Graph Neural Networks for Mesh Generation and Adaptation in Structural and Fluid Mechanics
Abstract
1. Introduction
- Meshnet is trained to predict mesh parameters of a given geometry (CAD file) later used to generate an initial mesh.
- Graphnet is trained to predict a metric field, either directly or indirectly by predicting the velocity field, later used to generate an anisotropic adapted mesh.
- Section 2: Materials and Methods—This section presents the problem statement, describes the dataset used, elaborates on the model architecture, and details the training configuration.
- Section 3: Results—Here, we provide the results of our experiments, focusing on the performance of the proposed models Meshnet, Graphnet, and Adaptnet.
- Section 4: Discussion—This section discusses the implications of our findings, in particular the generalization of our approach to unseen data and configurations.
- Section 5: Conclusions—Finally, we summarize the key contributions of our work and suggest directions for future research.
2. Materials and Methods
2.1. Problem Statement
2.1.1. Stokes Problem
2.1.2. Linear Elasticity Problem
2.2. Dataset
2.3. Mesh Parameters
2.4. Mesh-Based Simulations
2.5. Graph Representation
- Geometry: 3D coordinates
- Topology: node connections
- Boundary Conditions (BC): inlet, outlet, walls, obstacles or fluid
- Initial Conditions (IC): velocity and pressure field (mesh-based simulations only)
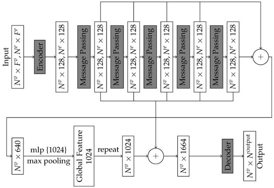
2.6. Model
2.6.1. Encoder
2.6.2. Processor
2.6.3. Decoder
2.6.4. Local and Global Features
2.7. Loss Function and Optimizer
3. Results
3.1. Meshnet
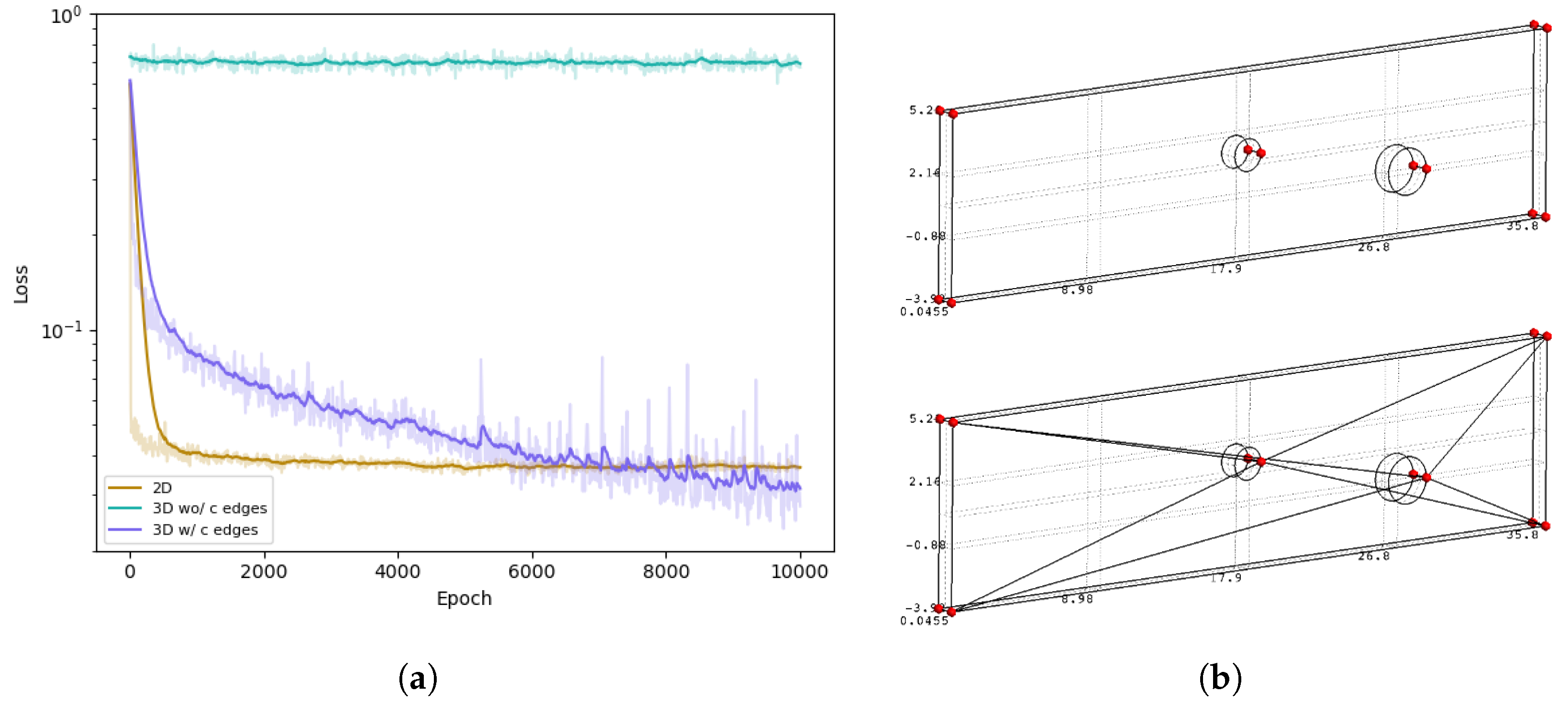
3.1.1. Fine Tuning Input Data for Message-Passing GNN
3.1.2. Evaluating Meshes Similarity and Quality
3.2. Graphnet
3.2.1. Direct Predictions: Velocity and Anisotropic Metric Fields
3.2.2. Mesh Adaptation
3.3. Adaptnet
4. Discussion
4.1. Meshnet Generalization
4.2. Graphnet Generalization
4.3. Linear Elasticity Problem
5. Conclusions
Author Contributions
Funding
Data Availability Statement
Acknowledgments
Conflicts of Interest
Abbreviations
| AMR | Adaptive Mesh Refinement |
| ADAM | Adaptive Moment Estimation |
| BC | Boundary Conditions |
| CAD | Computer Aid Design |
| CFD | Computational Fluid Dynamics |
| CSM | Computational Solid Mechanics |
| CNN | Convolutional neural network |
| DL | Deep Learning |
| FE | Finite Element |
| GN | Graph Network |
| IC | Initial Conditions |
| ML | Machine Learning |
| NN | Neural Network |
| PINN | Physics-Informed Neural Networks |
| RMSE | Root Mean Square Error |
Appendix A
Appendix A.1. Linear Elasticity Problem

Appendix A.2. Model
| Node MLP (mlpv) | Edge MLP (mlpe) |
|---|---|
| Input: x | Input: x |
| Parameter Name | Value |
|---|---|
| Number of GNN layer for the processor | 15 |
| Latent size for the processor | 128 |
| Activation | ReLu |
| Type of normalization | Layer normalization |
| Input feature size of Node MLP | 256 |
| Input feature size of Edge MLP | 384 |
References
- Zhang, Z.; Wang, Y.; Jimack, P.K.; Wang, H. MeshingNet: A New Mesh Generation Method Based on Deep Learning. In Proceedings of the Computational Science—ICCS 2020, Amsterdam, The Netherlands, 3–5 June 2020; Krzhizhanovskaya, V.V., Závodszky, G., Lees, M.H., Dongarra, J.J., Sloot, P.M.A., Brissos, S., Teixeira, J., Eds.; Springer International Publishing: Cham, Switzerland, 2020; pp. 186–198. [Google Scholar]
- Economon, T.D.; Palacios, F.; Copeland, S.R.; Lukaczyk, T.W.; Alonso, J.J. SU2: An Open-Source Suite for Multiphysics Simulation and Design. AIAA J. 2016, 54, 828–846. [Google Scholar] [CrossRef]
- Ramamurti, R.; Sandberg, W. Simulation of Flow about Flapping Airfoils Using Finite Element Incompressible Flow Solver. AIAA J. 2001, 39, 253–260. [Google Scholar] [CrossRef]
- Panthi, S.; Ramakrishnan, N.; Pathak, K.; Chouhan, J. An analysis of springback in sheet metal bending using finite element method (FEM). J. Mater. Process. Technol. 2007, 186, 120–124. [Google Scholar] [CrossRef]
- Yazid, A.; Abdelkader, N.; Abdelmadjid, H. A state-of-the-art review of the X-FEM for computational fracture mechanics. Appl. Math. Model. 2009, 33, 4269–4282. [Google Scholar] [CrossRef]
- Shewchuk, J. Delaunay refinement algorithms for triangular mesh generation. Comput. Geom. 2002, 22, 21–74. [Google Scholar] [CrossRef]
- Si, H.; Sadrehaghighi, I. Tetgen—A Delaunay-Based Quality Tetrahedral Mesh Generator. ACM Trans. Math. Softw. 2022, 41, 11. [Google Scholar] [CrossRef]
- Lei, N.; Li, Z.; Xu, Z.; Li, Y.; Gu, X. What’s the Situation with Intelligent Mesh Generation: A Survey and Perspectives. IEEE Trans. Vis. Comput. Graph. 2024, 30, 4997–5017. [Google Scholar] [CrossRef]
- Almeida, R.C.; Feijóo, R.A.; Galeao, A.C.; Padra, C.; Silva, R.S. Adaptive finite element computational fluid dynamics using an anisotropic error estimator. Comput. Methods Appl. Mech. Eng. 2000, 182, 379–400. [Google Scholar] [CrossRef]
- Mesri, Y.; Zerguine, W.; Digonnet, H.; Silva, L.; Coupez, T. Dynamic Parallel Adaption for Three Dimensional Unstructured Meshes: Application to Interface Tracking. In Proceedings of the 17th International Meshing Roundtable, Pittsburgh, PA, USA, October 12–15 2008; pp. 195–212. [Google Scholar] [CrossRef]
- Mesri, Y.; Khalloufi, M.; Hachem, E. On optimal simplicial 3D meshes for minimizing the Hessian-based errors. Appl. Numer. Math. 2016, 109, 235–249. [Google Scholar] [CrossRef]
- Loseille, A.; Alauzet, F. Continuous mesh framework part I: Well-posed continuous interpolation error. SIAM J. Numer. Anal. 2011, 49, 38–60. [Google Scholar] [CrossRef]
- Agouzal, A.; Vassilevski, Y.V. Minimization of gradient errors of piecewise linear interpolation on simplicial meshes. Comput. Methods Appl. Mech. Eng. 2010, 199, 2195–2203. [Google Scholar] [CrossRef]
- Labbé, P.; Dompierre, J.; Vallet, M.G.; Guibault, F. Verification of three-dimensional anisotropic adaptive processes. Int. J. Numer. Methods Eng. 2011, 88, 350–369. [Google Scholar] [CrossRef]
- Mesri, Y.; Guillard, H.; Coupez, T. Automatic coarsening of three dimensional anisotropic unstructured meshes for multigrid applications. Appl. Math. Comput. 2012, 218, 10500–10519. [Google Scholar] [CrossRef][Green Version]
- Kamenski, L.; Huang, W. How a nonconvergent recovered Hessian works in mesh adaptation. SIAM J. Numer. Anal. 2014, 52, 1692–1708. [Google Scholar] [CrossRef]
- Ladický, L.; Jeong, S.; Solenthaler, B.; Pollefeys, M.; Gross, M. Data-driven fluid simulations using regression forests. ACM Trans. Graph. 2015, 34, 1–9. [Google Scholar] [CrossRef]
- Wiewel, S.; Becher, M.; Thuerey, N. Latent Space Physics: Towards Learning the Temporal Evolution of Fluid Flow. Comput. Graph. Forum 2019, 38, 71–82. [Google Scholar] [CrossRef]
- Lecun, Y.; Bengio, Y. Convolutional Networks for Images, Speech, and Time-Series. Handb. Brain Theory Neural Netw. 1995, 3361, 1995. [Google Scholar]
- Guo, X.; Li, W.; Iorio, F. Convolutional Neural Networks for Steady Flow Approximation. In Proceedings of the KDD’16: 22nd ACM SIGKDD International Conference on Knowledge Discovery and Data Mining, New York, NY, USA, 13–17 August 2016; pp. 481–490. [Google Scholar] [CrossRef]
- Zhu, Y.; Zabaras, N. Bayesian deep convolutional encoder–decoder networks for surrogate modeling and uncertainty quantification. J. Comput. Phys. 2018, 366, 415–447. [Google Scholar] [CrossRef]
- Jin, X.; Cheng, P.; Chen, W.L.; Li, H. Prediction model of velocity field around circular cylinder over various Reynolds numbers by fusion convolutional neural networks based on pressure on the cylinder. Phys. Fluids 2018, 30, 047105. [Google Scholar] [CrossRef]
- Lee, S.; You, D. Data-driven prediction of unsteady flow over a circular cylinder using deep learning. J. Fluid Mech. 2019, 879, 217–254. [Google Scholar] [CrossRef]
- Thuerey, N.; Weißenow, K.; Prantl, L.; Hu, X. Deep Learning Methods for Reynolds-Averaged Navier–Stokes Simulations of Airfoil Flows. AIAA J. 2020, 58, 25–36. [Google Scholar] [CrossRef]
- Patil, A.; Viquerat, J.; Larcher, A.; El Haber, G.; Hachem, E. Robust deep learning for emulating turbulent viscosities. Phys. Fluids 2021, 33. [Google Scholar] [CrossRef]
- Scarselli, F.; Gori, M.; Tsoi, A.C.; Hagenbuchner, M.; Monfardini, G. The Graph Neural Network Model. IEEE Trans. Neural Netw. 2009, 20, 61–80. [Google Scholar] [CrossRef]
- Gilmer, J.; Schoenholz, S.S.; Riley, P.F.; Vinyals, O.; Dahl, G.E. Neural message passing for Quantum chemistry. In Proceedings of the 34th International Conference on Machine Learning (ICML’17), Sydney, NSW, Australia, 6–11 August 2017; pp. 1263–1272. [Google Scholar]
- Battaglia, P.W.; Hamrick, J.B.; Bapst, V.; Sanchez-Gonzalez, A.; Zambaldi, V.; Malinowski, M.; Tacchetti, A.; Raposo, D.; Santoro, A.; Faulkner, R.; et al. Relational inductive biases, deep learning, and graph networks. arXiv 2018, arXiv:cs.LG/1806.01261. [Google Scholar]
- Pfaff, T.; Fortunato, M.; Sanchez-Gonzalez, A.; Battaglia, P.W. Learning Mesh-Based Simulation with Graph Networks. In Proceedings of the International Conference on Learning Representations, Vienna, Austria, 3–7 May 2021. [Google Scholar]
- Ju, X.; Hamon, F.P.; Wen, G.; Kanfar, R.; Araya-Polo, M.; Tchelepi, H.A. Learning CO2 plume migration in faulted reservoirs with Graph Neural Networks. arXiv 2023, arXiv:cs.LG/2306.09648. [Google Scholar] [CrossRef]
- Geuzaine, C.; Remacle, J.F. Gmsh: A 3-D finite element mesh generator with built-in pre- and post-processing facilities. Int. J. Numer. Methods Eng. 2009, 79, 1309–1331. [Google Scholar] [CrossRef]
- Hecht, F. New development in FreeFem++. J. Numer. Math. 2012, 20, 251–265. [Google Scholar] [CrossRef]
- Dobrzynski, C. MMG3D: User Guide; Technical Report RT-0422; INRIA: Paris, France, 2012. [Google Scholar]
- Sanchez-Gonzalez, A.; Godwin, J.; Pfaff, T.; Ying, R.; Leskovec, J.; Battaglia, P.W. Learning to simulate complex physics with graph networks. In Proceedings of the 37th International Conference on Machine Learning (ICML’20), Virtual Event, 13–18 July 2020. [Google Scholar]
- Harsch, L.; Riedelbauch, S. Direct Prediction of Steady-State Flow Fields in Meshed Domain with Graph Networks. arXiv 2021, arXiv:physics.flu-dyn/2105.02575. [Google Scholar]
- Wang, Y.; Sun, Y.; Liu, Z.; Sarma, S.E.; Bronstein, M.M.; Solomon, J.M. Dynamic Graph CNN for Learning on Point Clouds. ACM Trans. Graph. 2019, 38, 1–12. [Google Scholar] [CrossRef]
- vom Stein, R.; Glassmeier, K.H.; Dunlop, M. A Configuration Parameter for the Cluster Satellites; Institut für Geophysik und Meteologie der Technischen Universität Braunschweig: Braunschweig, Germany, 1992. [Google Scholar]
- Daly, P. Tetrahedron Quality Factors. Available online: https://www2.mps.mpg.de/homes/daly/CSDS/t4h/tetra.htm (accessed on 5 September 2023).
- Raissi, M.; Perdikaris, P.; Karniadakis, G.E. Physics-informed neural networks: A deep learning framework for solving forward and inverse problems involving nonlinear partial differential equations. J. Comput. Phys. 2019, 378, 686–707. [Google Scholar] [CrossRef]

























| Meaning | |
|---|---|
| The four points are colinear. | |
| The four points all lie in a plane. | |
| A regular tetrahedron is formed. |
| Model | Meshnet | Graphnet |
|---|---|---|
| Computation | Engineer time | 50.06 s |
| Prediction | 0.68 s | 0.79 s |
| Speed-up | ND | 63.4 |
Disclaimer/Publisher’s Note: The statements, opinions and data contained in all publications are solely those of the individual author(s) and contributor(s) and not of MDPI and/or the editor(s). MDPI and/or the editor(s) disclaim responsibility for any injury to people or property resulting from any ideas, methods, instructions or products referred to in the content. |
© 2024 by the authors. Licensee MDPI, Basel, Switzerland. This article is an open access article distributed under the terms and conditions of the Creative Commons Attribution (CC BY) license (https://creativecommons.org/licenses/by/4.0/).
Share and Cite
Pelissier, U.; Parret-Fréaud, A.; Bordeu, F.; Mesri, Y. Graph Neural Networks for Mesh Generation and Adaptation in Structural and Fluid Mechanics. Mathematics 2024, 12, 2933. https://doi.org/10.3390/math12182933
Pelissier U, Parret-Fréaud A, Bordeu F, Mesri Y. Graph Neural Networks for Mesh Generation and Adaptation in Structural and Fluid Mechanics. Mathematics. 2024; 12(18):2933. https://doi.org/10.3390/math12182933
Chicago/Turabian StylePelissier, Ugo, Augustin Parret-Fréaud, Felipe Bordeu, and Youssef Mesri. 2024. "Graph Neural Networks for Mesh Generation and Adaptation in Structural and Fluid Mechanics" Mathematics 12, no. 18: 2933. https://doi.org/10.3390/math12182933
APA StylePelissier, U., Parret-Fréaud, A., Bordeu, F., & Mesri, Y. (2024). Graph Neural Networks for Mesh Generation and Adaptation in Structural and Fluid Mechanics. Mathematics, 12(18), 2933. https://doi.org/10.3390/math12182933

