An Enhanced Tree Ensemble for Classification in the Presence of Extreme Class Imbalance
Abstract
1. Introduction
- Mitigating the impact of extreme class imbalance on the random forest ensemble;
- Generating synthetic data from the minority class observations during the training of the tree forest;
- Exploring the concept of tree selection in combination with data balancing to achieve an overall improved ensemble.
2. Materials and Methods
2.1. Balancing the Training Data
2.2. Enhanced Tree Ensembles via Out-of-Bag () Observations
2.3. Enhanced Tree Ensembles Using Sub-Samples () Observations
| Algorithm 1: Pseudo-code of the proposed method |
| 1. Training data consisting of observations and p variables |
| 2. ← Number of majority class observations |
| 3. ← Number of minority class observations |
| 4. ← Balanced data |
| 5. ← Bootstrap sample |
| 6. If || < ||; |
| 7. for 1::do |
| 8. Using the training data (), take a bootstrap sample from the minority class |
| 9. If a feature is continuous, find its mean () |
| 10. If categorical, find its mode () |
| 11. Concatenate the values in Steps 9 and 10 to obtain a new row arranged according to the original training data |
| 12. Add the new row () to the training data . |
| 13. Combine the training data () with generated data () to obtain the balanced data () |
| 14. end for |
| 15. for t 1:T do |
| 16. Take a bootstrap/sub-sample () from balanced training data () |
| 17. Store OOB/out-of-sample observations. |
| 18. Grow classification tree (G(B)) on the bootstrap/ sub-sample () |
| 19. Use OOB/out-of-sample observations and estimate prediction error () |
| 20. end for |
| 21. Arrange the trees in ascending order with respect to OOB/out-of-sample errors |
| 22. Select the top-ranked trees () as the final ensemble |
3. Experiments and Results
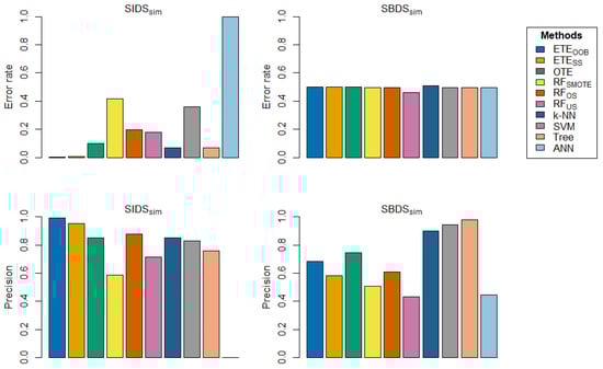
4. Simulation

5. Conclusions
Supplementary Materials
Author Contributions
Funding
Data Availability Statement
Acknowledgments
Conflicts of Interest
References
- Fernández, A.; García, S.; Galar, M.; Prati, R.C.; Krawczyk, B.; Herrera, F. Learning from Imbalanced Data Sets; Springer: Cham, Switzerland, 2018; Volume 10. [Google Scholar]
- Hoens, T.R.; Chawla, N.V. Imbalanced datasets: From sampling to classifiers. In Imbalanced Learning: Foundations, Algorithms, and Applications; Wiley Online Library: Hoboken, NJ, USA, 2013; pp. 43–59. [Google Scholar]
- Juba, B.; Le, H.S. Precision-recall versus accuracy and the role of large data sets. In Proceedings of the AAAI Conference on Artificial Intelligence, Honolulu, HI, USA, 27 January–1 February 2019; Volume 33, pp. 4039–4048. [Google Scholar]
- Tsai, H.; Yang, T.W.; Wong, W.M.; Kao, H.Y.; Chou, C.F. A Hybrid Approach for Binary Classification of Imbalanced Data. Int. J. Comput. Intell. Appl. 2024, 2450013. [Google Scholar] [CrossRef]
- Chiamanusorn, C.; Sinapiromsaran, K. Extreme anomalous oversampling technique for class im-balance. In Proceedings of the 2017 International Conference on Information Technology, Singapore, 27–29 December 2017; pp. 341–345. [Google Scholar]
- Emu, I.J.; Jahin, D.; Akter, S.; Patwary, M.J.; Akter, S. A novel technique to solve class imbalance problem. In Proceedings of the 2022 International Conference on Innovations in Science, Engineering and Technology (ICISET), Istanbul, Turkey, 23–25 November 2022; IEEE: Piscataway, NJ, USA, 2022; pp. 486–491. [Google Scholar]
- Zakaria, A.Z.; Selamat, A.; Cheng, L.K.; Krejcar, O. Improving Class Imbalance Detection and Classification Performance: A New Potential of Combination Resample and Random Forest. In Proceedings of the 2022 IEEE International Conference on Computing (ICOCO), Kota Kinabalu, Malaysia, 14–16 November 2022; pp. 316–323. [Google Scholar]
- Velarde, G.; Sudhir, A.; Deshmane, S.; Deshmunkh, A.; Sharma, K.; Joshi, V. Evaluating XGBoost for balanced and imbalanced data: Application to fraud detection. arXiv 2023, arXiv:2303.15218. [Google Scholar]
- Weiss, G.M.; Provost, F. The Effect of Class Distribution on Classifier Learning: An Empirical Study; Technical Report ML-TR-44; Department of Computer Science Rutgers University: Piscataway, NJ, USA, 2001. [Google Scholar]
- Fotouhi, S.; Asadi, S.; Kattan, M.W. A comprehensive data level analysis for cancer diagnosis on imbalanced data. J. Biomed. Inform. 2019, 90, 103089. [Google Scholar] [CrossRef] [PubMed]
- Brabec, J.; Machlica, L. Bad practices in evaluation methodology relevant to class-imbalanced problems. arXiv 2018, arXiv:1812.01388. [Google Scholar]
- Aswathi, M.; Ghosh, A.; Namboothiri, L.V. Borda count versus majority voting for credit card fraud detection. In Ubiquitous Intelligent Systems: Proceedings of ICUIS 2021; Springer: Singapore, 2022; pp. 319–330. [Google Scholar]
- Di Martino, M.; Decia, F.; Molinelli, J.; Fernández, A. Improving electric fraud detection using class imbalance strategies. In Proceedings of the International Conference on Pattern Recognition Applications and Methods (IPRAM 2012), Algarve, Portugal, 6–8 February 2012. [Google Scholar]
- Rhmann, W. An empirical study on the class imbalance handling techniques for different diseases. Soft Comput. Springer 2024, 1–18. [Google Scholar] [CrossRef]
- Ali, M.Z.; Haq, E.U.; Rauf, S.; Javed, K.; Hussain, S. Improving hate speech detection of Urdu tweets using sentiment analysis. IEEE Access 2021, 9, 84296–84305. [Google Scholar] [CrossRef]
- Adimoolam, Y.; Pillai, N.D.; Lakshmanan, G.; Mishra, D.; Dadhwal, V.K. Estimation of Above Ground Volume of Mangrove Forest Trees from Terrestrial LiDAR Data using Supervised Machine Learning Algorithms. Preprints 2022, 2022100190. [Google Scholar]
- Batista, G.E.A.P.A.; Prati, R.C.; Monard, M.C. A study of the behavior of several methods for balancing machine learning training data. ACM SIGKDD Explor. Newsl. 2004, 6, 20–29. [Google Scholar] [CrossRef]
- Van Hulse, J.; Khoshgoftaar, T.M.; Napolitano, A. Experimental perspectives on learning from imbalanced data. In Proceedings of the 24th International Conference on Machine Learning, Corvalis, OR, USA, 20–24 June 2007; pp. 935–942. [Google Scholar]
- Homjandee, S.; Sinapiromsaran, K. A Random Forest with Minority Condensation and Decision Trees for Class Imbalanced Problems. WSEAS Trans. Syst. Control. 2021, 16, 502–507. [Google Scholar] [CrossRef]
- Dittman, D.J.; Khoshgoftaar, T.M.; Napolitano, A. The effect of data sampling when using random forest on imbalanced bioinformatics data. In Proceedings of the 2015 IEEE International Conference on Information Reuse and Integration, San Francisco, CA, USA, 13–15 August 2015; pp. 457–463. [Google Scholar] [CrossRef]
- Pristyanto, Y.; Nugraha, A.F.; Pratama, I.; Dahlan, A.; Wirasakti, L.A. Dual approach to handling imbalanced class in datasets using oversampling and ensemble learning techniques. In Proceedings of the 2021 15th International Conference on Ubiquitous Information Management and Communication (IMCOM), Seoul, Republic of Korea, 4–6 January 2021; IEEE: Piscataway, NJ, USA, 2021; pp. 1–7. [Google Scholar]
- Tangirala, S. Evaluating the Impact of gini index and information gain on classification using decision tree classifier algorithm. Int. J. Adv. Comput. Sci. Appl. 2020, 11, 612–619. [Google Scholar] [CrossRef]
- Pristyanto, Y.; Zein, A.A. Model Balanced Bagging Berbasis Decision Tree Pada Dataset Imbalanced Class. J. Sisfokom (Sist. Inf. Dan Komput.) 2023, 12, 9–15. [Google Scholar] [CrossRef]
- Seiffert, C.; Khoshgoftaar, T.M.; Van Hulse, J. Hybrid sampling for imbalanced data. Integr. Comput. Aided Eng. 2009, 16, 193–210. [Google Scholar] [CrossRef]
- Kumar, S.; Ratnoo, S. Multi-objective hyperparameter tuning of classifiers for disease diagnosis. Indian J. Comput. Sci. Eng. 2021, 12, 1333–1352. [Google Scholar] [CrossRef]
- Owaida, M.; Alonso, G.; Fogliarini, L.; Hock-Koon, A.; Melet, P.-E. Lowering the latency of data processing pipelines through FPGA based hardware acceleration. Proc. Vldb Endow. 2019, 13, 71–85. [Google Scholar] [CrossRef]
- Yasodhara, A.; Asgarian, A.; Huang, D.; Sobhani, P. On the Trustworthiness of Tree Ensemble Explainability Methods. In Machine Learning and Knowledge Extraction: 5th IFIP TC 5, TC 12, WG 8.4, WG 8.9, WG 12.9 International Cross-Domain Conference, CD-MAKE 2021; Springer: Cham, Switerlandd, 2021; pp. 293–308. [Google Scholar] [CrossRef]
- Zhou, L.; Wang, H. Loan default prediction on large imbalanced data using random forests. TELKOMNIKA Indones. J. Electr. Eng. 2012, 10, 1519–1525. [Google Scholar] [CrossRef]
- Mohandoss, D.P.; Shi, Y.; Suo, K. Outlier prediction using random forest classifier. In Proceedings of the 2021 IEEE 11th Annual Computing and Communication Workshop and Conference (CCWC), Virtual Conference, 27–30 January 2021; IEEE: Piscataway, NJ, USA, 2021; pp. 27–33. [Google Scholar]
- Khan, Z.; Gul, N.; Faiz, N.; Gul, A.; Adler, W.; Lausen, B. Optimal trees selection for classification via out-of-bag assessment and sub-bagging. IEEE Access 2021, 9, 28591–28607. [Google Scholar] [CrossRef]
- Agusta, Z.P.; Adiwijaya, A. Modified balanced random forest for improving imbalanced data prediction. Int. J. Adv. Intell. Inform. 2019, 5, 58–65. [Google Scholar] [CrossRef]
- Rao, A.R.; Wang, H.; Gupta, C. Predictive Analysis for Optimizing Port Operations. arXiv 2024, arXiv:2401.14498. [Google Scholar]
- Li, Z.; Shahrajabian, H.; Bagherzadeh, S.A.; Jadidi, H.; Karimipour, A.; Tlili, I. Effects of nano-clay content, foaming temperature and foaming time on density and cell size of PVC matrix foam by presented Least Absolute Shrinkage and Selection Operator statistical regression via suitable experiments as a function of MMT content. Phys. A Stat. Mech. Its Appl. 2020, 537, 122637. [Google Scholar] [CrossRef]
- Shahgholi, M.; Firouzi, P.; Malekahmadi, O.; Vakili, S.; Karimipour, A.; Ghashang, M.; Hussain, W.; Kareem, H.A.; Baghaei, S. Fabrication and characterization of nanocrystalline hydroxyapatite reinforced with silica-magnetite nanoparticles with proper thermal conductivity. Mater. Chem. Phys. 2022, 289, 126439. [Google Scholar] [CrossRef]
- Shu, Q.; Hu, T.; Liu, S. Random Forest Algorithm Based on GAN for Imbalanced Data Classification; IOP Publishing: Bristol, UK, 2020; Volume 1544, p. 012014. [Google Scholar] [CrossRef]
- Su, C.; Ju, S.; Liu, Y.; Yu, Z. Improving random forest and rotation forest for highly imbalanced datasets. Intell. Data Anal. 2015, 19, 1409–1432. [Google Scholar] [CrossRef]
- Breiman, L. Random forests. Mach. Learn. 2001, 45, 5–32. [Google Scholar] [CrossRef]
- Korn, J. Ensemble Classification: An Analysis of the Random Forest Model. Bachelor’s Thesis, Buchtel College of Arts and Sciences, Akron, OH, USA, 2024. [Google Scholar]
- Mišić, V.V. Optimization of tree ensembles. arXiv 2017, arXiv:1705.10883. [Google Scholar] [CrossRef]
- Gul, N.; Faiz, N.; Brawn, D.; Kulakowski, R.; Khan, Z.; Lausen, B. Optimal survival trees ensemble. arXiv 2020, arXiv:2005.09043. [Google Scholar]
- Khan, Z.; Gul, A.; Mahmoud, O.; Miftahuddin, M.; Perperoglou, A.; Adler, W.; Lausen, B. An ensemble of optimal trees for class membership probability estimation. In Analysis of Large and Complex Data; Springer: Berlin/Heidelberg, Germany, 2016; pp. 395–409. [Google Scholar] [CrossRef]
- Wright, M.N.; Ziegler, A. Ranger: A fast implementation of random forests for high dimensional data in C++ and R. J. Stat. Softw. 2017, 77, 1. [Google Scholar] [CrossRef]
- Liu, W.; Chawla, S. Class confidence weighted k NN algorithms for imbalanced data sets. In Advances in Knowledge Discovery and Data Mining; Proceedings of the 15th Pacific-Asia Conference, PAKDD 2011, Shenzhen, China, 24–27 May 2011; Proceedings, Part II 15; Springer: Berlin/Heidelberg, Germany, 2011; pp. 345–356. [Google Scholar]
- Peng, L.; Yu, X.-Y.; Bi, T.-T.; Huang, J.-L. Imbalanced Data Sample Pruning Algorithm Based on Dynamic threshold K Nearest Neighbor. In Proceedings of the 5th International Conference on Multimedia, Computer Graphics and Broadcasting, San Jose, CA, USA, 15–19 July 2013. [Google Scholar]
- López, O.A.M.; López, A.M.; Crossa, J. Support vector machines and support vector regression. In Multivariate Statistical Machine Learning Methods for Genomic Prediction; Springer: Cham, Switzerland, 2022; pp. 337–378. [Google Scholar] [CrossRef]
- Quinlan, J.R. Induction of decision trees. Mach. Learn. 1986, 1, 81–106. [Google Scholar] [CrossRef]
- Dong, X.; Gao, H.; Guo, L.; Li, K.; Duan, A. Deep cost adaptive convolutional network: A classification method for imbalanced mechanical data. IEEE Access 2020, 8, 71486–71496. [Google Scholar] [CrossRef]
- Meyer, D.; Dimitriadou, E.; Hornik, K.; Weingessel, A.; Leisch, F. e1071: Misc Functions of the Department of Statistics (e1071); R Package Version 1.6-4; TU Wien: Vienna, Austria, 2014. [Google Scholar]
- Karatzoglou, A.; Smola, A.; Hornik, K.; Zeileis, A. kernlab-an S4 package for kernel methods in R. J. Stat. Softw. 2004, 11, 9. [Google Scholar] [CrossRef]





| No. | Dataset (DS) | Instances | Features | Class-Based Distribution | Imbalance Ratio ) | Source |
|---|---|---|---|---|---|---|
| Breast Cancer | 569 | 31 | 357/212 | (1.6839:1) | https://www.kaggle.com/datasets/utkarshx27/breast-cancer-wisconsin-diagnostic-dataset [accessed on 1 March 2024] | |
| Credit Card | 284,807 | 30 | 284,807/492 | (578.876:1) | https://www.kaggle.com/datasets/mlg-ulb/creditcardfraud [accessed on 5 March 2024] | |
| Drug Classification | 200 | 6 | 145/54 | (2.685:1) | https://openml.org/search?type=data&status=active&id=43382 [accessed on 16 March 2024] | |
| Eeg Eye | 5856 | 14 | 5708/148 | (38.567:1) | https://openml.org/search?type=data&status=active&sort=runs&id=1471 [accessed on 19 March 2024] | |
| Glass Classification | 213 | 9 | 144/69 | (2.086:1) | https://openml.org/search?type=data&status=active&id=43750 [accessed on 25 March 2024] | |
| Pc4 | 1339 | 37 | 1279/60 | (21.316:1) | https://openml.org/search?type=data&status=active&sort=runs&id=1049 [accessed on 29 March 2024] | |
| Madelon | 1358 | 500 | 1300/58 | (22.413:1) | https://openml.org/search?type=data&status=active&sort=runs&id=1485 [accessed on 7 April 2024] | |
| Turing Binary | 6384 | 20 | 6260/124 | (50.483:1) | https://www.openml.org/search?type=data&status=active&id=44269 [accessed on 15 April 2024] | |
| KDD | 2566 | 35 | 2515/51 | (49.313:1) | https://openml.org/search?type=data&status=active&id=45075 [accessed on 19 April 2024] | |
| Liver Disorder | 220 | 6 | 200/20 | (10:1) | https://openml.org/search?type=data&status=active&id=8 [accessed on 21 April 2024] | |
| Wine | 143 | 13 | 106/37 | (2.864:1) | https://archive.ics.uci.edu/dataset/109/wine [accessed on 26 April 2024] | |
| Soy Bean | 167 | 8 | 160/7 | (22.857:1) | https://archive.ics.uci.edu/dataset/913/forty+soybean+cultivars+from+subsequent+harvests [accessed on 29 April 2024] | |
| Ionosphere | 350 | 32 | 312/38 | (8.210:1) | https://archive.ics.uci.edu/dataset/52/ionosphere [accessed on 2 May 2024] | |
| Room Occupancy | 8407 | 14 | 8228/179 | (45.966:1) | https://archive.ics.uci.edu/dataset/864/room+occupancy+estimation [accessed on 10 May 2024] | |
| Harth | 7269 | 7 | 6771/498 | (13.596:1) | https://archive.ics.uci.edu/dataset/779/harth [accessed on 15 May 2024] | |
| Rocket League | 3015 | 6 | 2830/185 | 15.297:1 | https://archive.ics.uci.edu/dataset/858/rocket+league+skillshots [accessed on 17 May 2024] | |
| Sirtuin6 | 54 | 6 | 50/4 | (12.5:1) | https://archive.ics.uci.edu/dataset/748/sirtuin6+small+molecules-1 [accessed on 25 May 2024] | |
| Toxicity | 123 | 12 | 115/8 | (14.375:1) | https://archive.ics.uci.edu/dataset/728/toxicity-2 [accessed on 28 May 2024] | |
| Dry Bean | 4357 | 16 | 4246/129 | (32.914:1) | https://archive.ics.uci.edu/dataset/602/dry+bean+dataset [accessed on 4 June 2024] | |
| Kc2 | 520 | 21 | 414/106 | (3.905:1) | https://openml.org/search?type=data&status=active&sort=runs&id=1063 [accessed on 8 June 2024] |
| Dataset | OTE | RF (SMOTE) | RF (Over) | RF (Under) | k-NN | SVM | ANN | Tree | ||
|---|---|---|---|---|---|---|---|---|---|---|
| Breast Cancer | 0.0015 | 0.0311 | 0.0427 | 0.0264 | 0.0166 | 0.0422 | 0.0851 | 0.0486 | 0.3625 | 0.0723 |
| Credit Card | 0.0005 | 0.0005 | 0.0010 | 0.0046 | 0.0006 | 0.0083 | 0.1395 | 0.0071 | 0.0016 | 0.0014 |
| Drug Classification | 0.0038 | 0.0461 | 0.0624 | 0.1875 | 0.0296 | 0.0650 | 0.3542 | 0.1771 | 0.4998 | 0.0697 |
| Eeg Eye | 0.0035 | 0 | 0.0063 | 0.0942 | 0.0521 | 0.0872 | 0.0553 | 0.9827 | 0.1094 | 0.2947 |
| Glass Classification | 0.0914 | 0.0974 | 0.1330 | 0.0405 | 0.0710 | 0.1518 | 0.2194 | 0.9839 | 0.2879 | 0.1993 |
| Pc4 | 0.0384 | 0.0213 | 0.0945 | 0.0411 | 0.0421 | 0.1519 | 0.1392 | 0.1006 | 0.9555 | 0.1120 |
| Madelon | 0.0222 | 0.0218 | 0.2675 | 0.3459 | 0.1397 | 0.3525 | 0.0416 | 0.0420 | 0.0435 | 0.2260 |
| Turing Binary | 0.0102 | 0.0214 | 0.1321 | 0.3173 | 0.0437 | 0.1882 | 0.1392 | 0.1541 | 0.0271 | 0.1303 |
| KDD | 0.0099 | 0.0101 | 0.0355 | 0.1394 | 0.0098 | 0.1191 | 0.0198 | 0.0226 | 0.9804 | 0.0185 |
| Liver Disorder | 0.0400 | 0.0453 | 0.0864 | 0.0469 | 0.0512 | 0.1153 | 0.0862 | 0.0915 | 0.7661 | 0.1126 |
| Wine | 0.0227 | 0.0173 | 0.0796 | 0.1029 | 0.0680 | 0.0324 | 0.1605 | 0.0305 | 0.2574 | 0.1235 |
| Soy Bean | 0.0093 | 0.0100 | 0.0364 | 0.0706 | 0.0308 | 0.1229 | 0.0416 | 0.0420 | 0.0428 | 0.0402 |
| Ionosphere | 0.0429 | 0.0172 | 0.1168 | 0.2830 | 0.0985 | 0.1531 | 0.1107 | 0.0898 | 0.8913 | 0.1093 |
| Room Occupancy | 0 | 0 | 0.0002 | 0.0034 | 0.0003 | 0.0020 | 0.0001 | 0.00001 | 0.0211 | 0.0002 |
| Harth | 0.0121 | 0.0119 | 0.0438 | 0.2698 | 0.0379 | 0.1214 | 0.0253 | 0.0682 | 0.9318 | 0.0303 |
| Rocket League | 0.0334 | 0.0331 | 0.1032 | 0.4525 | 0.0914 | 0.1158 | 0.0622 | 0.0616 | 0.0614 | 0.0613 |
| Sirtuin6 | 0.0516 | 0.0516 | 0.2433 | 0.2680 | 0.1200 | 0.3275 | 0.0700 | 0.0965 | 0.6519 | 0.0847 |
| Toxicity | 0.0339 | 0.0352 | 0.1241 | 0.3828 | 0.1392 | 0.2750 | 0.0645 | 0.0570 | 0.0694 | 0.0692 |
| Dry Bean | 0.0030 | 0.0035 | 0.0102 | 0.0500 | 0.0075 | 0.0134 | 0.0301 | 0.0103 | 0.0295 | 0.0091 |
| Kc2 | 0.0029 | 0.0026 | 0.0639 | 0.0459 | 0.0384 | 0.0236 | 0.0519 | 0.0353 | 0.0250 | 0.0277 |
| Dataset | OTE | RF (SMOTE) | RF (Over) | RF (Under) | k-NN | SVM | ANN | Tree | ||
|---|---|---|---|---|---|---|---|---|---|---|
| Breast Cancer | 1.0000 | 0.9629 | 0.9364 | 0.9670 | 0.9795 | 0.9517 | 0.9696 | 0.9353 | 0.7200 | 0.9029 |
| Credit Card | 0.9993 | 0.9992 | 0.6503 | 0.9923 | 0.9241 | 0.9505 | 0.9860 | 0.9889 | 0.6123 | 0.7284 |
| Drug Classification | 1.0000 | 0.9378 | 0.8655 | 0.8277 | 0.9714 | 0.9361 | 0.6401 | 0.8328 | 0.2006 | 0.9031 |
| Eeg Eye | 0.9929 | 1 | 0.7578 | 0.9216 | 0.9576 | 0.9049 | 0.9327 | 0.0700 | 0.6646 | 0.7257 |
| Glass Classification | 0.9153 | 0.9022 | 0.8050 | 0.9739 | 0.8984 | 0.8166 | 0.6440 | 0.1300 | 0.2665 | 0.7204 |
| Pc4 | 0.9981 | 0.9971 | 0.9755 | 0.9904 | 0.9885 | 0.9059 | 0.8811 | 0.9207 | 0 | 0.9287 |
| Madelon | 0.9554 | 0.9563 | 0.4063 | 0.6586 | 0.8614 | 0.6449 | 0.1750 | 0.0192 | 0 | 0.7171 |
| Turing Binary | 0.9796 | 0.9799 | 0.0162 | 0.6648 | 0.9757 | 0.4800 | 0.2519 | 0.2176 | 0.0541 | 0.0140 |
| KDD | 1 | 1 | 0.9987 | 0.8649 | 0.9896 | 0.2506 | 0.9802 | 0.9794 | 0 | 0.9830 |
| Liver Disorder | 0.9860 | 0.9830 | 0.9835 | 0.9713 | 0.9835 | 0.9134 | 0.9206 | 0.9135 | 0.1604 | 0.9365 |
| Wine | 0.9584 | 0.9720 | 0.8302 | 0.9111 | 0.9187 | 0.9218 | 0.7678 | 0.9296 | 0.0041 | 0.7702 |
| Soy Bean | 0.9888 | 0.9864 | 0.4845 | 0.9309 | 0.6332 | 0.5975 | 0.0286 | 0.0288 | 0.0096 | 0.3968 |
| Ionosphere | 0.9733 | 0.6763 | 0.9292 | 0.7239 | 0.9589 | 0.9209 | 0.8954 | 0.9137 | 0 | 0.9397 |
| Room Occupancy | 1 | 1 | 0.9971 | 0.9962 | 0.9971 | 0.9936 | 0.9943 | 1 | 0 | 0.9948 |
| Harth | 0.9980 | 0.9976 | 0.9750 | 0.7336 | 0.9828 | 0.9190 | 0.9800 | 0.9317 | 0 | 0.9749 |
| Rocket League | 0.9336 | 0.9362 | 0.0759 | 0.5431 | 0.3916 | 0.0890 | 0.1240 | 0 | 0 | 0 |
| Sirtuin6 | 0.9554 | 0.9589 | 0.6373 | 0.7638 | 0.9509 | 0.7683 | 0.9200 | 0.9235 | 0 | 0.9182 |
| Toxicity | 0.9323 | 0.9314 | 0.0386 | 0.5924 | 0.4527 | 0.1049 | 0.0100 | 0 | 0 | 0 |
| Dry Bean | 0.9961 | 0.9952 | 0.8161 | 0.9503 | 0.9639 | 0.9702 | 0.0353 | 0.9283 | 0 | 0.8880 |
| Kc2 | 0.9948 | 0.9952 | 0.4885 | 0.9793 | 0.9853 | 0.9925 | 0.8869 | 0.9895 | 0.7053 | 0.9869 |
| Dataset | OTE | RF (SMOTE) | RF (over) | RF (under) | k-NN | SVM | ANN | Tree | ||
|---|---|---|---|---|---|---|---|---|---|---|
| Breast Cancer | 0.0261 | 0.0108 | 0.1827 | 0.0229 | 0.0069 | 0.0072 | 0.0259 | 0.0358 | 0.5105 | 0.0241 |
| Credit Card | 0.0312 | 0.0028 | 0.1343 | 0.0177 | 0.0134 | 0.006 | 0.0224 | 0.033 | 0.4165 | 0.026 |
| Drug Classification | 0.0041 | 0.0003 | 0.0042 | 0.0459 | 0.0267 | 0.0046 | 0.0046 | 0.0042 | 0.042 | 0.0026 |
| Eeg Eye | 0.0176 | 0.010 | 0.039 | 0.0494 | 0.0207 | 0.0191 | 0.0379 | 0.0374 | 0.2532 | 0.1108 |
| Glass Classification | 0.0048 | 0.0059 | 0.0188 | 0.0245 | 0.047 | 0.0407 | 0.0749 | 0.3964 | 0.0996 | 0.1457 |
| Pc4 | 0.0009 | 0.0038 | 0.0382 | 0.0327 | 0.0349 | 0.0261 | 0.0373 | 0.0063 | 0.0231 | 0.0256 |
| Madelon | 0.0043 | 0.0001 | 0.0077 | 0.016 | 0.0048 | 0.0318 | 0.0062 | 0.0479 | 0.0406 | 0.0186 |
| Turing Binary | 0.0018 | 0.0001 | 0.0225 | 0.0004 | 0.0034 | 0.0064 | 0.0163 | 0.0295 | 0.0182 | 0.0434 |
| KDD | 0.0019 | 0.0009 | 0.0336 | 0.0001 | 0.003 | 0.0128 | 0.0122 | 0.0456 | 0.015 | 0.0464 |
| Liver Disorder | 0.0002 | 0.005 | 0.0072 | 0.0008 | 0.0009 | 0.0366 | 0.0231 | 0.0221 | 0.0406 | 0.0282 |
| Wine | 0.0026 | 0.0356 | 0.0217 | 0.0087 | 0.0384 | 0.0091 | 0.0405 | 0.0241 | 0.0146 | 0.0306 |
| Soy Bean | 0.0005 | 0.0413 | 0.0137 | 0.033 | 0.0152 | 0.0141 | 0.0454 | 0.2376 | 0.1533 | 0.4282 |
| Ionosphere | 0.0007 | 0.0014 | 0.0017 | 0.0035 | 0.0006 | 0.0004 | 0.0015 | 0.0015 | 0.0008 | 0.001 |
| Room Occupancy | 0.0001 | 0.0046 | 0.0029 | 0.0028 | 0.004 | 0.0002 | 0.0013 | 0.0045 | 0.0048 | 0.0432 |
| Harth | 0.0003 | 0.011 | 0.0231 | 0.0011 | 0.0337 | 0.002 | 0.0294 | 0.0064 | 0.0285 | 0.0094 |
| Rocket League | 0.0032 | 0.0068 | 0.0334 | 0.0104 | 0.0499 | 0.0233 | 0.0169 | 0.0115 | 0.0513 | 0.0423 |
| Sirtuin6 | 0.0021 | 0.0325 | 0.0291 | 0.0162 | 0.0029 | 0.0325 | 0.0172 | 0.0069 | 0.1549 | 0.0219 |
| Toxicity | 0.0219 | 0.0259 | 0.0143 | 0.1353 | 0.0312 | 0.3115 | 0.1628 | 0.0619 | 0.4473 | 0.4854 |
| Dry Bean | 0.0005 | 0.0683 | 0.1644 | 0.0418 | 0.3127 | 0.0238 | 0.1366 | 0.437 | 0.2924 | 0.2128 |
| Kc2 | 0.0001 | 0.0499 | 0.042 | 0.0021 | 0.0144 | 0.012 | 0.0076 | 0.0438 | 0.0066 | 0.0265 |
| Dataset | OTE | RF (SMOTE) | RF (over) | RF (under) | k-NN | SVM | ANN | Tree | ||
|---|---|---|---|---|---|---|---|---|---|---|
| Breast Cancer | 0.9947 | 0.9947 | 0.6517 | 0.839 | 0.8804 | 0.838 | 0.8338 | 0.913 | 0.2983 | 0.8999 |
| Credit Card | 0.9896 | 0.9956 | 0.6501 | 0.8423 | 0.8884 | 0.8429 | 0.8354 | 0.9143 | 0.3128 | 0.9013 |
| Drug Classification | 0.9859 | 0.9898 | 0.7349 | 0.8767 | 0.9354 | 0.8716 | 0.8433 | 0.9266 | 0.4999 | 0.9079 |
| Eeg eye | 0.9785 | 0.9896 | 0.7333 | 0.8822 | 0.9386 | 0.8639 | 0.8457 | 0.9136 | 0.5117 | 0.9074 |
| Glass Classification | 0.9999 | 1 | 0.9998 | 0.8915 | 0.9406 | 0.9334 | 0.9542 | 0.97 | 0.7993 | 0.6966 |
| Pc4 | 0.9036 | 0.9139 | 0.8982 | 0.9492 | 0.9718 | 0.8841 | 0.8656 | 0.98 | 0.7396 | 0.8371 |
| Madelon | 1 | 0.9604 | 0.4013 | 0.9645 | 0.9104 | 0.7624 | 0.2103 | 0.6461 | 0.0445 | 0.5508 |
| Turing Binary | 1 | 1 | 0.9197 | 0.6508 | 0.8596 | 0.6509 | 0.9591 | 0.6373 | 0.9565 | 0.8013 |
| KDD | 1 | 0.9999 | 0.9962 | 0.7037 | 0.949 | 0.8174 | 0.8721 | 0.8737 | 0.9815 | 0.8699 |
| Liver Disorder | 0.9803 | 0.9798 | 0.2393 | 0.8568 | 0.9942 | 0.9056 | 0.1289 | 0.1582 | 0.0196 | 0.6431 |
| Wine | 0.9338 | 0.9264 | 0.2349 | 0.9372 | 0.8929 | 0.6402 | 0.3683 | 0.2322 | 0.1582 | 0.3683 |
| Soy Bean | 1 | 0.994 | 0.9536 | 0.8912 | 0.9757 | 0.9665 | 0.8608 | 0.9704 | 0.7479 | 0.9216 |
| Ionosphere | 0.9922 | 0.9937 | 0.8841 | 0.0706 | 0.9889 | 0.9364 | 0.9586 | 0.958 | 0.9572 | 0.9765 |
| Room Occupancy | 0.9413 | 0.9988 | 0.5066 | 0.283 | 0.6602 | 0.5903 | 0.2519 | 0.8307 | 0.1087 | 0.5031 |
| Harth | 0.9999 | 1 | 0.9999 | 0.0034 | 0.9998 | 0.9992 | 1 | 0.9999 | 0.9788 | 0.9999 |
| Rocket League | 0.9775 | 0.9786 | 0.6987 | 0.2698 | 0.8552 | 0.7579 | 0.8854 | 0 | 0.0681 | 0.8709 |
| Sirtuin6 | 0.9995 | 0.9976 | 0.9505 | 0.4525 | 0.958 | 0.9407 | 0.9396 | 0.9383 | 0.9385 | 0.9386 |
| Toxicity | 0.9428 | 0.9394 | 0.09 | 0.268 | 0.6491 | 0.2142 | 0 | 0 | 0.3481 | 0 |
| Dry Bean | 0.9994 | 0.9986 | 0.9074 | 0.3828 | 0.9502 | 0.8546 | 0.9369 | 0.9429 | 0.9305 | 0.9313 |
| Kc2 | 0.9999 | 1 | 0.9911 | 0.8849 | 0.9251 | 0.9725 | 0.942 | 0.004 | 0.6507 | 0.5571 |
Disclaimer/Publisher’s Note: The statements, opinions and data contained in all publications are solely those of the individual author(s) and contributor(s) and not of MDPI and/or the editor(s). MDPI and/or the editor(s) disclaim responsibility for any injury to people or property resulting from any ideas, methods, instructions or products referred to in the content. |
© 2024 by the authors. Licensee MDPI, Basel, Switzerland. This article is an open access article distributed under the terms and conditions of the Creative Commons Attribution (CC BY) license (https://creativecommons.org/licenses/by/4.0/).
Share and Cite
Safi, S.K.; Gul, S. An Enhanced Tree Ensemble for Classification in the Presence of Extreme Class Imbalance. Mathematics 2024, 12, 3243. https://doi.org/10.3390/math12203243
Safi SK, Gul S. An Enhanced Tree Ensemble for Classification in the Presence of Extreme Class Imbalance. Mathematics. 2024; 12(20):3243. https://doi.org/10.3390/math12203243
Chicago/Turabian StyleSafi, Samir K., and Sheema Gul. 2024. "An Enhanced Tree Ensemble for Classification in the Presence of Extreme Class Imbalance" Mathematics 12, no. 20: 3243. https://doi.org/10.3390/math12203243
APA StyleSafi, S. K., & Gul, S. (2024). An Enhanced Tree Ensemble for Classification in the Presence of Extreme Class Imbalance. Mathematics, 12(20), 3243. https://doi.org/10.3390/math12203243

