1. Introduction
In recent decades, the field of artificial intelligence has undergone a significant transformation. After experiencing a period of stagnation known as the “AI winter”, characterized by a sharp decline in both funding and interest from the business sector due to the limitations of AI at that time, this field has become an essential and indispensable tool in everyday life and across various industries.
Among the different branches of AI, machine learning has emerged as an ideal technology for extracting information from collected data. This technology has the capability to provide predictions and discern complex patterns, leading to the development of intelligent systems. These systems are crucial in various manufacturing and logistic tasks, such as predictive maintenance, quality improvement, supply chain management, task scheduling, and process optimization, among others [
1].
The wind energy research industry has primarily focused on the operational phase of wind turbines, spanning from the initiation of electricity generation to the end of their lifespan [
2]. However, additional critical stages, such as the construction of wind turbine towers, stand to significantly benefit from the application of machine learning techniques. Strategically integrating machine learning at this stage would enable the prediction of the total flow or completion time, from component arrival to project completion. This application has been considered strategic in this and other industries since process and lead times are key factors in providing reliable schedules and assessing overall manufacturing process efficiency.
Furthermore, some researchers have begun to focus on estimating the lead time of individual processes, which involves the precise identification of the duration of each phase within the manufacturing process. This is crucial as, by decomposing and thoroughly analyzing each production phase, congestion points and areas for improvement can be identified. Integrating machine learning techniques at this stage allows for the accurate prediction of the execution time for each process and optimizes resource allocation, improving coordination between production stages and avoiding delays. Furthermore, machine learning could be employed to estimate production costs, thereby eliminating the limitations of current techniques such as direct formulation or linear programming. While these traditional methods are commonly used, direct formulation often fails to realistically reflect process times or costs, and linear programming may struggle to adapt in dynamic production environments.
Deep learning has experienced exponential growth in recent years, particularly in processing unstructured data such as text and images. In natural language processing (NLP), recurrent architectures have been fundamental for developing machine translation applications, enhancing the machines’ ability to understand and generate text [
3]. Similarly, in the field of computer vision, convolutional neural networks have revolutionized image analysis and recognition, being applied in tasks such as image classification [
4]. However, recent years have seen significant efforts to advance the development of neural networks for structured data, such as database tables. Models such as TabNet and NODE have emerged as promising alternatives for handling tabular data, offering competitive performance alongside good interpretability [
5,
6]. Therefore, in this paper, we aim to test two deep neural network algorithms for tabular data, specifically TabNet and NODE, and evaluate their suitability for use in an industrial process.
The main objective of this paper is to research, design, develop, implement, and evaluate machine learning and deep learning algorithms on tabular data to estimate the lead time of each phase in the context of wind turbine tower manufacturing. This improved information will enable two important aspects of the factories to be optimized: (a) efficient process scheduling and resource allocation, and (b) accurate production cost estimation.
During the development of this study, an exhaustive process was undertaken to implement machine learning algorithms in the context of wind turbine tower manufacturing. Special emphasis was placed on the process of data identification to ensure the relevance and accuracy of the data used. Data were collected from 11 January to 22 December 2022 at wind turbine tower construction facilities located in Spain and Brazil, and are described in more detail in
Section 3. The dataset resulting from the research process comprises 231,678 observations collected from both factories. For each analyzed operation, specific machine learning algorithms were trained using relevant subsets of the dataset. These data underwent rigorous preprocessing, which included error correction, handling of missing values, and the selection of the most relevant features for each operation in collaboration with the engineering departments of the plants.
The innovations and contributions of this paper are as follows:
Design and development of a system employing various machine learning algorithms to predict processing times in the context of the efficient scheduling of different processes and resource allocation. Additionally, this system can be used for accurate production cost estimation.
Evaluation of tabular neural network algorithms to determine their usefulness in an industrial context.
Analysis and comparison of various evaluation metrics relevant to regression problems within this context. The aim is to enhance understanding and identify the most suitable metric for effectively comparing the performance of the proposed models.
Incorporation of a feature into the system that allows for retraining models as they degrade over time, using new records to keep them updated.
Validation of the proposed methodology through the use of various datasets obtained from two wind turbine tower construction factories located in Spain and Brazil.
Our study aims not only to address the specific challenges of wind turbine tower manufacturing but also to lay the groundwork for future research and applications in the field of machine learning applied to industry. By developing and evaluating algorithms to optimize resource allocation and cost estimation in this particular context, we hope to improve the efficiency of wind turbine tower production and inspire new research at the intersection of AI and the energy industry. This work could serve as a starting point for the development of broader and more customized solutions in other areas of industrial production, paving the way for smarter, more efficient, and sustainable manufacturing.
The rest of this article is structured as follows.
Section 2 provides the context for the construction of wind turbine towers, outlines the relevant processes, and discusses the use of machine learning in wind energy and wind tower manufacturing.
Section 3 details the proposed methodology used in this study.
Section 4 presents the results derived from analyzing various datasets and the implementation of the system.
Section 5 provides a summary and discussion of the analysis results. Finally,
Section 6 discusses the conclusions of this work and suggests directions for future research.
2. Machine Learning in Wind Energy and Wind Tower Manufacturing
The construction of a wind turbine is divided into a number of independent manufacturing processes, which, when properly assembled, result in an operational wind turbine. Among the various components of a wind turbine, the tower stands out as one of the most critical elements in the construction of the turbine. It needs to be tall enough to capture strong and stable winds, as well as robust enough to withstand the forces of the wind and the vibrations generated by the rotor. In addition, towers can be difficult to transport and represent a significant proportion of the manufacturing cost of a wind turbine. To provide context for this study, the manufacturing process of a wind tower will be broken down.
The manufacturing process for these structures is complex and demanding, involving the handling of large products and numerous manual operations. The first step in manufacturing a wind turbine tower is to select the appropriate materials, with steel or concrete plates being the primary raw materials due to their strength and durability. These plates are then cut to the tower design specifications, and their edges are prepared for welding through a process known as beveling. The plates are then bent to form rings, referred to in this document as ’cans’, and longitudinal welds are made at their ends.
Once several cans have been produced, they are joined together by circular welding to form a tower section. Towers are manufactured in sections for ease of transportation, as it would be impractical to transport a complete tower. In addition, flanges are added to both ends of each section to facilitate assembly. The assembled sections then undergo quality testing and surface treatments, such as painting or corrosion protection, to ensure longevity and prepare internal components and doors. Finally, the tower sections are transported to the installation site where they are mounted and assembled to complete the tower.
Sainz detailed the different stages of the process and pointed out several automation technologies that could increase the production capacity of the industry [
7]. In a wind turbine manufacturing facility, each process is divided into a specific number of tasks and operations, which depend on several variables, contingent upon various influencing factors. These operations and variables were subjected to a rigorous analysis in order to identify which of these variables are significant in determining the operation lead time. The following bullet points delve into the diverse processes scrutinized within this study, with the delineation of variable selection deferred to
Section 3.
Plate Cutting: The plate-cutting process involves cutting raw steel plates to produce sheets with the perimeter and length required to form the cylinders. This operation can be carried out in various ways, depending on the thickness of the steel, using techniques such as plasma cutting or oxy-fuel cutting.
Plate Beveling: The plate-beveling operation consists of cutting the edges of a steel plate at an angle other than 90 degrees to obtain a stronger and higher quality weld joint. This process is performed on the edges of the previously cut plate, which is then joined by welding to form the cylinder.
Plate Bending: The plate-bending process involves shaping the steel plates, previously cut and beveled, into a cylindrical form to create the cylinders that constitute the tower section. This is done using bending machines or roller presses, which exert pressure to shape the plate as desired.
Longitudinal Welding: In the longitudinal welding operation, the ends of the steel plate, previously cut, beveled, and bent, are joined by welding to transform the plate into a ring. This process results in the formation of a cylinder.
Rebending: In certain circumstances, a cylinder stored for a prolonged period can become deformed due to its own weight. For this reason, before being sent to other areas, it is necessary to restore it to its original ring shape. The rebending process refers to correcting the deformations that may have occurred during storage or due to defects in the bending process.
Fit-Up and Circular Welding: The fit-up process involves joining different cylindrical cylinders to construct a complete section of the tower through the circular welding process. Additionally, at this stage, flanges are installed at both ends of the segment to facilitate the joining of sections during the assembly phase.
The majority of the scientific literature applying machine learning to the wind energy sector focuses on the operational phase of a project when wind turbines are in full energy production [
8]. Three main lines of research stand out in this area.
Firstly, the field of prediction and data analysis has seen significant interest in forecasting the electrical output of wind turbines using various types of data, such as historical records [
9] or wind speeds [
10,
11,
12,
13,
14,
15]. Methods such as decision trees, random forests, gradient boosting, and multilayer perceptrons (MLPs) have been employed to understand the complex relationship between wind conditions and energy production in wind farms [
16]. Additionally, MLPs have been used to predict wind speeds on an hourly basis [
17].
Deep learning techniques have also been applied in this area. Researchers have used convolutional neural networks (CNNs) to detect objects, thereby identifying locations for offshore wind energy infrastructure [
18]. Another study employed CNNs and support vector machines (SVMs) to create a bird identification system designed for offshore wind farms [
19,
20]. Furthermore, reinforcement learning has been explored to develop a hybrid route-planning method for navigation in areas with offshore wind farms [
21].
In the area of optimization and control, research has utilized deep reinforcement learning to develop a wind farm control scheme aimed at optimizing energy generation under various wind conditions [
22]. Another study used graph-based neural networks to connect wind turbines based on their geographical location, aiming to optimize turbine layout and improve energy production [
23]. Additionally, a multi-objective predictive control strategy for floating wind turbines using recurrent neural networks has been proposed [
24].
Lastly, in the area of maintenance and health monitoring, researchers have applied self-organizing maps and multilayer perceptrons to efficiently plan and execute maintenance and repair tasks [
25]. Others have focused on the visual inspection of wind turbines using R-CNNs, enhancing early problem detection and optimizing maintenance procedures. Moreover, a fault detection and diagnosis system for the pitch control system of wind turbine blades has been developed using a hybrid approach with a Kalman filter and multilayer perceptron [
26].
The literature addressing the operational aspects of wind turbine manufacturing, particularly focusing on fundamental operations and activities, remains rather limited. One study explored the variability in delivery times associated with the bending process in wind turbine tower manufacturing, utilizing machine learning techniques. The objective was to comprehend the impact of various factors on these times, thereby enhancing plant planning and control [
2]. An important aspect of the aforementioned study was the inclusion of operator-related variables. Another research paper proposed a machine learning-based system employing regression models to forecast lead times in sequential manufacturing processes. The efficacy of the system was validated on a wind turbine tower manufacturer, demonstrating improved predictive accuracy, particularly in longitudinal welding operations [
27]. The study incorporated the field of knowledge of how variables in upstream processes can influence downstream processes. Existing studies have concentrated on the prediction of one or two specific processes. However, no research has provided a comprehensive prediction of all stages of wind tower production.
3. Proposed Methodology
The methodology behind this study involves developing a system that employs machine learning algorithms to predict processing times in the context of production control and the estimation of production costs. For this purpose, a methodology divided into the following stages has been designed: acquisition and exploration of data, data preprocessing, training and evaluation of algorithms, and generation of time information.
3.1. Acquisition and Exploration of Data
In industrial environments, a significant portion of data originates from both the company’s Enterprise Resource Planner (ERP) and the Manufacturing Execution System (MES). Additionally, it is supplemented with insights gleaned from interviews with operators, who provide valuable perspectives on relevant variables and potential shortcomings in data collection.
The collected data are stored on various internal company storage systems, including an internal cloud storage platform. This private cloud infrastructure offers advantages in terms of scalability, accessibility, and data security while maintaining full control over the data within the company’s own computing environment. The use of internal cloud storage is especially beneficial in this research due to the large volume of data collected from multiple factories, which facilitates access to data from different locations and collaboration between team members. A wide range of information is thus obtained, covering project-specific technical data such as part dimensions, material consumption, and production times calculated using formulas. In addition, operating hours are recorded in the ERP system, providing a detailed overview of plant activity.
Information regarding recorded delivery times and machine usage is input by plant workers at the end of each operation. Hence, it is essential to consider that data quality may vary due to human error or the presence of missing values. These errors can impact the accuracy of subsequent analyses and must be addressed through data cleaning and validation techniques.
For this research, data were collected throughout the year 2022 from wind tower construction factories located in Spain and Brazil. In the Spanish factory, a total of 20,938 temporal entries were recorded in the system, while the Brazilian counterpart accumulated 210,740 temporal records. This extensive dataset provides a robust foundation for analysis and the identification of areas for improvement in manufacturing processes.
Due to the variety of sources providing data and the necessity to create a dataset for each operation and each factory, it was essential to implement a procedure that enabled the efficient integration of all information within each operation we aim to analyze, in addition to performing an exploratory analysis of the data. This process is illustrated in
Figure 1.
Table 1 compares the sizes of datasets for each operation across different factories.
One of the challenges identified in carrying out this task was the manner in which the data are recorded by the ERP system. The recorded operations provide information on the start and end of activities input by the operators. This means that to complete a single operation, multiple entries may have been logged in the ERP. These multiple entries can be due to the process being performed at different times or even by different individuals. Despite these challenges, effective solutions were successfully implemented.
Each dataset contains numerous columns. Below, we present the columns that are common across all datasets:
Start Date: The date when the process began.
Start Time: The time when the process began.
End Date: The date when the process ended.
End Time: The time when the process ended.
Area: The area where the process was being carried out.
Center: The factory where the process was carried out.
Project: The identification of the project to which it belonged.
Can: The can of a section to which it belonged. (This was only available if it was an operation where a record is a can; for example, in circular welding, where we work with sections, this did not exist).
Section: The section of the tower to which it belonged.
Tower: The tower to which this record belonged.
Employee Name: The name of the employee(s) assigned to perform a process.
Workstation: The identifier of the workstation where the process was performed.
Reported Operation Time: The time recorded for the completion of an operation.
Downtime: The time during which the process was halted.
Deviation Reason: The description of the reason why an activity was not performed as planned.
Plate Properties: The main characteristics of a plate, such as its thickness and length, among others.
Machine: The machine used in this process.
Additionally, each process had different attributes that were added, such as the types of bevels used in the beveling process.
After collecting the data, an initial exploration was carried out to identify patterns, trends, and possible outliers in each operation. This exploratory analysis relied on a variety of statistical methods and visualization tools to examine the data distribution, as well as to identify possible relationships between variables and detect significant patterns.
It is important to highlight that much of the information about waiting times and machinery usage is entered by workers during operation, which can result in errors. Additionally, it should be considered that the workflow may vary significantly between the two countries.
In summarizing the analyses conducted, it was observed that most of the numerical attributes in each of the processes show an asymmetric distribution, both positive and negative, suggesting a deviation from the normal distribution. Additionally, no significant linear relationship was identified between these attributes and the total execution time.
Anomalies are patterns in data that deviate from normal instances. Detecting these anomalies is of utmost importance, as they can identify issues or failures in data collection or quality. Moreover, this contributes to maintaining data integrity and improving efficiency and performance in general. One widely used technique for anomaly detection is the isolation forest algorithm [
28]. This algorithm is based on the premise that anomalous instances are easier to isolate than normal instances.
The algorithm works by constructing multiple isolation trees, also known as iTrees. An iTree is a special type of binary decision tree that, instead of classifying or predicting values, aims to isolate all data observations in individual leaves for subsequent analysis of which attributes are anomalous.
The procedure for building these trees involves the selection of an attribute and a cutoff value within the range of that feature. Significantly, the cutoff value is not predetermined but rather randomly selected within the feature’s range. This inherent randomness constitutes a crucial aspect of the unsupervised nature of the isolation forest algorithm, thereby enabling its efficacy in effectively isolating anomalies. The dataset is then divided based on that feature and cutoff value. This process is repeated recursively until a stopping condition is met. As shown in
Figure 2, anomalous observations tend to be located in the shallower branches of the tree, while normal observations require more divisions, placing them in deeper branches.
To increase the detection capability, an ensemble of isolation trees is constructed to assign anomaly scores to the observations, where the lowest scores indicate a higher probability of being anomalies.
The isolation forest algorithm was employed to detect potential anomalies in the operation times of the various processes in the factory. It was found that approximately 15–20% of the recorded times for each operation were considered outliers. Addressing these anomalous data points may improve the overall efficiency, productivity, and quality of the products being produced.
3.2. Data Preprocessing
To enhance the quality of information and facilitate the development of predictive models, an exhaustive process of data cleaning and transformation was carried out. This process included error correction in texts, imputation of missing values, and normalization of attributes. Additionally, feature engineering techniques were applied to optimize predictive quality, removing irrelevant attributes and adding new attributes based on knowledge provided by the company’s engineering department. In
Figure 3, the flow of how a process is cleaned can be observed.
3.2.1. Data Cleaning
The data cleaning process aims to enhance data quality through various techniques, including the removal of duplicate rows and the treatment of missing values.
Although no duplicate rows were identified in the datasets, missing values were detected due to data shortages in the projects or difficulties in reading the information. To address these missing values, the option to delete instances with missing values was dismissed due to the small size of the datasets. Instead, imputation was selected, utilizing the mean for numerical attributes and the mode for categorical variables.
3.2.2. Data Transformation
Although datasets may include categorical variables, most machine learning algorithms and libraries are tailored to handle numerical data. Consequently, it is imperative to transform these columns to ensure precise data interpretation. Additionally, certain models, such as neural networks, can be highly sensitive to data scale, necessitating adjustments to these features for an optimal representation [
29].
Data scaling is a fundamental procedure used to standardize variables to a common scale. Its aim is to eliminate disparities in variable magnitudes and ensure optimal performance in machine learning models and algorithms. Various data scaling methods are employed, including standardization and normalization.
Standardization involves adjusting the data such that the mean of the observed values is equal to 0 and its standard deviation is equal to 1. This is achieved through the following formula:
Normalization adjusts the data distribution to fit within a range between 0 and 1. There are several normalization methods, but one of the most renowned is min-max normalization. The formula for this method is as follows:
Here, X represents the current value, is the minimum value, and is the maximum value in the dataset.
It is crucial to note that, besides normalization and standardization, there exist various scaling methods, such as robust scaling. The choice of an appropriate method largely depends on the nature of the dataset and the specific problem being addressed. In this study, normalization was chosen due to its ability to adjust all data within a range of 0 to 1. This technique enabled us to mitigate disparities in the magnitudes of dataset features, thereby facilitating a more equitable comparison among them.
Furthermore, it is essential to consider that algorithms such as support vector machines (SVMs) and neural networks are extremely sensitive to the scale of data. Normalization ensures a uniform scale that is vital for these models, significantly improving their performance and stability.
In addition to data scaling, the encoding of categorical variables is crucial for machine learning applications. Categorical variables are attributes that represent different categories, such as the color of a painting or the type of animal. To utilize these variables in machine learning models, it is necessary to convert them into numerical formats understandable by algorithms. Two common techniques for this conversion are ordinal encoding and one-hot encoding.
Ordinal encoding assigns a numerical value to each category based on a specific order, while one-hot encoding creates a new column for each category, assigning a 1 if the observation belongs to that category and a 0 otherwise.
In our study, we evaluated several encoding techniques and found that one-hot encoding was most suitable for our purposes. This technique has demonstrated robust performance in most cases, despite the resulting increase in dimensionality.
3.2.3. Feature Selection
Feature selection involves identifying the most relevant and representative variables within a dataset to enhance data precision and efficiency. It is a key process in data preprocessing aimed at reducing data dimensionality by eliminating uninformative or noisy features. It is categorized into two main types: unsupervised methods, which identify relevant features based on data structure and distribution, and supervised methods, which utilize label or target value information for feature selection. In our practical case, we employed unsupervised methods to eliminate redundant features and collaborated with the engineering department to enhance predictive quality for specific operations.
Table 2 presents the most relevant features considered for each operation under study.
In this context, the selection of attributes was determined by cost estimation. However, when developing models for scheduling purposes, it may be necessary to include additional attributes, such as the workers assigned to a specific process or other relevant resources.
3.3. Training and Evaluation of Algorithms
Once the data were prepared for implementation, the next step was to select the optimal model for each of the relevant operations in this study. Therefore, in the following sections, we discuss the training and evaluation processes for each of these relevant operations.
3.3.1. Machine Learning Algorithms Employed
The
No-Free-Lunch theorem highlights the absence of a universal optimal solution for all problems [
30]. In the field of machine learning, this premise implies the need to explore and evaluate a variety of models and approaches to find the most suitable solution within a specific business context. Since each problem presents unique characteristics and particular challenges, it is crucial to conduct a comprehensive evaluation of various models using relevant datasets.
In our study, we employed a variety of machine learning algorithms to address the resolution of our problems. These algorithms can be broadly classified into tree-based methods, regularized linear regression methods, support vector regression methods, models based on gradient boosting, and the multilayer perceptron.
Tree-based methods, such as decision trees (DTs) and random forests (RFs), are popular due to their simplicity and interpretability.
A DT is a graphical representation model used for decision-making in regression and classification problems, structured as a tree with decision and response nodes. The decision nodes pose questions about attributes and divide the data into branches, while the response nodes provide the final decision. The CART algorithm, one of the most employed methods, constructs binary trees based on the reduction of metrics such as the MSE, which measures the average of the squared errors between predictions and actual values. The process continues recursively until stopping criteria are met, producing a decision tree that predicts continuous values with greater accuracy and can be used on new data samples [
31].
RF is a machine learning ensemble method that combines multiple DTs to improve accuracy and reduce overfitting in classification and regression problems. Each tree is built using different data samples and randomly selected features, introducing diversity among the trees. The final prediction is obtained by averaging the individual predictions of the trees in the case of a regression problem [
32]. This combination of predictions improves the model’s generalization capacity and makes it more robust and accurate. Additionally, random forest is known for its ease of use and its ability to provide feature importance measures.
Regularized regression techniques are variants of linear regression that introduce additional penalties in a model’s objective function to reduce overfitting, thus improving the model’s generalization. LASSO employs a type of penalty that promotes model simplicity by forcing some coefficients to zero, facilitating the automatic selection of relevant variables and reducing dimensionality [
33]. In contrast, RIDGE employs a penalty that reduces the coefficients of less important variables without eliminating them [
34], which is useful when all variables are desired in the model but with lesser influence. The advantage of RIDGE over LASSO is that it is differentiable at all points, allowing this regularization technique to be used in neural networks. ENET combines both penalties, offering a balance between LASSO’s variable selection and RIDGE’s handling of correlated variables [
35].
SVR is an adaptation of support vector machines (SVMs) that addresses regression problems. Instead of seeking a hyperplane that separates classes, as in the case of SVMs, the objective of this model is to find a function that fits the data as best as possible, considering a tolerable margin of error. This function, known as the decision function, is determined by identifying the support vectors, which are the data instances closest to the error margin limit. SVR is particularly useful when dealing with noisy or nonlinear datasets, as it allows the selection of different kernel functions, such as linear, polynomial, or Gaussian, to adapt to the data complexity and improve prediction accuracy.
Models based on gradient boosting are machine learning algorithms that employ an iterative approach to improve prediction accuracy. These models start with a simple regression model, such as a decision tree, and then build new models to predict and minimize the residual errors generated by previous models. Each new model focuses on correcting the errors made by previous models, which allows predictions to be gradually improved as more models are added. In the final model, each of the models contributes to the final prediction, and a weight is assigned to each one according to its relative contribution to improve overall accuracy [
36].
Following the initial creation of GB, several significant improvements were developed in machine learning algorithms. A notable example is XGBoost, an enhanced and optimized version by Tianqi Chen. This model employs decision trees as weak classifiers and focuses on minimizing residual errors in each iteration [
37]. XGBoost has won numerous competitions in Kaggle and has become an essential tool in various industries due to its ability to improve the model’s generalization and avoid overfitting problems, especially in small or noisy training datasets.
On the other hand, LightGBM (LGBM), developed by Microsoft Research, is an algorithm based on gradient boosting decision trees (GBDTs) that is designed to reduce memory usage and accelerate the conventional GBDT training process by more than 20 times while maintaining almost equal accuracy. LightGBM employs a histogram-based algorithm to group continuous features into discrete containers, thus facilitating the evaluation of information gain. Additionally, it uses advanced techniques such as Gradient-based One-Side Sampling (GOSS) and Exclusive Feature Bundling (EFB) to accelerate calculations and improve model accuracy [
38].
The multilayer perceptron (MLP) is a type of artificial neural network with a feedforward structure, where information flows from the input layer to the output layer through one or more intermediate hidden layers. Each layer is composed of interconnected neurons with associated weights that are adjusted during training to minimize error. MLPs employ nonlinear activation functions in the neurons of the hidden and output layers, allowing them to model complex relationships between input and output variables and learn nonlinear patterns in the data. In the context of a regression problem, the output layer has a single neuron with a linear activation function, and the network is trained to predict a continuous numeric value.
3.3.2. Deep Tabular Learning
In addition to traditional machine learning models, two deep neural network architectures for tabular data are employed. The aim is to evaluate their performance in an industrial environment and compare them with conventional methods.
TabNet is a deep neural network architecture designed to provide a high-performance and explainable model from tabular data. It accepts raw tabular data without the need for any preprocessing and does not require feature engineering, thanks to its sequential attention mechanism that selects relevant features at each decision step [
5].
The TabNet architecture is structured into N sequential steps, where inputs are transmitted from one to another. Each step begins with a transformation through an attention block that uses a sparse matrix to perform feature selection, followed by a feature selection mask as a regulatory mechanism. After applying the attention transformer, the feature importances are added to those of other steps to obtain the final feature importances. Finally, a feature transformer is used before restarting the cycle.
NODE is an architecture that combines the interpretability of decision trees with the learning capability of neural networks. It uses layers of decision trees called ODTs (Oblivious Decision Trees), where each tree contributes independent decisions that are combined to form the model’s final output. ODTs are less prone to overfitting and more efficient in inference than traditional trees, as all decisions are made in parallel at each depth level. NODE uses an alpha-entmax function for feature and branch selection, allowing it to capture complex interactions in tabular data through dispersed distributions controlled by a hyperparameter alpha. This architecture can be implemented as a set of independent trees or in a multi-layer structure, similar to DenseNet in CNNs, enabling the capture of complex dependencies between layers [
6].
3.3.3. Performance Evaluation Criteria
Metrics play a fundamental role in the field of machine learning, as they enable us to evaluate and quantify the quality and performance of predictive models. These measures provide us with information on how effectively the model adapts to both training data and previously unseen data [
39]. However, choosing an inappropriate metric can result in a flawed model evaluation.
An illustrative example would be the use of the accuracy metric in a regression problem. This metric measures the number of correct assessments made by a model in relation to the total number of predictions made, making it a commonly used metric in classification problems. However, in the context of this research, which focuses on solving regression problems, the goal is to predict continuous values rather than assign classes or categories. Therefore, calculating accuracy in this situation would be meaningless, as it is not a binary or multiclass classification task.
To evaluate the effectiveness of predictive models, different metrics are used, including the maximum error, mean absolute error (
), root mean square error (
), mean absolute percentage error (
), adjusted coefficient of determination (
adjusted), and training execution time.
where
represents the actual values,
represents the model predictions,
n denotes the number of observations,
p denotes the number of predictors,
represents the mean of the actual values, and
is the coefficient of determination.
However, the was selected as the primary decision criterion for the following reasons:
Clarity: The , through the squaring of individual errors, eliminates the influence of their sign, providing an absolute measure of error performance. By standardizing errors on a consistent scale, it simplifies their interpretation, enhancing clarity in the assessment process.
Sensitivity to Large Errors: In contrast to the MAE, which treats all errors equally, the assigns higher weight to large errors owing to its quadratic nature. Consequently, the is more adept at capturing the impact of outliers, thus enhancing the robustness of the evaluation process.
Comparability: The enjoys widespread usage in regression problems, facilitating result comparison across studies and contributing to a more cohesive evaluation framework within the analysis domain. Its ubiquity not only ensures compatibility with the existing literature but also fosters a more comprehensive understanding of model performance in the broader research context.
3.3.4. Training
The training and initial evaluation of the models were conducted without adjusting any hyperparameters, aiming to use them as baseline models for subsequent comparison with those where hyperparameter tuning is performed. In order to impartially assess the initial performance of these models and avoid overfitting, the hold-out technique was applied. This technique involves dividing the dataset into two parts: a training set and a test set. The training set, comprising 80% of the dataset, was utilized for model fitting, while the remaining 20% was reserved for performance evaluation.
Once the baseline models were obtained, the process of finding the model that best fits the data in each relevant factory operation was carried out. To achieve this goal, grid search was initially chosen for exhaustive exploration of the hyperparameters. However, it was found that some models, such as XGBoost or LightGBM, had a considerably wide search space in which to perform an exhaustive search. Faced with this scenario, the decision was made to tackle this challenge more efficiently by combining random search for hyperparameters with the K-fold cross-validation technique across all analyzed models.
Random search is an optimization technique where hyperparameter values are sampled randomly from a specified range or distribution. Unlike grid search, which exhaustively evaluates all possible combinations within a predefined grid, random search evaluates a fixed number of randomly chosen combinations, which often leads to better performance for large or complex search spaces. This method can be more efficient and effective when dealing with models that have many hyperparameters or where the search space is very large [
40].
K-fold cross-validation is a technique that allows for a more reliable evaluation of the model’s performance by dividing the dataset into multiple subsets or “folds”. In each iteration, one of these subsets is used as the test set, while the remaining subsets are used to train the model. This process is repeated until each subset has been used as the test set once. By combining random search with cross-validation, different combinations of hyperparameters are selected to train and evaluate the model on different data splits. This reduces bias and provides a more accurate estimation of performance on unseen data [
41].
It is important to note that each model adjusted the number of iterations in the random search of hyperparameters according to its unique characteristics. This decision is based on the inherent complexity of each algorithm and its sensitivity to various configurations. For example, simple models like linear regression require a smaller search space, while neural networks like MLP may need a more extensive exploration due to their larger number of hyperparameters. For details on the hyperparameters used for each algorithm, please refer to
Appendix A.
In each operation within the various areas analyzed in the factories, an approach for model selection based on prominent metrics was implemented, initially prioritizing the RMSE criterion. In situations where there is a tie in terms of the RMSE, other metrics are used as criteria to break the tie. Once the model that yields the best results is identified, it is stored for later use.
To visualize this stage, please refer to
Figure 4, and to understand how the random search algorithm works for a generic model, it is recommended to consult the pseudocode provided in Algorithm 1.
| Algorithm 1 Random search with K-fold cross-validation for regression models. Adapted from [40,41]. |
| Require: Training set ; |
| The regression model with hyperparameters set ; |
| Number of iterations N;
|
| Number of folds k for cross-validation.
|
| Ensure: The best set of hyperparameters and the best score .
|
| 1: Initialize |
| 2: Initialize |
| 3: for to N do |
| 4: Randomly select a set of hyperparameters from |
| 5: Initialize |
| 6: for each fold f in k-fold cross-validation do |
| 7: Split T into training set and validation set for fold f |
| 8: Train with hyperparameters on |
| 9: {Use a regression metric like RMSE}
|
| 10: Append to |
| 11: end for |
| 12: |
| 13: if then |
| 14: |
| 15: |
| 16: end if |
| 17: end for |
| 18: return , |
3.4. Generation of Time Information
Once the models have been evaluated and verified to fulfill their purpose, they can be integrated into a system with the objective of providing significant business value, specifically in calculating the lead times of each operation for scheduling or quotation purposes.
The system operates as follows: when the user submits a request, they must enter a series of inputs, including the type of problem they want to solve (scheduling or quotation), the type of operation to be performed (predictions or retraining), and the relevant dataset, among other inputs. With this information, the system identifies the type of problem to be addressed and determines whether it is necessary to execute a new process or utilize the models that were previously trained and stored during the training and evaluation phase.
It is important to note that although models based on tabular data generally offer good predictions, in systems where training needs to be swift, employing this type of model may not be efficient. This aspect is discussed in more detail in
Section 4.
The system performs the corresponding action, whether it is training or prediction, and displays a confirmation message to the user. The structure and functionality of the proposed system are illustrated in
Figure 5.
4. Experimental Results
This section discusses the results obtained using our proposed methodology for estimating lead times. Due to the significant differences between estimating lead times in the two types of problems, we decided to present the results obtained from predicting various operations in the problem of accurate production cost estimation. Each factory was studied independently to ensure the accuracy of our findings.
In addition, the hardware used for the various experiments is described, followed by the presentation of the results in the subsequent tables, which illustrate the outcomes of each process throughout its progression. This is complemented by an overview of the implementation of the developed system, including its prediction and retraining capabilities to address model degradation. The set of hyperparameters that yield optimal performance for the most effective models in each operation are detailed in
Appendix C.
4.1. Experimental Environment
In this paper, all the experimental codes are written in Python. The details of the environment on which the experiments depend, including the Python version, libraries, frameworks, hardware specifications, and operating system, are shown in
Table 3.
4.2. Cutting
The results in
Table 4 reveal the performance achieved by each model with the optimal configuration derived through a random hyperparameter search on the sheet-cutting dataset. Notably, in the Spanish factory, except for the MAPE, adjusted
, and training time, the NODE model demonstrated superior performance compared to other models. However, random forest (RF) also exhibited similar metrics regarding the RSE, with a significantly better training time. Conversely, in Brazil, the performance of the LightGBM model stood out, surpassing all other models, except for the training time, although it tied with XGBoost (XGB) in the RMSE.
Table A6 presents the model that best fits the data from the various factories in the sheet-cutting process.
4.3. Beveling
Table 5 shows the results of the hyperparameter optimization process conducted via random search. Negative values in the adjusted R-squared column for both factories indicate a poor fit of the model to the data, which could be attributed to data noise or a mismatch between the model and the data structure. In the Spanish factory, the XGB model achieved the best results across most metrics, except for the training time, where the LASSO model was the fastest. On the other hand, in the Brazilian factory, the NODE model stood out for its excellent performance, although its training time was significantly higher compared to other models. The other models achieved slightly less precise results but with much shorter training times. The models that best fit the data, along with their hyperparameters, are shown in
Table A7.
4.4. Bending
Table 6 summarizes the results of the hyperparameter evaluation. Negative adjusted R-squared values indicate poor model fit due to data noise or mismatch. In the Spanish facility, XGBoost (XGB) performed the best overall, except for the training time. Tabular neural network models also showed competitive performance but required longer training durations. Conversely, at the Brazilian factory, the tabular neural network model NODE demonstrated superior performance in the MAE, RMSE, and MAPE metrics, establishing it as the best model for this task.
Table A8 details the model that best fits the data from the factories in the bending process.
4.5. Longitudinal Welding
In
Table 7, the results are presented after performing a random search of the hyperparameters. During dataset testing with these models, issues arose when attempting to train the different neural networks designed for tabular data; hence, they do not appear in the results in this table. In the Seville factory, the LGBM model stood out as it achieved the best metrics, while in the Brazil factory, the XGB model performed the best, demonstrating that in both cases, for this problem, gradient boosting-based models yielded better results.
Table A9 presents the best model that fits the data from the different factories in the longitudinal welding process.
4.6. Rebending
Table 8 shows model evaluations post-hyperparameter tuning via random search. The negative adjusted
R2 values suggest poor data fit due to noise or model–data mismatch. In Seville, gradient boosting notably enhanced the MAE, RMSE, and MAPE metrics. Neural networks for tabular data exhibited longer training times but performed competitively. Conversely, in Brazil, NODE excelled in the MAE, RMSE, and MAPE metrics despite extended training periods. TabNet, however, yielded an MAPE over 100%, indicating substantial prediction discrepancies.
Table A10 lists the optimal factory-specific rebending process models.
4.7. Fit-Up
After evaluating models on the fit-up dataset, the Spanish factory showed notable performance differences (See
Table 9). XGBoost achieved the lowest MAE, while SVR excelled with the best RMSE and adjusted
. Despite TabNet’s superior MAPE, its overall effectiveness was hindered by prolonged training times. Conversely, in the Brazilian factory, challenges arose with neural networks due to data issues. RF exhibited the lowest MAE, SVR had the lowest MAPE, and XGBoost demonstrated the lowest RMSE, making it the preferred model. The lower adjusted
in Spain suggests potentially higher data quality in Brazil, influencing model performance and predictive accuracy.
4.8. Circular Welding
Table 10 presents the results obtained after adjusting the hyperparameters through a random search. Unlike other processes segmented into sections, this case deals with an entire tower section, resulting in significantly higher errors due to longer execution times. It is important to note that these datasets contain a limited number of examples, which complicates the training of tabular neural network models. Therefore, in this study, only traditional metrics have been used.
In the Seville factory, the LGBM model stood out in terms of the MAE, RMSE, and adjusted
metrics. The DT model performed well in the MAPE, while the RIDGE model had a reduced training time. Thus, the LGBM model emerged as the preferred option for the Seville factory. In contrast, in the Brazilian factory, the RF model excelled in most metrics, including the RMSE, making it the preferred option in this case.
Table A12 presents the best model that fits the data from the different factories in the circular welding process.
4.9. Implementation of the System
In this subsection, we discuss the implementation of a system designed to perform predictions and retrain models in response to degradation. This discussion is framed within the context of accurate production cost estimation. Additionally, the procedures for task scheduling and resource allocation are addressed, as they follow a similar methodology.
4.9.1. Prediction
Once the system is initialized, the user accesses the type of operation they wish to solve, opening an interface similar to that shown in
Figure 6. The process for performing predictions is as follows: the user selects the factory for which they wish to calculate lead times. Internally, the system identifies the necessary models for making predictions. Subsequently, the user adds rows corresponding to the components, along with the requisite attribute values for prediction. The columns may vary based on the factory and the nature of the problem. Upon clicking the
Calculate button, the system executes the predictions and outputs a tabular file, as illustrated in
Table 11.
4.9.2. Retraining
Once we understand how to perform predictions, we explore how to train new models adapted as they degrade over time.
Figure 7 illustrates the system layout for this functionality. Unlike the previous tab, all components are inputs because the new model is saved internally in the database, replacing the previous model. The process for retraining unfolds as follows: first, you must select the operation and factory for which you wish to modify the model.
In contrast to the previous setup, all these elements are inputs, as the output is stored directly on the server. This setup includes the specific operation and factory for which we aim to train the new model, alongside a read-only dataframe showcasing the essential columns for training a specific operation at the selected factory. Generating a model that predicts all datasets would increase problem complexity. Once these parameters are chosen, the dataframe updates with the necessary columns for model training, and it is time to load the data. Once confirmed, the training process can be initiated by pressing the Train button.
Attempting to train a model with an empty dataframe and confirming the operation generates an error, alerting the user to the need to add data for the new model. In the absence of errors, the training process commences, which is reflected in the event logs, where models are trained and adjusted automatically without user intervention. If the process proceeds smoothly, the model is replaced and ready to make predictions.
5. Discussion
The results of this study underscore the performance characteristics of various models, including traditional machine learning models and tabular neural network models, across numerous industrial operations in two distinct factories. The models are evaluated based on several performance metrics, such as mean absolute error (MAE), root mean square error (RMSE), mean absolute percentage error (MAPE), adjusted
, and model training time, which are visually represented as radial charts in
Appendix B to facilitate comparison.
The results summarized in
Table 12 indicate that there is no single model that is optimal for all situations within the set of operations evaluated in each factory. Instead, a limited variety of models show good performance in different contexts. In Spain, models based on gradient boosting, such as XGBoost and LightGBM, stand out for their effectiveness in solving the problem, followed by SVR. However, in Brazil, where some attributes differ, boosting-based models continue to perform well, although NODE achieves better results in some operations. These findings highlight the importance of selecting the most appropriate model for a given dataset based on its characteristics and the specific problem being addressed.
Upon analyzing the RMSE values, it was observed that several operations, such as bending and recoiling, exhibited low RMSE values, indicating a trend toward accuracy in predictions for these specific datasets. On the other hand, the circular welding operation displayed a significantly higher RMSE value compared to the other operations. This disparity could be related to both the dataset size and the long execution times associated with this operation. Therefore, there is a need to investigate and improve the effectiveness of models in this particular operation.
The results in
Section 4 indicate that while neural network models for tabular data can achieve performance comparable to traditional models, they require significantly longer training times. A notable example is the NODE model, which has proven to be the most effective in several tasks but also exhibits the longest training times. Additionally, occasional issues have been reported during its execution. These issues may be attributed to an inefficient memory implementation, which demands a considerable amount of GPU memory to converge [
6].
Despite potential advancements, traditional machine learning models are expected to maintain a significantly faster training speed compared to deep learning models for tabular data. Various studies support this claim, highlighting the effectiveness of tree-based models such as XGBoost (XGB) and random forest (RF) on medium-sized tabular datasets (approximately 10,000 samples). These studies have found that XGB consistently outperforms deep learning models like NODE and TabNet in terms of accuracy, training speed, and hyperparameter tuning, requiring substantially less adjustment and computational effort [
49,
50].
Therefore, for industrial applications, it may be more advantageous to employ traditional machine learning techniques, particularly gradient boosting algorithms such as XGB or LGBM. These models not only offer fast training speeds but also deliver strong performance, making them a preferred choice in many practical scenarios. The combination of their efficiency and effectiveness makes them valuable tools for handling tabular data in industrial environments.
In addition to considering model performance in terms of training speed, it is also crucial to select models that are explainable. Explainability in machine learning refers to the ability to understand and communicate how a model makes specific decisions or generates predictions, which is essential for ensuring transparency and accountability in the use of these models. For instance, in the context of this study, identifying the most relevant features that may influence a particular operation allows us to better understand the model’s decision-making process and enhance confidence in its predictions.
Machine learning models are commonly divided into two categories: white-box models and black-box models. Black-box models are those that are difficult to interpret due to their mathematical complexity, such as hyperplane-based models (SVM), models based on biological neural networks, probabilistic and combinatorial logic models, or instance-based models (such as k-nearest neighbors). In contrast, white-box or explainable models, such as decision trees and rule-based systems, are designed to provide clear explanations of how predictions are generated, offering a balance between accuracy and understanding without the need for additional models for interpretation [
51].
In this research, the model with the best overall performance, which in this case was LGBM, was chosen. This model provides complete transparency regarding how predictions are made, allowing for a greater understanding and explainability of the obtained results. To demonstrate the explainability of this model, the importance of various features in each model and for each operation was analyzed, excluding the rebending process due to its low frequency in the factory. The metric used for this analysis was gain, which measures the improvement in impurity reduction (such as mean squared error) resulting from including a feature in the model. A higher gain indicates that the feature is more important to the model, as it contributes more significantly to the accuracy of the predictions. Therefore, the results and analyses presented in this study focus on the most significant and frequent processes in the factory.
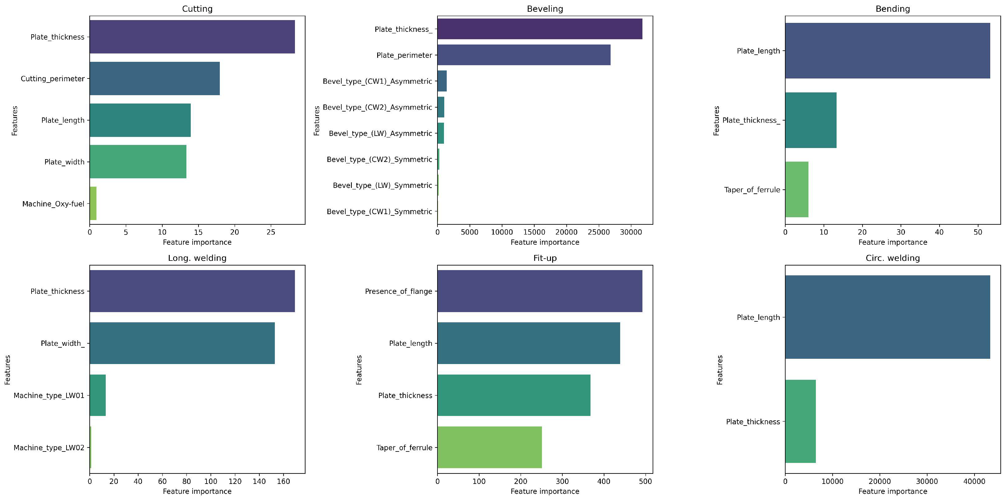
The obtained results are visualized in
Figure 8 and
Figure 9. In the Spanish industrial facility, it is evident that the inherent characteristics of the sheet metal are the most relevant, particularly the thickness and length of the sheet. It can be observed that the types of beveling or machine specifications generally have minimal or no importance. However, in the fit-up process, the presence of a flange shows significant relevance. On the other hand, in the Brazilian factory, it is observed that in most processes, the attribute that provides the greatest gain is the thickness of the sheet metal, followed by other related attributes. Similar to the Spanish factory, the types of beveling and other characteristics have very low or no importance.
6. Conclusions and Future Work
In this study, several machine learning and deep learning algorithms have been examined and evaluated with the purpose of estimating processing times in different operations of factories specialized in the construction of wind turbine towers. The results obtained indicate that the use of machine learning models, capable of analyzing large volumes of data and identifying underlying patterns among relevant variables, significantly improves the accuracy in predicting the total operation time.
Among the various algorithms evaluated, models based on gradient boosting, such as XGBoost and LightGBM, have demonstrated superior performance in addressing the problems outlined in this study. However, positive results were also obtained with models such as SVR and NODE. Regarding neural network algorithms for tabular data, such as NODE and TabNet, it is important to note that the training times of these models are significantly higher compared to more traditional machine learning techniques. Therefore, in production environments, it may be more beneficial to employ traditional algorithms that offer similar results but in much shorter timeframes.
In summary, this work makes significant contributions in the following aspects: It introduces an innovative method to estimate lead times in the wind tower manufacturing industry, optimizing process scheduling and resource allocation, as well as accurate production cost estimation. This work tests neural network models for tabular data in an industrial context and designs a system capable of applying these models in practice to estimate lead times based on the specific problem and factory. Additionally, the system includes the capability to retrain the models as they degrade over time. This opens the door to substantial improvements in operational decision making within this industrial field.
As future lines of research, it is proposed to extend the analysis carried out in this research to other factory operations. The aim is to obtain a more detailed understanding of the various processes that take place in order to develop specialized predictive models for each of them. This expansion will not only allow the identification of areas for improvement in different processes but will also facilitate the implementation of more effective and tailored solutions for each specific operation.
Additionally, the integration of Explainable Artificial Intelligence (XAI) techniques, such as LIME (Local Interpretable Model-agnostic Explanations) [
52] and SHAP (SHapley Additive exPlanations) [
53], will be studied to improve the transparency and interpretability of predictive black-box models. XAI will provide detailed information on the contribution of various factors to the predictions, allowing stakeholders to better understand the model’s decision-making process. This transparency is essential for building trust and facilitating the adoption of AI-based solutions in industrial environments, leading to more informed and safer decision making in manufacturing processes.
As a prospective line of research, it is suggested to refine the system by incorporating functionalities to automatically exclude models showing poor performance in various operations for future retraining phases. In addition, the gradual integration of new machine learning models could provide a wider and more optimal range of model options for the system.
Author Contributions
Conceptualization, A.E.-S.; methodology, A.E.-S. and K.-J.F.-H.; software, K.-J.F.-H.; validation, A.E.-S., K.-J.F.-H., M.-L.M.-D. and P.C.; formal analysis, A.E.-S., K.-J.F.-H., M.-L.M.-D. and P.C.; investigation, A.E.-S., K.-J.F.-H., M.-L.M.-D. and P.C.; resources, A.E.-S.; data curation, K.-J.F.-H. and M.-L.M.-D.; writing—original draft preparation, K.-J.F.-H.; writing—review and editing, A.E.-S. and K.-J.F.-H.; visualization, K.-J.F.-H.; supervision, A.E.-S. and P.C.; project administration, A.E.-S. and M.-L.M.-D.; funding acquisition, A.E.-S. All authors have read and agreed to the published version of the manuscript.
Funding
This research was co-funded by the Science and Innovation Ministry through the project TRACOMERD (TED2021-130198A-I00) and by the Ministry for Digital Transformation and Public Service, Agencia Red.es through the project INARI (2021/C005/00144319). The programs of these projects are cofounded by the Next-Generation Program and Recovery Plan Transformation and Resilience.
Data Availability Statement
Restrictions apply to the availability of these data. Data was obtained from third party and are available from the authors with the permission of third party.
Conflicts of Interest
The authors declare no conflicts of interest. The funders had no role in the design of the study; in the collection, analyses, or interpretation of data; in the writing of the manuscript, or in the decision to publish the results.
Abbreviations
The following abbreviations are used in this manuscript:
| AI | Artificial Intelligence |
| ML | Machine Learning |
| DL | Deep Learning |
| DTs | Decision Trees |
| RF | Random Forest |
| RIDGE | Ridge Regression |
| LASSO | Lasso Regression |
| ENET | Elastic Net |
| SVR | Support Vector Regression |
| GB | Gradient Boosting |
| XGB | eXtreme Gradient Boosting |
| LGBM | Light Gradient Boosting Machine |
| MLP | Multilayer Perceptron |
| NODE | Neural Oblivious Decision Ensembles |
| MSE | Mean Square Error |
| MAE | Mean Absolute error |
| RMSE | Root Mean Square Error |
| MAPE | Mean Absolute Percentage Error |
| Coefficient of determination |
Appendix A. Hyperparameters for Machine Learning Models
The tables in this section showcase the hyperparameter configurations used in the machine learning and deep learning models during the training stage. Specifically,
Table A1 presents the hyperparameters for decision trees and random forests, while
Table A2 covers those for regularized linear regression models.
Table A3,
Table A4,
Table A5 detail the hyperparameters for support vector machines, boosting models, and neural networks, respectively.
Table A1.
Parameter tuning ranges and descriptions for decision tree (DT) and random forest (RF) algorithms.
Table A1.
Parameter tuning ranges and descriptions for decision tree (DT) and random forest (RF) algorithms.
| Model | Parameters | Tuning Range | Description |
|---|
| DT | max_depth | [5,30] | Maximum depth of each tree |
| | min_samples_split | [2,20] | Minimum number of samples required to split a node |
| | min_samples_leaf | [1,20] | Minimum number of samples required to be at a leaf node |
| RF | n_estimators | [50,200] | Number of trees in the forest |
| | max_depth | [5,30] | Maximum depth of each tree |
| | min_samples_split | [2,20] | Minimum number of samples required to split a node |
| | min_samples_leaf | [1,20] | Minimum number of samples required at each leaf |
Table A2.
Parameter tuning ranges and descriptions for regularized linear regression models.
Table A2.
Parameter tuning ranges and descriptions for regularized linear regression models.
| Parameter | Tuning Range | Description |
|---|
| alpha | [0.001,0.99] | Regularization parameter |
Table A3.
Parameter tuning ranges and descriptions for support vector regression (SVR).
Table A3.
Parameter tuning ranges and descriptions for support vector regression (SVR).
| Parameter | Tuning Range | Description |
|---|
| kernel | linear, rbf, poly | Type of kernel |
| C | [1.5,10] | Regularization parameter |
| gamma | [1 × 10−6,1 × 10−2] | Kernel coefficient |
| epsilon | [0.01,0.5] | Error tolerance |
Table A4.
Parameter tuning ranges and descriptions for the gradient boosting (GB), extreme gradient boosting (XGB), and light gradient boosting machine (LGBM) algorithms.
Table A4.
Parameter tuning ranges and descriptions for the gradient boosting (GB), extreme gradient boosting (XGB), and light gradient boosting machine (LGBM) algorithms.
| Model | Parameter | Tuning Range | Description |
|---|
| GB | n_estimators | [50,200] | Number of estimators |
| | learning_rate | [0.01,0.1] | Learning rate |
| | max_depth | [3,10] | Maximum depth of trees |
| | min_samples_split | [2,10] | Minimum number of samples required to split a node |
| | min_samples_leaf | [1,5] | Minimum number of samples required to be at each leaf node |
| XGB | alpha | [0.001,0.99] | Regularization parameter |
| | max_depth | [3,11] | Maximum depth of trees |
| | learning_rate | [0.001,0.1] | Learning rate |
| | n_estimators | [100,500] | Number of trees in the forest |
| | gamma | [0,0.2] | Loss reduction threshold to split a node |
| | subsample | [0.6,1] | Proportion of samples used to train each tree |
| | colsample_bytree | [0.6,1] | Proportion of features used to train each tree |
| LGBM | boosting | gbdt, dart, goss | Types of boosting algorithms |
| | num_leaves | [20,60] | Number of leaves |
| | max_depth | −1,5,10,15,20 | Maximum depth of trees |
| | learning_rate | [0.001,0.5] | Learning rate |
| | n_estimators | [100,2000] | Number of estimators |
| | subsample | [0.2,0.8] | Proportion of samples used to train each tree |
| | colsample_bytree | [0.4,0.6] | Proportion of features used to train each tree |
| | alpha | 0, 1× 10−1, 1, 2, 5, 7, 10, 50, 100 | L1 regularization coefficient |
| | lambda | 0, 1× 10−1, 1, 2, 5, 7, 10, 50, 100 | L2 regularization coefficient |
Table A5.
Parameter tuning ranges and descriptions for the MLP, TabNet, and NODE algorithms.
Table A5.
Parameter tuning ranges and descriptions for the MLP, TabNet, and NODE algorithms.
| Model | Parameter | Tuning Range | Description |
|---|
| MLP | hidden_layer_sizes | (50,), (100,), (50, 50), (100, 50) | Hidden layer sizes |
| | activation | relu, tanh | Activation function |
| | solver | ADAM, SDG | Algorithm for weight optimization |
| | learning_rate | constant, adaptive | Learning rate used by the solver |
| | max_iter | [100,1000] | Maximum number of iterations |
| TabNet | n_d | [4,64] | Dimension of prediction layer |
| | n_a | [4,64] | Dimension of attention layer |
| | n_steps | [3,10] | Number of successive steps |
| | gamma | 1.0,1.2,1.5,2.0 | Discount factor |
| | mask_type | sparsemax, entmax | |
| NODE | num_layers | [1,10] | Number of layers |
| | num_trees | 256,512,1024,2048 | Number of Oblivious Decision Trees in each layer |
| | depth | [4,9] | Tree depth |
| | tree_output_dim | [1,5] | Output tree dimensionality |
Appendix B. Comparative Analysis of Performance Metrics across Factory Operations
Figure A1.
Comparative analysis of performance metrics across factory operations in Spain.
Figure A1.
Comparative analysis of performance metrics across factory operations in Spain.
Figure A2.
Comparative analysis of performance metrics across factory operations in Brazil.
Figure A2.
Comparative analysis of performance metrics across factory operations in Brazil.
Appendix C. Summary of Best Model Parameters by Operation
Table A6.
Best model parameters for each factory in the Cutting dataset.
Table A6.
Best model parameters for each factory in the Cutting dataset.
| Factory | Best Model | Parameter | Parameter Settings |
|---|
| Spain | NODE | num_layer | 2 |
| | | num_trees | 2048 |
| | | depth | 6 |
| Brazil | LGBM | boosting_type | gbdt |
| | | colsample_bytree | 0.991 |
| | | learning_rate | 0.239 |
| | | max_depth | 7 |
| | | n_estimators | 346 |
| | | num_leaves | 35 |
| | | reg_alpha | 2 |
| | | reg_lambda | 50 |
| | | subsample | 0.382 |
Table A7.
Best model parameters for each factory in the Beveling dataset.
Table A7.
Best model parameters for each factory in the Beveling dataset.
| Factory | Best Model | Parameter | Parameter Settings |
|---|
| Spain | XGB | alpha | 0.1682 |
| | | colsample_bytree | 0.6 |
| | | gamma | 0.1178 |
| | | learning_rate | 0.0232 |
| | | max_depth | 3 |
| | | n_estimators | 198 |
| | | subsample | 0.8 |
| Brazil | LGBM | boosting_type | gbdt |
| | | colsample_bytree | 0.7234 |
| | | learning_rate | 0.0198 |
| | | max_depth | 6 |
| | | n_estimators | 1708 |
| | | num_leaves | 27 |
| | | reg_alpha | 1 |
| | | reg_lambda | 10 |
| | | subsample | 0.2174 |
Table A8.
Best model parameters for each factory in the Bending dataset.
Table A8.
Best model parameters for each factory in the Bending dataset.
| Factory | Best Model | Parameter | Parameter Settings |
|---|
| Spain | XGBoost | alpha | 0.30 |
| | | colsample_bytree | 0.8 |
| | | gamma | 0.1936 |
| | | learning_rate | 0.0227 |
| | | max_depth | 3 |
| | | n_estimators | 199 |
| | | subsample | 0.9 |
| Brazil | NODE | num_layers | 6 |
| | | num_trees | 1024 |
| | | depth | 6 |
| | | additional_tree_output_dim | 3 |
Table A9.
Best model parameters for each factory in the Longitudinal Welding dataset.
Table A9.
Best model parameters for each factory in the Longitudinal Welding dataset.
| Factory | Best Model | Parameter | Parameter Settings |
|---|
| Spain | LightGBM | boosting_type | ’gbdt’ |
| | | colsample_bytree | 0.7473 |
| | | learning_rate | 0.2932 |
| | | max_depth | 8 |
| | | n_estimators | 990 |
| | | num_leaves | 51 |
| | | reg_alpha | 5 |
| | | reg_lambda | 0.1 |
| | | subsample | 0.4015 |
| Brazil | XGBoost | alpha | 0.48 |
| | | colsample_bytree | 1.0 |
| | | gamma | 0.19 |
| | | learning_rate | 0.018 |
| | | max_depth | 3 |
| | | n_estimators | 360 |
| | | subsample | 0.7 |
Table A10.
Best model parameters for each factory in the Rebending dataset.
Table A10.
Best model parameters for each factory in the Rebending dataset.
| Factory | Best Model | Parameter | Parameter Settings |
|---|
| Spain | LightGBM | boosting_type | gbdt |
| | | learning_rate | 0.2819 |
| | | max_depth | 9 |
| | | n_estimators | 141 |
| | | n_leaves | 32 |
| | | reg_alpha | 5 |
| | | reg_lambda | 100 |
| | | subsample | 0.5111 |
| Brazil | NODE | num_layers | 8 |
| | | num_trees | 512 |
| | | depth | 6 |
| | | additional_tree_output_dim | 3 |
Table A11.
Best model parameters for each factory in the Fit-up dataset.
Table A11.
Best model parameters for each factory in the Fit-up dataset.
| Factory | Best Model | Parameter | Parameter Settings |
|---|
| Sevilla | SVR | C | 6.74455 |
| | | Epsilon | 0.496958 |
| | | Gamma | 0.0091147 |
| | | Kernel | rbf |
| Brazil | XGB | alpha | 0.34 |
| | | colsample_bytree | 1.0 |
| | | gamma | 0.13 |
| | | learning_rate | 0.018 |
| | | max_depth | 3 |
| | | n_estimators | 333 |
| | | subsample | 0.6 |
Table A12.
Best model parameters for each factory in the Circular Welding dataset.
Table A12.
Best model parameters for each factory in the Circular Welding dataset.
| Factory | Best Model | Parameter | Parameter Settings |
|---|
| Spain | LGBM | boosting_type | gbdt |
| | | colsample_bytree | 0.5185 |
| | | learning_rate | 0.2899 |
| | | max_depth | 8 |
| | | n_estimators | 500 |
| | | num_leaves | 57 |
| | | reg_alpha | 0 |
| | | reg_lambda | 0 |
| | | subsample | 0.6304 |
| Brazil | RF | max_depth | 15 |
| | | min_samples_leaf | 4 |
| | | min_samples_split | 5 |
| | | n_estimators | 88 |
References
- Rai, R.; Tiwari, M.K.; Ivanov, D.; Dolgui, A. Machine learning in manufacturing and industry 4.0 applications. Int. J. Prod. Res. 2021, 59, 4773–4778. [Google Scholar] [CrossRef]
- Lorenzo-Espejo, A.; Escudero-Santana, A.; Muñoz-Díaz, M.L.; Robles-Velasco, A. Machine Learning-Based Analysis of a Wind Turbine Manufacturing Operation: A Case Study. Sustainability 2022, 14, 7779. [Google Scholar] [CrossRef]
- Sutskever, I.; Vinyals, O.; Le, Q.V. Sequence to sequence learning with neural networks. In Proceedings of the 27th International Conference on Neural Information Processing Systems—Volume 2, Cambridge, MA, USA, 8–13 December 2014; pp. 3104–3112. [Google Scholar]
- Krizhevsky, A.; Sutskever, I.; Hinton, G.E. ImageNet classification with deep convolutional neural networks. Commun. ACM 2017, 60, 84–90. [Google Scholar] [CrossRef]
- Arik, S.Ö.; Pfister, T. TabNet: Attentive Interpretable Tabular Learning. Proc. AAAI Conf. Artif. Intell. 2021, 35, 6679–6687. [Google Scholar] [CrossRef]
- Popov, S.; Morozov, S.; Babenko, A. Neural Oblivious Decision Ensembles for Deep Learning on Tabular Data. In Proceedings of the 8th International Conference on Learning Representations, ICLR 2020, Online, 26–30 April 2020. [Google Scholar]
- Sainz, J.A. New Wind Turbine Manufacturing Techniques. Procedia Eng. 2015, 132, 880–886. [Google Scholar] [CrossRef]
- Masoumi, M. Machine Learning Solutions for Offshore Wind Farms: A Review of Applications and Impacts. J. Mar. Sci. Eng. 2023, 11, 1855. [Google Scholar] [CrossRef]
- Treiber, N.A.; Heinermann, J.; Kramer, O. Wind Power Prediction with Machine Learning. In Computational Sustainability; Lässig, J., Kersting, K., Morik, K., Eds.; Springer International Publishing: Cham, Switzerland, 2016; pp. 13–29. [Google Scholar] [CrossRef]
- Demolli, H.; Dokuz, A.S.; Ecemis, A.; Gokcek, M. Wind power forecasting based on daily wind speed data using machine learning algorithms. Energy Convers. Manag. 2019, 198, 111823. [Google Scholar] [CrossRef]
- An, G.; Jiang, Z.; Chen, L.; Cao, X.; Li, Z.; Zhao, Y.; Sun, H. Ultra short-term wind power forecasting based on sparrow search algorithm optimization deep extreme learning machine. Sustainability 2021, 13, 10453. [Google Scholar] [CrossRef]
- Fotso, H.R.F.; Kazé, C.V.A.; Kenmoé, G.D. A novel hybrid model based on weather variables relationships improving applied for wind speed forecasting. Int. J. Energy Environ. Eng. 2022, 13, 43–56. [Google Scholar] [CrossRef]
- Wang, J.; Li, H.; Wang, Y.; Lu, H. A hesitant fuzzy wind speed forecasting system with novel defuzzification method and multi-objective optimization algorithm. Expert Syst. Appl. 2021, 168, 114364. [Google Scholar] [CrossRef]
- Neshat, M.; Nezhad, M.M.; Abbasnejad, E.; Mirjalili, S.; Tjernberg, L.B.; Garcia, D.A.; Alexander, B.; Wagner, M. A deep learning-based evolutionary model for short-term wind speed forecasting: A case study of the Lillgrund offshore wind farm. Energy Convers. Manag. 2021, 236, 114002. [Google Scholar] [CrossRef]
- Morshed-Bozorgdel, A.; Kadkhodazadeh, M.; Anaraki, M.V.; Farzin, S. A Novel Framework Based on the Stacking Ensemble Machine Learning (SEML) Method: Application in Wind Speed Modeling. Atmosphere 2022, 13, 758. [Google Scholar] [CrossRef]
- hai Nguyen, T.; Toubeau, J.F.; De Jaeger, E.; Vallée, F. Adequacy assessment using data-driven models to account for aerodynamic losses in offshore wind generation. Electr. Power Syst. Res. 2022, 211, 108599. [Google Scholar] [CrossRef]
- Flores, P.; Tapia, A.; Tapia, G. Application of a control algorithm for wind speed prediction and active power generation. Renew. Energy 2005, 30, 523–536. [Google Scholar] [CrossRef]
- Hoeser, T.; Feuerstein, S.; Kuenzer, C. DeepOWT: A global offshore wind turbine data set derived with deep learning from Sentinel-1 data. Earth Syst. Sci. Data 2022, 14, 4251–4270. [Google Scholar] [CrossRef]
- Niemi, J.; Tanttu, J.T. Deep Learning Case Study for Automatic Bird Identification. Appl. Sci. 2018, 8, 2089. [Google Scholar] [CrossRef]
- Niemi, J.; Tanttu, J. Automatic bird identification for offshore wind farms. In Wind Energy and Wildlife Impacts: Balancing Energy Sustainability with Wildlife Conservation; Springer: Berlin/Heidelberg, Germany, 2019; pp. 135–151. [Google Scholar]
- Zha, T.; Xie, L.; Chang, J. Wind farm water area path planning algorithm based on A* and reinforcement learning. In Proceedings of the 2019 5th International Conference on Transportation Information and Safety (ICTIS), Liverpool, UK, 14–17 July 2019; pp. 1314–1318. [Google Scholar]
- Dong, H.; Zhang, J.; Zhao, X. Intelligent wind farm control via deep reinforcement learning and high-fidelity simulations. Appl. Energy 2021, 292, 116928. [Google Scholar] [CrossRef]
- Yu, M.; Zhang, Z.; Li, X.; Yu, J.; Gao, J.; Liu, Z.; You, B.; Zheng, X.; Yu, R. Superposition Graph Neural Network for offshore wind power prediction. Future Gener. Comput. Syst. 2020, 113, 145–157. [Google Scholar] [CrossRef]
- Zhang, Y.; Yang, X.; Liu, S. Data-driven predictive control for floating offshore wind turbines based on deep learning and multi-objective optimization. Ocean Eng. 2022, 266, 112820. [Google Scholar] [CrossRef]
- Hameed, Z.; Wang, K. Development of Optimal Maintenance Strategies for Offshore Wind Turbine by Using Artificial Neural Network. Wind Eng. 2012, 36, 353–364. [Google Scholar] [CrossRef]
- Cho, S.; Choi, M.; Gao, Z.; Moan, T. Fault detection and diagnosis of a blade pitch system in a floating wind turbine based on Kalman filters and artificial neural networks. Renew. Energy 2021, 169, 1–13. [Google Scholar] [CrossRef]
- Lorenzo-Espejo, A.; Escudero-Santana, A.; Muñoz-Díaz, M.L.; Guadix, J. A Machine Learning-Based System for the Prediction of the Lead Times of Sequential Processes. In Enterprise Interoperability X: Enterprise Interoperability through Connected Digital Twins; Rodríguez-Rodríguez, R., Ducq, Y., Leon, R.D., Romero, D., Eds.; Springer International Publishing: Cham, Switzerland, 2024; pp. 25–35. [Google Scholar] [CrossRef]
- Liu, F.T.; Ting, K.M.; Zhou, Z.H. Isolation Forest. In Proceedings of the 2008 Eighth IEEE International Conference on Data Mining, Pisa, Italy, 15–19 December 2008; pp. 413–422. [Google Scholar] [CrossRef]
- Müller, A.C.; Guido, S. Chapter 3: Unsupervised Learning and Preprocessing. In Introduction to Machine Learning with Python: A Guide for Data Scientists, 1st ed.; O’Reilly Media, Inc.: Sebastopol, CA, USA, 2017; Chapter 3; pp. 131–209. [Google Scholar]
- Wolpert, D.; Macready, W. No free lunch theorems for optimization. IEEE Trans. Evol. Comput. 1997, 1, 67–82. [Google Scholar] [CrossRef]
- Breiman, L.; Friedman, J.; Olshen, R.A.; Stone, C.J. Classification and Regression Trees, 1st ed.; Chapman and Hall/CRC: New York, NY, USA, 1984; p. 368. [Google Scholar] [CrossRef]
- Breiman, L. Random Forests. Mach. Learn. 2001, 45, 5–32. [Google Scholar] [CrossRef]
- Tibshirani, R. Regression Shrinkage and Selection via the Lasso. J. R. Stat. Soc. Ser. B Methodol. 1996, 58, 267–288. [Google Scholar] [CrossRef]
- Hoerl, A.E.; Kennard, R.W. Ridge Regression: Biased Estimation for Nonorthogonal Problems. Technometrics 1970, 12, 55–67. [Google Scholar] [CrossRef]
- Zou, H.; Hastie, T. Regularization and Variable Selection Via the Elastic Net. J. R. Stat. Soc. Ser. B Stat. Methodol. 2005, 67, 301–320. [Google Scholar] [CrossRef]
- Friedman, J.H. Greedy Function Approximation: A Gradient Boosting Machine. Ann. Stat. 2001, 29, 1189–1232. [Google Scholar] [CrossRef]
- Chen, T.; Guestrin, C. XGBoost: A Scalable Tree Boosting System. In Proceedings of the 22nd ACM SIGKDD International Conference on Knowledge Discovery and Data Mining, New York, NY, USA, 13–17 August 2016; pp. 785–794. [Google Scholar] [CrossRef]
- Ke, G.; Meng, Q.; Finley, T.; Wang, T.; Chen, W.; Ma, W.; Ye, Q.; Liu, T.Y. LightGBM: A highly efficient gradient boosting decision tree. In Proceedings of the 31st International Conference on Neural Information Processing Systems, Red Hook, NY, USA, 4–9 December 2017; pp. 3149–3157. [Google Scholar]
- Botchkarev, A. Performance Metrics (Error Measures) in Machine Learning Regression, Forecasting and Prognostics: Properties and Typology. Interdiscip. J. Inf. Knowl. Manag. 2019, 14, 045–076. [Google Scholar] [CrossRef]
- Bergstra, J.; Bengio, Y. Random Search for Hyper-Parameter Optimization. J. Mach. Learn. Res. 2012, 13, 281–305. [Google Scholar]
- Hastie, T.; Tibshirani, R.; Friedman, J. Model Assessment and Selection. In The Elements of Statistical Learning: Data Mining, Inference, and Prediction; Springer: New York, NY, USA, 2009; pp. 219–259. [Google Scholar] [CrossRef]
- Harris, C.R.; Millman, K.J.; van der Walt, S.J.; Gommers, R.; Virtanen, P.; Cournapeau, D.; Wieser, E.; Taylor, J.; Berg, S.; Smith, N.J.; et al. Array programming with NumPy. Nature 2020, 585, 357–362. [Google Scholar] [CrossRef]
- McKinney, W. Data Structures for Statistical Computing in Python. In Proceedings of the 9th Python in Science Conference, Austin, TX, USA, 28 June–3 July 2010; pp. 56–61. [Google Scholar] [CrossRef]
- Pedregosa, F.; Varoquaux, G.; Gramfort, A.; Michel, V.; Thirion, B.; Grisel, O.; Blondel, M.; Prettenhofer, P.; Weiss, R.; Dubourg, V.; et al. Scikit-learn: Machine Learning in Python. J. Mach. Learn. Res. 2011, 12, 2825–2830. [Google Scholar]
- Joseph, M. PyTorch Tabular: A Framework for Deep Learning with Tabular Data. arXiv 2021, arXiv:2104.13638. [Google Scholar]
- Hunter, J.D. Matplotlib: A 2D graphics environment. Comput. Sci. Eng. 2007, 9, 90–95. [Google Scholar] [CrossRef]
- Waskom, M.L. seaborn: Statistical data visualization. J. Open Source Softw. 2021, 6, 3021. [Google Scholar] [CrossRef]
- Ali, M. PyCaret: An Open Source, Low-Code Machine Learning Library in Python. PyCaret Version 1.0.0. 2020. Available online: https://pycaret.org/ (accessed on 24 July 2024).
- Shwartz-Ziv, R.; Armon, A. Tabular data: Deep learning is not all you need. Inf. Fusion 2022, 81, 84–90. [Google Scholar] [CrossRef]
- Grinsztajn, L.; Oyallon, E.; Varoquaux, G. Why do tree-based models still outperform deep learning on tabular data? arXiv 2022, arXiv:2207.08815. [Google Scholar]
- Loyola-González, O. Black-Box vs. White-Box: Understanding Their Advantages and Weaknesses From a Practical Point of View. IEEE Access 2019, 7, 154096–154113. [Google Scholar] [CrossRef]
- Ribeiro, M.T.; Singh, S.; Guestrin, C. “Why Should I Trust You?”: Explaining the Predictions of Any Classifier. In Proceedings of the 22nd ACM SIGKDD International Conference on Knowledge Discovery and Data Mining, New York, NY, USA, 13–17 August 2016; pp. 1135–1144. [Google Scholar] [CrossRef]
- Lundberg, S.M.; Lee, S.I. A unified approach to interpreting model predictions. In Proceedings of the 31st International Conference on Neural Information Processing Systems, Red Hook, NY, USA, 4–9 December 2017; pp. 4768–4777. [Google Scholar]
Figure 1.
Data acquisition and exploratory data analysis (EDA) workflow.
Figure 1.
Data acquisition and exploratory data analysis (EDA) workflow.
Figure 2.
Isolation forest construction.
Figure 2.
Isolation forest construction.
Figure 3.
Data preprocessing.
Figure 3.
Data preprocessing.
Figure 4.
Structure of how ML models are trained.
Figure 4.
Structure of how ML models are trained.
Figure 5.
Structure of proposed system.
Figure 5.
Structure of proposed system.
Figure 6.
Example of lead-time prediction.
Figure 6.
Example of lead-time prediction.
Figure 7.
Visualization of the training notification.
Figure 7.
Visualization of the training notification.
Figure 8.
Feature importances across various operations at the factory in Spain.
Figure 8.
Feature importances across various operations at the factory in Spain.
Figure 9.
Feature importances across various operations at the factory in Brazil.
Figure 9.
Feature importances across various operations at the factory in Brazil.
Table 1.
Comparison of dataset sizes for each operation in the respective factories.
Table 1.
Comparison of dataset sizes for each operation in the respective factories.
| Factory/Operation | Cutting | Beveling | Bending | Long. Welding | Rebending | Fit-Up | Circ. Welding |
|---|
| Spain | 2163 | 2135 | 1985 | 1987 | 1432 | 2150 | 185 |
| Brazil | 17,650 | 17,704 | 18,511 | 16,961 | 1244 | 5694 | 1910 |
Table 2.
Feature selection across various wind tower manufacturing processes.
Table 2.
Feature selection across various wind tower manufacturing processes.
| Feature | Cutting | Beveling | Bending | Long. Welding | Rebending | Fit-Up | Circ. Welding |
|---|
| Plate thickness | ✓ | ✓ | ✓ | ✓ | ✓ | ✓ | ✓ |
| Plate length | ✓ | | ✓ | | ✓ | | |
| Plate width | ✓ | | | ✓ | | | |
| Cutting perimeter | ✓ | | | | | | |
| Machine type | ✓ | | ✓ | ✓ | ✓ | | |
| Bevel type | | ✓ | | | | | |
| Plate perimeter | | ✓ | | | | | |
| Taper of ferrule | | | ✓ | | | ✓ | |
| Ferrule Diameter | | | | | | ✓ | ✓ |
| Presence of flange | | | | | | ✓ | |
Table 3.
Details of experimental setup.
Table 3.
Details of experimental setup.
| Component | Details |
|---|
| CPU | Intel Core i9-12900K, 16 cores |
| GPU | NVIDIA GeForce RTX 3080 Ti, 12 GB memory, 10240 CUDA cores |
| RAM | 32 GB |
| Operative System | Windows 11 |
| Programming Language | Python 3.10 |
| Packages | Numpy [42], Pandas [43], scikit-learn [44], PyTorch Tabular [45], Matplotlib [46], Seaborn [47], PyCaret [48] |
| IDE | VS Code |
Table 4.
Results obtained for each model with the best configuration through random search on the cutting dataset.
Table 4.
Results obtained for each model with the best configuration through random search on the cutting dataset.
| Factory | Model | MAE | RMSE | MAPE (%) | R2 Adjusted | Train Time (s) |
|---|
| Spain | DT | 0.4642 | 0.5854 | 50.0436 | 0.0768 | 1.6846 |
| | RF | 0.4551 | 0.5775 | 50.04 | 0.1016 | 5.7529 |
| | RIDGE | 0.4787 | 0.6055 | 52.8253 | 0.0122 | 0.2167 |
| | LASSO | 0.4778 | 0.6073 | 53.1677 | 0.0064 | 0.2201 |
| | ENET | 0.4777 | 0.6072 | 53.1461 | 0.0068 | 0.2224 |
| | SVR | 0.4771 | 0.6043 | 53.2817 | 0.016 | 0.9936 |
| | GB | 0.4638 | 0.5879 | 50.8454 | 0.0687 | 3.6476 |
| | XGB | 0.4641 | 0.5881 | 50.1401 | 0.068 | 4.8992 |
| | LGBM | 0.4603 | 0.5827 | 50.0085 | 0.0851 | 7.5646 |
| | MLP | 0.4756 | 0.5968 | 50.6251 | 0.0403 | 7.5191 |
| | TabNet | 0.4625 | 0.5952 | 48.0406 | −0.06884 | 2196.096 |
| | NODE | 0.4526 | 0.5721 | 48.1065 | 0.01174 | 10,363.06 |
| Brazil | DT | 0.1073 | 0.1331 | 25.2989 | 0.172 | 2.6177 |
| | RF | 0.1073 | 0.1328 | 25.339 | 0.1755 | 16.182 |
| | RIDGE | 0.1095 | 0.1349 | 26.0212 | 0.1492 | 0.3628 |
| | LASSO | 0.1125 | 0.1368 | 26.8496 | 0.1254 | 0.3825 |
| | ENET | 0.1120 | 0.1363 | 26.7176 | 0.1316 | 0.441 |
| | SVR | 0.1092 | 0.1346 | 25.906 | 0.1532 | 19.9348 |
| | GB | 0.1076 | 0.1330 | 25.4048 | 0.173 | 14.99 |
| | XGB | 0.1073 | 0.1325 | 25.3456 | 0.1786 | 26.977 |
| | LGBM | 0.1072 | 0.1325 | 25.2653 | 0.1789 | 51.4082 |
| | MLP | 0.1096 | 0.1347 | 26.1195 | 0.1522 | 16.6133 |
| | TabNet | 0.109427 | 0.136893 | 25.60443 | 0.115645 | 5177.50 |
| | NODE | 0.106676 | 0.132541 | 25.4344 | 0.171134 | 7568.785 |
Table 5.
Results obtained for each model with the best configuration through random search on the beveling dataset.
Table 5.
Results obtained for each model with the best configuration through random search on the beveling dataset.
| Factory | Model | MAE | RMSE | MAPE (%) | R2 Adjusted | Train Time (s) |
|---|
| Spain | DT | 2.3545 | 2.8553 | 152.8884 | 0.049 | 0.2969 |
| | RF | 2.3705 | 2.8501 | 156.381 | 0.0525 | 6.1435 |
| | RIDGE | 2.4109 | 2.868 | 165.7692 | 0.0406 | 0.2645 |
| | LASSO | 2.4275 | 2.8806 | 168.0643 | 0.0321 | 0.271 |
| | ENET | 2.4201 | 2.8751 | 166.9682 | 0.0358 | 0.2704 |
| | SVR | 2.4081 | 2.8731 | 166.0973 | 0.0371 | 1.4238 |
| | GB | 2.3754 | 2.8424 | 159.8668 | 0.0576 | 3.4153 |
| | XGB | 2.3666 | 2.8356 | 155.5675 | 0.0621 | 5.8287 |
| | LGBM | 2.3858 | 2.8606 | 156.1941 | 0.0455 | 9.5314 |
| | MLP | 2.4092 | 2.8655 | 169.4229 | 0.0423 | 29.6221 |
| | TabNet | 2.4274 | 2.9618 | 136.1569 | −0.070 | 2676.87 |
| | NODE | 3.0839 | 3.7674 | 97.5814 | −0.7370 | 15,866 |
| Brazil | DT | 0.0730 | 0.0947 | 19.3447 | 0.1800 | 2.3477 |
| | RF | 0.0729 | 0.0942 | 19.3047 | 0.1878 | 16.7318 |
| | RIDGE | 0.0756 | 0.0973 | 19.9906 | 0.1327 | 0.4930 |
| | LASSO | 0.0798 | 0.1007 | 21.1560 | 0.0724 | 0.4050 |
| | ENET | 0.0811 | 0.1019 | 21.4878 | 0.0490 | 0.4096 |
| | SVR | 0.0760 | 0.0973 | 20.2003 | 0.1340 | 11.2810 |
| | GB | 0.0730 | 0.0944 | 19.3507 | 0.1851 | 14.4489 |
| | XGB | 0.0730 | 0.0943 | 19.3244 | 0.1861 | 28.3986 |
| | LGBM | 0.0727 | 0.0940 | 19.2483 | 0.1908 | 28.4344 |
| | MLP | 0.0760 | 0.0957 | 20.5187 | 0.1616 | 22.8199 |
| | TabNet | 0.1022 | 0.1366 | 26.0893 | −0.7776 | 3083 |
| | NODE | 0.0748 | 0.0963 | 19.9164 | 0.1550 | 6246.319 |
Table 6.
Results obtained for each model with the best configuration through random search on the bending dataset.
Table 6.
Results obtained for each model with the best configuration through random search on the bending dataset.
| Factory | Model | MAE | RMSE | MAPE (%) | R2 Adjusted | Train Time (s) |
|---|
| Spain | DT | 0.2435 | 0.3114 | 15.2196 | 0.0269 | 0.447 |
| | RF | 0.2414 | 0.3077 | 15.1508 | 0.0501 | 9.4977 |
| | RIDGE | 0.2462 | 0.3155 | 15.4378 | 0.0014 | 0.3818 |
| | LASSO | 0.2496 | 0.3153 | 15.7818 | 0.0024 | 0.3795 |
| | ENET | 0.2486 | 0.3145 | 15.7166 | 0.0076 | 0.4239 |
| | SVR | 0.2462 | 0.3152 | 15.453 | 0.003 | 1.3174 |
| | GB | 0.2422 | 0.3076 | 15.2155 | 0.0507 | 7.1917 |
| | XGB | 0.2402 | 0.3073 | 15.003 | 0.0527 | 7.8403 |
| | LGBM | 0.2445 | 0.3102 | 15.3767 | 0.0345 | 10.1291 |
| | MLP | 0.2448 | 0.3125 | 15.4013 | 0.02 | 8.0982 |
| | TabNet | 0.3409 | 0.4380 | 20.2737 | −0.71129 | 2114.821 |
| | NODE | 0.2655 | 0.3364 | 15.9844 | 0.030462 | 26,611.66 |
| Brazil | DT | 0.217629 | 0.264736 | 19.06009 | −0.00987 | 2.686931 |
| | RF | 0.21713 | 0.264244 | 19.02788 | −0.00613 | 26.32093 |
| | RIDGE | 0.216803 | 0.263774 | 18.99115 | −0.00255 | 0.656738 |
| | LASSO | 0.216707 | 0.263629 | 18.98983 | −0.00145 | 0.65939 |
| | ENET | 0.216915 | 0.263759 | 19.01269 | −0.00244 | 0.663005 |
| | SVR | 0.216688 | 0.263813 | 18.9572 | −0.00285 | 64.17738 |
| | GB | 0.21708 | 0.264101 | 19.02094 | −0.00503 | 23.9229 |
| | XGB | 0.217106 | 0.264052 | 19.02791 | −0.00467 | 32.71342 |
| | LGBM | 0.217182 | 0.264109 | 19.03515 | −0.0051 | 50.22291 |
| | MLP | 0.218289 | 0.264646 | 19.31309 | −0.00919 | 39.64824 |
| | TabNet | 0.236308 | 0.29646 | 20.11344 | −0.26967 | 4947.336 |
| | NODE | 0.216513 | 0.263311 | 18.78136 | 0.001389 | 22,622.8977 |
Table 7.
Results obtained for each model with the best configuration through random search on the longitudinal welding dataset.
Table 7.
Results obtained for each model with the best configuration through random search on the longitudinal welding dataset.
| Factory | Model | MAE | RMSE | MAPE (%) | R2 Adjusted | Train Time (s) |
|---|
| Spain | DT | 0.6155 | 0.7788 | 21.1316 | 0.0783 | 1.7475 |
| | RF | 0.5974 | 0.7615 | 20.5429 | 0.1189 | 5.8555 |
| | RIDGE | 0.6104 | 0.7701 | 21.0718 | 0.0988 | 0.2285 |
| | LASSO | 0.6147 | 0.7697 | 21.2637 | 0.0998 | 0.2319 |
| | ENET | 0.6133 | 0.7699 | 21.2001 | 0.0992 | 0.2367 |
| | SVR | 0.6108 | 0.7732 | 20.7838 | 0.0916 | 1.3211 |
| | GB | 0.5960 | 0.7693 | 20.5543 | 0.1006 | 3.6245 |
| | XGB | 0.5942 | 0.7690 | 20.5006 | 0.1014 | 4.6344 |
| | LGBM | 0.5910 | 0.7608 | 20.3361 | 0.1206 | 8.8708 |
| | MLP | 0.6096 | 0.7690 | 20.9206 | 0.1015 | 15.1607 |
| Brazil | DT | 0.25589 | 0.3221 | 17.30496 | 0.17474 | 2.28899 |
| | RF | 0.25561 | 0.32157 | 17.29898 | 0.17745 | 17.53911 |
| | RIDGE | 0.25939 | 0.32513 | 17.53897 | 0.15916 | 0.33473 |
| | LASSO | 0.27268 | 0.33667 | 18.42142 | 0.0984 | 0.33708 |
| | ENET | 0.28008 | 0.3445 | 18.8961 | 0.05597 | 0.33469 |
| | SVR | 0.25864 | 0.32493 | 17.43438 | 0.16017 | 48.73003 |
| | GB | 0.25587 | 0.32151 | 17.31692 | 0.17775 | 16.14765 |
| | XGB | 0.25498 | 0.32119 | 17.23131 | 0.17942 | 19.91989 |
| | LGBM | 0.25576 | 0.32192 | 17.29746 | 0.17564 | 64.05158 |
| | MLP | 0.25968 | 0.32358 | 17.9417 | 0.16714 | 46.47257 |
Table 8.
Results of models determined through random search on the rebending dataset.
Table 8.
Results of models determined through random search on the rebending dataset.
| Factory | Model | MAE | RMSE | MAPE (%) | R2 Adjusted | Train Time (s) |
|---|
| Spain | DT | 0.3182 | 0.3910 | 41.9814 | 0.0049 | 1.7262 |
| | RF | 0.3146 | 0.3865 | 41.4139 | 0.0281 | 5.4414 |
| | RIDGE | 0.3241 | 0.3936 | 44.1764 | −0.0081 | 0.2363 |
| | LASSO | 0.3274 | 0.3957 | 44.8102 | −0.0189 | 0.2361 |
| | ENET | 0.3240 | 0.3932 | 44.2470 | −0.0062 | 0.2442 |
| | SVR | 0.3236 | 0.3922 | 44.1203 | −0.0011 | 0.6704 |
| | GB | 0.3150 | 0.3854 | 41.9179 | 0.0335 | 3.2214 |
| | XGB | 0.3139 | 0.3857 | 41.4309 | 0.0319 | 3.8591 |
| | LGBM | 0.3147 | 0.3840 | 41.7782 | 0.0404 | 7.0541 |
| | MLP | 0.3212 | 0.3927 | 43.0614 | −0.0036 | 4.4895 |
| | TabNet | 0.3342 | 0.4172 | 46.1915 | −0.1439 | 1917.4800 |
| | NODE | 0.3225 | 0.3851 | 46.0042 | 0.0353 | 8570.6000 |
| Brazil | DT | 0.1580 | 0.1904 | 42.5823 | −0.0314 | 2.0558 |
| | RF | 0.1592 | 0.1911 | 42.6567 | −0.0384 | 5.8700 |
| | RIDGE | 0.1587 | 0.1893 | 43.0207 | −0.0191 | 0.2561 |
| | LASSO | 0.1586 | 0.1887 | 43.1433 | −0.0132 | 0.2559 |
| | ENET | 0.1586 | 0.1891 | 43.0440 | −0.0172 | 0.2625 |
| | SVR | 0.1591 | 0.1890 | 43.6599 | −0.0160 | 0.3911 |
| | GB | 0.1582 | 0.1890 | 42.7117 | −0.0162 | 2.6744 |
| | XGB | 0.1587 | 0.1887 | 43.2165 | −0.0134 | 2.6293 |
| | LGBM | 0.1586 | 0.1887 | 43.1433 | −0.0132 | 5.3262 |
| | MLP | 0.1582 | 0.1898 | 42.1096 | −0.0250 | 2.7716 |
| | TabNet | 0.4619 | 0.5189 | 124.9740 | −10.7883 | 1588.57 |
| | NODE | 0.1484 | 0.1795 | 40.2075 | −0.0427 | 7738.602 |
Table 9.
Results of models determined through random search on the fit-up dataset.
Table 9.
Results of models determined through random search on the fit-up dataset.
| Factory | Model | MAE | RMSE | MAPE (%) | R2 Adjusted | Train Time (s) |
|---|
| Spain | DT | 1.2011 | 1.5541 | 39.5827 | 0.1080 | 2.1730 |
| | RF | 1.1936 | 1.5260 | 39.4140 | 0.1400 | 3.9951 |
| | RIDGE | 1.2155 | 1.5197 | 40.6624 | 0.1470 | 0.2224 |
| | LASSO | 1.2279 | 1.5250 | 41.0332 | 0.1410 | 0.2230 |
| | ENET | 1.2316 | 1.5259 | 41.1330 | 0.1400 | 0.2342 |
| | SVR | 1.1901 | 1.5152 | 37.9503 | 0.1521 | 0.9706 |
| | GB | 1.1929 | 1.5250 | 39.8664 | 0.1411 | 2.5775 |
| | XGB | 1.1803 | 1.5183 | 39.2723 | 0.1486 | 3.7558 |
| | LGBM | 1.1999 | 1.5368 | 39.8310 | 0.1278 | 7.9077 |
| | MLP | 1.2101 | 1.5210 | 40.2099 | 0.1456 | 17.1328 |
| | TabNet | 1.2550 | 1.6374 | 36.8195 | −0.0185 | 2698.59 |
| | NODE | 1.4181 | 1.8409 | 37.2561 | −0.3163 | 78,024.08 |
| Brazil | DT | 2.3676 | 3.4031 | 21.5839 | 0.8570 | 0.4868 |
| | RF | 2.3601 | 3.4145 | 21.2198 | 0.8561 | 9.4197 |
| | RIDGE | 2.4686 | 3.4660 | 23.5846 | 0.8517 | 0.4311 |
| | LASSO | 2.4657 | 3.4634 | 23.3255 | 0.8519 | 0.4376 |
| | ENET | 2.4962 | 3.4678 | 24.2983 | 0.8515 | 0.4406 |
| | SVR | 2.4344 | 3.4686 | 21.1076 | 0.8515 | 3.4559 |
| | GB | 2.3619 | 3.4037 | 21.4262 | 0.8570 | 5.1694 |
| | XGB | 2.3654 | 3.4006 | 21.4145 | 0.8572 | 7.3314 |
| | LGBM | 2.3831 | 3.4333 | 21.8825 | 0.8545 | 23.5088 |
| | MLP | 2.4299 | 3.4292 | 22.7512 | 0.8548 | 50.9705 |
Table 10.
Results obtained for each model with the best configuration through random search on the circular welding dataset.
Table 10.
Results obtained for each model with the best configuration through random search on the circular welding dataset.
| Factory | Model | MAE | RMSE | MAPE (%) | R2 Adjusted | Train Time (s) |
|---|
| Spain | DT | 8.5956 | 12.5213 | 13.0593 | 0.6221 | 1.6795 |
| | RF | 9.1742 | 12.7837 | 14.2495 | 0.6061 | 2.5769 |
| | RIDGE | 15.9338 | 18.5804 | 24.7620 | 0.1679 | 0.2118 |
| | LASSO | 16.0120 | 18.6271 | 24.7898 | 0.1637 | 0.2128 |
| | ENET | 15.9469 | 18.6081 | 24.7673 | 0.1654 | 0.2147 |
| | SVR | 16.1549 | 19.2444 | 25.4084 | 0.1074 | 0.2266 |
| | GB | 9.1216 | 12.8523 | 14.1254 | 0.6019 | 0.9746 |
| | XGB | 8.9914 | 12.7037 | 13.7033 | 0.6110 | 1.1620 |
| | LGBM | 8.4832 | 12.4146 | 13.2389 | 0.6285 | 1.0141 |
| | MLP | 11.5148 | 14.8114 | 17.2949 | 0.4713 | 4.6914 |
| Brazil | DT | 3.7852 | 4.8947 | 10.9932 | 0.5548 | 2.1393 |
| | RF | 3.7731 | 4.8448 | 10.9575 | 0.5638 | 3.6586 |
| | RIDGE | 4.3557 | 5.5093 | 12.5142 | 0.4360 | 0.2700 |
| | LASSO | 4.3671 | 5.5155 | 12.5436 | 0.4347 | 0.2636 |
| | ENET | 4.4576 | 5.5584 | 12.7941 | 0.4258 | 0.2636 |
| | SVR | 4.1971 | 5.5583 | 11.7384 | 0.4259 | 0.6297 |
| | GB | 3.8114 | 4.8595 | 11.0604 | 0.5612 | 1.5213 |
| | XGB | 3.7851 | 4.8888 | 10.9821 | 0.5558 | 2.2018 |
| | LGBM | 3.8037 | 4.8549 | 11.0232 | 0.5620 | 4.7461 |
| | MLP | 4.1083 | 5.2086 | 11.7463 | 0.4958 | 21.1404 |
Table 11.
Results of lead-time estimation (example).
Table 11.
Results of lead-time estimation (example).
| Operation | Can 1 | Can 2 | Can 3 | Can 4 | Can 5 | Can 6 | Can 7 | Can 8 | Can 9 | Section |
|---|
| Cutting | 1.60 | 1.62 | 1.37 | 1.37 | 1.45 | 1.42 | 1.60 | 1.62 | 1.37 | 13.42 |
| Beveling | 6.19 | 5.63 | 5.56 | 9.04 | 4.91 | 5.10 | 6.19 | 5.63 | 5.56 | 53.81 |
| Bending | 1.94 | 1.82 | 1.73 | 1.58 | 1.65 | 1.63 | 1.94 | 1.82 | 1.80 | 15.90 |
| Longitudinal Welding | 3.89 | 3.09 | 3.09 | 2.98 | 2.75 | 2.57 | 3.89 | 3.25 | 3.09 | 28.61 |
| Rebending | 0.88 | 0.83 | 0.85 | 0.66 | 0.71 | 0.78 | 0.88 | 0.83 | 0.79 | 7.20 |
| Fit-up | 3.78 | 3.82 | 3.78 | 2.60 | 2.90 | 2.96 | 3.78 | 3.82 | 3.78 | 31.21 |
| Circ. Welding | | | | | | | | | | 103.45 |
Table 12.
Performance assessment of the models that offer the best fit to the data across the diverse relevant operations of the two analyzed factories.
Table 12.
Performance assessment of the models that offer the best fit to the data across the diverse relevant operations of the two analyzed factories.
| | Spain | Brazil |
|---|
| Operation | Best Model | RMSE (h) | Best Model | RMSE (h) |
|---|
| Cutting | NODE | 0.5721 | LGBM | 0.1325 |
| Beveling | SVR | 2.8263 | LGBM | 0.094 |
| Bending | XGB | 0.3073 | NODE | 0.2633 |
| Long. welding | LGBM | 0.7608 | XGB | 0.3211 |
| Rebending | LGBM | 0.384 | NODE | 0.1795 |
| Fit-up | SVR | 1.516 | XGB | 3.40 |
| Circ. welding | LGBM | 12.41 | RF | 4.8448 |
| Disclaimer/Publisher’s Note: The statements, opinions and data contained in all publications are solely those of the individual author(s) and contributor(s) and not of MDPI and/or the editor(s). MDPI and/or the editor(s) disclaim responsibility for any injury to people or property resulting from any ideas, methods, instructions or products referred to in the content. |
© 2024 by the authors. Licensee MDPI, Basel, Switzerland. This article is an open access article distributed under the terms and conditions of the Creative Commons Attribution (CC BY) license (https://creativecommons.org/licenses/by/4.0/).