Next Article in Journal
Class-Aware Self- and Cross-Attention Network for Few-Shot Semantic Segmentation of Remote Sensing Images
Next Article in Special Issue
Combining Differential Equations with Stochastic for Economic Growth Models in Indonesia: A Comprehensive Literature Review
Previous Article in Journal
Asymmetric-Convolution-Guided Multipath Fusion for Real-Time Semantic Segmentation Networks
Previous Article in Special Issue
Global Dynamics of a Social Hierarchy-Stratified Malaria Model: Insight from Fractional Calculus
 
 
Font Type:
Arial Georgia Verdana
Font Size:
Aa Aa Aa
Line Spacing:
Column Width:
Background:
Article

Solving Linear and Nonlinear Delayed Differential Equations Using the Lambert W Function for Economic and Biological Problems

by
Tomas Ruzgas
1,*,†,
Irma Jankauskienė
1,†,
Audrius Zajančkauskas
1,
Mantas Lukauskas
1,
Matas Bazilevičius
1,
Rugilė Kaluževičiūtė
1 and
Jurgita Arnastauskaitė
2
1
Department of Applied Mathematics, Kaunas University of Technology, Studentų g. 50, LT-44239 Kaunas, Lithuania
2
Department of Computer Sciences, Kaunas University of Technology, Studentų g. 50, LT-44239 Kaunas, Lithuania
*
Author to whom correspondence should be addressed.
These authors contributed equally to this work.
Mathematics 2024, 12(17), 2760; https://doi.org/10.3390/math12172760
Submission received: 25 June 2024 / Revised: 20 August 2024 / Accepted: 4 September 2024 / Published: 6 September 2024

Abstract

Studies of the dynamics of linear and nonlinear differential equations with delays described by mathematical models play a crucial role in various scientific domains, including economics and biology. In this article, the Lambert function method, which is applied in the research of control systems with delays, is proposed to be newly applied to the study of price stability by describing it as a differential equation with a delay. Unlike the previous work of Jankauskienė and Miliūnas “Analysis of market price stability using the Lambert function method” in 2020 which focuses on the study of the characteristic equation in a complex space for stability, this study extends the application of this method by presenting a new solution for the study of price dynamics of linear and nonlinear differential equation with delay used in economic and biological research. When examining the dynamics of market prices, it is necessary to take into account the fact that goods or services are usually supplied with a delay. The authors propose to perform the analysis using the Lambert W function method because it is close to exact mathematical methods. In addition, the article presents examples illustrating the applied theory, including the results of the study of the dynamics of the nonlinear Kalecki’s business cycle model, which was not addressed in the previous work, when the linearized Kalecki’s business cycle model is studied as a nonhomogeneous differential equation with a delay.

1. Introduction

The dynamics of market price are extremely useful and this is shown by a number of published articles [1,2,3,4,5]. Market prices for different products are a concern for both consumers and producers, as falling prices can cause many problems for suppliers and rising prices reduce consumers’ purchasing power. This can lead to a loss of profit for product manufacturers. Food prices are by their very nature more volatile than prices for industrial goods. Such fluctuations in food prices are particularly problematic for people on low incomes. In countries where this happens, sudden price increases can have both short- and long-term consequences for people’s incomes. For this reason, the study of market price stability is crucial in assessing the parameters that lead to sudden price spikes and, if properly modeled, can provide information that can help stabilize market dynamics. The existence of various delays in markets, for example between supply and demand, must be taken into account. Delays are common to many economic phenomena and can therefore be described by a differential equation with the delay argument [1,2,5,6,7]. To obtain the solutions of the differential equation with the delay argument, the method of Lambert function can be applied.
Price stability in markets is clearly a key economic issue. Research [8] on how to stabilize chaotic dynamic systems, which depend on initial conditions, using the technique of asymptotic stability analysis is presented in the literature. This technique allows the control of chaotic speculative price fluctuations in a model. Another study analyzes the behavior of a stock market model by identifying traders who optimistically trade in rising markets and pessimistically trade in falling markets, which risks undermining the stability of stock markets [9]. The impact of COVID-19 on financial markets has been widely studied [10,11]. The studies [10] focus on the evolution of market efficiency using two efficiency indicators: the Hurst exponent and the memory parameter of a fractional Levy stable motion. The results [11] show the impact of oil prices on the stability of financial systems, implying that oil price fluctuations can make financial markets unstable, especially during the period of the COVID-19 pandemic. The study shows that business cycle uncertainty has amplified the effects of oil price shocks, thereby increasing their impact on financial system stability. This shows the relevance of price stability studies in financial markets.
The modified method of the Lambert W function proposed in the article provides an opportunity to obtain quick solutions for market stability analysis by changing the parameters. After obtaining the market price through supply and demand, it is very relevant to study the effect of elasticity of demand and the argument of lag between supply and demand. The increase in the supply price, due to oil price fluctuations and the impact of COVID-19, increased the need to study as accurately as possible how buyers will react to the price change; for this purpose, the demand elasticity coefficient was used in the research.
A study in the literature [12] analyzes a two-market cobweb model that includes delays in agricultural production and delays in price information between markets. The cobweb model includes two markets because of the interdependence observed between agricultural markets. The model highlights several delays, as each commodity has a different production time (delay) depending on the nature of the product, and the dependence on the two markets creates delays in the information on the different markets. First, the paper confirms that the dynamics of two markets are similar to the dynamics of a single market if the interdependence is one-sided. Second, it is shown that production delays have a destabilizing effect and information delays have a stabilizing effect. In the context of financial market modeling [13], structural stability implies that certain “no-arbitrage” properties have a low impact on the disturbances in the model dynamics, leading to the formulation of a “no-arbitrage” requirement, which is referred to as the “uncertainty principle”. The paper shows that structural stability is essential for a correct approximation of the model (which is used in the numerical approach to price calculation). Most of the articles use numerical methods for the analysis of market price dynamics. When conducting experiments with such models, it is important to use exact or near-exact methods. Such methods are the Consequent integration method, which is exact, and the Lambert W function method, which is near-exact [14,15,16,17,18].
How can economic entities act to manage an unstable situation in the face of crises and in what ways can these challenges be dealt with? Potential solutions are offered using innovative tools created using artificial intelligence and modern mathematical methods, such as the Lambert function method. Using artificial intelligence methods, such as deep learning and recurrent neural networks, as well as the innovative method of the Lambert W function, the information system for analyzing and forecasting market price stability would enable market entities to shape their behavior to obtain the greatest economic benefits. By simulating various scenarios and analyzing the market situation, it is possible to make political decisions that help manage the situation, by regulating the prices of essential products and raising interest rates.
The Lambert W function is a function with an infinite number of roots. This function is frequently used in mathematics, physics, and other fields [19,20,21,22,23,24]. One of the uses of the function in mathematics is to find the roots of differential equations with a delay argument. This application is of great interest because differential equations with a delay argument can be used to mathematically describe real-world models such as various control systems [15,16,17,24,25,26]. The problem with such equations is that they are more complex than ordinary differential equations and methods that are suitable for ordinary differential equations are not suitable for delay differential equations, so differential equations with a delay are usually solved by numerical methods, which can limit the accuracy of the solutions. For these reasons, the Lambert function can be used to find exact solutions. The Lambert function can have either scalar or matrix expressions [18,27]. The advantage of the Lambert function method is that as the number of branches of the function N changes, an increasingly accurate result is obtained, and as it approaches infinity, an exact solution is obtained. This method makes it possible to solve various types of differential equations with a delay argument, without changing the expression of the solution, only by changing the values of the constants.
From a systemic point of view, markets are related to information feedback in the form of price signals and, like all feedback systems, can be stable or unstable. Therefore, in this paper, we will study market price stability based on the Lambert function approach, widely used in control theory. We will write the market price as a differential equation with a time delay argument, via the supply and demand equations, assuming that supply has a real-time delay compared to demand. By applying the Lambert function to the resulting mathematical model, we obtain a solution-finding methodology adapted to the study of market price stability. Our research began with finding and representing the transcendental equation in a complex plane. Based on this study and presentation of the results, we published an article titled Analysis of market price stability using the Lambert function method in the journal Lietuvos matematikos rinkinys [28]. In this paper, we continue the work we started in the mentioned paper [28] by extending the study to obtain a solution of the differential equation with a delay argument for the study of price dynamics, also including nonhomogeneous and homogeneous cases.
Section 2.1 presents the finding of a solution to a mathematical model of market prices, a homogeneous differential equation with a delayed argument, obtained via the supply and demand equations using the Lambert function. Section 2.2 presents the solution when the mathematical model, a differential equation with a delayed argument, is nonhomogeneous. Section 2.3 presents the nonlinear delayed differential equation used in biological systems. It is proposed to analyze such an equation using the Lambert W function. The results section presents two examples related to the study of the dynamics of market price when the mathematical model is a homogeneous differential equation with a delay argument using the Lambert W function method and one example of the study of the dynamics of the Kalecki’s stationary business cycle model when the model is written with a nonhomogeneous differential equation with a delay argument and the Lambert W function method is used for the study and the numerical dde23 method described in the Matlab is used for comparison. This article deals with an example where we have a nonlinear system. Example 4 shows the advantage of the Lambert W function method over the numerical method dde23.
This newly proposed method has already been applied in the study of agricultural real market prices and its use is planned to be extended.

2. Modified Lambert W Method

In this section, we will present the use of the Lambert function method to study market prices. This method is widely used in studies of control systems with delays, so we will modify this method in such a way that we can apply it in the study of market price stability. The developed modified method of Lambert’s functions is applied only to mathematical models for the study of market price dynamics. This is a novel application of Lambert functions to this type of model. This method was chosen due to its accuracy (Table 1 shows this) and invariance, resulting in a general solution for studies of price dynamics of various products (in Equations (14), (23) and (30)). In the obtained solutions of market price models, the differential equation with a delay argument, it is very easy to model various situations and obtain research results. For example, it is possible to study the influence of various delays between supply and demand on the price to observe the behavior of the price dynamics. It is also possible to analyze the elasticity coefficient, which shows the consumer’s behavior in relation to the price. The main Lambert function method used for the three cases with a differential equation with a delay argument is homogeneous, and nonhomogeneous and when we have a nonlinear equation.

2.1. Homogenous Case

In this article, we will analyze the balance of the market price when the equation is described by a mathematical model—a differential equation with a delay argument. Usually, market price is described by the difference between demand and supply [4,29]:
p ( t ) = D ( p ( t ) ) S ( p ( t ) ) ,
where D ( p ( t ) ) —demand; S ( p ( t ) ) —supply; and variable p ( t ) is price dependent on time argument t.
The differential equation with a delay argument is as follows:
p ( t ) = γ ( D ( p ( t ) ) S ( p ( t τ ) ) ) ,
where τ is the delay argument and γ is the coefficient of elasticity of demand. This model was chosen because the supply of goods is only available for the customers once they have been manufactured or transported; therefore, a delay occurs. The Equation (2) of demand and supply can be written as follows [4]:
D ( p ( t ) ) = α + β p ( t ) , β < 0 , S ( p ( t τ ) ) = λ + δ p ( t τ ) , δ > 0 .
where α and β are the coefficients of the demand equation and λ and δ are the coefficients of the supply equation.
Then, the market price model can be written as
p ( t ) = γ ( α + β p ( t ) λ δ p ( t τ ) ) .
We denote variables v = γ δ and r = γ β . After multiplying and dividing variable γ ( α λ ) by ( δ β ) we obtain the following:
p ( t ) = γ ( α λ ) ( δ β ) ( δ β ) r p ( t ) v p ( t τ )
Let us denote market balance price p ( e ) = ( α λ ) ( δ β ) and use it in (5):
p ( t ) + r ( p ( t ) p ( e ) ) + v ( p ( t τ ) p ( e ) ) = 0 .
Denoting z ( t ) = p ( t ) p ( e ) and using (6) we obtain a differential equation with a delay argument:
z ( t ) + r z ( t ) + v z ( t τ ) = 0 .
To solve the delay differential equation, we will use the Lambert W function method [17,25,30]. Then, z ( t ) = C e s t :
s C e s t + r C e s t + v C e s ( t τ ) = 0 .
Dividing both sides by C e s t 0 and moving v e τ s to the right-hand side yields the following:
s + r = v e τ s .
Multiplying both sides of the Equation (9) by τ e τ s + r τ yields the following:
( s + r ) τ e ( s + r ) τ = v τ e τ r .
Using Lambert W function ψ ( w ) = w e w yields the following:
( s + r ) τ = W ( v τ e τ r ) .
We obtain the following solution:
s k = 1 τ W k ( v τ e τ r ) r .
The solution of the transcendental equation of the differential equation with delay argument (4) using v = γ δ and r = γ β is obtained:
s k = 1 τ W k ( γ δ τ e γ β τ ) + γ β .
The obtained solution can be used to study the stability of market prices, obtaining results in the complex plane. By changing the variables of the differential equation, it is possible to find out when the price becomes unstable and there is a risk that it will increase; this is presented in more detail in this article [28].
The solution of the mathematical model, described by Equation (4), when p ( t ) = z ( t ) + p ( e ) and z ( t ) = k = e s k t C k , can be written as follows:
p ( t ) = k = e s k t C k + p ( e ) = lim N i = N N e s t t C k + p ( e ) , t ( τ , + ) ,
where C k is the coefficient of the homogeneous part, which is a vector of complex numbers. The order of the vector depends on the number of branches of the Lambert function k. The coefficient is found C k = lim N ( η 1 ( τ , N ) Φ ( ( τ , N ) ) k ; here, the number N determines how many parts the studied interval will be divided into (N is equal to the number of k branches of the Lambert W function). Φ ( ( τ , N ) ) k is the initial function and η 1 is the pseudo-inverse matrix, which we obtain from the Equation (13): η 1 ( τ , N ) = e s k ( τ , N ) . Computation of this coefficient is described in detail in [31]); N is a sufficiently large natural number. The obtained solution will be used in the analysis of market price dynamics. With the supply and demand models, we will study the dynamics of the market price under different parameters, evaluating the delay argument as well. Using this new method will allow us to obtain accurate results.

2.2. Nonhomogenous Case

When p ( e ) is equal to the function but not the number, then we cannot solve the differential equations with a delay argument in the homogenous case. In this case, we can use the nonhomogenous case and solve this equation. This happens when α and λ in Equation (3) are the functions. The researched model for the market price is a first-order nonhomogenous differential equation with a delay argument, which can be described as follows:
p ( t ) + r p ( t ) + v p ( t τ ) = u ( t ) τ > 0 p ( t ) = φ ( t ) t [ τ , 0 ] ,
where u ( t ) = ( r + v ) p ( e ) . We can write a solution for Equation (15) [25]:
p ( t ) = 0 t Ψ ( t , ζ ) u ( ζ ) d ζ ,
where Ψ ( t , ζ ) meets the following conditions [31]:
ζ Ψ ( t , ζ ) = r Ψ ( t , ζ ) , t τ ζ < t ( a ) ζ Ψ ( t , ζ ) = r Ψ ( t , ζ ) + v Ψ ( t , ζ + τ ) , ζ < τ t Ψ ( t , t ) = 1 ( b ) Ψ ( t , ζ ) = 0 ζ > t . ( c )
Using the Lambert W function and conditions mentioned above, we can rewrite Equation (17a) as follows:
Ψ ( t , ζ ) = e r ( t ζ ) , t τ ζ < t .
A second Equation (17b) can be written using the Lambert W function:
Ψ ( t , ζ ) k = e ( 1 τ W k ( v τ e r τ ) r ) ( t ζ ) ,
where k = . The Lambert W function has an infinite number of solutions; therefore, a solution can be written as a sum:
Ψ ( t , ζ ) k = k = C k e ( 1 τ W k ( v τ e r τ ) r ) ( t ζ ) ,
where C k is the coefficient of the nonhomogeneous part, which is a square matrix of complex numbers. The order of the matrix depends on the number of branches of the Lambert function k. The coefficient is found C k = lim N ( η 1 ( τ , N ) Γ ( ( τ , N ) ) k , where the number N determines how many parts the studied interval will be divided into (N is equal to the number of k branches of the Lambert W function). From the expression Γ ( τ , N ) = e v ( τ , N ) we find Γ ( τ , N ) and η 1 , which is the pseudo-inverse matrix we obtain from the Equation (13): η 1 ( τ , N ) = e s k ( τ , N ) .
The solution of the nonhomogenous scalar differential equation can be described as follows: When t τ
p ( t ) = 0 t Ψ ( t , ζ ) v u ( ζ ) d ζ = 0 t e r ( t ζ ) v u ( ζ ) d ζ .
When t > τ
p ( t ) = 0 t τ k = C k e ( 1 τ W k ( v τ e r τ ) r ) ( t ζ ) v u ( ζ ) d ζ + + t τ t e r ( t ζ ) v u ( ζ ) d ζ .
The solution of the nonhomogenous differential equation with a delay argument can be written as an equation, where the coefficient C k is found using functions p ( t ) = φ ( t ) , t [ 0 , τ ] . Calculation of C k and C k is given in the following equation [25]:
p ( t ) = k = C k e S k t + 0 t k = C k e S k ( t ζ ) b u ( ζ ) d ζ .
The obtained solution of the differential equation with a delay, using the modified Lambert function method, provides an opportunity to study mathematical models of the market price in the nonhomogeneous case.
When calculating the coefficients, it is very important to calculate the pseudo-inverse matrix, rather than the simple inverse, since the determinant is close to zero.

2.3. Nonlinear Case

In this subsection, we apply the method of Lambert functions to a nonlinear delay differential equation of the form
x ( t ) + α x ( t ) + β f ( x ( t τ ) ) = 0 ,
where α , β , and τ are positive constants and f satisfies the conditions in [32]:
f C ( R , R ) and u f ( u ) > 0 , x 0
and
lim u 0 f ( u ) u = 1 .
where f ( u ) = e u 1 . According to the Theorem 1 and Remark 1 described in the article [32], there is an oscillation if and only if the characteristic equation
F ( s ) = s + α + β e s τ = 0
has no real roots.
Theorem 1. 
Consider the following equation:
y ( t ) + j = 1 n q j f ( y ( t τ j ) ) = 0 , t τ
with q j = x β j , subject to conditions (25), (26), and
f ( u ) u , u 0 .
Then, every solution of Equation (28) oscillates if and only if the characteristic equation
λ + j = 1 n q j e λ τ j = 0
of the corresponding linearized variational problem has no real roots.
Remark 1. 
It is interesting to note that all of the nonlinear functions in the Equations
y ( t ) + β y ( t τ ) 1 + | y ( t τ ) | r = 0 , y ( t ) + α y ( t ) + β f ( y ( t τ ) ) = 0 , y ( t ) + α y ( t ) + β [ 1 e y ( t τ ) ] = 0
where α, r, β, and τ are positive constants. These equations satisfy conditions (25), (26), and (29) of Theorem 1. Furthermore, our results can be extended to more general equations of the form of Equation (28), which involve different functions f j , each of which satisfies conditions (25), (26), and (29).
To study the resulting characteristic equation, we propose to apply the Lambert W function
s + α = β e s τ .
Multiplying both sides of the equation by τ e τ s + α τ and using the Lambert W function ψ ( w ) = w e w yields the following:
( s + α ) τ = W ( β τ e τ α ) .
We obtain the solution of characteristic Equation (33):
s k = 1 τ W k ( β τ e τ α ) α .
Using the Lambert function, we can investigate the parameters used to describe the oscillations of systems described by a nonlinear differential equation under certain conditions. The conditions described are typical of various studies in mathematical biology.
In nonlinear mathematical models of differential equations of biological oscillators, the evaluation of parameters is a difficult task. These models describe the dynamics of biological systems, and an assessment of their parameters is necessary to predict certain processes.

3. Results

Using the Matlab (R2024a) mathematical package, in this section we will present the results obtained by applying the modified Lambert function method to several cases. In the first example, the results are obtained when the differential equation with the delay argument is homogeneous, in the second, when we have the nonhomogeneous case. The third problem is solved and the modified method of Lambert functions is applied when we have a nonlinear case and we straighten it, and the fourth problem is chosen to show the advantage of the method by solving it with three methods: the method of Consequent integration (exact), the numerical method (described in the Matlab package), and the modified Lambert function method.

3.1. Example 1

It is well known in economics that there is a lag between supply and demand, so the estimation of the delay parameter is very important. We will analyze a mathematical model where the market price of a commodity is described by a homogeneous differential equation obtained through supply and demand:
p ( t ) = γ ( 8 + 2 0.4 p ( t ) 0.6 p ( t τ ) ) ϕ ( t ) = 8 t 2 t [ τ ; 0 ]
We are going to research the dynamics of market price. With an initial function that is written in Equation (35), the delay argument τ = 0.5 , and the coefficient of elasticity of demand γ = 3 , we observe that the solution slightly oscillates in the interval from 0 to 4 and then equilibrates out at EUR 10. We chose a small delay, considering that automated processes allow us to reach the user faster. The coefficient of elasticity of demand describes the change in the quantity demanded of a good when the price of the good changes. If the demand ratio is greater than 1, buyers will be highly responsive to a change in price, if equal to 1, total revenue will not change when the price is increased or decreased, if it is less than 1, buyers will be unresponsive to a change in the price of the product. We selected parameters that can cause price instability in the longer term. When the coefficient of elasticity of demand increases to γ = 7 and γ = 9 , the interval of price oscillation increases, and a longer period of time is required in order to reach equilibrium (Figure 1b,c).

3.2. Example 2

The economic example was chosen from the article [5] in hopes of demonstrating the application of the Lambert W function method for the analysis of real-life market price dynamics. The subject of our experiment is the market price of poultry meat, which is described by a mathematical model:
p ( t ) = γ ( 375.2 166 0.78 p ( t ) 1.78 p ( t τ ) ) ϕ ( t ) = 0.181 t 2 + 3.4 t + 67 t [ τ ; 0 ] .
Since, in the article, the delay argument was equal to 0.5, in this article, we conducted an experiment with a delay equal to 0.9.
When the coefficient of elasticity of demand is equal to 0.9, we have a small fluctuation (Figure 2a) because the demand is inelastic (buyers will not react much to the change in the price of the product). As the coefficient values increase, the oscillation interval also increases (Figure 2b). The third graph (Figure 2c) shows a pattern with a demand elasticity coefficient of 1.9, a coefficient in this case indicating that demand is flexible (i.e, buyers will be very responsive to a change in price). In this case, the system is asymptotically unstable and we cannot analyze when the market price will reach the equilibrium point. All presented results were calculated using the Lambert W function method and compared with the numerical method dde23 from the Matlab package.
A number of branches of the Lambert W function equal to 80 was used during the experiment. The larger the number of branches of the Lambert function that is chosen, the more accurate the result is. To be more accurate than the numerical method dde23, it is enough to select 80 branches (the chosen number of branches is based on the analysis performed in the article [15,26]). The Lambert W function method is close to the exact Consequent integration method and is therefore superior to the dde23 method (a more detailed comparative analysis of the methods can be found in articles [15,26]).

3.3. Example 3

In economical theory, Kalecki’s stationary business cycle model (in the paper [33] it is denoted KS) has the following form:
J ( t ) = m τ ( J ( t ) J ( t τ ) ) n J ( t τ ) , τ > 0 ,
where m = a / s and n = b are the symbols taken from paper [33]; τ —time delay; J = k ( t ) k 0 , k ( t ) —the capital stock at time t. In the paper [33], Kalecki’s model is adapted to growth and is denoted KG. For this purpose, we will investigate linearized KG around the equilibrium point [ k ( t ) , k ( t τ ) = ( k 0 , k 0 ) = ( 1 , 1 ) ] , in which it is of the same form as KS [33]:
k ( t ) = a ( k ( t ) 1 ) b ( k ( t τ ) 1 ) , τ > 0 ,
where a = m τ and b = m τ + n . We are going to analyze Kalecki`s stationary business cycle model, when τ = 0.6 , m = 0.95 , n = 0.121 . With parameters a = 0.95 0.6 = 19 12 , b = ( 19 12 + 0.121 ) used in the nonhomogenous differential equation, we obtain the following:
k ( t ) 19 12 k ( t ) + ( 19 12 + 0.121 ) k ( t 0.6 ) = 0.121 k ( t ) = 1 t [ 0.6 , 0 ]
We will compare the price dynamics with different delay arguments. In Figure 3, we can see transition function of the system when the delay argument is 0.61 and in Figure 3b, when the delay argument is 0.6, the system becomes asymptotically unstable and capital stock can not be modeled for the future time steps. The method of Lambert functions allows us to estimate the stability limits of Kalecki’s model by changing the delay argument. This modified method of Lambert functions allows investors to accurately determine the directions of capital stock dynamics. Using the Lambert W function method, we can test the behavior of the system with different values of parameters n, m, and the delay argument τ . In order to ensure the validity of the results, they were compared with the results of the (dde23) numerical method from the Matlab package. The proposed method is superior to numerical methods because it is accurate and responsive to parameter changes, and more sensitive because it provides an accurate solution. It is possible to determine more precisely at which parameter values the system becomes stable. Example 3 results were obtained using the same number of Lambert W function branches as in Examples 1 and 2 (more description in articles [15,26]).

3.4. Example 4

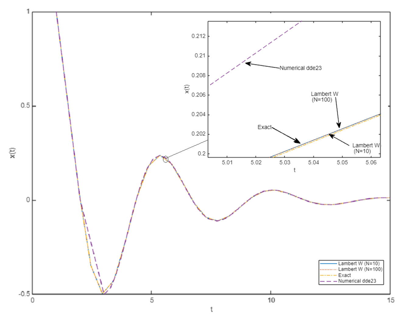
To demonstrate the advantage of the Lambert W function method, we will present an example that we will solve using Laplace transforms, that is, using the Consequent integration method, the numerical dde23 method, and the proposed Lambert W function method. Laplace transforms are used to transform differential equations with a delayed argument into simpler algebraic equations and to solve them using elementary algebraic methods. The method of Consequent integration is accurate, but it is difficult to apply to the solution of different equations with a delay, as a different expression of the solution is obtained for different equations, while in the Lambert W function method, only constants are changed, and the method itself is close to exact, and when we have an infinite number of branches of the Lambert W function, the method becomes accurate. Numerical methods that provide approximate results are widely used in the literature; one of the most commonly used is dde23, described in the Matlab package. We will present an example that illustrates the superiority of the Lambert W function method compared to the numerical method dde23, using the exact method of Consequent integration. We will solve a differential equation with a delayed argument:
y ( t ) = y ( t τ ) , when y ( 0 ) = 1 .
Using the inverse Laplace transform, we will write down the solution ( τ = 1 ) for step response for dynamics of the model:
y ( t ) = n = 0 | t | ( t n ) n n !
In Figure 4, the dashed line represents the result obtained by the numerical method dde23, which deviates from the Lambert W function and the exact method result, which shows that the Lambert W function is more accurate than the numerical one. The accuracy of the Lambert W function method depends on the numbers of branches. The table shows the relative error at different numbers of branches of the Lambert W function and the exact calculation of the method. The numerical method is also compared with the exact one. All results are obtained by choosing one of the freely assigned t = 5. It can be seen from the graph that the relative error between the exact and the numerical method is larger in the interval t [ 0 ; 5 ] . We can conclude that by choosing only five branches, we obtain a more accurate result than in the case of the numerical method.
In Table 1, we have given computational times to the different number of branches of the Lambert W function. We can see that the numerical method is faster, but it is less accurate. When we have a lower delay, the method gives more accurate results, but the computation time is longer.

4. Conclusions and Futures

This paper presents a new application of the Lambert W function method to the solution of an economic model described by a differential equation with a delay. The use of the Lambert W function method, when we solve delay differential equations, is widely known only in the application of control systems with delays.
This method is close to an exact mathematical method and is proposed in economics as a substitute for numerical solution methods.
The proposed modified method can be used not only for the study of price stability but also for the analytical study of other market models described by a linear delayed differential equation.
It is proposed to apply to a nonlinear Kaleicki’s stationary business cycle model a linear first-order nonhomogeneous differential equation with a delay argument and to solve the Lambert W function.
It is proposed to apply the Lambert W function to the nonlinear differential equation to find the solution of the characteristic equation.
The results are almost exact, which makes the solution suitable for analyzing models with different parameter values. The proposed Lambert W function method shows that it is more accurate than the numerical method dde23 described in the Matlab package and compared to the exact Consequent integration method it is superior because there are no complicated expressions. The numerical method outperforms the modified Lambert W function only in terms of time.
The study of differential equations and dynamical systems provides valuable insights into the behavior of complex systems, whether in economics, biology, or other scientific disciplines.
In order to strengthen the reliability and applicability of our theoretical model, future research should focus on empirical validation. After integrating case studies and real data, we will more accurately assess the model’s ability to predict market stability. This empirical study will not only help to present concrete facts that support our theoretical claims, but will also allow a practical comparison of the performance of the model under various market conditions.

Author Contributions

Conceptualization, T.R.; Methodology, I.J.; Software, A.Z.; Validation, M.L.; Formal analysis, J.A.; Resources, R.K.; Data curation, M.B. All authors have read and agreed to the published version of the manuscript.

Funding

This research received no external funding.

Data Availability Statement

Data is contained within the article.

Conflicts of Interest

The authors declare no conflicts of interest.

Notations

This manuscript uses the following notations: Consequent integration method—exact method using Laplace transforms; dde23—numerical method described in the Matlab package for calculating differential equations with delays; Homogenous—a type of delay differential equation; k—Lambert W function branches; KG—indicate that here Kalecki’s model is adapted to growth; KS—The Kalecki’s stationary business cycle model; Lambert W—Lambert W function method; Matlab—mathematical package; N—branches of Lambert W functions used to calculate coefficients; Nonhomogenous—a type of delay differential equation.

References

  1. Anokye, M.; Amankwah, H.; Essel, E.K.; Amponsah, I.K. Dynamics of Equilibrium Prices With Differential and Delay Differential Equations Using Characteristic Equation Techniques. J. Math. Res. 2019, 11, 1–8. [Google Scholar] [CrossRef]
  2. Das, S.S.; Dalai, D.K.; Nayak, P.C. Delay Differential Equations Using Market Equilibrium. IOSR J. Math. 2017, 13, 562–576. [Google Scholar]
  3. Grzelak, A.; Kułyk, P. Is Michał Kalecki’s theory of investment applicable today? The case study of agricultural holdings in the EU countries. Agric. Econ.-Czech 2020, 66, 317–324. [Google Scholar] [CrossRef]
  4. Li, Y.C.; Yang, H. A Mathematical Model of Demand-Supply Dynamics with Collectability and Saturation Factors. Int. J. Bifurc. Chaos 2017, 27, 1750016. [Google Scholar] [CrossRef]
  5. Martina, B.; Veronika, N. The Use of Functional Differential Equations in the Model of the Meat Market with Supply Delay. Procedia-Soc. Behav. Sci. 2015, 213, 74–79. [Google Scholar] [CrossRef]
  6. Heffernan, J.; Corless, R. Solving some delay differential equations with computer algebra. Math. Sci. 2006, 31, 21–34. [Google Scholar]
  7. Michiels, W.; Niculescu, S.-I. Stability, Control, and Computation for Time-Delay Systems: An Eigenvalue-Based Approach; SIAM: Philadelphia, PA, USA, 2014. [Google Scholar]
  8. Saha, L.M.; Das, M.K.; Bhardwaj, R. Asymptotic stability analysis applied to price dynamics. Indian J. Ind. Appl. Math. 2018, 9, 186–195. [Google Scholar] [CrossRef]
  9. Gardini, L.; Radi, D.; Schmitt, N.; Sushko, I.; Westerhoff, F. Causes of fragile stock market stability. J. Econ. Behav. Organ. 2022, 200, 483–498. [Google Scholar] [CrossRef]
  10. Ammy-Driss, A.; Garcin, M. Efficiency of the financial markets during the COVID-19 crisis: Time-varying parameters of fractional stable dynamics. Phys. A Stat. Mech. Its Appl. 2023, 609, 128335. [Google Scholar] [CrossRef]
  11. Chang, C. Financial stability nexus with oil prices shocks and business cycle uncertainty during COVID-19: Empirical trends of ASEAN economies. Environ. Sci. Pollut. Res. 2023, 30, 95590–95605. [Google Scholar] [CrossRef]
  12. Matsumoto, A.; Szidarovszky, F. Asymptotic Dynamics in a Multi-market Delayed Cobweb Model. Comput. Econ. 2024, 1–36. [Google Scholar] [CrossRef]
  13. Smirnov, S.N. Structural Stability of the Financial Market Model: Continuity of Superhedging Price and Model Approximation. J. Oper. Res. Soc. China 2024, 12, 215–241. [Google Scholar] [CrossRef]
  14. Bin, F.; Fuming, P. Some results of finding the roots of time-delay systems by Lambert W function. In Proceedings of the 2021 IEEE International Conference on Power Electronics, Computer Applications (ICPECA), Shenyang, China, 22–24 January 2021; pp. 199–204. [Google Scholar] [CrossRef]
  15. Ivanoviene, I.; Rimas, J. The use of the Lambert W function method for analysis of a control system with delays. Inf. Technol. Control 2013, 42, 325–332. [Google Scholar]
  16. Ivanoviene, I.; Rimas, J. Complement to method of analysis of time delay systems via Lambert W function. Automatica 2015, 54, 25–28. [Google Scholar] [CrossRef]
  17. Ivanoviene, I.; Rimas, J. Analysis of control system with delay using the Lambert function. In Proceedings of the Information and Software Technologies: 19th International Conference, ICIST 2013, Kaunas, Lithuania, 10–11 October 2013; Skersys, T., Butleris, R., Butkiene, R., Eds.; Springer: Berlin/Heidelberg, Germany, 2013; pp. 1–10. [Google Scholar]
  18. Ulsoy, G.A.; Gitik, R. On the Convergence of the Matrix Lambert W Approach to Solution of Systems of Delay Differential Equations. ASME J. Dyn. Sys. Meas. Control 2020, 142, 024501. [Google Scholar] [CrossRef]
  19. Li, J.; Qin, C.; Yang, C.; Ai, B.; Zhou, Y. Extraction of Single Diode Model Parameters of Solar Cells and PV Modules by Combining an Intelligent Optimization Algorithm with Simplified Explicit Equation Based on Lambert W Function. Energies 2023, 16, 5425. [Google Scholar] [CrossRef]
  20. Mainardi, F.; Masina, E.; González-Santander, J.L. A Note on the Lambert W Function: Bernstein and Stieltjes Properties for a Creep Model in Linear Viscoelasticity. Symmetry 2023, 15, 1654. [Google Scholar] [CrossRef]
  21. Rathie, P.N.; Ozelim, L.C.S.M. On the Relation between Lambert W-Function and Generalized Hypergeometric Functions. Stats 2022, 5, 1212–1220. [Google Scholar] [CrossRef]
  22. Rawa, M.; Calasan, M.; Abusorrah, A.; Alhussainy, A.A.; Al-Turki, Y.; Ali, Z.M.; Sindi, H.; Mekhilef, S.; Aleem, S.H.E.A.; Bassi, H. Single Diode Solar Cells—Improved Model and Exact Current–Voltage Analytical Solution Based on Lambert’s W Function. Sensors 2022, 22, 4173. [Google Scholar] [CrossRef]
  23. Xie, T.; Li, M. Finite-Time Stability of Impulsive Fractional Differential Equations with Pure Delays. Axioms 2023, 12, 1129. [Google Scholar] [CrossRef]
  24. Ivanoviene, I.; Rimas, J. Investigation of the multidimensional automatic control system, having strucrure of the chain, applying Lambert W function. In Electrical and Control Technologies: Proceedings of the 7th International Conference on Electrical and Control Technologies ECT 2012, Kaunas, Lithuania, 3–4 May 2012; Kaunas University of Technology, IFAC Committee of National Lithuanian Organisation, Lithuanian Electricity Association; Technologija: Kaunas, Lithuania, 2012; pp. 82–86. [Google Scholar]
  25. Sun, Y.; Nelson, P.W.; Ulsoy, A.G. Time-Delay Systems: Analysis and Control Using the Lambert W Function; World Scientific: Singapore, 2010. [Google Scholar]
  26. Jankauskiene, I.; Rimas, J. A Note on the Use of Step Responses Matrix and Lambert W Function in the Dynamics Analysis of Time Delay Systems. Inf. Technol. Control 2017, 46, 228–234. [Google Scholar] [CrossRef][Green Version]
  27. Ivanoviene, I.; Rimas, J. Analysis of a multidimensional control system with delays. In Proceedings of the Electrical and Control Technologies: Proceedings of the 6th International Conference on Electrical and Control Technologies ECT 2011, Kaunas, Lithuania, 5–6 May 2011; Kaunas University of Technology, IFAC Committee of National Lithuanian Organisation, Lithuanian Electricity Association; Technologija: Kaunas, Lithuania, 2011; pp. 124–129. [Google Scholar]
  28. Jankauskiene, I.; Miliūnas, T. The stability analysis of the market price using Lambert function method. Liet. Mat. Rink. 2020, 61, 13–17. [Google Scholar] [CrossRef]
  29. Liz, E.; Gergely, R. Global dynamics in a commodity market model. J. Math. Anal. Appl. 2013, 398, 707–714. [Google Scholar] [CrossRef]
  30. Corless, R.M.; Gonnet, G.H.D.; Hare, E.G.; Jeffrey, D.J.; Knuth, D.E. On the LambertW function. Adv. Comput. Math. 1996, 5, 329–359. [Google Scholar] [CrossRef]
  31. Malek-Zavarei, M.; Jasmshidi, M. Time Delays System; Elsevier: North Holland, NY, USA, 1987. [Google Scholar]
  32. Kulenović, M.; Ladas, G.; Meimaridou, A. On oscillation of nonlinear delay differential equations. Q. Appl. Math. 1987, 45, 155–164. [Google Scholar] [CrossRef]
  33. Franke, R. Reviving Kalecki’s business cycle model in a growth context. J. Econ. Dyn. Control 2018, 91, 157–171. [Google Scholar] [CrossRef]
Figure 1. Dynamics of market price with different intensities. (a) Shows that the price will oscillate less with an elasticity coefficient equal to 3. (b) Shows that the price will fluctuate more with an elasticity coefficient equal to 7. (c) Shows that the price is stable when the elasticity of demand is 7, but more oscillating.
Figure 1. Dynamics of market price with different intensities. (a) Shows that the price will oscillate less with an elasticity coefficient equal to 3. (b) Shows that the price will fluctuate more with an elasticity coefficient equal to 7. (c) Shows that the price is stable when the elasticity of demand is 7, but more oscillating.
Mathematics 12 02760 g001
Figure 2. Dynamics of real-life market price with different intensities. (a) Shows that the price will fluctuate less with an elasticity coefficient equal to 0.9 and (b) shows that the price will fluctuate more with an elasticity coefficient equal to 1.4. (c) Shows that the price is unstable when the elasticity of demand is 1.9.
Figure 2. Dynamics of real-life market price with different intensities. (a) Shows that the price will fluctuate less with an elasticity coefficient equal to 0.9 and (b) shows that the price will fluctuate more with an elasticity coefficient equal to 1.4. (c) Shows that the price is unstable when the elasticity of demand is 1.9.
Mathematics 12 02760 g002
Figure 3. Dynamics of Kalecki’s stationary business cycle model with different delay arguments. Figure (a) shows the unstable behavior of stocks. Figure (b) shows when Kalecki’s model becomes stable up to τ = 0.6 .
Figure 3. Dynamics of Kalecki’s stationary business cycle model with different delay arguments. Figure (a) shows the unstable behavior of stocks. Figure (b) shows when Kalecki’s model becomes stable up to τ = 0.6 .
Mathematics 12 02760 g003
Figure 4. Comparison results between free methods.
Figure 4. Comparison results between free methods.
Mathematics 12 02760 g004
Table 1. Comparison results between free methods.
Table 1. Comparison results between free methods.
τLAMBERT WDDE32
N
5501001000
10.01480.00150.000750.0000750.7120
computational time, s0.0088410.2947081.110586103.2097910.001228
0.10.001210.00010.0000650.0000080.08120
computational time, s0.0941670.4130301.129259104.4674060.072151
Disclaimer/Publisher’s Note: The statements, opinions and data contained in all publications are solely those of the individual author(s) and contributor(s) and not of MDPI and/or the editor(s). MDPI and/or the editor(s) disclaim responsibility for any injury to people or property resulting from any ideas, methods, instructions or products referred to in the content.

Share and Cite

MDPI and ACS Style

Ruzgas, T.; Jankauskienė, I.; Zajančkauskas, A.; Lukauskas, M.; Bazilevičius, M.; Kaluževičiūtė, R.; Arnastauskaitė, J. Solving Linear and Nonlinear Delayed Differential Equations Using the Lambert W Function for Economic and Biological Problems. Mathematics 2024, 12, 2760. https://doi.org/10.3390/math12172760

AMA Style

Ruzgas T, Jankauskienė I, Zajančkauskas A, Lukauskas M, Bazilevičius M, Kaluževičiūtė R, Arnastauskaitė J. Solving Linear and Nonlinear Delayed Differential Equations Using the Lambert W Function for Economic and Biological Problems. Mathematics. 2024; 12(17):2760. https://doi.org/10.3390/math12172760

Chicago/Turabian Style

Ruzgas, Tomas, Irma Jankauskienė, Audrius Zajančkauskas, Mantas Lukauskas, Matas Bazilevičius, Rugilė Kaluževičiūtė, and Jurgita Arnastauskaitė. 2024. "Solving Linear and Nonlinear Delayed Differential Equations Using the Lambert W Function for Economic and Biological Problems" Mathematics 12, no. 17: 2760. https://doi.org/10.3390/math12172760

APA Style

Ruzgas, T., Jankauskienė, I., Zajančkauskas, A., Lukauskas, M., Bazilevičius, M., Kaluževičiūtė, R., & Arnastauskaitė, J. (2024). Solving Linear and Nonlinear Delayed Differential Equations Using the Lambert W Function for Economic and Biological Problems. Mathematics, 12(17), 2760. https://doi.org/10.3390/math12172760

Note that from the first issue of 2016, this journal uses article numbers instead of page numbers. See further details here.

Article Metrics

Back to TopTop