Spontaneous Formation of Evolutionary Game Strategies for Long-Term Carbon Emission Reduction Based on Low-Carbon Trading Mechanism
Abstract
Featured Application
Abstract
1. Introduction
2. Literature Review
2.1. Application of Game Theoretical Methods
2.2. Addressing the Gaps in Carbon Trading Models: Insights from Established Markets and Evolutionary Game Theory
2.3. Game Mechanisms in Carbon Trading
3. Theoretical Basis and a General Two-Group Asymmetric Evolution Game Model
3.1. Carbon Emission Reduction Policy
3.1.1. The Mechanism of Carbon Tax
3.1.2. Carbon Emission Trading Mechanism
3.2. Classical Game Theory
3.3. Evolutionary Game Theory
3.3.1. Basic Idea of Evolutionary Game Theory
3.3.2. Replicator Dynamics Equation
3.3.3. Evolutionarily Stable Strategy (ESS)
3.3.4. Evolutionary Stability Criterion
- Point A: exhibits evolutionary stability as both the determinant is positive and the trace is negative (Det(J) > 0, Tr(J) < 0), confirming that the point is an evolutionarily stable strategy (ESS).
- Point B: although the determinant is positive or zero, the trace is positive (Det(J) > 0 or Det(J) = 0, Tr(J) > 0), indicating that this point is evolutionarily unstable.
- Point C: displays an uncertain or zero trace and a negative determinant (Tr(J) = 0 or uncertain, Det(J) < 0), classifying it as a saddle point, which is also evolutionarily unstable.
3.4. A Two-Group Asymmetric Evolution Game Model for a General Case
3.4.1. Assumptions and Payoff Parameters
- γ2 = c − g accounts for the difference in payoffs when individuals in Group B select strategy SB2.
- γ7 = a − c − e + g captures the combined effects of Group A’s strategic choices and their influence on Group B’s payoffs.
- γ8 = b − f − d + h also captures the combined effects of Group A’s strategic choices and their influence on Group B’s payoffs.
- γ9 = f − h measures the difference in payoffs within Group B when individuals in Group A choose strategy SA2.
- (1)
- Lyapunov stability theory: This method evaluates whether small perturbations near an equilibrium point cause the system to remain close to that point. An equilibrium point is Lyapunov stable if the trajectories of the system stay close to the point after a small disturbance.
- (2)
- Jacobian matrix analysis: To analyze the local stability of an equilibrium point, we linearize the system by calculating the Jacobian matrix J, which represents the local dynamics around the equilibrium point. The Jacobian matrix for the system is given by where f1(x, y) and f2(x, y) are the replicator dynamics equations for Groups A and B, respectively. The stability of an equilibrium point is determined by analyzing the eigenvalues of the Jacobian matrix. If the determinant Det(J) > 0 and the trace Tr(J) < 0, the equilibrium point is asymptotically stable, meaning the system returns to this point after perturbations. To this end, the stability results for each equilibrium point are summarized in Table 1.
3.4.2. Evolutionary Stability Analysis for Group A
- (i)
- When , we can always obtain no matter what the value of x is within the interval [0, 1]. At this time, all x values are in a state of equilibrium. In this case, when the proportion of the individuals choosing the pure strategy SB1 in Group B equals , regardless of whether individuals in group A choose the pure strategy SA1 or SA2, the payoffs they obtain are equal to the average payoff of the entire Group A, meaning that the probabilities of choosing strategy SA1 (i.e., x) and strategy SA2 (i.e., 1 − x) both tend towards a stable constant value.
- (ii)
- When , there are two stable equilibrium points, and the proportion of individuals in Group A choosing SA1 is calculated as and , respectively.
- (iii)
- When , we can obtain and . Under these conditions, we can determine that is an evolutionarily stable strategy for the individuals in Group A. At this point, when the probability of individuals in Group B choosing the pure strategy SB1 decreases to a certain extent, the individuals in Group A will gradually tend to choose the pure strategy SA2 as the final evolutionarily stable strategy.
- (iv)
- When , we can obtain and . Under these conditions, we can determine that will be an evolutionarily stable strategy for the individuals in Group A. At this point, when the probability of individuals in Group B choosing the pure strategy SB1 is raised to a certain level, the individuals in Group A will gradually tend to choose the pure strategy SA1 as the final evolutionarily stable strategy.
3.4.3. Evolutionary Stability Analysis for Group B
- (i)
- When , we can always obtain no matter what the value of y is within the interval [0, 1]. At this time, all y values are in a state of equilibrium. In this case, when the proportion of the individuals choosing the pure strategy SB1 in Group B equals , regardless of whether individuals in group B choose the pure strategy SB1 or SB2, the payoffs they obtain are equal to the average payoff of the entire Group B, meaning that the probabilities of choosing strategy SB1 (i.e., y) and strategy SB2 (i.e., 1 − y) both tend towards a stable constant value.
- (ii)
- When , there are two stable equilibrium points, and the proportion of individuals choosing SB1 in Group B is calculated as and , respectively.
- (iii)
- When , we can obtain and . Under these conditions, we can determine that is an evolutionarily stable strategy for the individuals in Group B. At this point, the individuals in Group B will gradually tend to choose the pure strategy SB2 as the final evolutionarily stable strategy.
- (iv)
- When , we can obtain and . Under these conditions, we can determine that will be an evolutionarily stable strategy for the individuals in Group B. At this point, the individuals in Group B will gradually tend to choose the pure strategy SB1 as the final evolutionarily stable strategy.
3.4.4. Numerical Analysis and Simulation Verification
4. Analysis of the Evolutionary Game between the Government and Electric Power Enterprises under Carbon Trading
4.1. Evolutionary Game Modeling for the Government and Electric Power Enterprises
4.1.1. Assumptions of the Model
4.1.2. Construction of Mathematical Model
4.2. Analysis of the Evolutionary Game between Power Enterprises and the Government
4.2.1. Replicator Dynamics Model
4.2.2. Stability Analysis
- When meeting and , the point E1(0, 0) becomes an evolutionary game equilibrium point in the long-term evolution process.
- When meeting and , the point E1(0, 1) becomes an evolutionary game equilibrium point in the long-term evolution process.
- When meeting , the point E1(1, 0) becomes an evolutionary game equilibrium point in the long-term evolution process.
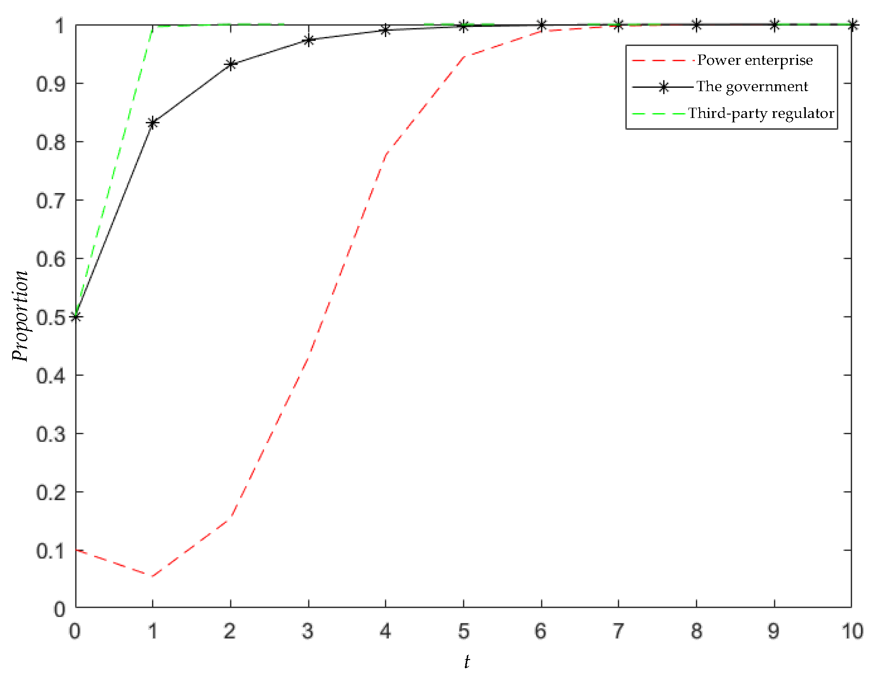
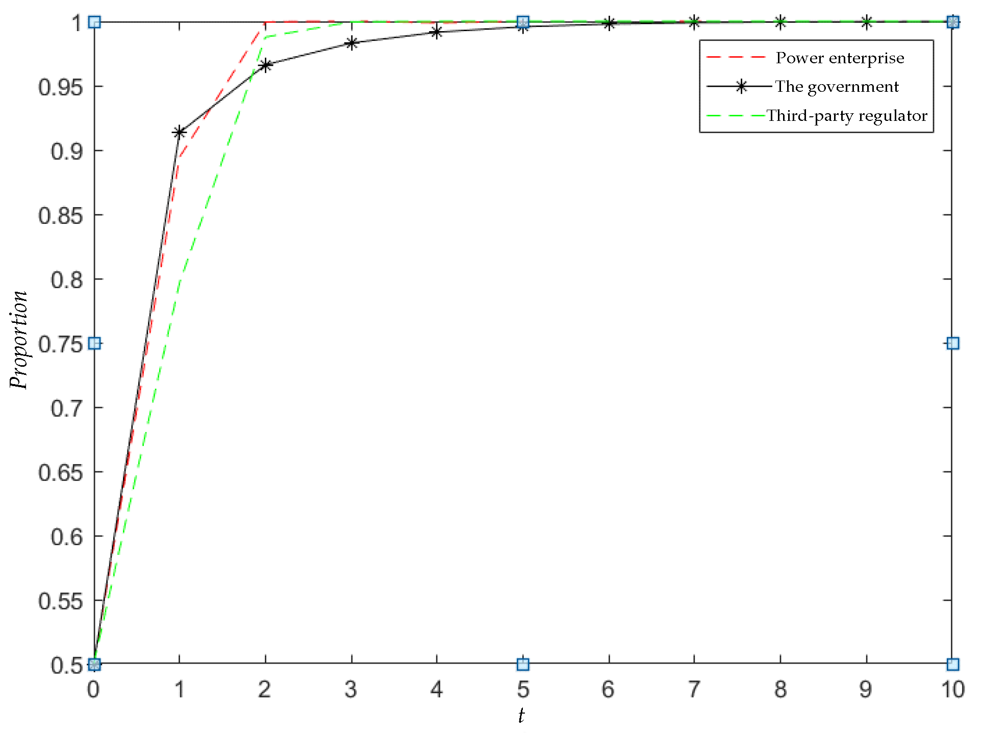
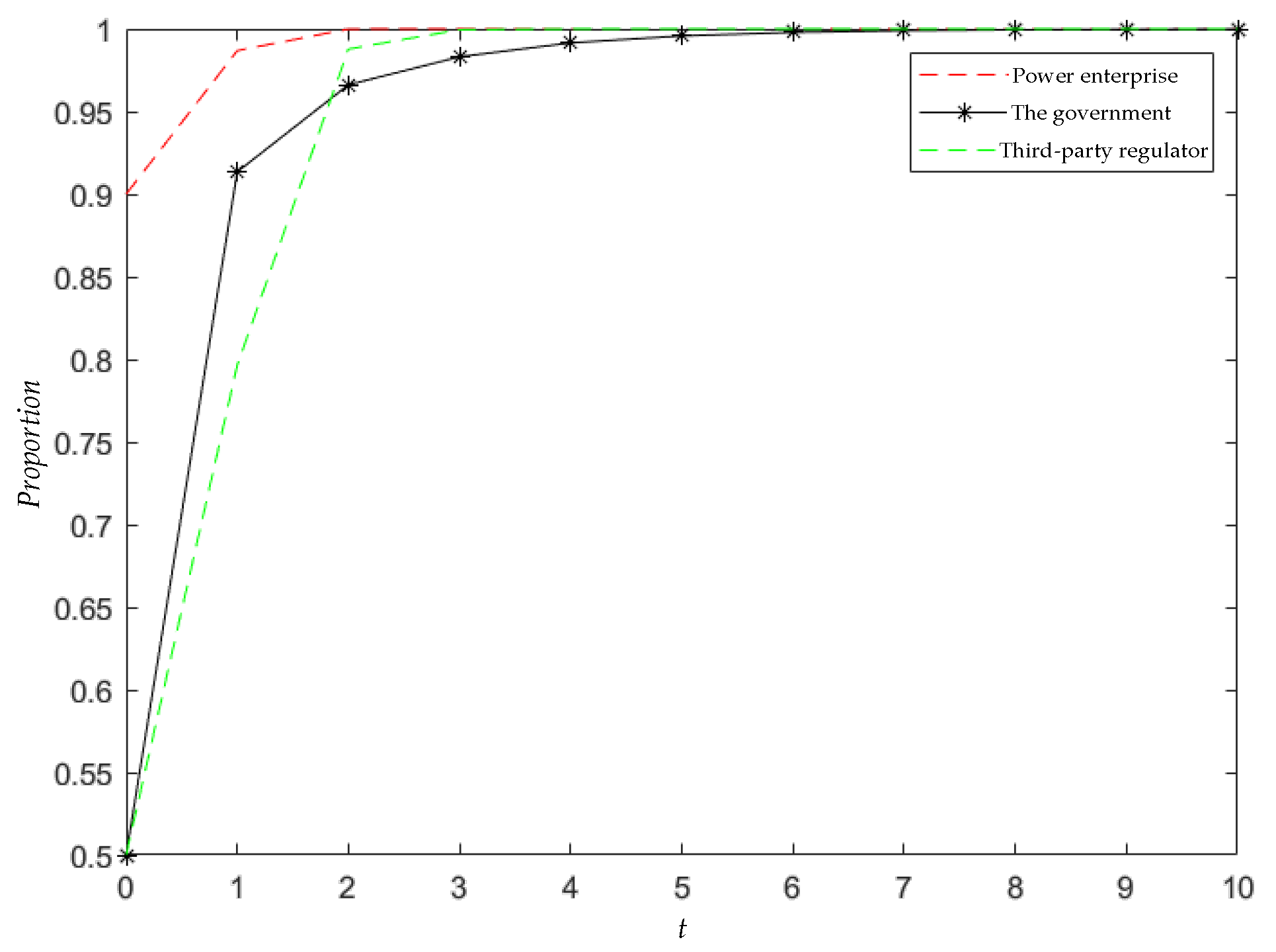
4.2.3. Dynamic Simulation Analysis
- (1)
- Implications for governmental policy: The simulations reveal that the government’s regulatory approach significantly influences the strategic behavior of power companies. For instance, when the government adopts a non-regulatory stance (as shown in Figure 5), power companies tend to revert to traditional, high-carbon production methods. However, when the government implements stricter regulatory policies (Figure 6), power companies are more likely to adopt low-carbon production strategies. This suggests that the government plays a critical role in steering companies towards sustainable practices by maintaining consistent and stringent regulations. Moreover, the results indicate that intermittent or weak regulatory efforts may lead to unstable equilibria, where companies oscillate between traditional and low-carbon strategies without fully committing to long-term sustainable solutions. As a policy implication, governments should not only enforce regulations but also provide ongoing incentives to maintain stability in the carbon market.
- (2)
- Corporate strategy and decision-making: For power companies, the simulation results highlight the importance of long-term investment in low-carbon technologies. In scenarios where the cost of adopting low-carbon technologies is lower than the cost of purchasing carbon credits (as in Scenario III), companies are more likely to evolve towards a stable low-carbon strategy. This suggests that companies should prioritize the development of low-carbon technologies to avoid the financial penalties associated with traditional production methods in the long run. Furthermore, the simulations underscore the importance of aligning corporate strategies with governmental policies to achieve both economic efficiency and regulatory compliance.
- (3)
- Coordinated efforts between the government and corporations: The simulations also demonstrate that cooperation between the government and power companies is essential for achieving an evolutionarily stable strategy (ESS) that benefits both parties. For example, the results indicate that when both the government and companies are committed to positive strategies (e.g., regulation and low-carbon production), the system reaches a stable state where environmental protection and economic development are aligned. On the other hand, if either party deviates from this cooperation, the system may experience instability or suboptimal outcomes. Therefore, fostering a cooperative relationship between the government and companies, potentially through shared incentives and technical support, is crucial for ensuring long-term success in reducing carbon emissions.
- (4)
- Role of carbon trading mechanisms: The dynamic simulations highlight the role of carbon trading mechanisms in influencing the strategic behaviors of power companies. When carbon prices are high, companies are incentivized to adopt low-carbon strategies to avoid the costs associated with purchasing carbon credits. Conversely, when carbon prices are low or volatile, companies may revert to traditional production methods. This underscores the importance of a well-regulated carbon market, where consistent pricing and government oversight ensure that carbon trading effectively encourages sustainable production practices.
5. Evolutionary Game Analysis of Electric Power Enterprises, Governments, and Third-Party Regulators under Carbon Trading Policies
5.1. Three-Party Evolutionary Game Modeling
5.1.1. Model Assumptions
5.1.2. Payoff Distribution Matrix
5.1.3. Three-Party Replicator Dynamics Model
5.2. Theoretical Analysis and Numerical Simulation
5.2.1. Evolutionary Stability Analysis
- (1)
- When and are satisfied, the increase in benefits obtained by power enterprises from choosing the low-carbon production strategies is less than the costs required for adopting low-carbon production technologies; meanwhile, when the fines imposed by the government and the costs incurred by power enterprises for choosing low-carbon production exceed the increase in benefits from low-carbon production, power companies will tend to adopt traditional production strategies to gain more profits. At this point, the evolutionary stable strategy adopted when both parties reach a long-term evolutionary stable equilibrium is (0, 1), meaning that power companies choose traditional production methods while the government chooses regulatory strategies.
- (2)
- When and , the additional benefits gained by power companies from choosing a low-carbon production strategy are less than the costs incurred when adopting such a strategy. When the revenue from government fines is less than the costs of regulation, power companies will actively adopt low-carbon production strategies to gain more benefits. The evolutionarily stable strategy that both parties adopt when they reach a long-term evolutionary stable equilibrium is (1, 0), meaning that power companies choose to produce using low-carbon methods while the government tends to opt for a non-regulatory strategy.
- (3)
- When and , when the benefits gained by power companies from choosing low-carbon production strategies exceed the costs required for adopting low-carbon technologies and the fines imposed by the government, and when the revenue from government fines exceeds the costs required for government regulation, the evolutionarily stable strategy at this time for the two parties is (1, 1), meaning that power companies choose low-carbon production strategies while the government chooses regulatory strategies.
- (1)
- When , this two-party evolution game will achieve a long-term evolutionary stable state at (0, 0), which means that the government adopts the non-regulation strategy and meanwhile, the third-party regulators will tend to choose the non-supervision strategy.
- (2)
- When and , the evolutionary stable strategy will be formed at point (1, 0) in this two-group evolution game system, which indicates that the government will adopt the regulation strategy and meanwhile, the third-party regulators will tend to choose the non-supervision strategy.
- (3)
- When and , it can be inferred that the evolutionary stable strategy is (1, 1)(1,1), meaning that the government adopts a supervisory strategy while the third-party regulator also adopts a supervisory strategy.
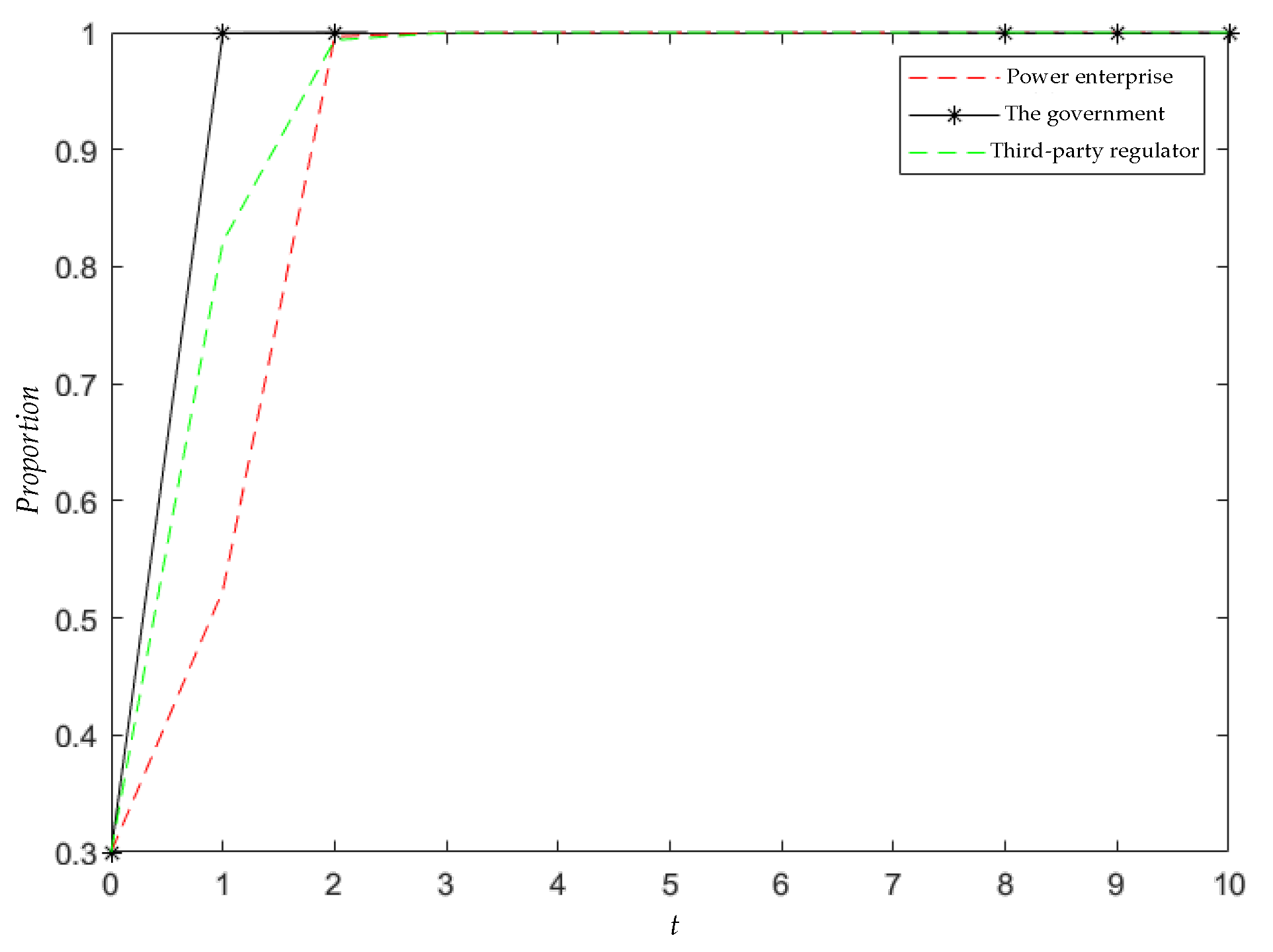
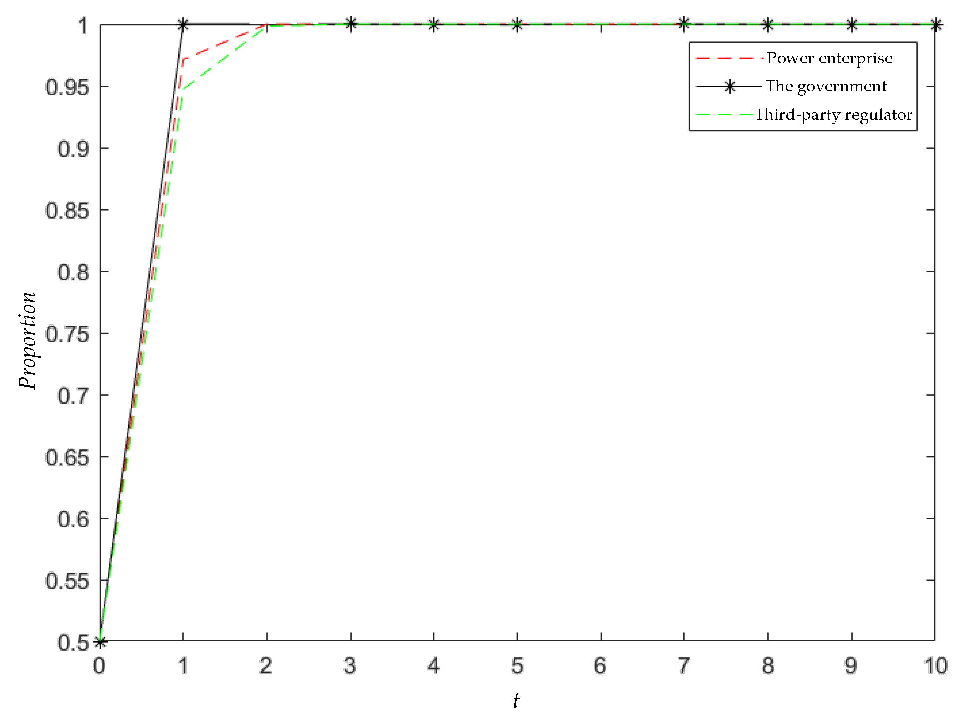
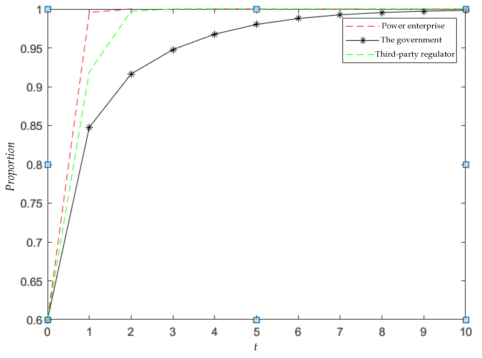
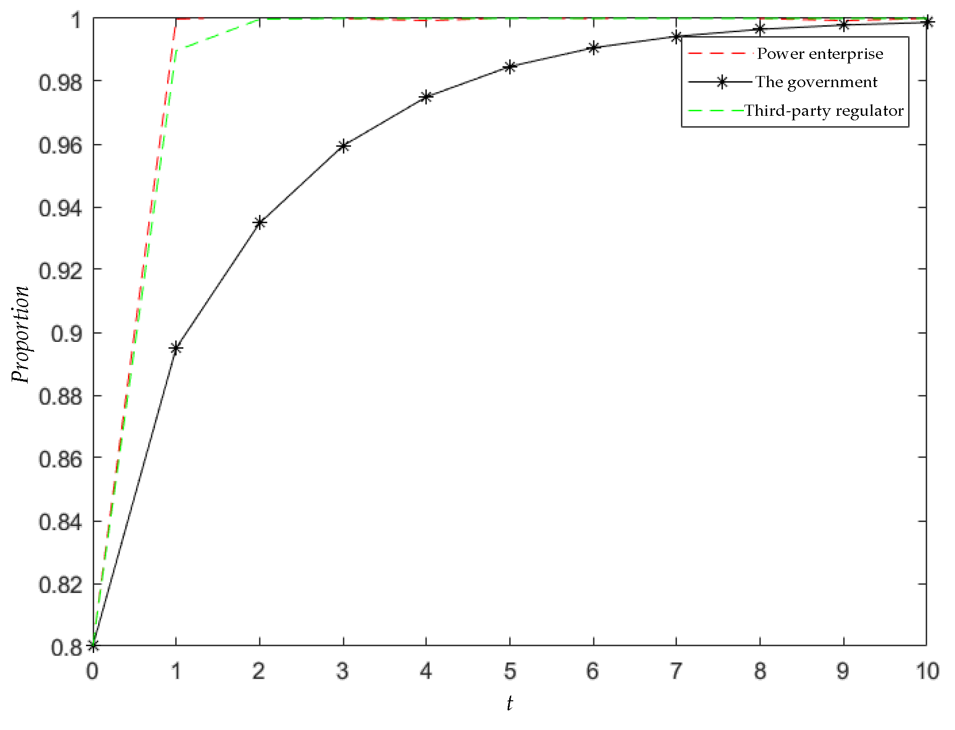
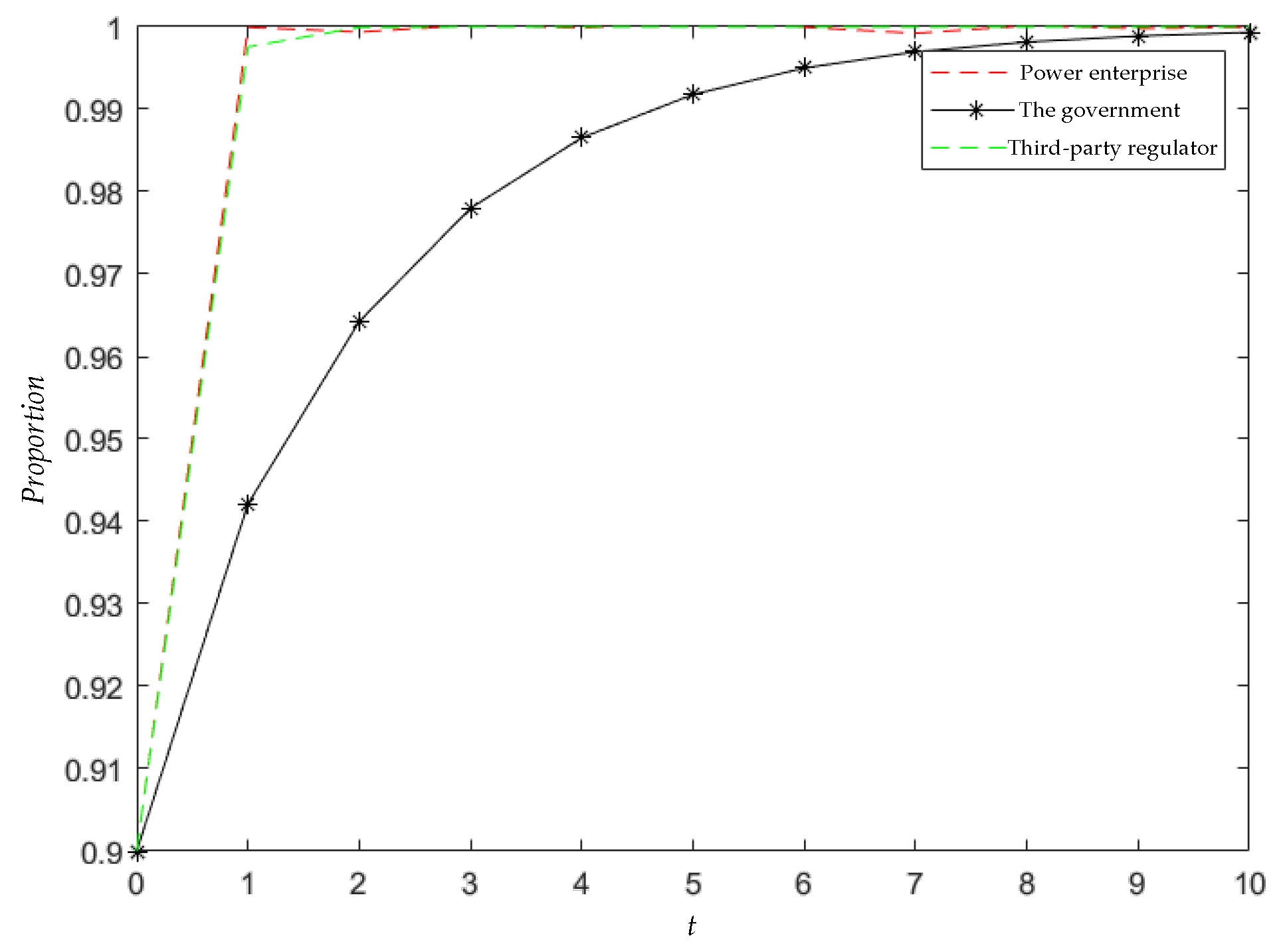
5.2.2. Numerical Simulation Verification
- (1)
- When and are satisfied, the values of these payoff parameters are set as follows: , , , , , , , , , , and . The simulation results are demonstrated in Figure 8.
5.3. In-Depth Interpretation of Long-Term Evolutionary Stable Points and Practical Implications
5.3.1. Practical Implications for Firms
5.3.2. Implications for Government Policy
5.3.3. Synergy between Firms and Government
6. Conclusions and Policy Implications
6.1. Main Conclusions
- (1)
- In the game between the government and power companies, it is observed that when power companies choose a low-carbon production method, the greater the benefits they receive and the more likely they are to choose low-carbon production methods. When the cost of carbon emission quotas increases, power companies are more inclined to choose low-carbon production, reducing carbon emissions and contributing to environmental protection. When the costs incurred by the government in supervision are too high, the government will choose not to supervise for the sake of efficiency.
- (2)
- When a third-party regulatory agency is added to the three-party evolutionary game analysis, if the benefits obtained by power companies from low-carbon production exceed the costs required for low-carbon technology development minus the cost of purchasing carbon emission quotas, if the costs incurred by the government in supervision are less than the benefits obtained from fines and other subsidies, and if the benefits obtained by third-party regulatory agencies from supervision exceed the costs incurred during supervision, power companies will choose low-carbon production methods, the government will choose supervision strategies, and third-party regulatory agencies will choose supervision strategies, ultimately achieving the ideal state described in this paper.
- (3)
- After adding a third-party regulatory agency, it can be observed that when the fine ratios for government supervision and third-party supervision increase accordingly, both parties in the game are more inclined to adopt positive evolutionary stable strategies.
- (4)
- When the willingness of power companies, the government, and third-party regulatory agencies changes simultaneously and the willingness of power companies and third-party regulatory agencies to adopt positive strategies is weak, the government should take the initiative to adopt supervisory strategies. Appropriate reward and punishment mechanisms can encourage power companies and third-party regulatory agencies to adopt positive strategies. When the willingness of power companies and third-party regulatory agencies to adopt positive strategies strengthens, the costs the government needs to incur in supervision and incentives will relatively decrease.
- (5)
- When the willingness of power companies to adopt positive strategies changes while the willingness of the government and third-party regulatory agencies to adopt positive strategies remains unchanged, as well as the willingness of power companies to adopt positive strategies increases, the speed at which the willingness of the government and third-party regulatory agencies to adopt positive strategies will slow down. Additionally, the willingness of power companies to adopt positive strategies will increase with the growth of the willingness of the government and third-party regulatory agencies to adopt positive strategies, and the growth rate of this willingness is faster than that of third-party regulatory agencies. Moreover, the willingness of the government to adopt positive strategies will decrease as the willingness of power companies and third-party regulatory agencies to participate grows.
6.2. Policy Implications
- (1)
- The government can reduce the proportion of carbon emission quotas or increase the price of carbon trading, prompting power companies to consider their own interests and actively adopt low-carbon production methods during production.
- (2)
- The government should consider more third-party regulatory supervision, delegate part of the supervision to third-party regulatory agencies, allow third-party regulatory agencies to replace the government in supervising low-carbon emission reductions, and adjust the intensity of third-party supervision as appropriate. Through reward and punishment mechanisms, third-party regulatory agencies can be more inclined towards active supervision, ensuring that companies comply with low-carbon emission reduction policies and forming a healthy three-party game.
- (3)
- Power companies should consciously participate in low-carbon emission reductions. In terms of low-carbon technology innovation, the government should provide more support and subsidies.
- (4)
- When the willingness of power companies and third-party regulatory agencies to adopt positive strategies is weak, the government should take the initiative to adopt supervisory strategies, playing a supervisory role. Appropriate subsidies and fines can encourage power companies and third-party regulatory agencies to adopt positive strategies.
- (5)
- A cooperative and trustworthy relationship between the government and power companies needs to be established to promote a win–win situation for environmental protection and economic development. The government can provide technical support and economic incentives to power companies, encouraging them to adopt more environmentally friendly and sustainable production methods. At the same time, the government also needs to strengthen supervision and law enforcement to ensure that companies comply with environmental regulations and standards, protecting the environment and public health.
Author Contributions
Funding
Institutional Review Board Statement
Informed Consent Statement
Data Availability Statement
Acknowledgments
Conflicts of Interest
Nomenclature
| Symbol/Abbreviation | Definition | |
| ESS | Evolutionarily stable strategy | |
| EU ETS | European Union Emissions Trading System | |
| RDE | Replicator dynamics equation | |
| SA1 | Strategy SA1 (low-carbon production strategy) | |
| SA2 | Strategy SA2 (traditional production strategy) | |
| SB1 | Strategy SB1 (regulation strategy) | |
| SB2 | Strategy SB2 (non-regulation strategy) | |
| SC1 | Strategy C1 (supervision) | |
| SC2 | Strategy C2 (non-supervision) | |
| M1 | Benefits gained by choosing SA1 | |
| M2 | Benefits gained by choosing SA2 | |
| M3 | Benefits to the government from SA1 | |
| C1 | Costs of implementing SA1 | |
| C2 | Costs of purchasing carbon credits (SA2) | |
| C3 | Government costs for regulation | |
| C4 | Government costs for pollution management | |
| S1 | Government subsidies for choosing SA1 | |
| G1 | Fines for choosing SA2 during regulation | |
| Benefits of low-carbon production for power companies | ||
| Benefits obtained from adopting traditional production strategies by electric power companies | ||
| Potential benefits the government gains from the low-carbon production strategies of electric power companies | ||
| Costs of equipment, personnel, maintenance, and other factors required for power companies when choosing low-carbon technologies for production | ||
| Cost of purchasing carbon emission rights in the carbon trading market for power companies when choosing traditional production | ||
| Costs required for the government to regulate electric power companies | ||
| Cost required for the government to manage the environmental pollution caused by power companies choosing traditional production | ||
| Benefits of low-carbon production for power companies | ||
| Cost of manpower and resources required when a third-party regulator chooses to supervise | ||
| Government-provided reward subsidies to companies that choose low-carbon production strategies during regulation | ||
| Subsidies provided for the actions of third-party regulators in fulfilling their responsibilities during government oversight | ||
| Fines for companies that choose traditional production strategies during government regulation | ||
| Losses incurred by companies that choose traditional production strategies when third-party regulators fulfill their supervisory responsibilities | ||
| Fines for the lack of supervision by third-party regulatory agencies during government oversight | ||
References
- Nie, Y. Research on Co-Evolution Mechanism and Path in China’s Power System under the Background of Transition. Ph.D. Thesis, China University of Mining and Technology, Xuzhou, China, 2017. [Google Scholar]
- Zhao, E.; Wang, H.; Lin, H. Research on ladder bidding strategy of thermal power enterprises according to evolutionary game in spot market. Electr. Power Constr. 2020, 41, 68–77. [Google Scholar]
- Wang, X.; Quan, J.; Liu, W. Study on evolutionary games and cooperation mechanism within the framework of bounded rationality. Syst. Eng. Theory Pract. 2011, 31, 82–93. [Google Scholar]
- Da, Q.; Zhang, J. Stability of evolutionary game equilibrium under bounded rationality. Syst. Eng. Theory Methodol. Appl. 2006, 15, 279–284. [Google Scholar]
- Lu, Q.; Chen, L.; Mei, S. Typical applications and prospects of game theory in power system. Proc. CSEE 2014, 34, 5009–5017. [Google Scholar] [CrossRef]
- Gao, J.; Sheng, Z. Elementary groping for evolutionary game theory and its application in electricity market. Autom. Electr. Power Syst. 2003, 27, 18–21. [Google Scholar]
- Liu, X.; Gao, B.; Li, Y. Review on application of game theory in power demand side. Power Syst. Technol. 2018, 42, 2704–2711. [Google Scholar]
- Zhang, Z.; Ling, J.; Feng, B. Research on equilibrium optimization of carbon trading market: Based on evolutionary game perspective. J. Cent. South Univ. For. Technol. (Soc. Sci.) 2022, 16, 50–58. [Google Scholar]
- Liang, X. Research on the Evolutionary Game of Enterprise Emission Reduction under Carbon Trading Mechanism. Master’s Thesis, North China University of Technology, Beijing, China, 2022. [Google Scholar]
- Zhang, J.; Zhang, H.; Liu, Y. Evolutionary game analysis of carbon asset pledge financing under heterogeneous emission reduction policies. China Environ. Manag. 2021, 13, 70–80. [Google Scholar] [CrossRef]
- Fang, G.; He, Y.; Tian, L. Evolutionary game analysis of government and enterprises carbon-reduction under the driven of carbon trading. China J. Manag. Sci. 2024, 32, 196–206. [Google Scholar]
- Zhang, T.; Liang, X.; Jiang, G. Evolutionary game study on enterprise emission reduction behavior in carbon trading. J. North China Univ. Technol. 2021, 33, 75–82. [Google Scholar]
- Yan, Y. A Study on Evolutionary Games of Low-Carbon Behaviors of Construction Stakeholders under Carbon Tax. Master’s Thesis, Chang’an University, Xi’an, China, 2021. [Google Scholar]
- Liu, H.; Zhang, Z.; Chen, Z.; Zhang, B.; Zhang, H. The impact of China’s electricity price deregulation on coal and power industries: Two-stage game modeling. Energy Policy 2019, 134, 110957. [Google Scholar] [CrossRef]
- Cao, A.; Han, B.; Qi, A. The dynamic analysis between government and enterprise in low-carbon economy. Low-Carbon Econ. 2011, 236, 74–78. [Google Scholar]
- Zu, Y.; Chen, L.; Fan, Y.; Li, C. Research on low carbon strategies in supply chain with environmental regulations based on differential game. J. Clean. Prod. 2018, 177, 527–546. [Google Scholar] [CrossRef]
- Simon, H. Invariants of human behavior. Annu. Rev. Psychol. 1990, 41, 1–20. [Google Scholar] [CrossRef] [PubMed]
- Kahneman, D. A perspective on judgment and choice: Mapping bounded rationality. Am. Psychol. 2003, 58, 697–720. [Google Scholar] [CrossRef]
- Cheng, L.; Liu, G.; Huang, H.; Wang, X.; Chen, Y.; Zhang, J.; Meng, A.; Yang, R.; Yu, T. Equilibrium analysis of general N-population multi-strategy games for generation-side long-term bidding: An evolutionary game perspective. J. Clean. Prod. 2020, 276, 124123. [Google Scholar] [CrossRef]
- Cheng, L.; Yin, L.; Wang, J.; Shen, T.; Chen, Y.; Liu, G.; Yu, T. Behavioral decision-making in power demand-side response management: A multi-population evolutionary game dynamics perspective. Int. J. Electr. Power Energy Syst. 2021, 129, 106743. [Google Scholar] [CrossRef]
- Kang, K.; Zhao, Y.; Zhang, J.; Liu, X.; Xu, Q.; Li, X. Evolutionary game theoretic analysis on low-carbon strategy for supply chain enterprises. J. Clean. Prod. 2019, 230, 981–994. [Google Scholar] [CrossRef]
- Liu, K.; Yang, D.; Wang, G.; Zhang, X.; He, S.; Sun, Y. Policy modeling and simulation on ecological civilization construction in China based on system dynamics. China J. Manag. Sci. 2020, 28, 209–220. [Google Scholar]
- Jiao, J.; Chen, J.; Li, L.; Wang, Y.; Sun, M. A study of local governments’ and enterprises’ actions in the carbon emission on mechanism of subsidy or punishment based on the evolutionary game. China J. Manag. Sci. 2017, 25, 140–150. [Google Scholar]
- Cheng, L.; Yu, T. Typical scenario analysis of equilibrium stability of multi-group asymmetric evolutionary games under the open and ever-growing electricity market. Proc. CSEE 2018, 38, 5687–5703. [Google Scholar]
- Marden, J.; Ruben, S.; Pao, L. A model-free approach to wind farm control using game theoretic methods. IEEE Trans. Control Syst. Technol. 2013, 21, 1207–1214. [Google Scholar] [CrossRef]
- Mojica-Nava, E.; Macana, C.; Quijano, N. Dynamic population games for optimal dispatch on hierarchical microgrid control. IEEE Trans. Syst. Man Cybern. Syst. 2014, 44, 306–317. [Google Scholar] [CrossRef]
- Ovalle, A.; Hably, A.; Bacha, S.; Siguerdidjane, H. Escort evolutionary game dynamics approach for integral load management of electric vehicle fleets. IEEE Trans. Ind. Electron. 2017, 64, 1358–1369. [Google Scholar] [CrossRef]
- Fang, Y.; Wei, W.; Liu, F.; Mei, S. Improving solar power usage with electric vehicles: Analyzing a public-private partnership cooperation scheme based on evolutionary game theory. J. Clean. Prod. 2019, 233, 1284–1297. [Google Scholar] [CrossRef]
- Tan, J.; Wang, L. Enabling reliability-differentiated service in residential distribution networks with PHEVs: A hierarchical game approach. IEEE Trans. Smart Grid 2016, 7, 684–694. [Google Scholar] [CrossRef]
- Chai, B.; Chen, J.; Yang, Z.; Zhang, Y. Demand response management with multiple utility companies: A two-level game approach. IEEE Trans. Smart Grid 2014, 5, 722–731. [Google Scholar] [CrossRef]
- Fang, D.; Zhao, C.; Yu, Q. Government regulation of renewable energy generation and transmission in China’s electricity market. Renew. Sustain. Energy Rev. 2018, 93, 775–793. [Google Scholar] [CrossRef]
- Lu, M.; Li, X.; Li, F.; Tan, W.; Li, H.; Wang, Y. Strategy of energy storage leasing configuration of photovoltaic power station cluster based on bi-level game optimization. Proc. CSEE 2022, 42, 5887–5898+6164. [Google Scholar]
- Cheng, L.; Chen, Y.; Liu, G. 2PnS-EG: A general two-population n-strategy evolutionary game for strategic long-term bidding in a deregulated market under different market clearing mechanisms. Int. J. Electr. Power Energy Syst. 2022, 142, 108182. [Google Scholar] [CrossRef]
- Zhang, H.; Xu, Z.; Zhou, D.; Chen, X.; Zhu, B. Waste cooking oil-to-energy under incomplete information: Identifying policy options through an evolutionary game. Appl. Energy 2017, 185 Pt 1, 547–555. [Google Scholar] [CrossRef]
- Cai, G.; Jiang, Y.; Huang, N.; Li, Y.; Lin, Y.; Chen, Q. Large-Scale electric vehicles charging and discharging optimization scheduling based on multi-agent two-level game under electricity demand response mechanism. Proc. CSEE 2023, 43, 85–99. [Google Scholar]
- Dong, F.; Wu, N.; Miao, J.; Liu, Y.; Huang, D.; Wang, Y. Study on evolutionary game model of thermal power regulation in large-scale wind power grid integration. Electr. Power 2018, 51, 151–157. [Google Scholar]
- Pan, Y.; Wang, M.; Miao, H.; Fan, C.; Zhu, Y. Incentive mechanism of V2G: An evolutionary game approach. J. Shanghai Jiaotong Univ. 2023, 1–20, ahead of print. [Google Scholar] [CrossRef]
- Du, Z.; Xu, E.; Zhang, X.; Li, L.; Tang, Z. Research on evolution and development of power generation scale and cost under tradable green certificates market in China. Electr. Power 2019, 52, 168–176. [Google Scholar]
- Zhao, X.; Ren, L.; Zhang, Y.; Wang, S.; Li, J. Evolutionary game analysis on the behavior strategies of power producers in renewable portfolio standard. Energy 2018, 162, 505–516. [Google Scholar] [CrossRef]
- Zuo, Y.; Zhao, X.; Zhang, Y.; Wang, S.; Li, J. From feed-in tariff to renewable portfolio standards: An evolutionary game theory perspective. J. Clean. Prod. 2019, 213, 1274–1289. [Google Scholar] [CrossRef]
- Zhang, Y.; Wang, X.; Sun, Q.; Wang, L.; Yan, J. Simulation analysis of renewable energy technology diffusion based on complex network evolutionary game. Power Syst. Technol. 2024, 48, 1573–1586. [Google Scholar]
- Ellerman, A.D.; Convery, F.J.; De Perthuis, C. Pricing Carbon: The European Union Emissions Trading Scheme; Cambridge University Press: Navi Mumbai, India, 2010; Available online: https://books.google.com.sg/books?id=pigVprvX56QC&dq=Pricing+Carbon:+The+European+Union+Emissions+Trading+Scheme&lr=&source=gbs_navlinks_s (accessed on 12 September 2024).
- Koch, N.; Grosjean, G.; Fuss, S.; Edenhofer, O. Politics matters: Regulatory events as catalysts for price formation under cap-and-trade. J. Environ. Econ. Manag. 2016, 78, 121–139. [Google Scholar] [CrossRef]
- Bushnell, J.; Peterman, C.; Wolfram, C. Local solutions to global problems: Climate change policies and regulatory jurisdiction. Rev. Environ. Econ. Policy 2008, 2, 175–193. [Google Scholar] [CrossRef]
- Alberola, E.; Chevallier, J.; Chèze, B. Price drivers and structural breaks in european carbon prices 2005–2007. Energy Policy 2008, 36, 787–797. [Google Scholar] [CrossRef]
- Zuo, S.; Zhang, G.; Yang, F.; Yuan, Y. An Evolutionary game approach to modeling firms’ strategic behavior under renewable portfolio standards. J. Clean. Prod. 2019, 224, 299–309. [Google Scholar] [CrossRef]
- Cheng, L. Theoretical Investigation on the Long-Term Evolutionarily Stable Equilibrium of Multi-Population Strategic Games in Electricity Market. Doctoral Dissertation, South China University of Technology, Guangzhou, China, 2019. [Google Scholar]
- Li, W. Reference and enlightenment of EU carbon emission trading system for the development of China’s carbon market. Mon. Hainan Financ. 2023, 413, 44–51. [Google Scholar]
- Ding, H.; Han, Z. Development and enlightenment of the EU carbon emission trading market. New Econ. 2022, 11, 54–60. [Google Scholar]
- Yuan, J. Experience of EU carbon pricing mechanism and its enlightenment to China. Energy China 2022, 44, 10–15. [Google Scholar]
- Wang, L. Current status and development trends of international carbon emission trading systems. Financ. Perspect. J. 2022, 7, 74–79. [Google Scholar]
- Lu, M.; Fang, X. Game analysis on carbon market from allocation of allowance. China J. Manag. Sci. 2015, 23, 807–811. [Google Scholar]
- Xie, J.; Dou, X. Carbon cap-and-trade pricing mechanism based on cooperative game theory. Manag. Rev. 2016, 28, 15–24. [Google Scholar]
- Hong, Z.; Chu, C.; Zhang, L.; Yu, Y. Optimizing an emission trading scheme for local governments: A Stackelberg game model and hybrid algorithm. Int. J. Prod. Econ. 2017, 193, 172–182. [Google Scholar] [CrossRef]
- Pan, Y.; Yang, W.; Ma, N.; Wang, H.; Yang, Y. Game analysis of carbon emission verification: A case study from Shenzhen’s cap-and-trade system in China. Energy Policy 2019, 130, 418–428. [Google Scholar] [CrossRef]
- Cramton, P.; MacKay, D.; Ockenfels, A.; Stoft, S. Global Carbon Pricing: The Path to Climate Cooperation; MIT Press: Cambridge, MA, USA, 2017; Volume 1, pp. 88–104. [Google Scholar] [CrossRef]
- Nordhaus, W.D. Climate change: The ultimate challenge for economics. Am. Econ. Rev. 2020, 109, 1991–2014. [Google Scholar] [CrossRef]
- Grubb, M.; Matthes, F.C.; Neuhoff, K. The economics of the European Union Emissions Trading System (EU ETS) market stability mechanism. Clim. Pol. 2021, 21, 720–739. [Google Scholar]
- Mehling, M.A.; van Asselt, H.; Das, K.; Droege, S. The role of international carbon markets in implementing the Paris agreement. Clim. Pol. 2019, 19, 1216–1229. [Google Scholar]
- Fischer, C.; Newell, R.G. Environmental and technology policy options in the electricity sector: Interactions and outcomes. Resour. Energy Econ. 2020, 42, 123–137. [Google Scholar]
- Hepburn, C.; Stern, N.; Stiglitz, J. Carbon Pricing: A critical perspective for climate policy. Nat. Clim. Chang. 2020, 10, 543–550. [Google Scholar]
- Pahle, M.; Burtraw, D.; Flachsland, C.; Kelsey, N.; Biber, E.; Meckling, J.; Edenhofer, O.; Zysman, J. Sequencing to ratchet up climate policy stringency. Nat. Clim. Chang. 2018, 8, 861–867. [Google Scholar] [CrossRef]
- Burtraw, D.; Palmer, K.; Woerman, M. Securing firm compliance under flexible regulation of greenhouse gas emissions. J. Environ. Econ. Manag. 2020, 100, 102311. [Google Scholar]
- Aldy, J.E.; Stavins, R.N. The promise and problems of pricing carbon: Theory and experience. J. Environ. Dev. 2012, 21, 152–180. [Google Scholar] [CrossRef]
- Kotchen, M.J.; Mansur, E.T. How Stringent Are the US EPA’s Proposed Carbon Pollution Standards for New Power Plants? Rev. Environ. Econ. Policy 2014, 8, 210–229. [Google Scholar] [CrossRef]
- Stavins, R.N. The Future of U.S. carbon-pricing policy. Nat. Clim. Chang. 2021, 11, 287–290. [Google Scholar]
- Wang, P. Impact of carbon trading on technology innovation of energy conservation and emission reduction in new era. Energy Energy Conserv. 2023, 210, 103–105. [Google Scholar]
- Wang, X. Non-cooperative game analysis of wind power integration. J. Henan Inst. Eng. Soc. Sci. Ed. 2015, 30, 5–8. [Google Scholar]
- Ho, E.; Rajagopalan, A.; Skvortsov, A.; Hassan, S.; Nguyen, H. Game theory in defence applications: A review. Sensors 2022, 22, 1032. [Google Scholar] [CrossRef] [PubMed]
- Maynard Smith, J.; Price, G. The logic of animal conflict. Nature 1973, 246, 15–18. [Google Scholar] [CrossRef]
- Cheng, L.; Yu, T. Nash equilibrium-based asymptotic stability analysis of multi-group asymmetric evolutionary games in typical scenario of electricity market. IEEE Access 2018, 6, 32064–32086. [Google Scholar] [CrossRef]
- Wu, K.; Feng, X. Improved replicated dynamic equations and its stability analysis. Pure Appl. Math. 2015, 31, 221–230. [Google Scholar]
- Cheng, L.; Zhang, J.; Yin, L.; Chen, Y.; Wang, J.; Liu, G.; Wang, X.; Zhang, D. General three-population multi-strategy evolutionary games for long-term on-grid bidding of generation-side electricity market. IEEE Access 2021, 9, 5177–5198. [Google Scholar] [CrossRef]
- Cheng, L.; Peng, P.; Lu, W.; Huang, P.; Chen, Y. Study of flexibility transformation in thermal power enterprises under multi-factor drivers: Application of complex-network evolutionary game theory. Mathematics 2024, 12, 2537. [Google Scholar] [CrossRef]





















| Internal Equilibrium Points | Coordinate | Det(J) | Tr(J) | Evolutionary Stability Results |
|---|---|---|---|---|
| Point A | (0, 0) | >0 | <0 | ESS |
| Point B | (1, 1) | >0 or <0 | >0 | Unstable |
| Point C | (x*, y*) | <0 | Uncertain or equal to 0 | Saddle point (center, unstable) |
| Internal Equilibrium Points | Det (J) | Tr(J) | Asymptotic Stability Conditions | Mutually Exclusive Pure Strategy Equilibrium Points |
|---|---|---|---|---|
| E1(0, 0) | (0, 1), (1, 0) | |||
| E2(0, 1) | (0, 0), (1, 1) | |||
| E3(1, 0) | (0, 0), (1, 1) | |||
| E4(1, 1) | (0, 1), (1, 0) | |||
| E5(x*, y*) | 0 | / | / |
| Variable Symbol | Variable Definition |
|---|---|
| M1 | Benefits gained by electric utilities choosing the low-carbon production strategy. |
| M2 | Benefits gained by electric utilities choosing the traditional production strategy. |
| M3 | Potential benefits to the government achieved from the low-carbon production strategies of power enterprises. |
| C1 | Costs of equipment, personnel, maintenance, etc., required by power enterprises when choosing low-carbon technologies for production. |
| C2 | Costs of purchasing carbon credits in the carbon trading market when power enterprises choose the conventional production strategy. |
| C3 | The costs required for the government to regulate electric power companies. |
| C4 | The cost required for the government to manage the environmental pollution caused by power companies choosing traditional production. |
| S1 | The government provides reward subsidies to companies that choose low-carbon production strategies during regulation. |
| G1 | Fines for power companies that choose the traditional production strategy during government regulation. |
| Internal Equilibrium Point | ||
|---|---|---|
| E1(0, 0) | ||
| E2(0, 1) | ||
| E3(1, 0) | ||
| E4(1, 1) | ||
| E5(x*, y*) | 0 |
| Parameters | M1 | M2 | M3 | C1 | C2 | C3 | C4 | S1 | G1 | |
|---|---|---|---|---|---|---|---|---|---|---|
| Scenarios | ||||||||||
| Scenario I | 10 | 7 | 7 | 8 | 4 | 3 | 3 | 1 | 2 | |
| Scenario II | 10 | 8 | 7 | 12 | 5 | 1 | 3 | 1 | 3 | |
| Scenario III | 9 | 6 | 7 | 8 | 7 | 3 | 3 | 1 | 2 | |
| Variables | Variable Definition |
|---|---|
| The benefits of low-carbon production for power companies. | |
| The benefits obtained from adopting traditional production strategies by electric power companies. | |
| Potential benefits the government gains from the low-carbon production strategies of electric power companies. | |
| The costs of equipment, personnel, maintenance, and other factors required for power companies when choosing low-carbon technologies for production. | |
| The cost of purchasing carbon emission rights in the carbon trading market for power companies when choosing traditional production. | |
| The costs required for the government to regulate electric power companies. | |
| The cost required for the government to manage the environmental pollution caused by power companies choosing traditional production. | |
| The cost of manpower and resources required when a third-party regulator chooses to supervise. | |
| The government provides reward subsidies to companies that choose low-carbon production strategies during regulation. | |
| Subsidies provided for the actions of third-party regulators in fulfilling their responsibilities during government oversight. | |
| Fines for companies that choose traditional production strategies during government regulation. | |
| Losses incurred by companies that choose traditional production strategies when third-party regulators fulfill their supervisory responsibilities. | |
| Fines for the lack of supervision by third-party regulatory agencies during government oversight. |
| Strategy Combination | Power Enterprise Profits | Government Revenues | Third-Party Benefits |
|---|---|---|---|
| 0 | |||
| 0 |
| Equilibrium Point | ) | ) | Result | Evolutionary Stability Conditions |
|---|---|---|---|---|
| (0, 0) | >0 (+) | >0 (+) | Unstable | Unstable under any condition |
| (0, 1) | >0 (+) | <0 (−) | ESS | |
| (1, 0) | >0 (+) | <0 (−) | ESS | |
| (1, 1) | >0 (+) | <0 (−) | ESS | |
| 0 | 0 | Saddle point | A saddle point in any condition, unstable |
| Equilibrium Point | ) | ) | Result | Evolutionary Stability Conditions |
|---|---|---|---|---|
| (0, 0) | >0 (+) | <0 (−) | ESS | |
| (0, 1) | >0 (+) | >0 (+) | Unstable | Unstable under any condition |
| (1, 0) | >0 (+) | <0 (−) | ESS | |
| (1, 1) | >0 (+) | <0 (−) | ESS | |
| 0 | 0 | Saddle point | A saddle point in any condition, unstable |
Disclaimer/Publisher’s Note: The statements, opinions and data contained in all publications are solely those of the individual author(s) and contributor(s) and not of MDPI and/or the editor(s). MDPI and/or the editor(s) disclaim responsibility for any injury to people or property resulting from any ideas, methods, instructions or products referred to in the content. |
© 2024 by the authors. Licensee MDPI, Basel, Switzerland. This article is an open access article distributed under the terms and conditions of the Creative Commons Attribution (CC BY) license (https://creativecommons.org/licenses/by/4.0/).
Share and Cite
Zhu, Z.; Cheng, L.; Shen, T. Spontaneous Formation of Evolutionary Game Strategies for Long-Term Carbon Emission Reduction Based on Low-Carbon Trading Mechanism. Mathematics 2024, 12, 3109. https://doi.org/10.3390/math12193109
Zhu Z, Cheng L, Shen T. Spontaneous Formation of Evolutionary Game Strategies for Long-Term Carbon Emission Reduction Based on Low-Carbon Trading Mechanism. Mathematics. 2024; 12(19):3109. https://doi.org/10.3390/math12193109
Chicago/Turabian StyleZhu, Zhanggen, Lefeng Cheng, and Teng Shen. 2024. "Spontaneous Formation of Evolutionary Game Strategies for Long-Term Carbon Emission Reduction Based on Low-Carbon Trading Mechanism" Mathematics 12, no. 19: 3109. https://doi.org/10.3390/math12193109
APA StyleZhu, Z., Cheng, L., & Shen, T. (2024). Spontaneous Formation of Evolutionary Game Strategies for Long-Term Carbon Emission Reduction Based on Low-Carbon Trading Mechanism. Mathematics, 12(19), 3109. https://doi.org/10.3390/math12193109

