Some Symmetry and Duality Theorems on Multiple Zeta(-Star) Values
Abstract
1. Introduction
2. Some Preliminaries and Auxiliary Tools
3. Symmetric Formulas and Theorem 1
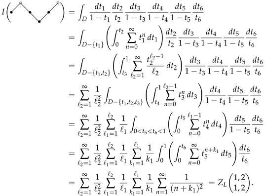
4. Duality Theorems and Theorem 2
- Method
- 1—The generating functions. We let , be the generating function of , , respectively, that is,
- Method
- 2—Yamamoto’s integral. Since the duality of the Euler sums is represented by in its Drinfel’d iterated integral, the corresponding 2-poset Hasse diagram appears as a vertical reflection, with ∘ and • interchanged.
- Method
5. Theorem 3 and Some More Formulas
Author Contributions
Funding
Data Availability Statement
Conflicts of Interest
References
- Hoffman, M.E. Multiple harmonic series. Pac. J. Math. 1992, 152, 275–290. [Google Scholar] [CrossRef]
- Ohno, Y. Sum relations for multiple zeta values. In Zeta Functions, Topology and Quantum Physics, Developments in Mathematics; Aoki, T., Kanemitsu, S., Nakahara, M., Ohno, Y., Eds.; Springer: Boston, MA, USA, 2005; Volume 14, pp. 131–144. [Google Scholar]
- Zagier, D. Values of zeta functions and their applications. In First European Congress of Mathematics Paris; Birkhäuser: Baesl, Switzerland, 1994; Volume II, pp. 497–512. [Google Scholar]
- Chen, K.-W. Generalized harmonic numbers and Euler sums. Int. J. Number Theory 2017, 13, 513–528. [Google Scholar] [CrossRef]
- Chen, K.-W.; Eie, M. On three general forms of multiple zeta(-star) values. Expo. Math. 2023, 41, 299–315. [Google Scholar] [CrossRef]
- Chen, K.-W.; Chung, C.-L.; Eie, M. Sum formulas and duality theorems of multiple zeta values. J. Number Theory 2016, 158, 33–53. [Google Scholar] [CrossRef]
- Yamamoto, S. Multiple zeta-star values and multiple integrals. RIMS Kôkyoku Bessatsu 2017, B68, 3–14. [Google Scholar]
- Kaneko, M.; Yamamoto, S. A new integral-series identity of multiple zeta values and regularizations. Sel. Math. New Ser. 2018, 24, 2499–2521. [Google Scholar] [CrossRef]
- Hirose, M.; Murahara, H.; Ono, M. On variants of symmetric multiple zeta-star values and the cyclic sum formula. Ramanujan J. 2021, 56, 467–489. [Google Scholar] [CrossRef]
- Yamamoto, S. Integrals associated with 2-posets and applications to multiple zeta values. RIMS Kôkyoku Bessatsu 2020, B83, 27–46. [Google Scholar]
- Nakasuji, M.; Phuksuwan, O.; Yamasaki, Y. On Schur multiple zeta functions: A combinatoric generalization of multiple zeta functions. Adv. Math. 2018, 333, 570–619. [Google Scholar] [CrossRef]
- Nakasuji, M.; Takeda, W. Shuffle product formula of the Schur multiple zeta values of hook type. arXiv 2022, arXiv:2202.01402v2. [Google Scholar]
- Tasaka, K.; Yamamoto, S. On some multiple zeta-star values of one-two-three indices. Inter. J. Number Theory 2013, 9, 1171–1184. [Google Scholar] [CrossRef]
- Xu, C. Evaluations of nonlinear Euler sums of weight ten. Appl. Math. Comput. 2019, 346, 594–611. [Google Scholar] [CrossRef]
- Ohno, Y. A generalization of the duality and sum formulas on the multiple zeta values. J. Number Theory 1999, 74, 39–43. [Google Scholar] [CrossRef]
- Zagier, D. Evaluation of the multiple zeta value ζ(2,…,2,3,2,…,2). Ann. Math. 2012, 175, 977–1000. [Google Scholar] [CrossRef]
- Nakasuji, M.; Ohno, Y. Duality formula and its generalization for Schur multiple zeta functions. arXiv 2019, arXiv:2109.14362v1. [Google Scholar]
- Zlobin, S.A. Generating functions for the values of a multiple zeta function. Vestnik Moskov. Univ. Ser. 1 Mat. Mekh. 2005, 2, 55–59. [Google Scholar]
Disclaimer/Publisher’s Note: The statements, opinions and data contained in all publications are solely those of the individual author(s) and contributor(s) and not of MDPI and/or the editor(s). MDPI and/or the editor(s) disclaim responsibility for any injury to people or property resulting from any ideas, methods, instructions or products referred to in the content. |
© 2024 by the authors. Licensee MDPI, Basel, Switzerland. This article is an open access article distributed under the terms and conditions of the Creative Commons Attribution (CC BY) license (https://creativecommons.org/licenses/by/4.0/).
Share and Cite
Chen, K.-W.; Eie, M.; Ong, Y.L. Some Symmetry and Duality Theorems on Multiple Zeta(-Star) Values. Mathematics 2024, 12, 3292. https://doi.org/10.3390/math12203292
Chen K-W, Eie M, Ong YL. Some Symmetry and Duality Theorems on Multiple Zeta(-Star) Values. Mathematics. 2024; 12(20):3292. https://doi.org/10.3390/math12203292
Chicago/Turabian StyleChen, Kwang-Wu, Minking Eie, and Yao Lin Ong. 2024. "Some Symmetry and Duality Theorems on Multiple Zeta(-Star) Values" Mathematics 12, no. 20: 3292. https://doi.org/10.3390/math12203292
APA StyleChen, K.-W., Eie, M., & Ong, Y. L. (2024). Some Symmetry and Duality Theorems on Multiple Zeta(-Star) Values. Mathematics, 12(20), 3292. https://doi.org/10.3390/math12203292


