Next Article in Journal
Optimal Synthesis of a Satellite Attitude Control System under Constraints on Control Torques and Velocities of Reaction Wheels
Previous Article in Journal
Enhanced Structural Design of Prestressed Arched Trusses through Multi-Objective Optimization and Multi-Criteria Decision-Making
Previous Article in Special Issue
Direction of Arrival Estimation Method Based on Eigenvalues and Eigenvectors for Coherent Signals in Impulsive Noise
 
 
Font Type:
Arial Georgia Verdana
Font Size:
Aa Aa Aa
Line Spacing:
Column Width:
Background:
Article

A Subspace-Based Frequency Synchronization Algorithm for Multicarrier Communication Systems

1
Department of Electrical Engineering, School of Electrical and Computer Engineering, College of Engineering, Chang-Gung University, Tao-Yuan 33302, Taiwan
2
College of Electrical Engineering and Computer Science, National Taipei University, New Taipei 237303, Taiwan
*
Author to whom correspondence should be addressed.
Mathematics 2024, 12(16), 2568; https://doi.org/10.3390/math12162568
Submission received: 19 July 2024 / Revised: 14 August 2024 / Accepted: 20 August 2024 / Published: 20 August 2024
(This article belongs to the Special Issue Intelligent Signal Processing and Intelligent Communication)

Abstract

We present a subspace-based polynomial rooting algorithm to estimate the frequency bias (FB) of generalized frequency division multiplexing (GFDM) systems employing null subcarriers and repetitive sub-symbols. The estimation process is classified into fractional FB (FFB) and integer FB (IFB) estimation. The use of repetitive sub-symbols creates a quasi-periodic structure in the FB-distorted received signal, allowing the proposed algorithm to estimate the FFB using the root-MUSIC algorithm. Based on this, the proposed algorithm compensates for the FFB in the received signal and then estimates the null subcarrier pattern (NSP) in the frequency domain. As a result, the IFB estimate can be obtained in a maximum likelihood (ML) manner. Before the NSP estimation, this study uses a sub-symbol combiner to enhance signal strength of the FFB-aligned signal, ensuring the reliability of the IFB estimate. Computer simulations show that the proposed subspace-based algorithm has several advantages over traditional FB estimation methods: 1. Unlike some existing algorithms that use a training sequence to estimate FB, the proposed approach is a semi-blind algorithm because it can deliver information through repeated sub-symbols while estimating FB; 2. The proposed algorithm demonstrates excellent estimation accuracy compared to most traditional FB estimation algorithms; and 3. The proposed algorithm is computationally efficient, making it applicable to real-time applications in future communication systems.

1. Introduction

Multicarrier communication systems (MCS) are a type of digital communication system that use multiple carrier frequencies to transmit data [1,2,3,4]. According to the characteristics of the prototype filters and the arrangement of the time–frequency channel resources, MCS can be classified into orthogonal systems, such as the orthogonal frequency division multiplexing system (OFDM) [1], and non-orthogonal systems, such as the GFDM [3] and the filter bank multicarrier (FBMC) [4]. Because of their excellent performance in combating frequency selective channel fading and superior spectral efficiency, MCS are widely used in various wireless and wireline communication technologies, including 4 G/5 G cellular networks, WiFi, digital subscriber line (DSL), and intra-body communication [5]. Additionally, multicarrier modulation is a candidate technique of 6 G, because it can perfectly combine with the orthogonal-time–frequency–space (OTFS) communication system to achieve delay-Doppler modulation [6].
Frequency synchronization is the main challenge to multicarrier systems, because the FB incurs intercarrier interference (ICI), severely degrading the system throughput [1,2]. Specifically, FB is mainly caused by the local oscillator at communication terminals and has a magnitude generally proportional to the carrier frequency. As the unused millimeter-wave (mmWave) spectrum bands become the main spectral resources of future communication systems, it is important to explore frequency synchronization techniques that can overcome a large FB [7,8].
This study uses GFDM as an example to investigate the frequency synchronization problem of multicarrier systems. GFDM divides the available bandwidth into multiple subcarriers. Each subcarrier carries a portion of the data, which can help manage interference and improve spectral efficiency. GFDM generalizes the concept of OFDM by allowing for non-orthogonal subcarriers. This means that GFDM can accommodate different pulse shapes and frequency spacings, which can be tailored to specific communication needs. To achieve this, GFDM uses filter banks to shape the waveform, resulting in a smoother spectrum that limits out-of-band (OOB) emissions, providing higher spectral efficiency and better immunity to multipath fading channels. Unlike OFDM, which uses long symbols to transmit data composed of a large number of subcarriers, GFDM shows better flexibility in the allocation of time–frequency resources [3]. Additionally, it can support various modulation schemes and can be adapted to different channel conditions. This makes it suitable for a wide range of applications, from high-speed data transmission to IoT devices [3,4,5]. GFDM has several potential applications in real-world communication systems:
  • IoT Systems: GFDM’s ability to efficiently use the available spectrum can be advantageous for IoT systems, where numerous devices need to communicate simultaneously with minimal interference and efficient spectrum utilization.
  • Machine-to-Machine (M2M) Communication: In M2M communication, where devices need to exchange data quickly and reliably, GFDM can offer improved performance in terms of data rates and power efficiency.
  • Cognitive Radio Networks: GFDM’s flexibility in spectrum usage makes it suitable for cognitive radio networks, where efficient spectrum allocation and management are crucial for dynamic spectrum access.
  • Satellite Communication Systems: GFDM can be applied to satellite communication systems to enhance spectrum efficiency and reduce interference, which is critical for meeting the high-bandwidth requirements of satellite services.
For GFDM, FB increases the inter-carrier interference between subcarriers, greatly reducing system performance in data decoding [9,10,11]. To tackle this, some algorithms for GFDM frequency synchronization have been proposed [11,12,13,14,15,16,17,18,19,20,21,22,23]. The FB estimation algorithm of OFDM systems [12,13,14,15] can be extended to applications in GFDM. However, the non-orthogonal characteristics of the GFDM signal seriously affect the accuracy of these algorithms. In [16], a least square (LS) algorithm was proposed to estimate the FB by using two identical consecutive training signal blocks. The LS-based algorithm is robust and has an estimation range covering all subcarriers. However, the LS algorithm involved a matrix inversion of the training matrix, making it a computationally intensive algorithm.
To reduce the computational burden of the LS algorithm, the authors in [17] proposed a Zadoff–Chu (ZC) sequence [18] auxiliary algorithm to jointly estimate FB and channel responses under the maximum likelihood (ML) criterion, and we call this approach the ZCML algorithm. Due to the orthogonality of the ZC sequence, the two-stage ZCML algorithm in [17] does not require matrix inversion, thus greatly reducing the computational complexity while having an estimation accuracy comparable to the high-complexity algorithm in [16]. In [19], a pseudo-noise-based (PN-based) algorithm was proposed to first achieve symbol time synchronization through a matching process and then estimate FB under the ML criterion. The drawback of the PN-based algorithm is that the frequency acquisition region is limited to a single subcarrier space. All algorithms in [16,17,18,19] use training symbols and involve an exhaustive search process for the acquisition area of interest; greatly increasing the computational complexity.
In [20], a computationally efficient algorithm was proposed to estimate FB and channel response by using repeated training sub-symbols when the number of subcarriers is larger than the channel length. By avoiding the fine grid search process, the algorithm in [20] greatly reduces the computational complexity compared with the algorithm using long training sequences in [16,17,18,19]. Taking advantage of the orthogonality between cyclically shifted ZC sequences, a ZC-sequence-based polynomial rooting (ZCPR) algorithm was proposed in [21] for estimating FB from the roots of ZC-sequence-based characteristic function. Although the ZCPR algorithm is computationally efficient, the root of the characteristic polynomial is sensitive to noise perturbation, degrading the estimation accuracy. All FB estimation algorithms in [16,17,18,19,20,21] are data-assisted methods; therefore, a training sequence is required to form a preamble before each GFDM data frame, resulting in reduced spectral efficiency. In order to improve the spectral efficiency, an ML algorithm was proposed in [22] to estimate the FB of the GFDM system by inserting virtual carriers in the repeated sub-symbols.
In summary, FB can impact GFDM systems by causing interference, loss of orthogonality, and degradation of signal quality. Addressing these issues typically involves employing compensation techniques and synchronization algorithms to ensure robust and reliable communication. However, as discussed above, some of the existing FB estimation algorithms [16,17,18,19] are non-blind and use a training sequence to estimate the FB, which consumes spectral efficiency and entails high computational complexity. Although the other non-blind ZCPR algorithm [21] significantly reduces computational complexity, it suffers from unstable estimation accuracy. Given the importance of both frequency synchronization and spectral resources in multicarrier communication systems, it is essential to explore an FB estimation algorithm that is both computationally and spectrally efficient while also providing high accuracy.
This study presents a semi-blind, subspace-based polynomial rooting algorithm to estimate the FB of GFDM systems, utilizing null subcarriers in conjunction with repetitive sub-symbols. The proposed algorithm first sets the data symbol transmitted by each subcarrier to be the same as all sub-symbols to create a periodic structure in the transmitted signal. The periodic characteristics make the received signal have a quasi-periodic structure of FFB, allowing the proposed algorithm to estimate FFB in the time domain using the root-MUSIC algorithm [23,24]. Accordingly, the proposed algorithm compensates for the FFB in the received signal, and then combines all the sub-symbols to enhance the signal strength. Based on the combined sub-symbol, the proposed algorithm estimates the null subcarrier positions in the frequency domain and then estimates the IFB in an ML manner. Computer simulations show that in addition to having an excellent estimation accuracy, the proposed subspace-based algorithm is also computationally and spectrally efficient compared to traditional FB estimation methods. This study presents an alternative approach to our previous ML work [22] in FB estimation. Additionally, we introduce a reliable and computationally efficient decoding procedure for GFDM using repetitive sub-symbols.
The rest of this paper is organized as follows: Section 2 introduces the GFDM system model, which gives the signal format of repeated sub-symbols consisting of null subcarriers. Section 3 presents the proposed two-stage FB estimation algorithm. Section 4 contains computer simulation results illustrating the effectiveness of the proposed algorithm. Section 5 provides conclusions.

2. System Model

GFDM can flexibly allocate resources in both time and frequency domains to adapt to different transmission requirements. For the GFDM signals comprising K subcarriers and M sub-symbols, the transmitted signal is given by
x [ n ] = k = 0 K 1 m = 0 M 1 d k , m g [ ( n m K ) mod N ] e j 2 π K k n , n = 0 , , N 1 ,
where d k , m denotes the data symbol modulated at the k-th subcarrier and m-th sub-symbol, g [ n ] is the impulse response of the prototype filter. A key feature of GFDM system is to use a prototype filter with controlled bandwidth to limit the OOB radiation. The controlled bandwidth can be investigated in the frequency domain. To see this, let G [ l ] represent the l-th spectral component of g [ n ] , the filter response can be represented by N-point inverse fast-Fourier-transform (iFFT) given by
g [ n ] = 1 N l = 0 N 1 G [ l ] e j 2 π N n l .
Additionally, for a real-valued prototype filter, the controlled bandwidth property of G [ l ] is represented by [3]
G [ l ] = { G * [ N l ] ,   l = 0 , , α M 0 , l = α M + 1 , , N α M 1 ,  
where α denotes the roll-off factor dominating the bandwidth of g [ n ] , is the floor operation, and the asterisk, ( ) * , represents the complex conjugate operation. With (3), the transmitted signal in (1) can be represented by
x [ n ] = k = 0 K 1 m = 0 M 1 d k , m g k , m [ n ] , n = 0 , , N 1
= k = 0 K 1 m = 0 M 1 d k , m N l = 0 N 1 ρ l , m G [ ( l k M ) mod N ] e j 2 π N l n
where g k , m [ n ] = g [ ( n m K ) mod N ] e j 2 π K k n represents the modulating signal of d k , m , ρ l , m = e j 2 π M l m which is the phase rotation factor caused by the time shift of the m-th sub-symbol. According to (5), x [ n ] can be represented in matrix-vector form, given by
x [ n ] = f n H k = 0 K 1 m = 0 M 1 d k , m Ω m g k ,
where Ω m = d i a g { ρ l , m } l = 0 , , N 1 is the associated phase rotation matrix (a diagonal matrix of size N); g k = [ { G [ ( l k M ) mod N ] } l = 0 , , N 1 ] N × 1 denotes the spectral vector of the modulating signal of the k-th subcarrier; f n = 1 N [ { e j 2 π N n l } l = 0 , , N 1 ] N × 1 is the n-th column of the N-point FFT matrix F N = [ f 0 f N 1 ] = [ W n , l ] N × N with the (n, l) element W n , l = 1 N e j 2 π N n l , and the superscript H denotes the Hermitian operation. For simplicity, we define g k , m = Ω m g k , and then collect all the time samples in (4) to form the GFDM transmit signal vector given by
x = [ x [ 0 ] x [ N 1 ] ] = F N H k = 0 K 1 m = 0 M 1 d k , m g k , m
Next, to avoid the intersymbol interference caused by the frequency selective channel, a cyclic prefix (CP) with a length longer than the channel length is inserted in front of x , and the resulting signal vector is given by
x ˜ = [ x cp x ] ( N + N cp ) × 1 ,
where x cp = [ x [ N cp ] x [ 1 ] ] T with x [ k ] = x [ N k ] . This indicates that the CP is a repetition of the end part of the GFDM symbol that is appended to the beginning of the symbol before transmission. This ensures that even if the symbol arrives with some delay due to multipath propagation, the receiver can correctly demodulate the signal by discarding the CP and processing the main symbol without interference from previous symbols. The signal in (8) is transmitted through a frequency selective channel with the response vector h = [ h [ 0 ] h [ L 1 ] ] T and the received signal vector can be expressed by
y ˜ = H ˜ x ˜ + z ˜ ,
where H ˜ is a Toeplitz matrix with [ 0 N cp L + 1 T h [ L 1 ] h [ 0 ] 0 N 1 T ] as its first row to represent the linear convolution of the channel and the transmitted signal, z ˜ is the additive white Gaussian noise (AWGN) vector, which is a circularly symmetric Gaussian vector of zero mean and autocorrelation matrix σ z 2 I . At the receiving end, after CP is removed from y ˜ , the received signal distorted by FB can be represented by
y = E H x + z ,
where E = d i a g ( { e j 2 π K ε n } n = 0 , , N 1 ) is the FB matrix with ε representing the FB normalized to the subcarrier spacing, H is a circulant matrix representing the circular convolution of h and x , and is given by
H = [ h 0 h 1 h N 1 ] N × N ,
where the first column is defined by the N × 1 channel vector with zero paddings h 0 = [ h [ 0 ] h [ L 1 ] 0 N L T ] T , and the remaining h k = c i r s f t k ( h 0 ) is obtained by circularly shifting h 0  k times. Figure 1 illustrates the block diagram of the GFDM system.

3. Proposed Approach

As shown in Figure 1, this study first estimates the FFB and then compensates for it from the received signal. To achieve this, the proposed algorithm first sets the data symbols modulated on each subcarrier to be the same for all sub-symbols, d k , m = d k , m , and the transmitted signal vector in (7) becomes
x = F N H k = 0 K 1 d k m = 0 M 1 Ω m g k ,
= F N H k = 0 K 1 d k M k = 0 K 1 d i a g { e k M + 1 } g k ,
where e k represents an N × 1 elementary vector, in which the k-th element is 1, and the other elements are 0. According to (3), the limited bandwidth of the prototype filter leads to k = 0 K 1 d i a g { e k M + 1 } g k = G [ 0 ] e k M + 1 , and (13) becomes
x = G [ 0 ] M k = 0 K 1 d k F N H e k M + 1 f k M * = G [ 0 ] M k = 0 K 1 d k f k M * .
According to (14), it shows that the elements of x are periodic. To see this, because the n-th element of f k M * is 1 N e j 2 π K k n , it follows that the n-th element of x is
x [ n ] = G [ 0 ] M N k = 0 K 1 d k e j 2 π K k n .
= x [ n + m K ] , n = 0 , , K 1 ,   and   m = 1 , , M 1 .
Additionally, since 1 K k = 0 K 1 d k e j 2 π K k n represents the K-point iFFT of { d k } k = 0 , , K 1 , the periodic signal vector can be rewritten as
x = [ G [ 0 ] M F K H d K × 1 G [ 0 ] M F K H d K × 1 ] = [ s s ] .
where s = G [ 0 ] M F K H d K × 1 , in which F K denotes the K-point FFT matrix and d = [ d 0 d K 1 ] T is a K × 1 vector of data symbols, where some data symbols corresponding to null subcarriers are set to zero, d k = 0 , k S n , with S n representing the set of indices of the null subcarriers. Accordingly, the null subcarrier pattern (NSP) is defined by
p = [ p [ 0 ] p [ K 1 ] ] ,   where   p [ k ] = { 1 ,   k S n 0 ,   otherwise .
According to (17), under the condition that the number of subcarriers is greater than the channel length, K L , the channel matrix in (10) can be rewritten as
H = [ H ¯ 0 0 0 H ¯ 0 0 0 H ¯ ] N × N .
where H ¯ = [ h _ 0 h _ 1 h _ K 1 ] K × K , in which the reduced size channel vector is h _ 0 = [ h [ 0 ] h [ L 1 ] 0 K L T ] T . Additionally, the FB matrix can be rewritten as
E = d i a g { e j 2 π K ε n } n = 0 , , N 1 = [ E ¯ 0 0 0 e j 2 π ε f E ¯ 0 0 0 e j 2 π ( M 1 ) ε f E ¯ ] ,  
where E ¯ = d i a g { e j 2 π K ε n } n = 0 , , K 1 , and ε f denotes the fraction part of ε . According to (19) and (20), then the received signal vector in (10) becomes
y = [ y [ 0 ] y [ N 1 ] ] = [ E ¯ H ¯ s e j 2 π ε f E ¯ H ¯ s e j 2 π ( M 1 ) ε f E ¯ H ¯ s ] + z .

3.1. FFB Estimation

It can be seen from (21), that in the absence of noise, the received signal exhibits quasi-periodic characteristics in terms of FFB, y [ n + m K ] = y [ n ] e j 2 π m ε f , n = 0 , , K 1 . This allows the proposed algorithm to estimate the FFB by downsampling y [ n ] at rate K, which produces the resulting vector given by
y K [ n ] = [ { y [ n + m K ] } m = 0 , , M 1 ] M × 1 .
= y [ n ] a ( ε f ) + z K ,   n = 0 , , K 1 .
where a ( ε f ) = [ 1 e j 2 π ε f e j 2 π ( M 1 ) ε f ] T is the array manifold of FFB, and z K is the resulting noise vector. According to (22), the proposed algorithm employs the root-MUSIC algorithm [22,23] to estimate the FFB. The root-MUSIC algorithm is a subspace-based polynomial-rooting method used for estimating the number of signal sources and the parameters of the associated array manifold. To achieve this, the root-MUSIC first investigates the autocorrelation matrix of y K [ n ] and obtains
R y K = E { y K [ n ] y K H [ n ] } = σ y 2 a ( ε f ) a H ( ε f ) + σ z 2 I .
Because executing eigen-decomposition, R y K can be expressed in the associated eigenspaces by
R y K = λ 1 v 1 v 1 H + m = 2 M λ m v m v m H ,
where { ( λ m , v m ) } are the eigenpairs of R y K , and we have assumed that the eigenvalues are sorted in descending order, λ m λ m + 1 , m . Due to the Hermitian property of R y K , it can be orthogonally decomposed, thus ensuring v m H v n = δ m , n , where δ m , n denotes the Kronecker delta function, which is 1 when m = n , otherwise it is 0. With Equations (24) and (25) indicating v 1 = a ( ε f ) a ( ε f ) , it follows that the FFB can be estimated using the orthogonal property between v 1 and { v 2 , , v M } . According to the structure of the array manifold, the root-MUSIC forms a characteristic polynomial given by
p ( z ) = m = 2 m a H ( z ) v m v m H a ( z ) = m = M + 1 M 1 c m z m = k = 1 2 M 1 ( z z k ) ,
where a ( z ) = [ 1 z z M 1 ] T , in which z is a complex variable, and { c m } and { z k } are the coefficients and roots of p ( z ) , respectively. Apparently, because of v 1 = a ( ε f ) a ( ε f ) and v m H v n = δ m , n , one of the 2M-1 roots of the characteristic polynomial is the root that contains the FFB information. Therefore, the root-MUSIC algorithm chooses the root of p ( z ) that is closest to the unit circle to estimate the FFB, and is given by
z ^ f = arg min z k | z k 1 | ,
and
ε ^ f = arg ( z ^ f ) 2 π
where arg ( ) denotes the phase of the embraced variable.

3.2. FFB Compensation and Sub-Symbol Combining

According to (28), the proposed algorithm compensates for the FFB in the received signal. Multiplying the FFB compensation matrix E ^ f H to the received signal vector in (21) yields
y ¯ = [ y ¯ [ 0 ] y ¯ [ N 1 ] ] = E ^ f H y = [ E ¯ i H ¯ s E ¯ i H ¯ s E ¯ i H ¯ s ] + z ¯
where E ^ f H = d i a g { e j 2 π K ε ^ f n } n = 0 , , N 1 is the FFB compensation matrix formed by the FFB estimate in (28), E ¯ i = E ^ f E = d i a g { e j 2 π K ε i n } n = 0 , , K 1 denotes the remaining IFB distortion matrix with ε i = ε ε ^ f representing the IFB, and z ¯ is the resulting noise. Next, the proposed algorithm combines all the sub-symbols in y ¯ and obtains
y ¯ comb = m = 1 M y ¯ m M = E ¯ i H ¯ s + z ¯ comb
where y ¯ m = [ y ¯ [ ( m 1 ) K 1 ] y ¯ [ m K ] ] T = E ¯ i H ¯ s + z ¯ m is the m-th sub-symbol of y ¯ , and z ¯ comb is the combined noise vector with autocorrelation matrix σ z 2 M I K . Note that the combining process decreases the noise power by a factor M, while maintaining the signal strength of the combined sub-symbol.

3.3. Integer CFO Estimation

Because H ¯ = [ h _ 0 h _ 1 h _ K 1 ] K × K is a circulant matrix, it can be diagonalized through the FFT matrix
H ¯ = F K H H ¯ f F K
where H ¯ f = d i a g { H [ 0 ] H [ K 1 ] } represents the frequency response matrix of the frequency selective channel with H [ k ] = 1 K n = 0 L 1 h [ n ] e j 2 π K k n . Substituting (31) into (30), and according to (17), we can obtain
y ¯ comb = G [ 0 ] M E ¯ i F K H H ¯ f F K F K H d + z ¯ comb
= E ¯ i F K H d ˜ + z ¯ comb
where d ˜ = H ¯ f d = G [ 0 ] M [ H [ 0 ] d 0 H [ K 1 ] d K 1 ] T represents the received data vector with channel distortion. As a consequence of sub-symbol combing, the signal to noise power ratio (SNR) of y ¯ comb is proportional to the number of sub-symbols, and is given by
ξ y ¯ comb = E { E ¯ i F K H d ˜ 2 } E { z ¯ comb 2 } = M k S n | G [ 0 ] | 2 | H [ k ] | 2 σ d 2 K σ z 2 ,
where σ d 2 = E { | d k | 2 } . Next, to estimate the IFB, the proposed algorithm performs an FFT on (33) and yields
y f = [ y f [ 0 ] y f [ K 1 ] ] = F K y ¯ comb = F K E ¯ i F K H d ˜ c i r s f t ε i ( d ˜ ) + z ¯ f = d ˜ ε i + z ¯ f
where d ˜ ε i = F K E ¯ i F K H d ˜ = c i r s f t ε i ( d ˜ ) represents the signal vector subject to IFB distortion in the frequency domain, which is obtained by cyclically shifting d ˜   ε i times. Due to the existence of null subcarriers, the proposed algorithm estimates the location of null subcarriers by collecting subcarrier indices corresponding to the | S n | minimum amplitudes of { y f [ k ] } , and is given by
S ^ n = arg min k | S n | | y f [ k ] |
Accordingly, the NSP estimate is given by
p ^ = [ p ^ [ 0 ] p ^ [ K 1 ] ] ,   where   p ^ k = { 1 ,   k S ^ n 0 ,   otherwise .
Using the NSP estimate in (37), the proposed algorithm estimates the IFB through a matching process given by
ε ^ i = arg min k p ^ p k , K 2 k < K 2 .
From to (28) and (38), the proposed FB estimate is
ε ^ = ε ^ i + ε ^ f .
Additionally, according to the IFB estimate in (38), data decoding of the proposed GFDM system can be easily performed by
d ^ k = d e c { y f , ( ε ^ i ) [ k ] H k G [ 0 ] M } .
where y f , ( ε ^ i ) = c i r s f t ( ε ^ i ) ( y f ) denotes the received signal vector with FB compensation and y f , ( ε ^ i ) [ k ] is its k-th element. Note that unlike traditional GFDM decoding schemes involving large-scale matrix inversion (e.g., minimum mean square error and zero-forcing methods [3]), the decoding process proposed in (40) is computationally very efficient at the expense of spectral efficiency. In conclusion, the proposed frequency synchronization algorithm is summarized in Table 1.

3.4. Computational Complexity Analysis

The proposed algorithm requires 12 M 3 flops for the calculation of eigenvectors of R y K in (25) [25], 4 M 2 2 M flops to find the polynomial roots in (26) [26], plus K log 2 K flops for the K-point FFT in (35). Therefore, in total, the computational complexity of the proposed algorithm is 12 M 3 + 4 M 2 2 M + K log K . By comparison, the LS algorithm presented in [16] requires ( N K ) + ( 2 K 1 ) ( log ( 2 K 1 ) ) 2 flops for the CFO estimation, whereas the computational complexity of the ZCML method in [17] is L N ( N 2 + 10 ( 4 ( L 1 ) + 3 ) + 21 q ) , where q is the exponent of the involved searching process. Additionally, the computational complexity of the ZCPR algorithm in [21] is 11 6 N 3 + 4 3 N 2 + L 2 N , and that of the VCML algorithm in [22] is ( N K ) + K | S V C | + K log 2 K flops. Table 2 summarizes the complexities of these algorithms.

4. Computer Simulations

Consider a GFDM system using a root-raised-cosine filter [27,28] as the prototype filter. The number of sub-symbols is M = 4 and the number of subcarriers is K = 32 . A Rayleigh fading channel of length L = 5 is assumed with the delay power profile given by
σ l 2 = E { | h [ l ] | 2 } = e l κ ,   l = 0 , , L 1
where κ represents the path loss factor and is set as κ = 6 . The channel response is assumed to be constant over the time duration of a GFDM signal block of N = M K = 128 sampling periods. The number of the null subcarriers is set to | S n | = α K where α represents the percentage factor of S n .
Figure 2 shows the comparison results of the mean square error (MSE) of the proposed FB estimate with that of the LS method in [16], the ZCML algorithm in [17], the ZCPR algorithm in [21], and the VCML algorithm in [22]. The FB is randomly selected from the interval [ K 2 , K 2 ) , and the noise power is adjusted to achieve an SNR range of 0 to 30 dB. Figure 2 shows that the MSE of the proposed algorithm is significantly better than that of the LS, ZCML and ZCPR algorithms by at least 6 dB of power gain, and its estimation accuracy is comparable to that of the VCML algorithm.
Figure 3 shows the MSE of the proposed subspace-based algorithm with respect to different (M, K) combinations at fixed block size N = MK = 256, and an SNR range from 0 to 30 dB. For a fixed signal block size, Figure 3 shows that the MSE decreases as the number of sub-symbols increases. This is because increasing M will expand the dimensionality of the array manifold in (23), thereby increasing the number of eigenvectors to form the characteristic polynomial in (26), thus improving the accuracy of the FFB estimation. Furthermore, when estimating IFB, the SNR of the combined sub-symbols in (32) is proportional to M, as shown in (34), making the IFB estimation robust to noise perturbations.
Figure 4 shows the acquisition regions of the FB of the proposed algorithm and that of the LS [16], ZCML [17], ZCPR [21], and VCML [15] algorithms when SNR = 20 dB. The parameters of the GFDM are ( M , K ) = ( 4 , 32 ) . It demonstrates that all of the algorithms have a full acquisition region in the interval [ K 2 , K 2 ) , and the proposed algorithm has an MSE comparable to the VCML approach, while outperforming the other three conventional algorithms.
Figure 5 compares the computational complexity of the proposed algorithm with the algorithms listed in Table 1. The number of sub-symbols is M = 2, and the number of subcarriers ranges from K = 32 to K = 256, resulting in a GFDM block size ranging from N = 64 to N = 512. The estimation accuracy of the search process in the ZCML algorithm is set to the third decimal place, i.e., q = 3. Because the LS [16] and ZCML [17] algorithms use the entire preamble block to search for FBs in a fine grid, both algorithms have very high complexity. The computational complexity of the proposed algorithm mainly depends on the order of the characteristic polynomial and can therefore be significantly reduced when only two repeating sub-symbols are used. In addition to reducing computational overhead while maintaining good estimation accuracy, the use of dual repeating sub-symbols also enables the proposed algorithm to improve spectral efficiency. Since the computational complexity depends on the degree of the characteristic polynomial in (26), increasing the number of sub-symbols not only reduces the spectral efficiency but also increases the computational complexity of the proposed GFDM system. However, as shown in Figure 2, the proposed algorithm benefits from increased estimation accuracy as M increases.
To demonstrate the effectiveness of the proposed IFB estimation procedure, we define the pseudo-spectrum using the decision measure given in (38):
S [ k ] = p ^ p k , K 2 k < K 2 .
Figure 6 shows the pseudo-spectrum of the proposed algorithm when M = 4, K = 64, ε = 15.223 ,   and   SNR = 10   dB . It demonstrates that the proposed algorithm effectively identifies IFB and derives ε ^ i = 15 from the notch of the pseudo-spectrum. In addition, unlike the VCML algorithm which uses a correlation matching method to estimate IFB, the proposed IFB estimation approach first estimates the position of null subcarriers through hard decision in (36), and then reconstructs the NSP accordingly through (37). Therefore, the binary matching process in (38) does not require additional computation, further saving the computational complexity of the proposed algorithm.
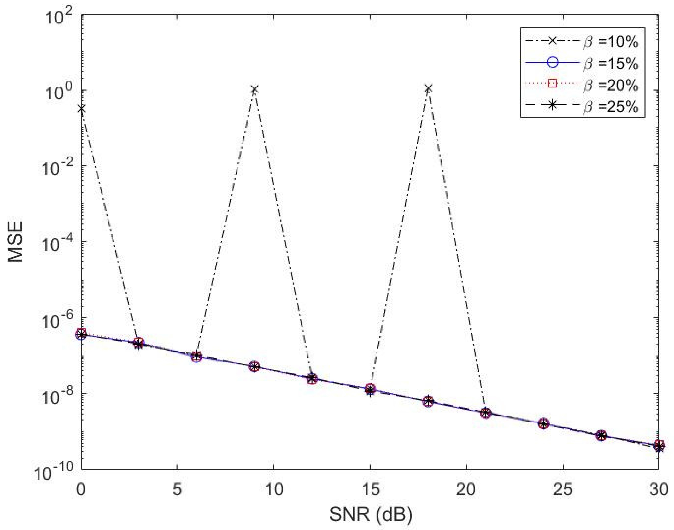
Figure 7 presents the MSEs of the proposed algorithm using different numbers of null subcarriers for integer CFO estimation under the case M = 4 and K = 64. The number of null subcarriers is set as | S n | = β K , with β given as a percentage. The results demonstrate that the proposed algorithm fails to estimate the integer CFO when β < 15 % because an insufficient number of null subcarriers causes the pseudo spectrum to have ambiguous notches, resulting in an incorrect IFB estimate. As the number of null subcarriers increases, the proposed algorithm achieves comparable MSEs when β 15 % .

5. Conclusions

This study proposes a computationally efficient algorithm to estimate the frequency bias of GFDM systems. The proposed algorithm uses a dynamically adjustable number of repeated sub-symbols of GFDM signal block to estimate the FFB in the time domain through the root-MUSIC algorithm, and then uses null subcarriers to estimate the IFB in the frequency domain. For a fixed GFDM signal block size, the increase in the number of repeated sub-symbols effectively expands the dimension of the array manifold of the downsampled signal, significantly improving the estimation accuracy of the proposed algorithm. In addition, the extended array manifold ensures the diversity gain of the combined sub-symbols, allowing the proposed algorithm to have reliable IFB estimation. Compared with traditional algorithms, this algorithm not only has better estimation accuracy and spectral efficiency, but also substantially reduces computational complexity. The proposed frequency synchronization algorithm is computationally and spectrally efficient, making it well-suited for energy-saving systems such as IoT, M2M communication, cognitive radio networks, and satellite communication systems. Since frequency synchronization is crucial for multicarrier communication systems, we plan to expand the proposed algorithm to apply to OFDM and OTFS systems in the near future.

Author Contributions

Conceptualization, Y.-Y.W.; methodology, Y.-Y.W.; software, S.-J.Y.; validation, Y.-Y.W. and S.-J.Y.; formal analysis, Y.-Y.W. and S.-J.Y.; investigation, Y.-Y.W. and S.-J.Y.; resources, Y.-Y.W.; data curation, Y.-Y.W. and S.-J.Y.; writing—original draft preparation, Y.-Y.W.; writing—review and editing, Y.-Y.W. and S.-J.Y.; visualization, Y.-Y.W.; supervision, Y.-Y.W.; project administration, Y.-Y.W.; funding acquisition, Y.-Y.W. All authors have read and agreed to the published version of the manuscript.

Funding

This research was funded by National Science and Technology Council, Taiwan, grant number MOST 109-2221-E-182-042.

Data Availability Statement

The original contributions presented in the study are included in the article, further inquiries can be directed to the corresponding author.

Conflicts of Interest

The authors declare no conflicts of interest.

References

  1. Zou, W.Y.; Wu, Y. COFDM: An overview. IEEE Trans. Broadcast. 1995, 41, 8–19. [Google Scholar] [CrossRef]
  2. Andrews, J.G.; Buzz, S.; Choi, W.; Hanly, S.V.; Lozano, A.; Soong, A.C.K.; Zhang, J.C. What will 5g be? IEEE J. Sel. Areas Commun. 2014, 32, 1065–1082. [Google Scholar] [CrossRef]
  3. Michailow, N.; Matthe, M.; Gaspar, I.S.; Caldevilla, A.N.; Mendes, L.L.; Festag, A.; Fettweis, G. Generalized frequency division multiplexing for 5th generation cellular networks. IEEE Trans. Commun. 2014, 62, 3045–3061. [Google Scholar] [CrossRef]
  4. Farhang-Boroujeny, B. OFDM Versus Filter Bank Multicarrier. IEEE Signal Process. Mag. 2011, 28, 92–112. [Google Scholar] [CrossRef]
  5. Kulsoom, F.; Chaudhry, H.N.; Savazzi, P.; Dell’Acqua, F.; Vizziello, A. An Energy-Efficient Carrier Synchronization Method for Galvanic Coupling Intra-Body Communication. IEEE J. Sel. Areas Commun. 2024, 42, 1978–1991. [Google Scholar] [CrossRef]
  6. Wang, C.-X.; You, X.; Gao, X.; Zhu, X.; Li, Z.; Zhang, C.; Wang, H.; Huang, Y.; Chen, Y.; Haas, H.; et al. On the Road to 6G: Visions, Requirements, Key Technologies, and Testbeds. IEEE Commun. Surv. Tutor. 2023, 25, 905–974. [Google Scholar] [CrossRef]
  7. Wei, Z.; Yuan, W.; Li, S.; Yuan, J.; Bharatula, G.; Hadani, R.; Hanzo, L. Orthogonal time–frequency space modulation: A promising next-generation waveform. IEEE Wirel. Commun. 2021, 28, 136–144. [Google Scholar] [CrossRef]
  8. Omri, A.; Shaqfeh, M.; Ali, A.; Alnuweiri, H. Synchronization Procedure in 5G NR Systems. IEEE Access 2019, 7, 41286–41295. [Google Scholar] [CrossRef]
  9. Lin, J.; Wang, M. The Primary Synchronization Signal of 5G NR. In Proceedings of the 14th International Conference on Wireless Communications, Networking and Mobile Computing, Chongqing, China, 18–20 September 2018; pp. 454–463. [Google Scholar]
  10. Bandari, S.K.; Yadav, S.S.; Mani, V.V. Analysis of GFDM in generalized-fading channel: A simple probability density function approach for beyond 5G wireless applications. AEU-Int. J. Electron. Commun. 2022, 153, 154260. [Google Scholar] [CrossRef]
  11. Gaspar, D.; Mendes, L.; Pimenta, T. GFDM BER Under Synchronization Errors. IEEE Communs. Lett. 2017, 21, 1743–1746. [Google Scholar] [CrossRef]
  12. Morelli, M.; Kuo, C.-C.J.; Pun, M.-O. Synchronization techniques for orthogonal frequency division multiple access (OFDMA): A tutorial review. Proc. IEEE 2007, 95, 1394–1427. [Google Scholar] [CrossRef]
  13. Schmidl, T.M.; Cox, D.C. Robust frequency and timing synchronization for OFDM. IEEE Trans. Commun. 1997, 45, 1613–1621. [Google Scholar] [CrossRef]
  14. Hui, L.; Tureli, U. A high efficiency carrier estimator for OFDM communications. IEEE Commun. Lett. 1998, 2, 104–106. [Google Scholar]
  15. Gao, F.; Nallanathan, A. Blind Maximum Likelihood CFO Estimation for OFDM Systems via Polynomial Rooting. IEEE Signal Process. Lett. 2006, 13, 73–76. [Google Scholar] [CrossRef]
  16. Li, Y.; Tian, B.; Yi, K.; Yu, Q. A novel hybrid CFO estimation scheme for UFMC-based systems. IEEE Commun. Lett. 2017, 21, 1337–1340. [Google Scholar] [CrossRef]
  17. Shayanfar, H.; Saeedi-Sourck, H.; Farhang, A. Low complexity searching method for CFO estimation in GFDM. Electron. Lett. 2019, 55, 355–357. [Google Scholar] [CrossRef]
  18. Chu, D.C. Polyphase codes with good periodic correlation properties. IEEE Trans. Inf. Theory 1972, 18, 531–532. [Google Scholar] [CrossRef]
  19. Na, Z.; Zhang, M.; Xiong, M.; Xia, J.; Liu, X.; Lu, W. Pseudo-noise sequence based synchronization for generalized frequency division multiplexing in 5G communication system. IEEE Access 2018, 6, 14812–14819. [Google Scholar] [CrossRef]
  20. Wang, Y.-Y.; Yang, S.-J.; Lin, T.-C. Efficient carrier frequency offset estimation algorithm for generalized frequency division multiplexing systems. Signal Process. 2020, 172, 107540. [Google Scholar] [CrossRef]
  21. Wang, Y.-Y.; Yang, S.-J. Estimation of carrier frequency offset and channel state information of generalize frequency division multiplexing systems by using a Zadoff-Chu sequence. J. Frankl. Inst.-Eng. Appl. Math. 2022, 359, 637–652. [Google Scholar] [CrossRef]
  22. Wang, Y.-Y.; Chen, B.-R.; Hsu, C.-H. Efficient Maximum Likelihood Algorithm for Estimating Carrier Frequency Offset of Generalized Frequency Division Multiplexing Systems. Mathematics 2023, 11, 3426. [Google Scholar] [CrossRef]
  23. Schmidt, R.O. Multiple Emitter Location and Signal Parameter Estimation. Ph.D. Thesis, Stanford University, Stanford, CA, USA, 1981. [Google Scholar]
  24. Rao, B.D.; Hari, K.V.S. Performance analysis of root-music. IEEE Trans. Acoust. Speech Signal Process. 1989, 37, 1939–1949. [Google Scholar] [CrossRef]
  25. Xu, G.; Kailath, T. Fast subspace decomposition. IEEE Trans. Signal Process. 1994, 42, 539–551. [Google Scholar]
  26. Rice, T.A.; Jamieson, L.H. A highly parallel algorithm for root extraction. IEEE Trans. Comput. 1989, 38, 443–449. [Google Scholar] [CrossRef]
  27. Xia, X. A family of pulse-shaping filters with isi-free matched and unmatched filter properties. IEEE Trans. Commun. 1997, 45, 1157–1158. [Google Scholar] [CrossRef]
  28. Tse, D.; Viswanath, P. Fundamentals of Wireless Communication; Cambridge University Press: Cambridge, UK, 2005. [Google Scholar]
Figure 1. Block diagram of the GFDM system and the proposed frequency synchronization algorithm.
Figure 1. Block diagram of the GFDM system and the proposed frequency synchronization algorithm.
Mathematics 12 02568 g001
Figure 2. Comparisons of the MSEs of the FB estimates.
Figure 2. Comparisons of the MSEs of the FB estimates.
Mathematics 12 02568 g002
Figure 3. Comparisons of the MSEs of the proposed algorithm with a fixed N = 256 and various combinations of M and K.
Figure 3. Comparisons of the MSEs of the proposed algorithm with a fixed N = 256 and various combinations of M and K.
Mathematics 12 02568 g003
Figure 4. Comparisons of the FB acquisition regions when SNR = 20 dB.
Figure 4. Comparisons of the FB acquisition regions when SNR = 20 dB.
Mathematics 12 02568 g004
Figure 5. Computational complexities of different algorithms.
Figure 5. Computational complexities of different algorithms.
Mathematics 12 02568 g005
Figure 6. Pseudospectrum of the proposed algorithm under M = 4, K = 64 and SNR = 10 dB.
Figure 6. Pseudospectrum of the proposed algorithm under M = 4, K = 64 and SNR = 10 dB.
Mathematics 12 02568 g006
Figure 7. MSEs of the proposed algorithm under M = 4, K = 64 and | S n | = β K .
Figure 7. MSEs of the proposed algorithm under M = 4, K = 64 and | S n | = β K .
Mathematics 12 02568 g007
Table 1. The proposed algorithm.
Table 1. The proposed algorithm.
Step 1:Generate the GFDM signal comprising repeated sub-symbols via (13).
Step 2:In the time domain, use (22)–(28) to estimate the FFB through the root-MUSIC algorithm.
Step 3:Use (29) and (30) to realize FFB compensation and sub-symbol combining.
Step 4:In the frequency domain, use (36)–(38) to find the IFB estimate.
Step 5:Perform data decoding through (40).
Table 2. Computational complexity of different FB estimation methods applied to a GFGM system with K subcarriers, M sub-symbols and N = KM time samples.
Table 2. Computational complexity of different FB estimation methods applied to a GFGM system with K subcarriers, M sub-symbols and N = KM time samples.
AlgorithmsComputational Complexity (Flops)
The proposed algorithm 12 M 3 + 4 M 2 2 M + K log K .
The LS algorithm [16] ( N K ) + ( 2 K 1 ) ( log ( 2 K 1 ) ) 2
The ZCML algorithm [17] L N ( N 2 + 10 ( 4 ( L 1 ) + 3 ) + 21 q )
The ZCPR algorithm [21] 11 6 N 3 + 4 3 N 2 + L 2 N
The VCML algorithm [22] ( N K ) + K | S VC | + K log K
Disclaimer/Publisher’s Note: The statements, opinions and data contained in all publications are solely those of the individual author(s) and contributor(s) and not of MDPI and/or the editor(s). MDPI and/or the editor(s) disclaim responsibility for any injury to people or property resulting from any ideas, methods, instructions or products referred to in the content.

Share and Cite

MDPI and ACS Style

Wang, Y.-Y.; Yang, S.-J. A Subspace-Based Frequency Synchronization Algorithm for Multicarrier Communication Systems. Mathematics 2024, 12, 2568. https://doi.org/10.3390/math12162568

AMA Style

Wang Y-Y, Yang S-J. A Subspace-Based Frequency Synchronization Algorithm for Multicarrier Communication Systems. Mathematics. 2024; 12(16):2568. https://doi.org/10.3390/math12162568

Chicago/Turabian Style

Wang, Yung-Yi, and Shih-Jen Yang. 2024. "A Subspace-Based Frequency Synchronization Algorithm for Multicarrier Communication Systems" Mathematics 12, no. 16: 2568. https://doi.org/10.3390/math12162568

APA Style

Wang, Y.-Y., & Yang, S.-J. (2024). A Subspace-Based Frequency Synchronization Algorithm for Multicarrier Communication Systems. Mathematics, 12(16), 2568. https://doi.org/10.3390/math12162568

Note that from the first issue of 2016, this journal uses article numbers instead of page numbers. See further details here.

Article Metrics

Back to TopTop