Crow Search Algorithm for Modelling an Anaerobic Digestion Process: Algorithm Parameter Influence
Abstract
1. Introduction
- (1)
- The CSA was applied for the first time to the mathematical modelling of the TSAD process, based on real experimental data.
- (2)
- The influence of the main CSA parameters, fl and AP, was investigated based on the analysis of numerical data from the model parameter identification procedures with 70 differently tuned CSA. With the optimal tuning of the CSA parameters, a 29% improvement in solution accuracy was achieved.
- (3)
- Recommendations about the optimal CSA parameter tuning were provided based on the performed classical statistical tests and an innovative approach, InterCriteria Analysis. Moreover, it was found that the parameter AP was more sensitive than the parameter fl and influenced to a greater extent the CSA performance in terms of the solution accuracy and convergence time.
- (4)
- The mathematical models of the TSAD process with a high degree of accuracy were developed.
2. Mathematical Model of the Two-Stage Anaerobic Digestion Process
3. Crow Search Algorithm
3.1. CSA Background
3.2. CSA Parameter Influence Investigation Methodology
- fl between 1 and 4 with a step of 0.5;
- AP between 0.05 and 0.5, with a step of 0.05.
3.3. Statistical Approaches and InterCrteria Analysis
- One-way analysis of variance (ANOVA) [49], a parametric test “analysis of variance” that compares the means of two or more independent groups to determine whether there is statistical evidence that the associated population means are significantly different;
- Wilcoxon test [50], a nonparametric equivalent of the paired t-test, but unlike the t-test, it tests differences in the median rather than the mean.
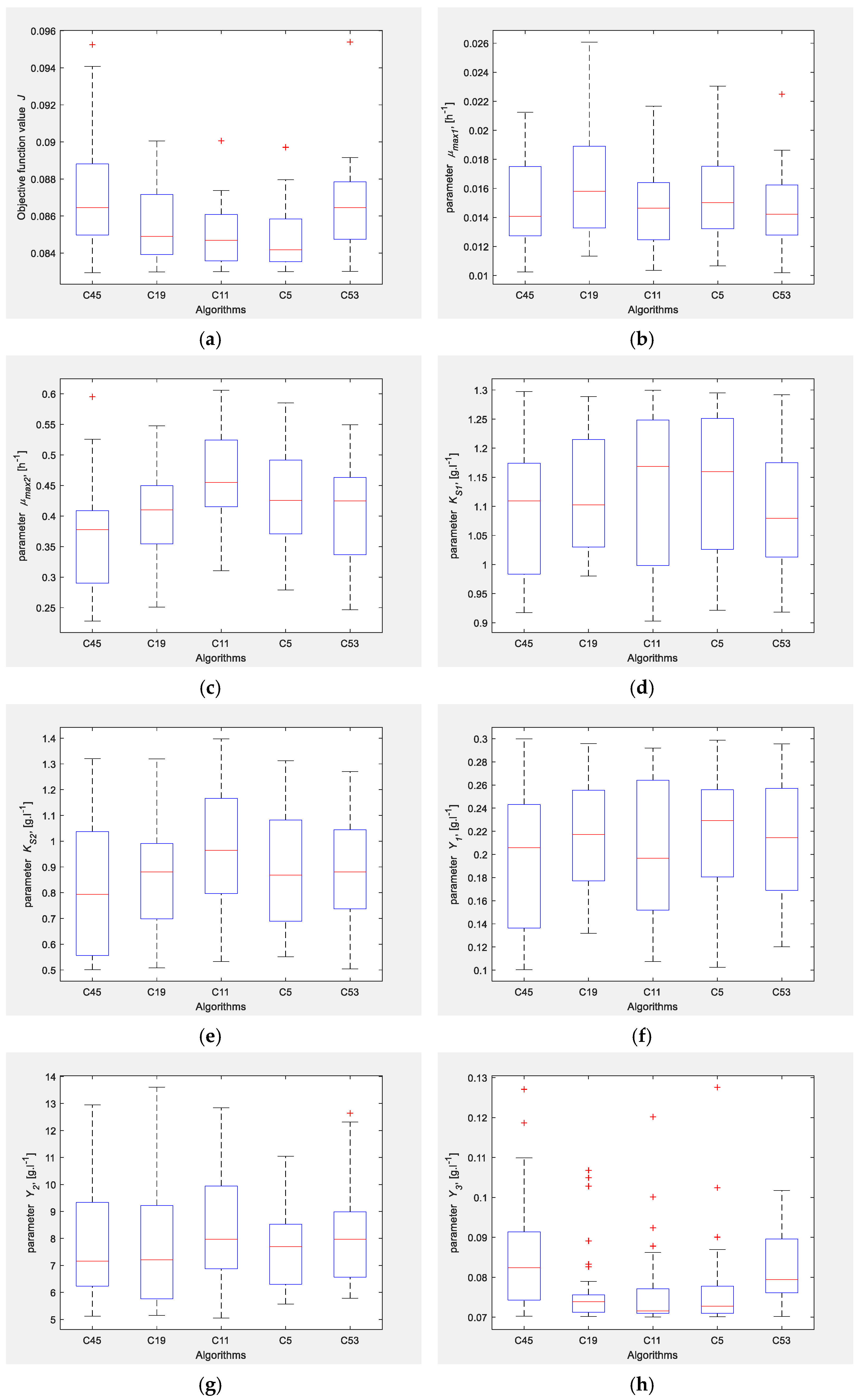
4. Numerical Results and Discussion
- Core: Intel® Core™i7-8700 CPU @ 3.20 GHz, 3192 MHz;
- Memory (RAM): 32 GB;
- Operating system: Windows 10 pro (64-bit).
| C1 | C2 | … | C70 | |
| C1 | -- | … | ||
| C2 | -- | … | ||
| ⋮ | ⋮ | ⋮ | … | ⋮ |
| C70 | … | -- |
5. Conclusions
Supplementary Materials
Author Contributions
Funding
Data Availability Statement
Conflicts of Interest
Appendix A
| Notation | CSA Parameters | Notation | CSA Parameters | Notation | CSA Parameters | |||
| AP | fl | AP | fl | AP | fl | |||
| C1 | 0.05 | 1.0 | C8 | 0.10 | 1.0 | C15 | 0.15 | 1.0 |
| C2 | 1.5 | C9 | 1.5 | C16 | 1.5 | |||
| C3 | 2.0 | C10 | 2.0 | C17 | 2.0 | |||
| C4 | 2.5 | C11 | 2.5 | C18 | 2.5 | |||
| C5 | 3.0 | C12 | 3.0 | C19 | 3.0 | |||
| C6 | 3.5 | C13 | 3.5 | C20 | 3.5 | |||
| C7 | 4.0 | C14 | 4.0 | C21 | 4.0 | |||
| Notation | CSA Parameters | Notation | CSA Parameters | Notation | CSA Parameters | |||
| AP | fl | AP | fl | AP | fl | |||
| C22 | 0.20 | 1.0 | C29 | 0.25 | 1.0 | C36 | 0.30 | 1.0 |
| C23 | 1.5 | C30 | 1.5 | C37 | 1.5 | |||
| C24 | 2.0 | C31 | 2.0 | C38 | 2.0 | |||
| C25 | 2.5 | C32 | 2.5 | C39 | 2.5 | |||
| C26 | 3.0 | C33 | 3.0 | C40 | 3.0 | |||
| C27 | 3.5 | C34 | 3.5 | C41 | 3.5 | |||
| C28 | 4.0 | C35 | 4.0 | C42 | 4.0 | |||
| Notation | CSA Parameters | Notation | CSA Parameters | Notation | CSA Parameters | |||
| AP | fl | AP | fl | AP | fl | |||
| C43 | 0.35 | 1.0 | C50 | 0.40 | 1.0 | C57 | 0.45 | 1.0 |
| C44 | 1.5 | C51 | 1.5 | C58 | 1.5 | |||
| C45 | 2.0 | C52 | 2.0 | C59 | 2.0 | |||
| C46 | 2.5 | C53 | 2.5 | C60 | 2.5 | |||
| C47 | 3.0 | C54 | 3.0 | C61 | 3.0 | |||
| C48 | 3.5 | C55 | 3.5 | C62 | 3.5 | |||
| C49 | 4.0 | C56 | 4.0 | C63 | 4.0 | |||
| Notation | CSA Parameters | |||||||
| AP | fl | |||||||
| C64 | 0.50 | 1.0 | ||||||
| C65 | 1.5 | |||||||
| C66 | 2.0 | |||||||
| C67 | 2.5 | |||||||
| C68 | 3.0 | |||||||
| C69 | 3.5 | |||||||
| C70 | 4.0 | |||||||
References
- Ruggeri, B.; Tommasi, T.; Sanfilippo, S. BioH2 & BioCH4 through Anaerobic Digestion. From Research to Full-Scale Applications; Springer: Berlin/Heidelberg, Germany, 2015; 215p. [Google Scholar]
- Boshagh, F.; Rostami, K.; van Niel, W.J. Application of kinetic models in dark fermentative hydrogen production—A critical review. Int. J. Hydrogen Energy 2022, 47, 21952–21968. [Google Scholar] [CrossRef]
- De Lille, M.V.; Forstner, J.; Groß, F.; Benning, R.; Delgado, A. Modeling the two-stage anaerobic digestion of domestic wastewater with the development of a monitoring application. Braz. J. Chem. Eng. 2016, 33, 801–815. [Google Scholar] [CrossRef]
- Hanaki, M.; Harmand, J.; Mghazli, Z.; Rapaport, A.; Sari, T.; Ugalde, P. Mathematical study of a two-stage anaerobic model when the hydrolysis is the limiting step. Processes 2021, 9, 2050. [Google Scholar] [CrossRef]
- Nasr, N.; Hafez, H.; El Naggar, M.H.; Nakhla, G. Application of artificial neural networks for modeling of biohydrogen production. Int. J. Hydrogen Energy 2013, 38, 3189–3195. [Google Scholar] [CrossRef]
- Wang, J.; Wan, W. Factors influencing fermentative hydrogen production: A review. Int. J. Hydrogen Energy 2009, 34, 799–811. [Google Scholar] [CrossRef]
- Wade, M.J. Not Just Numbers: Mathematical Modelling and Its Contribution to Anaerobic Digestion Processes. Processes 2020, 8, 888. [Google Scholar] [CrossRef]
- Donoso-Bravo, A.; Gajrdo, P.; Sebbah, M.; Vicencio, D. Comparison of performance in an anaerobic digestion process: One-reactor vs. two-reactor configurations. Math. Biosci. Eng. 2019, 16, 2447–2465. [Google Scholar] [CrossRef] [PubMed]
- Kamyab, B.; Zilouei, H. Investigating the efficiency of biogas production using modelling anaerobic digestion of baker’s yeast wastewater on two-stage mixed-UASB reactor. Fuel 2021, 285, 119198. [Google Scholar] [CrossRef]
- Mathur, R.; Sharma, M.K.; Loganathan, K.; Abbas, M.; Hussain, S.; Kataria, G.; Alqahtani, M.S.; Rao, K.S. Modeling of two-stage anaerobic onsite wastewater sanitation system to predict effluent soluble chemical oxygen demand through machine learning. Sci. Rep. 2024, 14, 1835. [Google Scholar] [CrossRef]
- Calderón-Soto, L.F.; López-Gutiérrez, I.; Valencia-Ojeda, C.; Aguilar-López, R.; Alatriste-Mondragón, F.; Femat, R. Two-stage continuous biomethane production from enzymatic hydrolysate of agave bagasse: Modelling, identification and control. J. Process Control 2022, 120, 14–27. [Google Scholar] [CrossRef]
- Baek, G.; Lee, C.; Yoon, J. Machine learning approach for predicting anaerobic digestion performance and stability in direct interspecies electron transfer-stimulated environments. Biochem. Eng. J. 2023, 193, 108840. [Google Scholar] [CrossRef]
- Cruz, I.A.; Chuenchart, W.; Long, F.; Surendra, K.C.; Andrade, L.R.S.; Bilal, M.; Liu, H.; Figueiredo, R.T.; Khanal, S.K.; Ferreira, L.F. Application of machine learning in anaerobic digestion: Perspectives and challenges. Bioresour. Technol. 2022, 345, 126433. [Google Scholar] [CrossRef]
- Hussain, K.; Mohd Salleh, M.N.; Cheng, S.; Shi, Y. Metaheuristic research: A comprehensive survey. Artif. Intell. Rev. 2019, 52, 2191–2233. [Google Scholar] [CrossRef]
- Hu, J.; Wu, H.; Zhong, B.; Xiao, R. Swarm intelligence-based optimisation algorithms: An overview and future research issues. Int. J. Autom. Control 2020, 14, 656–693. [Google Scholar] [CrossRef]
- Sharma, P.; Raju, S. Metaheuristic optimization algorithms: A comprehensive overview and classification of benchmark test functions. Soft Comput. 2023, 28, 3123–3186. [Google Scholar] [CrossRef]
- Roeva, O.; Zoteva, D.; Roeva, G.; Lyubenova, V. An Efficient Hybrid of an Ant Lion Optimizer and Genetic Algorithm for a Model Parameter Identification Problem. Mathematics 2023, 11, 1292. [Google Scholar] [CrossRef]
- Holland, J.H. Adaptation in Natural and Artificial Systems; University of Michigan Press: Ann Arbor, MI, USA, 1975. [Google Scholar]
- Pierezan, J.; Dos Santos Coelho, L. Coyote Optimization Algorithm: A New Metaheuristic for Global Optimization Problems. In Proceedings of the 2018 IEEE Congress on Evolutionary Computation (CEC), Rio de Janeiro, Brazil, 8–13 July 2018; pp. 1–8. [Google Scholar]
- Karaboga, D. An Idea Based on Honeybee Swarm for Numerical Optimization; Technical Report TR06; Erciyes University, Engineering Faculty, Computer Engineering Department: Kayseri, Turkey, 2005. [Google Scholar]
- Angelova, M.; Vassilev, P.; Pencheva, T. Genetic Algorithm and Cuckoo Search Hybrid Technique for Parameter Identification of Fermentation Process Model. Int. J. Bioautomation 2020, 24, 277–288. [Google Scholar] [CrossRef]
- Roeva, O.; Zoteva, D.; Castillo, O. Joint set-up of parameters in genetic algorithms and the artificial bee colony algorithm: An approach for cultivation process modelling. Soft Comput. 2021, 25, 2015–2038. [Google Scholar] [CrossRef]
- Roeva, O.; Chorukova, E. Metaheuristic Algorithms to Optimal Parameters Estimation of a Model of Two-Stage Anaerobic Digestion of Corn Steep Liquor. Appl. Sci. 2023, 13, 199. [Google Scholar] [CrossRef]
- Askarzadeh, A. A novel metaheuristic method for solving constrained engineering optimization problems: Crow search algorithm. Comput. Struct. 2016, 169, 1–12. [Google Scholar] [CrossRef]
- Wang, T.; Zhang, C.; He, A.; Dong, W. Overview of crow search algorithm. J. Phys. Conf. Ser. 2022, 2258, 012017. [Google Scholar] [CrossRef]
- Fan, Y.; Yang, H.; Wang, Y.; Xu, Z.; Lu, D. A Variable Step Crow Search Algorithm and Its Application in Function Problems. Biomimetics 2023, 8, 395. [Google Scholar] [CrossRef]
- Cheng, Q.; Huang, H.; Chen, M. A novel crow search algorithm based on improved flower pollination. Math. Probl. Eng. 2021, 2021, 1048879. [Google Scholar] [CrossRef]
- Chen, Y.; Ye, Z.; Gao, B.; Wu, Y.; Yan, X.; Liao, X. A Robust Adaptive Hierarchical Learning Crow Search Algorithm for Feature Selection. Electronics 2023, 12, 3123. [Google Scholar] [CrossRef]
- Durgut, R.; Aydin, M.E. Multi Strategy Search with Crow Search Algorithm; IntechOpen: Rijeka, Croatia, 2022. [Google Scholar] [CrossRef]
- Ali, S.; Bhargava, A.; Saxena, A.; Almazyad, A.S.; Sallam, K.M.; Mohamed, A.W. An Amended Crow Search Algorithm for Hybrid Active Power Filter Design. Processes 2023, 11, 2550. [Google Scholar] [CrossRef]
- Joshi, S.K.; Bansal, J.C. Parameter tuning for meta-heuristics. Knowl.-Based Syst. 2020, 189, 105094. [Google Scholar] [CrossRef]
- Bacanin, N.; Stoean, C.; Zivkovic, M.; Rakic, M.; Strulak-Wójcikiewicz, R.; Stoean, R. On the Benefits of Using Metaheuristics in the Hyperparameter Tuning of Deep Learning Models for Energy Load Forecasting. Energies 2023, 16, 1434. [Google Scholar] [CrossRef]
- Hussien, A.G.; Amin, M.; Wang, M.; Liang, G.; Alsanad, A.; Gumaei, A.; Chen, H. Crow search algorithm: Theory, recent advances, and applications. IEEE Access 2020, 8, 173548–173565. [Google Scholar] [CrossRef]
- Akay, B.; Karaboga, D. Parameter tuning for the artificial bee colony algorithm. In Computational Collective Intelligence; Nguyen, N.T., Kowalczyk, R., Chen, S.-M., Eds.; Semantic Web, Social Networks and Multiagent Systems; Springer Berlin Heidelberg: Berlin/Heidelberg, Germany, 2009; pp. 608–619. [Google Scholar]
- Smit, S.K.; Eiben, A.E. Comparing parameter tuning methods for evolutionary algorithms. In Proceedings of the Eleventh Conference on Congress on Evolutionary Computation, CEC’09, Trondheim, Norway, 18–21 May 2009; IEEE Press: Piscataway, NJ, USA, 2009; pp. 399–406. [Google Scholar]
- Bartz-Beielstein, T.; Markon, S. Tuning Search Algorithms for Real-World Applications: A Regression Tree Based Approach. In Proceedings of the 2004 Congress on Evolutionary Computation, Portland, OR, USA, 19–23 June 2004. Universitätsbibliothek Dortmund. [Google Scholar]
- Tavana, M.; Kazemi, M.R.; Vafadarnikjoo, A.; Mobin, M. An artificial immune algorithm for ergonomic product classification using anthropometric measurements. Measurement 2016, 94, 621–629. [Google Scholar] [CrossRef]
- Kayvanfar, V.; Zandieh, M.; Teymourian, E. An intelligent water drop algorithm to identical parallel machine scheduling with controllable processing times: A just-in-time approach. Comput. Appl. Math. 2017, 36, 159–184. [Google Scholar] [CrossRef]
- Yu, A.J.; Seif, J. Minimizing tardiness and maintenance costs in flow shop scheduling by a lower-bound-based GA. Comput. Ind. Eng. 2016, 97, 26–40. [Google Scholar] [CrossRef]
- Shadkam, E. Parameter setting of meta-heuristic algorithms: A new hybrid method based on DEA and RSM. Environ. Sci. Pollut. Res. 2022, 29, 22404–22426. [Google Scholar] [CrossRef] [PubMed]
- Pereira, I.; Madureira, A.; Costa e Silva, E.; Abraham, A. A Hybrid Metaheuristics Parameter Tuning Approach for Scheduling through Racing and Case-Based Reasoning. Appl. Sci. 2021, 11, 3325. [Google Scholar] [CrossRef]
- Mobin, M.; Mousavi, S.M.; Komaki, M.; Tavana, M. A hybrid desirability function approach for tuning parameters in evolutionary optimization algorithms. Measurement 2018, 114, 417–427. [Google Scholar] [CrossRef]
- Huang, C.; Li, Y.; Yao, X. A Survey of Automatic Parameter Tuning Methods for Metaheuristics. IEEE Trans. Evol. Comput. 2020, 24, 201–216. [Google Scholar] [CrossRef]
- Tran, T.V.; Alsaiari, M.; Harraz, F.A.; Nabgan, W.; Nguyen, D.T.D.; Nguyen, C.V. Taguchi. L9 (34) Orthogonal Array Design for Photocatalytic Degradation of Methylene Blue Dye by Green ZnO Particles Biosynthesized by Chrysanthemum spp. Flower Extract. Water 2023, 15, 2186. [Google Scholar] [CrossRef]
- Maazinejad, B.; Mohammadnia, O.; Ali, G.A.M.; Makhlouf, A.S.H.; Nadagouda, M.N.; Sillanpää, M.; Asiri, A.M.; Agarwal, S.; Gupta, V.K.; Sadegh, H. Taguchi L9 (34) orthogonal array study based on methylene blue removal by single-walled carbon nanotubes-amine: Adsorption optimization using the experimental design method, kinetics, equilibrium and thermodynamics. J. Mol. Liq. 2020, 298, 112001. [Google Scholar] [CrossRef]
- Antony, J. 6—Full factorial designs. In Design of Experiments for Engineers and Scientists, 3rd ed.; Antony, J., Ed.; Elsevier: Amsterdam, The Netherlands, 2023; pp. 65–87. [Google Scholar] [CrossRef]
- Tong, C. Refinement strategies for stratified sampling methods. Reliab. Eng. Syst. Saf. 2006, 91, 1257–1265. [Google Scholar] [CrossRef]
- Chorukova, E.; Hubenov, V.; Gocheva, Y.; Simeonov, I. Two-Phase Anaerobic Digestion of Corn Steep Liquor in Pilot Scale Biogas Plant with Automatic Control System with Simultaneous Hydrogen and Methane Production. Appl. Sci. 2022, 12, 6274. [Google Scholar] [CrossRef]
- Fisher, R.A. Statistical Methods and Scientific Inference, 2nd ed.; Hafner Publishing Co.: New York, NY, USA, 1959. [Google Scholar]
- García, S.; Fernández, A.; Luengo, J.; Herrera, F. Advanced nonparametric tests for multiple comparisons in the design of experiments in computational intelligence and data mining: Experimental analysis of power. Inf. Sci. 2010, 180, 2044–2064. [Google Scholar] [CrossRef]
- Atanassov, K.; Mavrov, D.; Atanassova, V. Intercriteria Decision Making: A New Approach for Multicriteria Decision Making, Based on Index Matrices and Intuitionistic Fuzzy Sets. Issues IFSs GNs 2014, 11, 1–8. [Google Scholar]
- Atanassov, K. Index Matrices: Towards an Augmented Matrix Calculus; Studies in Computational Intelligence; Springer: Cham, Switzerland, 2014. [Google Scholar]
- Atanassov, K. Intuitionistic Fuzzy Sets, VII ITKR Session, Sofia, 20–23 June 1983 (Deposed in Centr. Sci.-Techn. Library of the Bulg. Acad. of Sci., 1697/84) (in Bulgarian). Int. J. Bioautomation 2016, 20, S1–S6. [Google Scholar]
- Atanassov, K. Review and New Results on Intuitionistic Fuzzy Sets. Int. J. Bioautomation 2016, 20, S7–S16. [Google Scholar]
- Chorukova, E.; Marinov, P.; Umlenski, I. Survey on Theory and Applications of InterCriteria Analysis Approach. In Research in Computer Science in the Bulgarian Academy of Sciences; Atanassov, K.T., Ed.; Study Computer Intelligence; Springer: Cham, Switzerland, 2021; Volume 934. [Google Scholar] [CrossRef]
- Todinova, S.; Mavrov, D.; Krumova, S.; Marinov, P.; Atanassova, V.; Atanassov, K.; Taneva, S.G. Blood Plasma Thermograms Dataset Analysis by Means of InterCriteria and Correlation Analyses for the Case of Colorectal Cancer. Int. J. Bioautomation 2016, 20, 115–124. [Google Scholar]
- Stratiev, D.; Shishkova, I.; Dinkov, R.; Kolev, I.; Argirov, G.; Ivanov, V.; Ribagin, S.; Atanassova, V.; Atanassov, K.; Stratiev, D.; et al. Intercriteria Analysis to Diagnose the Reasons for Increased Fouling in a Commercial Ebullated Bed Vacuum Residue Hydrocracker. ACS Omega 2022, 7, 30462–30476. [Google Scholar] [CrossRef] [PubMed]
- Fernández del Castillo, A.; Verduzco Garibay, M.; Senés-Guerrero, C.; Yebra-Montes, C.; de Anda, J.; Gradilla-Hernández, M.S. Mathematical Modeling of a Domestic Wastewater Treatment System Combining a Septic Tank, an up Flow Anaerobic Filter, and a Constructed Wetland. Water 2020, 12, 3019. [Google Scholar] [CrossRef]
- Hassan, S.R.; Hung, Y.-T.; Dahlan, I.; Abdul Aziz, H. Kinetic Study of the Anaerobic Digestion of Recycled Paper Mill Effluent (RPME) by Using a Novel Modified Anaerobic Hybrid Baffled (MAHB) Reactor. Water 2022, 14, 390. [Google Scholar] [CrossRef]
- Hadei, M.; Aalipour, M.; Fatehizadeh, A.; Safavi, H.; Ghasemian, M.; Sahbaei, A.; Mousavi, S.; Zadeh, M.; Amin, M. Determination of biokinetic coefficients for an adsorption/bio-oxidation process on municipal wastewater in pilot-scale. Int. J. Environ. Health Eng. 2015, 4, 35. [Google Scholar] [CrossRef]
- Yunus, M.U.; Silas, K.; Yaumi, A.L.; Kwaji, B.H. Kinetic Study of Microbial Growth in Anaerobic Digestion of Solid Waste. Int. J. Sci. Multidiscip. Res. 2023, 1, 1119–1130. [Google Scholar] [CrossRef]
- Abubakar, A.M.; Silas, K.; Aji, M.M.; Taura, U.H.; Undiandeye, J. Microbial Growth Rate Kinetics in Biogas Production by Anaerobic Digestion of Chicken Manure. Irasd J. Energy Environ. 2022, 3, 72–89. [Google Scholar] [CrossRef]
- Jia, Y.H.; Qiu, J.; Ma, Z.Z.; Li, F.F. A Novel Crow Swarm Optimization Algorithm (CSO) Coupling Particle Swarm Optimization (PSO) and Crow Search Algorithm (CSA). Comput. Intell. Neurosci. 2021, 2021, 6686826. [Google Scholar] [CrossRef]
- Donoso-Bravo, A.; Mailier, J.; Martin, C.; Rodríguez, J.; Aceves-Lara, C.A.; Wouwer, A.V. Model selection, identification and validation in anaerobic digestion: A review. Water Res. 2011, 45, 5347–5364. [Google Scholar] [CrossRef]
- Ikonomov, N.; Vassilev, P.; Roeva, O. ICrAData—Software for InterCriteria Analysis. Int. J. Bioautomation 2018, 22, 1–10. [Google Scholar] [CrossRef]
- Atanassov, K.; Atanassova, V.; Gluhchev, G. InterCriteria Analysis: Ideas and Problems. Notes Intuitionistic Fuzzy Sets 2015, 21, 81–88. [Google Scholar]
- Yang, X.-S. Firefly Algorithm for Multimodal Optimization. Lect. Notes Comput. Sci. 2009, 5792, 169–178. [Google Scholar]
- Yang, X.-S.; Deb, S. Cuckoo Search via Levy flights. In Proceedings of the World Congress on Nature & Biologically Inspired Computing (NaBIC), Coimbatore, India, 9–11 December 2009; pp. 210–214. [Google Scholar]
- Necira, A.; Naimi, D.; Salhi, A.; Salhi, S.; Menani, S. Dynamic crow search algorithm based on adaptive parameters for large-scale global optimization. Evol. Intel. 2022, 15, 2153–2169. [Google Scholar] [CrossRef]
- Sheta, A.; Braik, M.; Al-Hiary, H.; Mirjalili, S. Improved versions of crow search algorithm for solving global numerical optimization problems. Appl. Intell. 2023, 53, 26840–26884. [Google Scholar] [CrossRef]








| fl Range | fl Step | AP Range | AP Step |
|---|---|---|---|
| 1 to 5 | 1 | 0 to 1 | 0.1 |
| 0 to 5 | 0.1 | 0 to 1 | 0.05 |
| 1 to 4 | 0.1 | 0.05 to 0.5 | 0.05 |
| 1.5 to 4 | 0.1 | 0.05 to 0.35 | 0.01 |
| 1 to 4 | 0.5 | 0.01 to 0.5 | 0.01 |
| 1 to 4 | 0.5 | 0.05 to 0.5 | 0.05 |
| Algorithm/Parameters | C45 | C19 | C11 | C5 | C53 |
|---|---|---|---|---|---|
| fl | 2.0 | 3.0 | 2.5 | 3.0 | 2.5 |
| AP | 0.35 | 0.15 | 0.10 | 0.05 | 0.40 |
| Model parameters | |||||
| 0.014 | 0.014 | 0.012 | 0.017 | 0.013 | |
| 0.461 | 0.508 | 0.469 | 0.487 | 0.456 | |
| 1.174 | 1.249 | 1.174 | 1.262 | 1.012 | |
| 0.845 | 1.000 | 0.874 | 1.002 | 0.883 | |
| 0.160 | 0.260 | 0.186 | 0.256 | 0.145 | |
| 9.333 | 8.678 | 9.938 | 7.015 | 8.801 | |
| 0.070 | 0.070 | 0.070 | 0.070 | 0.070 | |
| 0.013 | 0.013 | 11.548 | 7.607 | 10.142 | |
| 0.461 | 0.508 | 0.701 | 0.756 | 0.735 | |
| Computation time, min | 2.53 | 0.67 | 1.03 | 1.42 | 1.89 |
| J | 0.082939 | 0.082972 | 0.082996 | 0.082998 | 0.083004 |
| Algorithm Pair | “Source” | “SS” | “df” | “MS” | “F” | “Prob > F” |
|---|---|---|---|---|---|---|
| C45 vs. | ||||||
| C19 | “Columns” | 3.8730 × 105 | 1 | 3.8730 × 105 | 6.2614 | 0.01518 |
| “Error” | 3.5875 × 104 | 58 | 6.1855 × 106 | - | - | |
| C11 | “Columns” | 6.6368 × 105 | 1 | 6.6368 × 105 | 11.8194 | 0.00109 |
| “Error” | 3.2568 × 104 | 58 | 5.6152 × 106 | - | - | |
| C5 | “Columns” | 7.8010 × 105 | 1 | 7.8010 × 105 | 14.0096 | 4.1957 × 104 |
| “Error” | 3.2296 × 104 | 58 | 5.5683 × 106 | - | - | |
| C53 | “Columns” | 4.6988 × 106 | 1 | 4.6988 × 106 | 0.6519 | 0.42271 |
| “Error” | 4.1803 × 104 | 58 | 7.2074 × 106 | - | - | |
| C19 vs. | ||||||
| C11 | “Columns” | 3.6993 × 106 | 1 | 3.6993 × 106 | 1.1048 | 0.29755 |
| “Error” | 1.9419 × 104 | 58 | 3.3481 × 106 | - | - | |
| C5 | “Columns” | 6.8069 × 106 | 1 | 6.8069 × 106 | 2.0619 | 0.15639 |
| “Error” | 1.9147 × 104 | 58 | 3.3012 × 106 | - | - | |
| C53 | “Columns” | 1.6448 × 105 | 1 | 1.6448 × 105 | 3.3293 | 0.07320 |
| “Error” | 2.8654 × 104 | 58 | 4.9403 × 106 | - | - | |
| C11 vs. | ||||||
| C5 | “Columns” | 4.7009 × 107 | 1 | 4.7009 × 107 | 0.1721 | 0.67975 |
| “Error” | 1.5839 × 104 | 58 | 2.7309 × 106 | - | - | |
| C53 | “Columns” | 3.5748 × 105 | 1 | 3.5748 × 105 | 8.1802 | 0.005877 |
| “Error” | 2.5346 × 104 | 58 | 4.3701 × 106 | - | - | |
| C5 vs. | ||||||
| C53 | “Columns” | 4.4417 × 105 | 1 | 4.4417 × 105 | 10.2742 | 0.002194 |
| “Error” | 2.5074 × 104 | 58 | 4.3232 × 106 | - | - | |
| Algorithm Pair | p-Value | H | STATS12 | |
|---|---|---|---|---|
| zval | ranksum | |||
| C45 vs. | ||||
| C19 | 0.012732 | 1 | 2.4911 | 1084 |
| C11 | 0.001857 | 1 | 3.1121 | 1126 |
| C5 | 3.9881 × 104 | 1 | 3.5408 | 1155 |
| C53 | 0.6204 | 0 | 0.4952 | 949 |
| C19 vs. | ||||
| C11 | 0.3183 | 0 | 0.9979 | 983 |
| C5 | 0.1494 | 0 | 1.4414 | 1013 |
| C53 | 0.0614 | 0 | −1.8702 | 788 |
| C11 vs. | ||||
| C5 | 0.6520 | 0 | 0.4509 | 946 |
| C53 | 0.005084 | 1 | −2.8016 | 725 |
| C5 vs. | ||||
| C53 | 0.002052 | 1 | −3.08255 | 706 |
| C5 | C11 | C19 | C45 | C53 | |
|---|---|---|---|---|---|
| C5 | |||||
| C11 | |||||
| C19 | |||||
| C45 | |||||
| C53 |
| Algorithm | CSA (C45) [This Study] | FA [23] | CS [23] | COA [23] |
|---|---|---|---|---|
| Parameters | Model parameter estimates | |||
| 0.014 | 0.017 | 0.010 | 0.012 | |
| 0.461 | 0.443 | 0.077 | 0.029 | |
| 1.174 | 1.100 | 1.139 | 1.004 | |
| 0.845 | 0.919 | 0.001 | 0.0001 | |
| 0.160 | 0.222 | 0.010 | 12.137 | |
| 9.333 | 10.276 | 0.122 | 5.702 | |
| 0.070 | 0.100 | 19.781 | 24.272 | |
| 0.013 | 8.117 | 13.727 | 11.598 | |
| 0.461 | 0.989 | 2.298 | 7.993 | |
| J | 0.0829 | 0.1075 | 0.0913 | 0.0940 |
Disclaimer/Publisher’s Note: The statements, opinions and data contained in all publications are solely those of the individual author(s) and contributor(s) and not of MDPI and/or the editor(s). MDPI and/or the editor(s) disclaim responsibility for any injury to people or property resulting from any ideas, methods, instructions or products referred to in the content. |
© 2024 by the authors. Licensee MDPI, Basel, Switzerland. This article is an open access article distributed under the terms and conditions of the Creative Commons Attribution (CC BY) license (https://creativecommons.org/licenses/by/4.0/).
Share and Cite
Roeva, O.; Roeva, G.; Chorukova, E. Crow Search Algorithm for Modelling an Anaerobic Digestion Process: Algorithm Parameter Influence. Mathematics 2024, 12, 2317. https://doi.org/10.3390/math12152317
Roeva O, Roeva G, Chorukova E. Crow Search Algorithm for Modelling an Anaerobic Digestion Process: Algorithm Parameter Influence. Mathematics. 2024; 12(15):2317. https://doi.org/10.3390/math12152317
Chicago/Turabian StyleRoeva, Olympia, Gergana Roeva, and Elena Chorukova. 2024. "Crow Search Algorithm for Modelling an Anaerobic Digestion Process: Algorithm Parameter Influence" Mathematics 12, no. 15: 2317. https://doi.org/10.3390/math12152317
APA StyleRoeva, O., Roeva, G., & Chorukova, E. (2024). Crow Search Algorithm for Modelling an Anaerobic Digestion Process: Algorithm Parameter Influence. Mathematics, 12(15), 2317. https://doi.org/10.3390/math12152317

