Finite-Time Partial Component Consensus for Nonlinear Leader-Following Multi-Agent Systems
Abstract
1. Introduction
- The FTPCC for the first-order nonlinear MASs is studied for the first time and the relevant definition of FTPCC is given in this paper.
- For nonlinear MASs without external disturbances and nonlinear MASs with external disturbances, control protocols that can achieve FTPCC are proposed. Furthermore, the designed consensus protocols are more flexible because parameters can be different, which can be used more widely in practical applications.
- The agents in the MASs considered in this paper are all n-dimensional rather than one-dimensional, which makes the theoretical results given by this paper can be applied to many fields.
2. Preliminaries and Model Description
2.1. Graph Theory
2.2. Partial Variable Stability Theory
2.3. Problem Statement
- (i)
- (ii)
- (iii)
- (iv)
- where k is a constant.
3. Main Result
3.1. FTPCC Without Bounded Disturbances
3.2. FTPCC with Bounded Disturbances
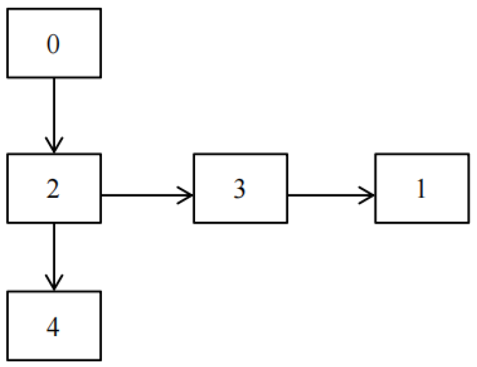
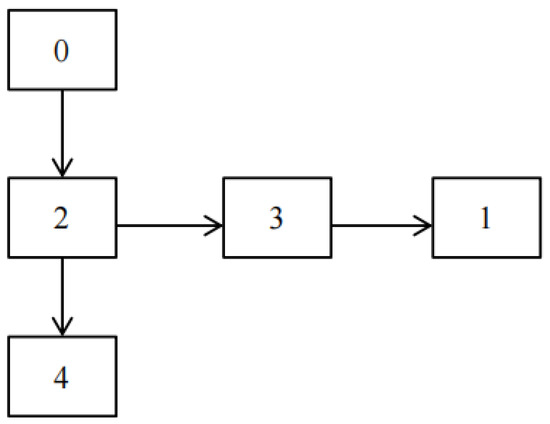
4. Numerical Examples
4.1. Example 1
4.2. Example 2
5. Conclusions
Author Contributions
Funding
Data Availability Statement
Acknowledgments
Conflicts of Interest
References
- Fax, J.; Murray, R. Information flow and cooperative control of vehicle formations. IEEE Trans. Autom. Control 2004, 49, 1465–1476. [Google Scholar] [CrossRef]
- Wang, Y.W.; Wei, Y.W.; Liu, X.K.; Zhou, N.; Cassandras, C.G. Optimal persistent monitoring using second-order agents with physical constraints. IEEE Trans. Autom. Control 2019, 64, 3239–3252. [Google Scholar] [CrossRef]
- Lee, D.; Spong, M.; Mark, M. Stable flocking of multiple inertial agents on balanced graphs. IEEE Trans. Autom. Control 2007, 52, 1469–1475. [Google Scholar] [CrossRef]
- Hong, Y.G.; Hu, J.P.; Gao, L.X. Tracking control for multi-agent consensus with an active leader and variable topology. Automatica 2006, 42, 1177–1182. [Google Scholar] [CrossRef]
- Ren, W.; Beard, R.W. Consensus seeking in multiagent systems under dynamically changing interaction topologies. IEEE Trans. Autom. Control 2005, 50, 655–661. [Google Scholar] [CrossRef]
- Zhang, Y.; Wen, G.; Rahmani, A.; Peng, Z.X.; Hu, W. Cluster consensus of multi-agent systems with general linear and nonlinear dynamics via intermittent adaptive pinning control. Trans. Inst. Meas. Control 2021, 43, 1337–1346. [Google Scholar] [CrossRef]
- Fan, L.L.; Wu, C.Y. Distributed finite-time consensus control of second-order multi-agent systems subject to communication time delay. J. Control Sci. Eng. 2021, 3786530. [Google Scholar] [CrossRef]
- Chen, L.K.; Guo, L.X.; Yang, Q.Y. Projective group Consensus of multi-agent systems with arbitrary parameter. J. Syst. Sci. Complex. 2021, 34, 618–631. [Google Scholar] [CrossRef]
- Wang, Y.; Ma, Z.J.; Zheng, S.; Chen, G.R. Pinning control of lag-consensus for second-order nonlinear multiagent systems. IEEE Trans. Cybern. 2017, 47, 2203–2211. [Google Scholar] [CrossRef]
- Wei, J.; Themistoklis, C. Distributed consensus tracking of multi-agent systems with time-varying input output delays and mismatched disturbances. IFAC-PapersOnLine 2021, 54, 787–794. [Google Scholar]
- Zhou, B.L.; Yang, Y.Q.; Xu, X.Y. The group-delay consensus for second-order multi-agent systems by piecewise adaptive pinning control in part of time interval. Phys. Stat. Mech. Its Appl. 2019, 513, 694–708. [Google Scholar] [CrossRef]
- Ren, J.H.; Zong, X.F. Containment control of multi-agent systems with stochastic multiplicative noises. J. Syst. Sci. Complex. 2022, 35, 909–930. [Google Scholar] [CrossRef]
- Hu, A.H.; Cao, J.D.; Hu, M.F.; Guo, L.X. Event-triggered group consensus for multi-agent systems subject to input saturation. J. Frankl. Inst. 2018, 355, 7384–7400. [Google Scholar] [CrossRef]
- Hu, M.F.; Guo, L.X.; Hu, A.H.; Yang, Y.Q. Leader-following consensus of linear multi-agent systems with randomly occurring nonlinearities and uncertainties and stochastic disturbances. Neurocomputing 2015, 149, 884–890. [Google Scholar] [CrossRef]
- Liu, X.D.; He, S.C.; Lu, P.L.; Liu, H.K.; Du, C.K. Finite-time consensus for multi-agent systems with nonlinear dynamics under Euler digraph via pinning control. Int. J. Syst. Sci. 2021, 52, 1664–1674. [Google Scholar] [CrossRef]
- Yang, P.; Zhang, A.; Bi, W. Finite-time group consensus for second-order multi-agent systems with input saturation. Neural Process. Lett. 2021, 54, 4211–4228. [Google Scholar] [CrossRef]
- Ji, L.H.; Lv, D.L.; Yang, S.S.; Guo, X.; Li, H.Q. Finite time consensus control for nonlinear heterogeneous multi-agent systems with disturbances. Nonlinear Dyn. 2022, 108, 2323–2336. [Google Scholar] [CrossRef]
- Li, P.M.; Wu, X.; Chen, X.Y.; Qiu, J.L. Distributed adaptive finite-time tracking for multi-agent systems and its application. Neurocomputing 2022, 481, 46–54. [Google Scholar] [CrossRef]
- Tong, P.; Chen, S.H.; Wang, L. Finite-time consensus of multi-agent systems with continuous time-varying interaction topology. Neurocomputing 2018, 284, 187–193. [Google Scholar] [CrossRef]
- Hu, M.F.; Cao, J.D.; Hu, A.H.; Yang, Y.Q.; Jin, Y.H. A novel finite-time stability criterion for linear discrete-time stochastic system with applications to consensus of multi-agent system. Circuits Syst. Signal Process. 2015, 34, 41–59. [Google Scholar] [CrossRef]
- Zhang, X.; Zhu, Z.H.; Liao, F.; Gao, H.; Li, W.; Li, G. Finite-Time Adaptive Consensus Tracking Control Based on Barrier Function and Cascaded High-Gain Observer. Drones 2023, 7, 197. [Google Scholar] [CrossRef]
- Li, Z.T.; Wang, Z.X.; Feng, Y.Z. Fixed-time consensus of first-order multi-agent systems over signed directed graphs. Trans. Inst. Meas. Control 2021, 43, 2392–2401. [Google Scholar]
- Chen, D.X.; Liu, X.L.; Yu, W.W. Finite-time consensus of multiagent systems with input saturation and disturbance. Int. J. Robust Nonlinear Control 2020, 31, 2097–2109. [Google Scholar]
- Li, X.B.; Yu, Z.H.; Zhong, Z.F.; Wu, N.Q.; Li, Z.W. Finite-time group consensus via pinning control for heterogeneous multi-agent systems with disturbances by integral sliding mode. J. Frankl. Inst. 2022, 359, 9618–9635. [Google Scholar] [CrossRef]
- Hu, W.; Zhang, W.; Ma, Z.; Li, K. Partial component consensus analysis of second-order and third-order nonlinear multi-agent systems. Phys. Stat. Mech. Its Appl. 2022, 593, 126857. [Google Scholar] [CrossRef]
- Wu, B.B.; Ma, Z.J.; Wang, Y. Partial component consensus of leader-following multi-agent systems. Acta Phys. Sin. 2017, 66, 5–11. [Google Scholar]
- Hu, W.J.; Zhang, G.; Ma, Z.J.; Wu, B.B. Partial component consensus of discrete-time multi-agent systems. Math. Probl. Eng. 2019, 122569. [Google Scholar] [CrossRef]
- Zhang, Z.C.; Ma, Z.J.; Wang, Y. Partial component consensus of leader-following multi-agent systems via intermittent pinning control. Phys. Stat. Mech. Its Appl. 2019, 536, 122569. [Google Scholar] [CrossRef]
- Moaaz, O.; Elabbasy, E.M.; Shaaban, E. Oscillation criteria for a class of third order damped differential equations. Arab. J. Math. Sci. 2018, 24, 16–30. [Google Scholar]
- Moaaz, O.; El-Nabulsi, R.A.; Bazighifan, O. Oscillatory behavior offourth-order diferential equations with neutral delay. Symmetry 2020, 12, 371. [Google Scholar]
- Li, J.F.; Ahmad, I.; Ahmad, H.; Shah, D.; Chu, Y.M.; Thounthong, P.; Ayaz, M. Numerical solution of two-term time-fractional PDE models arisingin mathematical physics using local meshless method. Open Phys. 2020, 18, 1063–1072. [Google Scholar] [CrossRef]
- Almarri, B.; Ali, A.H.; Lopes, A.M.; Bazighifan, O. Nonlinear differential equations with distributed delay: Some new oscillatory solutions. Mathematics 2022, 10, 995. [Google Scholar] [CrossRef]
- Yousif, M.A.; Hamasalh, F.K. Conformable non-polynomial spline method: A robust and accurate numerical technique. Ain Shams Eng. J. 2024, 15, 102415. [Google Scholar] [CrossRef]
- Chalishajar, D.; Kasinathan, D.; Kasinathan, R.; Kasinathan, R. Exponential stability, T-controllability and optimal controllability of higher-order fractional neutral stochastic differential equation via integral contractor. Chaos Solitons Fractals 2024, 186, 115278. [Google Scholar] [CrossRef]
- Kasinathan, R.; Kasinathan, R.; Chalishajar, D.; Baleanu, D.; Sandrasekaran, V. The averaging principle of Hilfer fractional stochastic pantograph equations with non-Lipschitz conditions. Stat. Probab. Lett. 2024, 215, 110221. [Google Scholar] [CrossRef]
- Ahmed, A.S.; AL-Nahhas, M.A.; Omar, O.A.; Chalishajar, D.N.; Ahmed, H.M. Controllability of impulsive nonlinear ψ-Hilfer fractional integro-differential equations. Results Control Optim. 2024, 16, 100455. [Google Scholar] [CrossRef]
- Chalishajar, D.; Chalishajar, H. Trajectory Controllability of Second Order Nonlinear Integro-Differential System: An Analytical and a Numerical Estimation. Differ. Equ. Dyn. Syst. 2014, 23, 467–481. [Google Scholar]
- Zhang, T.; Zhu, J.; Zhang, F.; Zhao, S.; Liu, W.; He, R.; Dong, H.; Hong, Q.; Tan, C.; Li, P. Residual swin transformer for classifying the types of cotton pests in complex background. Front. Plant Sci. 2024, 15, 1445418. [Google Scholar] [CrossRef]
- Vorotnikov, V.I. Partial stability and control: The state-of-the-art and development prospects. Autom. Remote Control 2005, 66, 511–561. [Google Scholar] [CrossRef]
- Zhao, L.; Liu, Y.G.; Li, F.Z.; Man, Y.C. Fully distributed adaptive finite-time consensus for uncertain nonlinear multi-agent systems. IEEE Trans. Cybern. 2022, 52, 6972–6983. [Google Scholar]
- Zoghlami, N.; Mlayeh, R.; Beji, L.; Abichou, A. Finite-time consensus for controlled dynamical systems in network. Int. J. Control 2018, 91, 813–826. [Google Scholar] [CrossRef]
- Wang, H.; Yu, W.W.; Ren, W.; Lv, J.H. Distributed adaptive finite-time consensus for second-order multi-agent systems with mismatched disturbances under directed networks. IEEE Trans. Cybern. 2021, 51, 1347–1358. [Google Scholar] [CrossRef] [PubMed]
- Ubhaya, U.A. Lipschitz condition in minimum norm problems on bounded functions. J. Approx. Theory 1985, 45, 201–218. [Google Scholar] [CrossRef][Green Version]
- Horn, R.A.; Johnson, C.R. Topics in Matrix Analysis; Cambridge University Press: Cambridge, UK, 1991. [Google Scholar]
- Shen, Y.J.; Xia, X.H. Semi-global finite-time observers for nonlinear systems. Automatica 2008, 44, 3152–3156. [Google Scholar] [CrossRef]
- Hardy, G.H.; Littlehood, J.E.; Polya, G. Inequalities; Cambridge University Press: Cambridge, UK, 1952. [Google Scholar]
- Yang, B.B.; Yan, Z.L.; Luo, M.M.; Hu, M.F. Fixed-time partial component consensus for nonlinear multi-agent systems with/without external disturbances. Commun. Nonlinear Sci. Numer. Simul. 2024, 130, 107732. [Google Scholar] [CrossRef]







| Example 1 | Example 2 | |
|---|---|---|
| Disturbance | with disturbance | without disturbance |
| PCC | the first two components | the first two components |
| Time of PCC | 0.6 s | 0.8 s |
Disclaimer/Publisher’s Note: The statements, opinions and data contained in all publications are solely those of the individual author(s) and contributor(s) and not of MDPI and/or the editor(s). MDPI and/or the editor(s) disclaim responsibility for any injury to people or property resulting from any ideas, methods, instructions or products referred to in the content. |
© 2024 by the authors. Licensee MDPI, Basel, Switzerland. This article is an open access article distributed under the terms and conditions of the Creative Commons Attribution (CC BY) license (https://creativecommons.org/licenses/by/4.0/).
Share and Cite
Yan, Z.; Yang, B.; Luo, M.; Hu, M. Finite-Time Partial Component Consensus for Nonlinear Leader-Following Multi-Agent Systems. Mathematics 2024, 12, 3552. https://doi.org/10.3390/math12223552
Yan Z, Yang B, Luo M, Hu M. Finite-Time Partial Component Consensus for Nonlinear Leader-Following Multi-Agent Systems. Mathematics. 2024; 12(22):3552. https://doi.org/10.3390/math12223552
Chicago/Turabian StyleYan, Zhaolei, Baibin Yang, Manman Luo, and Manfeng Hu. 2024. "Finite-Time Partial Component Consensus for Nonlinear Leader-Following Multi-Agent Systems" Mathematics 12, no. 22: 3552. https://doi.org/10.3390/math12223552
APA StyleYan, Z., Yang, B., Luo, M., & Hu, M. (2024). Finite-Time Partial Component Consensus for Nonlinear Leader-Following Multi-Agent Systems. Mathematics, 12(22), 3552. https://doi.org/10.3390/math12223552

