econ. 2011, 10, 233–250. [Google Scholar] [CrossRef]
- Wilson, T. Portfolio credit risk, I. Risk 1997, 10, 111–117. [Google Scholar] [CrossRef]
- Wilson, T. Portfolio credit risk, II. Risk 1997, 10, 56–61. [Google Scholar]
- Giesecke, K.; Weber, S. Cyclical correlations, credit contagion, and portfolio losses. J. Bank. Financ. 2004, 28, 3009–3036. [Google Scholar] [CrossRef]
- Carlehed, M.; Petrov, A. A methodology for point-in-time-through-the-cycle probability of default decomposition in risk classification systems. J. Risk Model. Valid. 2012, 6, 3–25. [Google Scholar] [CrossRef]
- Kotz, S.; Adams, J.W. Distribution of Sum of Identically Distributed Exponentially Correlated Gamma-Variables. Ann. Math. Stat. 1964, 35, 277–283. [Google Scholar] [CrossRef]
- Florent, C.; Borgnat, P.; Tourneret, J.; Abry, P. Parameter estimation for sums of correlated gamma random variables. Application to anomaly detection in Internet Traffic. In Proceedings of the 2008 IEEE International Conference on Acoustics, Speech and Signal Processing, Las Vegas, NV, USA, 31 March–4 April 2008. [Google Scholar]
- Feng, Y.; Wen, M.; Zhang, J.; Ji, F.; Ning, G. Sum of arbitrarily correlated Gamma random variables with unequal parameters and its application in wireless communications. In Proceedings of the IEEE 2016 International Conference on Computing, Networking and Communications (ICNC), Kauai, HI, USA, 15–18 February 2016. [Google Scholar] [CrossRef]
- Higham, N. Computing the nearest correlation matrix—A problem from finance. IMA J. Numer. Anal. 2002, 22, 329–343. [Google Scholar] [CrossRef]
- Italy Parliament Gives Final Approval to Austerity Plan. Reuters. September 2011. Available online: https://www.reuters.com/article/us-italy-austerity-idUSTRE78C7NF20110914/ (accessed on 30 September 2024).
- De Grauwe, P.; Ji, P.; Steinbach, A. The EU debt crisis: Testing and revisiting conventional legal doctrine. Int. Rev. Law Econ. 2017, 51, 29–37. [Google Scholar] [CrossRef]
- Hobelsberger, K.; Kok, C.; Mongelli, F.P. A Tale of Three Crises: Synergies Between ECB Tasks. ECB Occasional Paper Series No 305. September 2022. Available online: https://www.ecb.europa.eu/pub/pdf/scpops/ecb.op305~f9d43bd762.en.pdf (accessed on 30 September 2024).
- Non-Performing Loans (NPLs) in Italy’s Banking System. 2017. Available online: https://www.bancaditalia.it/media/approfondimenti/2017/npl/index.html (accessed on 30 September 2024).
- The Count of Newly Non-Performing Borrowers During the Period Series Is Labelled as TRI30529_351121441. The Count of Performing Borrowers at the Beginning of the Period Series Is Labelled as TRI30529_351122141. Data Are Filtered by the ATECO 2007 Economic Sector “F-Constructors”. Bank of Italy Statistical Database. Available online: https://infostat.bancaditalia.it/inquiry/ (accessed on 30 September 2024).
Disclaimer/Publisher’s Note: The statements, opinions and data contained in all publications are solely those of the individual author(s) and contributor(s) and not of MDPI and/or the editor(s). MDPI and/or the editor(s) disclaim responsibility for any injury to people or property resulting from any ideas, methods, instructions or products referred to in the content. |
© 2024 by the authors. Licensee MDPI, Basel, Switzerland. This article is an open access article distributed under the terms and conditions of the Creative Commons Attribution (CC BY) license (https://creativecommons.org/licenses/by/4.0/).