Next Article in Journal
Concurrent Topology Optimization of Curved-Plate Structures with Double-Sided Stiffeners
Next Article in Special Issue
Assessing Mutual Fund Performance in China: A Sector Weight-Based Approach
Previous Article in Journal
An Improved K-Means Algorithm Based on Contour Similarity
Previous Article in Special Issue
Does Environmental, Social, and Governance (ESG) Performance Improve Financial Institutions’ Efficiency? Evidence from China
 
 
Font Type:
Arial Georgia Verdana
Font Size:
Aa Aa Aa
Line Spacing:
Column Width:
Background:
Article

Colour Choice as a Strategic Instrument in Neuromarketing

by
Andréia C. Müller
1,*,
Jaime Gil-Lafuente
2,* and
Joan Carles Ferrer-Comalat
1,*
1
Department of Business Administration, University of Girona, C. Universitat de Girona 10, 17071 Girona, Spain
2
Department of Business Administration, University of Barcelona, Av. Diagonal 690, 08034 Barcelona, Spain
*
Authors to whom correspondence should be addressed.
Mathematics 2024, 12(14), 2212; https://doi.org/10.3390/math12142212
Submission received: 13 June 2024 / Revised: 10 July 2024 / Accepted: 11 July 2024 / Published: 15 July 2024
(This article belongs to the Special Issue Advances in Financial Mathematics and Risk Management)

Abstract

Social relationships have been and are the basis for achieving objectives of all kinds, whether altruistic or lucrative. Among the aspects that make up non-verbal communication are physical appearance in general, clothing, and, in particular, colour combinations. In this article, we analyse whether colour combinations can be established in individuals’ clothing that maximise their chances of success for a specifically established social objective. To measure this objective, we use multivalent logics, which are characterised by their great flexibility and adaptability. Within the framework of fuzzy logic, we extract evaluations for various colours based on the judgements of experts, provided by recognised authors in the literature, and compare these with the results obtained in a survey conducted by the authors. For the purposes of contrast, we employ two instruments with accredited validity: Similarity by Direct Computation (SDC) and the Technique for Order Performance by Similarity to Ideal Solution (TOPSIS multicriteria method).

1. Introduction

This research aims to encompass two very important areas. On the one hand, colours related to fashion, and on the other, non-verbal language, specifically in the field of social communication. In a globalised world saturated with communication, where the amount of information is constantly expanding, and therefore more volatile, knowing how to communicate with the target audience poses great challenges. Society therefore needs new tools to facilitate and accelerate decision-making, increasing the possibilities of success in each situation [1].
In this work, we aim to demonstrate that an important means of communicating, namely through colours, with their symbolic, psychological, and cultural associations, is often ignored.
We will also discuss some aspects of communication and interpersonal relationships, as well as the active elements of the communicative process and verbal and non-verbal language, with greater emphasis on the latter due to its crucial role in the context of a party or social event. In fact, it is widely known that semiotics is key to communication through the study of symbology [2]. Finally, we will also analyse fashion and clothing as an active part of communication.
From a methodological point of view, the framework we use to measure the attainment of our objective will be based on multivalent logic [3]. By calculating distances as part of this process, it will be possible to analyse which clothing colours may have more relevance in influencing people than others.
This study presents several novel aspects that contribute to the understanding of the influence of colour on social relationships and how these perceptions vary by gender and social behaviours.
Integration of Subjective Perceptions and Quantitative Data: Unlike previous studies that have primarily focused on qualitative analysis or aesthetic theories, this study combines quantitative data obtained through a structured survey. The use of precise metrics and statistical analysis provides more objective and generalisable results on colour perceptions.
Gender-Differentiated Analysis: The study highlights the differences and similarities in colour perception between men and women. This differentiation is crucial for understanding how gender norms and expectations influence the perception and use of colour in social contexts. This approach allows for more effective and personalised strategies in areas such as marketing, fashion, and social psychology.
Contextualisation in Specific Social Behaviours: By correlating colour preferences with specific social activities and frequented places, the study offers a deeper insight into how social context influences clothing choices. This approach helps identify behavioural patterns useful for designing specific interventions and improving social interaction.
Methodology for Evaluating Ideal Profiles: The application of methods such as Hamming distance and TOPSIS to assess ideal characteristics in social relationships based on clothing colour is a methodological innovation. These techniques allow for a more precise and nuanced evaluation of preferences and perceptions, adding scientific rigour that enriches the validity of the results.
Results Applicable to Various Fields: The findings of this study have practical applications in multiple fields, for example, designing marketing and advertising campaigns, in the fashion industry, and in improving social dynamics at events and public spaces. By identifying colours that facilitate or hinder social interactions, organisations can optimise their strategies to foster positive relationships.

2. Conceptual Framework

2.1. Background

Theories regarding colour have been formulated since ancient times. Plato (428–347 BC) stated that a colour is a “sensation formed by the union between the flames emanating from bodies and the fire of sight”. Aristotle (384–323 BC), on the other hand, treated colour as “a property of bodies” [4], positing that colours are generated from the interaction of white light with darkness, as this causes the weakening of the former. According to this philosopher, there are seven primordial colours, including black and white. Pedrosa [5] highlighted the humanist, poet, mathematician, architect, and painter León Battista Alberti (1404–1472) as one of the forerunners in the study of colour. Alberti initially determined the colours red (the colour of fire), green (the colour of water), blue (the colour of the sky), and grey (the colour of the earth) as the basic colours that give rise to all others. He later stated that, being a mixture of black and white, grey is not a colour in itself, since all colours contain some grey.
However, we would have to wait for Leonardo da Vinci (1452–1519) and the theory of colours presented in his “Treaty of painting” [5] for a hypothesis on how white light is composed, with the conclusion that it has a receptive power for all colours. For da Vinci, the basic colours were yellow, blue and red. Therefore, his simple colours are what make up the two primary triads of light colours and pigment colours. Shortly thereafter, Galileo Galilei (1564–1642) stated that “sensations do not exist outside the human senses”, while René Descartes (1596–1650) also defined colour as a sensation. In 1704, relying on the concepts proposed in Johannes Kepler’s dioptric (1571–1630) and possibly inspired by the circular drawings of da Vinci, which decomposed white light into seven main colours, Isaac Newton (1642–1727) posited a new, far more technical definition of colour, namely as the combination of the rays absorbed and reflected by bodies on a certain illumination [5].
In his study of 1810, the thinker and poet Johann Wolfang Von Goethe (1749–1832) was the first to explain the issue of complementary colours and chromatic shadows [5]. Unlike Newton, Goethe defended the uniformity of white light, stating that it has to be mixed with dark, through all means, for colours to be obtained. For him, the primary triad of light colours is formed by green, red, and violet.
According to Roy Lichtenstein (1923–1997), Goethe distinguished between the qualitative sphere (of perceived colour and sensation) and the quantitative sphere (of the luminous phenomenon, the degree of heat of which can be calculated). Just as for Newton, who believed all colour to be an effect of compound lights, for Goethe, colour has to be determined from the empirical viewpoint, that is, from the point of view of sensations in their psychological, philosophical, and aesthetic reality [5].
In 1859, James Clerk Maxwell (1831–1879), one of the founders of the Tri-chromatic Theory [5], first used the method of physical colour selection to reproduce an image coloured by additive synthesis through photographs with three colour filters: red, green, and blue. The graphic industry of the 20th century, including colour photography, cinema, and television, developed out of this principle, which was the precursor to the current stage of virtuality.
Nowadays, we understand colour as a light wave that is treated as it passes through our eyes and reaches our brain before producing a visual sensation [6]. Waves with the capacity to stimulate our retina are those that have wavelengths between 400 and 800 nm (nanometers). Rays above 800 nm are called infrared, while those below 400 nm are ultraviolet. Each electromagnetic wave oscillation of a different length is perceived as a different colour, and our bodies exert a selective action on light rays, absorbing or reflecting them.

2.2. Semiotic Framework

Colours produce effects that influence people both physically and psychologically, generating joy or sadness, euphoria or depression, heat or cold, etc. According to Farina [6], as well as being widely related to feelings, colour is influenced by culture and adds symbolic meanings. It triggers a triple reaction in individuals: it impresses the retina when seen, it expresses something, provoking emotion and sensations, and it also builds its own language to communicate a certain idea by adding its own meanings and adopting the status of symbol [7]. Thus, the process of colour perception implies an awareness of reality and presupposes a cultural and historical background. Perception is based on the values that form our culture and are learned throughout our lives, establishing in each of us a specific way of seeing, which can be called “an ideology of looking”.
Human beings are in permanent communication, even without being aware of it. Through their clothes, their way of acting, their tone of voice, a gesture, a smile, and through verbal and non-verbal communication, human beings are always transmitting messages to their fellow human beings. This constant presence of the phenomena of communication that surround them means human beings are always in the role of transmitters and receivers, which in turn makes communication a continuous and permanent process. Since it is an interactive process, the way in which humans communicate depends on the learning that takes place through the people with whom we live and who provide us with a certain language.
By assimilating what we learn into our personalities, we think and communicate according to the communication experience shared with our closest surroundings. Thus, within all of these, communications have values, principles, and attitudes that are rooted in both previous and current experiences, and from these, correlations that arise from people’s behaviour and how they adapt to different situations. We can therefore state that the communication process is based on the characteristics and needs of each individual human being and relates to their personal experience of communication [8].
Semiotics emerges as a theoretical and autonomous approach that views the communicative act as a process of meaning and not only as a linear phenomenon of transmission, as was recognised in its classic design. Various studies [2] have adopted the point of view of symbolic and semiotic interaction in an attempt to generate models aimed at analysing communicative interactions that intrinsically present the complexity of communication. According to this view, communication theory asserts that meanings are not the property of words but of individuals who form part of a basic social process composed of continuous social interactions. Their function is to transmit meaning between people, to integrate individuals into the social organisation in which the individual establishes communication in search of a response in another individual, and to thus transmit a stimulus that seeks to promote a change in the receiver.
For communication to occur effectively, it is necessary that the symbols have a common meaning for the people involved in the process—sender and recipient—whose understanding will consequently depend on the distribution of meanings. Communication is a broad exchange of meaning through symbols: all messages say something in common to both sender and receiver. Symbolic processes are therefore meaning processes [9]. Communication as a strategic tool requires an effective system and the construction of channels to motivate and allow the emergence of spontaneous initiatives and the existence of effective communication [10].
In communication processes, it is of vital importance to take into account what meaning is given to various aspects such as posture, gesture, tone of voice, colours, and clothing, among others, and identify the importance given to each one of the meanings. This allows the people who are communicating to react to the same stimuli, even though the transmitted message may be received differently.
Non-verbal language allows a greater and better understanding of the real feelings and thoughts of others through a system of personal signs and symbols. That is, non-verbal language is a potential and possible promoter of interpersonal communication, facilitating its effective occurrence or not. “Often, non-verbal language, which accompanies verbal language, offers a deeper and truer meaning than the latter” [11].
Posture, dress, and tone of voice—the way in which words are delivered—give specific and different meanings to non-verbal communication, providing greater knowledge of the value and importance of messages for all interested parties in the communication process. For example, Santaella [2] established that human groups have always resorted to verbal and non-verbal modes of expression, covering a wide variety of languages that constitute the social and historical systems represented in the world. This range of languages can be illustrated by the drawings in the Lascaux caves, the rituals of primitive tribes, Western dances and music since the times of the Greeks, and even hieroglyphs—pictograms constituting different forms of articulate alphabetical language that resemble design.
Within all of the above, we must bear in mind that, unconsciously, human beings are always communicating. The sign is the basis of the communication system. Therefore, the importance of semiotics allows us to study any sign system, regardless of its substance or limitations, such as images, gestures, objects, rituals, protocols, performance, and the use of space. These will become constituents of a language or not, depending on the links that unite the two axes structuring the language: the paradigmatic axis and the syntagmatic axis [12,13].
Human communication is an interindividual, internal–external, and individual–collective phenomenon. It is understandable when the encoding and decoding of symbolic language occurs, and it is sensitive since the interpretation of the code allows for many meanings. Therefore, the choice of a social act and context is part of the communicative process and must be analysed and understood.

2.3. Fashion as Communication

Taking into account the context that we refer to here, on a symbolic basis, we can consider that the clothes we wear are capable of altering the way in which we interact with the rest of the world because they determine the way in which others see us, just as they condition what we think about ourselves [14]. The notion that consumer goods have symbolic value helps us understand the concept of fashion. As a social symbol, our way of dressing varies depending on changes in the structure and general state of society. Fashion “is the result of cultural factors, conditioned over time by the living thought of society, its myths and its intellectual production” [15].
Fashion can be considered a form of symbolic expression [16], a social identity, socialisation, culture, status, age, profession or social role, personality, humour, and communication style [17]. Even when they do not follow fashion, people are communicating something about themselves, since this in itself is a sign, indicating that they have opinions and beliefs through which they accept or say no to certain established norms.
By way of example, the diffusion of an image of an attractive model indicates that the style has a symbolic meaning, such as the differentiation of class and prestige. These meanings are commonly communicated through visual and non-verbal language [18].

2.4. An Appropriate Logical Framework

The principles of fuzzy logic were first developed by Jan Lukasiewicz (1878–1956), who, in 1920, used sets to introduce the degree of relevance that combines the concepts of classical logic. The latter was developed by Aristotle and served as the basis for Lotfi A. Zadeh, professor of Computer Science at the University of California, to posit the concept of fuzzy sets for the first time in the 1960s [19]. Unlike Boolean logic, which only accepts true or false values, fuzzy logic admits values in the continuous interval [0, 1]. Therefore, a value of 0.5 may represent half-truth, while 0.9 and 0.1 represent almost true and almost false, respectively.
This was first applied to business management in the late seventies by the engineer Arnold Kaufmann and economist Jaime Gil Aluja [20]. These authors would go on to reformulate decision-making in the economic and financial sciences by incorporating the Principle of Gradual Simultaneity, according to which a proposition is both true and false as long as it is granted a degree of truth and a degree of falsehood [21].
In addition to the flexibility it provides as a tool for fuzzy logic, it is capable of capturing information gaps generally described in natural language and converting vague or imprecise logical propositions, or those formulated under uncertainty, into a numerical and easy-to-handle format, as in the case we address here, which is based on the measurement of perceptions. We therefore deem it a suitable universe for the treatment of colour choice as a strategy, since there can be no doubt that the subjectivity and uncertainty inherent in statements in this field rule out Boolean logic.
As usually occurs in marketing in the field of uncertainty, to assess perceptions in this work, we have used an endecadery scale of 11 possibilities, equidistributed between 0 and 1 [3].

3. Methodology

Given the theoretical foundations described above regarding the importance of colour, its general aspects, symbolism, and what it communicates, and adding a series of described characteristics, a review of the literature was performed, and then a table was compiled to establish a relationship between those colours that appear most frequently and a series of specific characteristics and concepts in the analysed works cited in Table 1. From the specific analysis of each colour based on the expert judgement obtained from the review of the literature provided in Table 1, another table was compiled (Table 2) to reveal the degree to which each colour can express a certain characteristic.
A total of 10 colours were selected: red, orange, yellow, green, blue, indigo, violet, white, black, and grey, establishing each colour’s degree of belonging or truth to each characteristic. An endecadery scale was used for this, in the interval [0, 1], assuming that 0 represents the absence of the characteristic in the colour and 1 represents the full intensity of the characteristic in the colour. For example, 0.9 in competitiveness for the colour red means that it represents the characteristic of competitiveness to a great degree, while 0.1 for yellow means that it incites little competitiveness.
The colour matrix (Table 2) provides a numerical descriptor of the characteristics of the colours following the data provided by the bibliography in Table 1, where the data contained in the descriptions described by each author in each respective work have been considered to award the degree of compliance with each of the 45 characteristics reported by the experts for each of the 10 colours considered.
As already mentioned, this matrix has been structured using an endecadery scale in the numerical interval from 0 to 1, where 0 represents the lowest intensity of the characteristic present in the colour considered in the literature review and 1 represents the full intensity of the characteristic present in the colour considered in the literature review. In our case, the weighting of the characteristics was considered the same for each of the six experts analysed.
For decision-making purposes, two measures of similarity to an ideal solution were used based on distance.
(a)
In the first, which we shall call SDC, Similarity by Direct Computation, a direct measurement is made based on the complementarity of the normalised distance to an ideal solution [3,25].
(b)
In the second, known as TOPSIS, the Technique for Order Performance by Similarity to the Ideal Solution [26], a similarity index is defined that combines the proximity to an ideal solution and the distance from an anti-ideal solution. The idea is that an alternative selected from the point of view of its shortest distance from the ideal solution competes with alternatives that are as far away as possible from the anti-ideal solution.
Generally speaking, sorting by means of SDC and TOPSIS is not the same. When working with a large number of data, there can be no doubt that the computational complexity of SDC is less than that of TOPSIS, although having a single reference solution makes the ordering less robust.

3.1. Similarity to SDC

Once the above information is known, we are ready to enter the last phase of the process, which is mainly technical in nature. This entails establishing an order of priority between the colours present in the colour matrix and the objective profile of the interviewees obtained by applying the survey and knowing which colour should be given preferential attention to achieve success in social relationships and which colours occupy the second, third, and successive places.
From among the various instruments offered by modern operational management techniques, we have first chosen one based on the notion of “distance”. This concept provides a certain way of expressing the degree of “remoteness” between two physical or mental objects. In this case, it will reflect the distance between the ideal profile and the profile of each member of the group of individuals comprising the study.
Of the most used distances, the Hamming and Euclidean distances are the most commonly mentioned, together with the Minkowski distance, which provides a general framework for the former. For reasons of operational simplicity, in this work, we use the normalised Hamming distance.
Given two discrete fuzzy subsets A ,   ~   B ,   ~ with the form A ~ = a 1 , a 2 , , a n , B ~ = b 1 , b 2 , , b n , contained in a universe of “n” characteristics, the Minkowski distance is defined as follows:
d A , ~ B ~ = i = 1 n | a i b i | p 1 / p   p N
In order to establish comparisons, it is customary to use the so-called normalised Minkowski distance, for which it is enough to divide the absolute distance by the number of characteristics:
δ A , ~ B ~ = 1 n d A , ~ B ~ = 1 n i = 1 n | a i b i | p 1 / p [ 0 ,   1 ] .
If we consider a vector of weights w = ( w 1 , w 2 , , w n ) with w i 0 , 1 y w 1 + + w n = 1, then we can define the weighted normalised Minkowski distance as follows:
δ w A , ~ B ~ = i = 1 n | w i · ( a i b i ) | p 1 / p [ 0 , 1 ] .
Obviously, if w i = 1 n ,   1 i n , then δ A , ~ B ~ = δ w A , ~ B ~ .
Using the distances given in (2) and (3), we can establish a ranking that simplifies decision-making regarding which colours are most recommended to achieve specific objectives in specific social contexts.
Given a normalised distance between two fuzzy numbers, δ w A , ~ B ~ , in accordance with that posited by Zeng and Guo [27], a similarity measure is constructed between A ~ and B ~ by Acuña-Soto et al. [28]:
S i m A , ~ B ~ = 1 δ w A , ~ B ~ [ 0 ,   1 ] .
In this work, for simplicity, we will work with p = 1 (Hamming’s distance) and p = 2 (Euclidean distance).

3.2. The TOPSIS Method

Now we adopt a multi-criteria approach to the ranking. Specifically, the method known as Technique for Order Performance by Similarity to the Ideal Solution (TOPSIS) is used. As in most classic multi-criteria decision models, the precise ratings and weightings of each criterion are known [26]. With TOPSIS, the technique for ordering the criteria by similarity to the ideal solution is based on the concept that the alternative to be chosen must have the shortest distance from the positive ideal solution and the furthest from the anti-ideal or “negative” solution.
The choice of TOPSIS is based on three aspects: (a) computational simplicity, (b) the ease with which decision makers can explain and interpret each of the steps, and (c) the widespread use of the method [28,29]. However, this does not mean that it is the only applicable multicriteria decision method [30], let alone the most current one. For example, much more recent methods, such as ESP-COMET [31] or SPOTIS [32], allow successful handling of the imprecision in the different parameters that appear in the decision-making. In this regard, the systematic review of methods and their sensitivity analysis recently completed by Więckowski and Sałabun in [33] is very useful.
In any case, as our objective does not go beyond showing one of the ways of incorporating colour choice into neuromarketing, we will only refer to the TOPSIS method, the steps of which are summarised below.
Step 1. 
There is a decision (or evaluation) matrix consisting of n alternatives (rows) and m criteria (columns).
Step 2. 
The normalised decision matrix is constructed.
Step 3. 
A relative weighting is assigned to each criterion, and, based on the decision matrix, the weighted normalised matrix is constructed.
Step 4. 
The positive ideal (ideal) A + and negative ideal (anti-ideal) A solutions are determined.
Step 5. 
The relative distance of each alternative to the ideal solution D i + and the anti-ideal solution D i are calculated.
Step 6. 
The relative proximity of each alternative to the ideal solution is calculated using the quotient R i = D i D i + D i + ,   1 i n .
Step 7. 
The alternatives are ordered according to the value of the indicator R i ,   1 i n .
By construction, R i [ 0,1 ] . If R i = 0 , meaning that the ith-alternative is the anti-ideal, while if R i = 1 , then the ith-alternative is the ideal solution. Therefore, the higher the value of R i , the closer the alternative is to the ideal. This allows us to order the alternatives as expressed in the following definition:
Definition 1. 
Given the alternatives  A i i = 1 n  and the relative proximities  R i i = 1 n , we can state that
A i   i s   b e t t e r   t h a n   A j   ( A i A j )     R i R j
In our case, we have ten alternatives, which are the colours expressed in Table 3 and the 45 criteria expressed in Table 2.
A condition to be able to apply TOPSIS is that the criteria are monotonically increasing or decreasing [26]. However, this is not the case here; as Table 2 shows, the criteria do not reach either the maximum or minimum optimal point. For this reason, following Cables et al. [29] and Parada et al. [34], we have not used the assessment matrix but the similarity with predetermined ideals, or in other words, 1 minus the distance from the ideal. Furthermore, as noted in Acuña-Soto [28], when operating in this way, all criteria are transformed into criteria to be maximised (the similarity with the ideal is maximised).
Given the above conditions, the steps to be carried out for TOPSIS are as follows:
Step 1. 
The following decision matrix is taken x i j ,   1 i 10 ,   1 j 45   ( transposed Table 2), where each row represents a colour and each column a criterion.
Step 2. 
The normalised decision matrix is constructed
t i j ,   t i j 0,1 ,   1 i 10 ,   1 j 45 ,
where t i j = 1 x i j ,   1 i 10 ,   1 j 45 .
Step 3. 
Given a weight vector = w 1 , , w m R m ,   w j 0,1 ,   j = 1 m w j = 1 , the normalised weighted matrix is constructed
r i j , r i j = w j   t i j , 1 i n , 1 j m .
Step 4. 
The positive (ideal) A + = ( r 1 + , , r 45 + ) and negative (anti-ideal) ideal solutions A = ( r 1 , , r 45 ) are determined, whereby
r j + = m a x 1 i 10   r i j r j = m i n 1 i 10   r i j 1 j 45 .
Step 5. 
The relative Euclidean distance of each alternative to the ideal solution D i + and to the anti-ideal solution D i is calculated, as follows:
D i + = j = 1 45 ( r i j r j + ) 2 ,   D i = j = 1 45 ( r i j r j ) 2 ,   1 i 10 .
Step 6. 
The relative proximity of each alternative to the ideal solution is calculated using the quotient
R i = D i D i + D i + ,   1 i 10 .
Step 7. 
The alternatives are ordered according to the value of the indicator R i ,   1 i 10 .

4. Description of the Experiment

In order to obtain an applicable colour model that faithfully reflects individuals’ subjective judgements, a quantitative methodology survey was carried out to establish the ideal profile of characteristics that people view in others as presenting a good level of social relationship. A random sample of 60 people from the city of Barcelona was selected to establish the degree of each characteristic that can be valued in a person. The interviews were carried out in person between 30 May and 10 June 2023.
The following profiles were obtained from the studied sample: 45% of the interviewees were male and 55% male; all resided in the metropolitan area of Barcelona. Of the women, 64% were aged between 20 and 40, while 67% of the men were in the same age group. All interviewees reported attending social events, with 61% of the women stating that they went out every weekend, compared to 58% of the men. Also, 43% of the women responded that the types of places they most frequented were bars, restaurants, and terraces, compared to 56% of the men. With regard to the genders that they most related to, the majority response for the women was 52% with other women, while 48% of the men stated that they related to both genders. According to 79% of the women, the main objective when it came to relationships was friendship, the same being true of the men, but with a lower percentage of 56%.
From the selected sample, 76% of the women interviewed believed that the colours people use in their clothing can influence their relationships in some way, while the largest group among the men, 56%, believed that the colours that people use in their clothing do not have any influence on their relationships.
The following results were extracted from the survey data with regard to the degree to which the 60 interviewees appreciate the characteristics of a person with whom they wish to relate after applying the mean approximated to the first decimal figure of appreciated characteristics. These data will help us determine which colours most strongly represent the ideal profile people wish to represent (Table 4).

4.1. Results with Equally Weighted Criteria

The results shown in Table 5 were obtained after taking into account the survey data when calculating the normalised Hamming distance between the data obtained by the experts in Table 2 and the data obtained from the survey, separating by gender. These results indicate the distance each colour represents from the ideal profile, differentiated by gender.
If we order the colours from the shortest to the greatest distance from what they represent with respect to the ideal profile obtained from the survey, we obtain the data in Table 6.
We observe that the orders of the colours differ by gender, although the colours that are closest to the ideal profile for both women and men are green and blue. On the other hand, those that display the greatest distances in both cases are violet and grey.
Now we shall resolve the problem using TOPSIS considering equal weightings, as explained in Section 3.2. The results obtained using this method are presented in Table 7.
From Table 7, ordering the ranking of colours by distance, we present the results in Table 8.
We observe in this case that the colour ranking is almost identical between women and men, with green and blue again being the colours that best define the ideal profile established by the survey, and grey and violet also being the colours that are furthest away from the ideal profile. The ranking is practically identical, except for the order of yellow and orange.
We also observe that, if we represent the values obtained using the Hamming distance and TOPSIS in graphic form (Figure 1), they follow a very similar distribution.
However, in the following subsection, we will see that the TOPSIS method displayed greater sensitivity to the variation in the weightings of the criteria.

4.2. Results for Criteria with Different Weightings

Now we will assume that women and men attach different relative importance to the criteria. For women, we continue to assume the same weighting for all criteria, and for men, we assume the following weightings: w5 = w10 = 0.05 (elegance and self-confidence), w21 = w23 = w27 = w34 = 0.04 (happiness, beauty, friendliness, and calmness), w7 = w28 = 0 (fear and luxury), whilst we award the others a weighting of 0.02.
Table 9 and Table 10 show the results using the weighted Hamming distance and TOPSIS with different weightings, respectively.
Figure 2 shows the values obtained using both methods. We observe that the TOPSIS method presents greater sensitivity to the variation in the data.
The results of the survey provide valuable insights into how perceptions of clothing colour vary by gender and social behaviours. In particular, differences in beliefs about the influence of colours (76% of women versus 56% of men) are related to various aspects of social behaviour, weekend activities, and socialising spaces.
Colour Perception and Gender: According to the survey, women are more likely to believe that clothing colours influence their social relationships (76%) compared to men (56%). This difference may be rooted in gender norms and expectations that place greater emphasis on women’s appearance and personal presentation.
Influence of Colours in Social Context: The fact that a higher percentage of women perceive colour influence suggests they may be more aware of appearance details and use clothing colour strategically to influence social interactions. This demonstrates how colours can be used to express emotions, moods, and personal traits that facilitate relationship formation.
Weekend Activities and Social Places: The survey indicates that both men and women actively participate in social events on weekends (61% of women and 58% of men). However, women tend to visit bars, restaurants, and terraces less frequently (43%) compared to men (56%).
Goals of Social Relationships: For both genders, the primary goal of social relationships is friendship, though this goal is more pronounced in women (79%) than in men (56%). This difference in motivation for socialising may influence how colours are used to attract or maintain friendships.
Colour as a Communication Tool: For women, colours can serve as a tool to communicate specific messages in social contexts. Colour choice may be related to the intention to stand out in a particular social setting, such as a bar or terrace, where appearance can be crucial in initial interactions.
Differential Colour Perceptions: The lower perception among men regarding the influence of colours may indicate less attention or importance given to appearance as a tool for social relationships. This may reflect social norms that allow men to be more neutral in their dress without significantly affecting their social interactions.
In summary, the survey results reveal that perceptions of clothing colour and its influence on social relationships vary significantly by gender. Women tend to attach more importance to colour as an influential factor in their social interactions, which may be linked to social norms and expectations regarding appearance. These findings underscore the importance of considering gender differences in studies of colour perception and social behaviour and how these differences, though seemingly small, can influence relationship dynamics and communication strategies in various social contexts.
On the other hand, as is well known, the application of any multi-criteria decision-making method that takes weights into account is a highly controversial topic, since the choice of weights can be decisive in the decision [33,35,36,37]. For this reason, in the next section, we present a way to perform a sensitivity analysis for the TOPSIS method. This is a recent proposal by Liern and Pérez-Gladish [35], which has been successfully used in various scenarios [36,37] and implemented in the R environment and programming language, using in our case R free for Windows v3.4.0 [38], allowing any reader to use the method.

5. Sensitivity Analysis

In the classical TOPSIS method, as presented in Section 3.2, the weights of the criteria can be considered as variables that take values in an interval, and the relative proximity of each alternative can be obtained as an interval. This interval is formed by the worst and best proximity options for each alternative [35]. This method, called unweighted TOPSIS (UW-TOPSIS), can be expressed with the following steps [36]:
Step 1. 
We start from the normalised matrix given in (6), i.e., t i j ,   1 i n ,   1 j m .
Step 2. 
We build the ideal solution, A + = t 1 + , , t m + , and anti-ideal, A = ( t 1 , , t m ) .
Step 3. 
We consider the set of all possible weights,
Ω = w = w 1 , , w m R m ,   w j 0,1 , j = 1 m w j = 1 ,   l j w j u j ,   1 j m   .
We define the distances D i + , D i + : Ω 0,1 , 1 i n ,   as follows:
D i + w = j = 1 m ( w j t i j w j t j + ) 2 ,   D i w = j = 1 m ( w j t i j w j t j ) 2 ,   1 i n .
Step 4. 
We calculate the relative proximity of each alternative to the ideal solution (for each vector of weights):
R i w = D i w D i + w + D i w ,   1 i n .
Step 5. 
For each alternative, we calculate the interval formed by its best and worst relative proximity.
R i I = R i min ,   R i m a x   = min w Ω R i w ,   max w Ω R i w ,   1 i n .
Step 6. 
We order the intervals: R 1 I , R 2 I , , R n I .
To order the intervals R i I ,   1 i n , it is usual to select a real number, R i * ,   1 i n , to represent the interval and order the real numbers [36,37]. According to Liern and Pérez-Gladish [35] and López-García et al. [38], R i * can be selected as follows:
R i * = ( 1 α ) R i min + α R i m a x ,   1 i n ,   where   α   is   a   constant   in   [ 0 ,   1 ]
And it is considered that
R i I R k I   if   and   only   if   R i * R k * .
From (15), we have solved the problem of ordering the alternatives, but it is not easy for the decision-maker to know with which weights (even if only approximately) this ordering is obtained. To facilitate this question, in [38], the “decision weights” are defined as the vector w that is the solution of the following root-mean-squared error (RMSE) problem:
M i n 1 n i = 1 n D i w D i + w + D i w R i * 2 ,   w Ω   ,  
where R i *   are the values given in (14). With this approximation, we have some weights w * Ω for the ordering given in (15).

5.1. Application to the Experimental Data

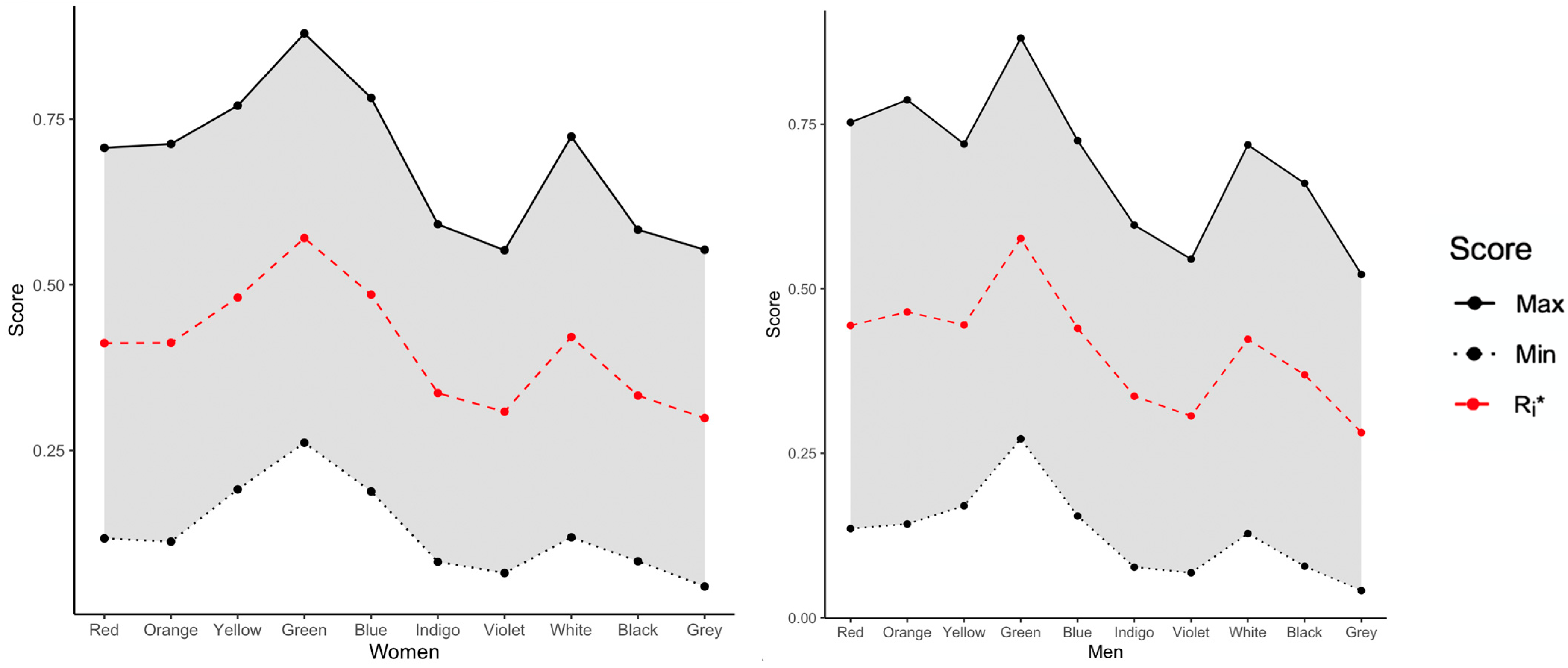
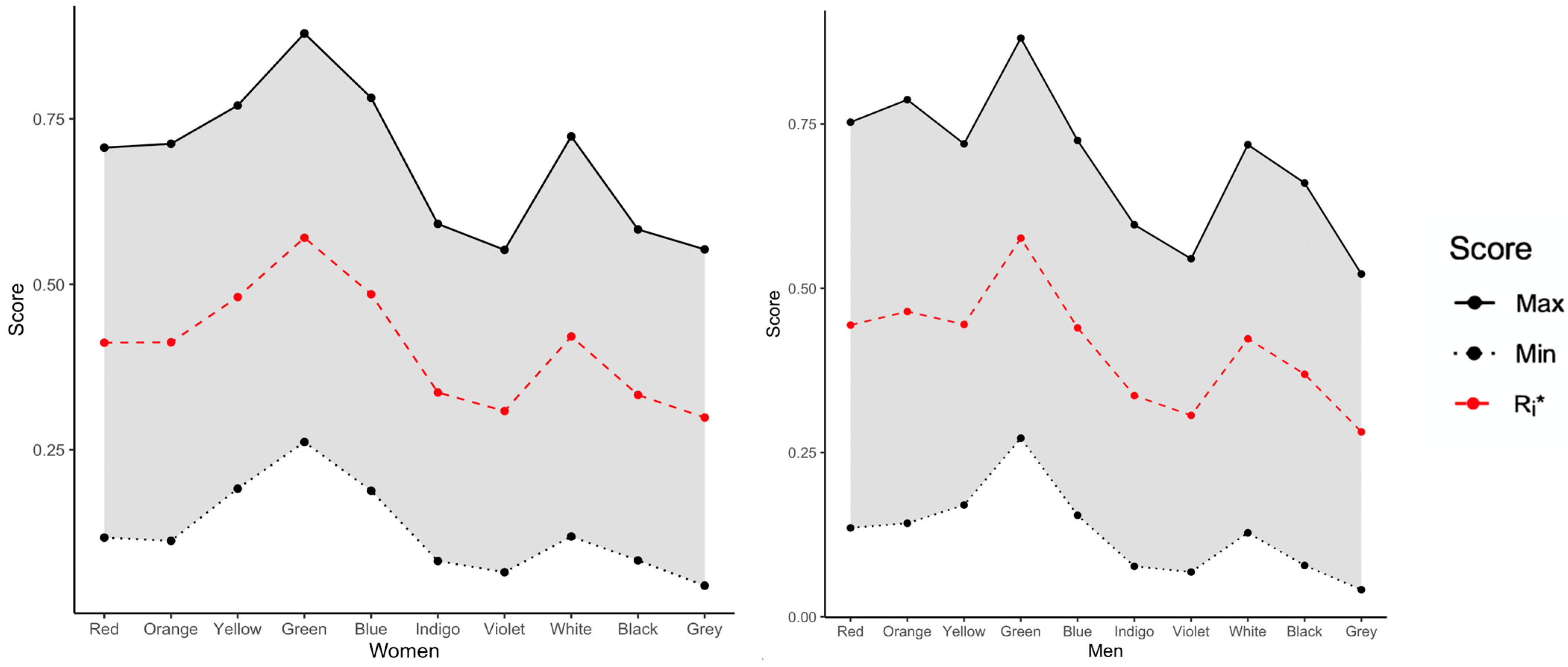
Given the decision matrix from the experiment described in Section 4 (see Table 2), we will apply the UW-TOPSIS method to the data for women and men, assuming that all weights are between 0.01 and 0.1,   l j w j u j ,   1 j 45 . The idea is that all features contribute something (even if only 1%) and that none of them exceed 10%, so that the most important part of the decision does not fall on too few characteristics.
In Table 11, we express the intervals, the value of R i * , and the ordering of the colours according to women and men.
Figure 3 shows (in the red line) the difference between the rankings obtained for women and men.
If we calculate Spearman’s coefficient [32] for the two rankings expressed in Table 11, we obtain ρ = 0.8303 . This high association indicates that the rankings obtained are similar. However, despite this similarity, in the following subsection, we will analyse whether the weight given to the characteristics is similar for men and women.

5.2. Decisional Weights

With the results of R i * , expressed in column 4 (respectively, 7) in Table 11, we calculate the weights that women (respectively, man) assign to each characteristic by means of the expression (16).
In Table 12, we show the decisional weights assigned to the 15 characteristics most highly rated by women and men.
It is enough to look at Table 12 to see that women and men do not attach the same importance to the characteristics analysed in the colours. For example, adventure is valued almost 60% more highly by women than by men. If we calculate the Spearman’s rank coefficient for the two rankings of all weights (the first 15 are shown in Table 12), we obtain ρ = 0.1913. Therefore, the rankings have a low degree of similarity (ρ is far from 1), and as noted, this means that the characteristics have very different valuations for women and men.

6. Conclusions

  • The present research is classified as an empirical study that aims to show that the choice of colour in clothing is a necessary aspect of influencing success in social relationships. It is part of a neuromarketing study applied to researching and analysing colours. To this end, a bibliographic review was carried out regarding the importance of colour in the field of marketing according to the opinions of various authors, both classic and more recent.
  • With the above objective in mind, the sensations caused by a certain colour from a range of 10 colours selected on the basis of a series of evaluated characteristics have been analysed through a study of the bibliography relating to experts in colours. The results are shown in Table 2 of this article.
  • The ideal profile of characteristics that people wish to transmit was defined by means of a survey of a group of 60 people (33 female and 27 male) carried out in the city of Barcelona. The results of this are shown in Table 4.
  • Two methods have been presented for establishing the distance of each of the chosen colours from the ideal profile of characteristics obtained in the survey. One is the SDC (Similarity by Direct Computation) method, which is based on the Hamming distance and easy to implement, and the other is the more robust multicriteria method TOPSIS (Technique for Order Performance by Similarity to the Ideal Solution), established by Hwang and Yoon.
  • After differentiating between the perceptions of women and men in both cases and using both methods, it was determined that the colours best encompassing their perception of the ideal profile are green and blue. On the other hand, the values that are furthest from the perception of the ideal profile are violet and grey.
  • Despite obtaining similar results with both methods, a more detailed analysis of the results revealed the TOPSIS method to be more robust, since it is more sensitive to the change in weightings given to each of the characteristics, while also displaying greater sensitivity to variation in the data.
  • The combination of quantitative survey data with subjective assessments using fuzzy logic allows us to capture a sense of how colours influence social relations. The consistency in colour preferences and the differences in the perception of their influence on social relations between genders reflect the study’s capacity for subjective assessments using fuzzy logic.
  • The use of multivalent logic and fuzzy logic allows for a detailed and more nuanced assessment of colour perceptions and preferences, providing a solid basis for practical applications in marketing, fashion, and social design. The ability to handle both variability and uncertainty in perceptions makes these approaches particularly useful in studies of perception and social behaviour.
  • The high preference for green and blue colours may be related to the nature of the social events frequented. For example, these colours may be perceived as appropriate for places such as bars and terraces, where social interactions are frequent and an attractive and friendly appearance is valued. Differences in weekend activities and preferred social locations between men and women may influence how these colours are perceived in different social contexts, although the preference for these specific colours remains constant. The almost identical perception of green and blue as the most favoured colours and grey and violet as the least preferred among men and women suggests that there is a common basis in how these colours are valued in social contexts. Although, according to the survey results analysed, women tend to believe more in the influence of colours in social relations, both genders agree on colour preferences, indicating a shared cultural and aesthetic influence. These findings reinforce the importance of considering colour perceptions when analysing social behaviours and dress strategies, and how these perceptions can be used to improve social interactions and visual communication.
  • As a limitation of this study, it is worth noting that it was limited to the use of the 10 basic colours most frequently found in scientific marketing studies on colour, as detected from an exhaustive study of the bibliography. Another limiting factor of the study is that we have not analysed the combination of different types of colours and therefore do not know how the characteristics may be best expressed through combinations of colours. Future research might develop a more complex survey to create a matrix that takes such colour combinations into account. Finally, as is common in many marketing studies, it must also be taken into account that the study is limited by the geographical context in which it was carried out. It could yield differing results in different cultures, geographical areas, and time periods, given that fashion is commonly seasonal in nature. These issues should also be considered in future studies that continue this work.

Author Contributions

Conceptualisation, A.C.M.; methodology, A.C.M., J.G.-L. and J.C.F.-C.; validation, A.C.M.; formal analysis, J.G.-L. and J.C.F.-C.; investigation, A.C.M.; resources, A.C.M.; data curation, A.C.M. and J.C.F.-C.; writing—original draft preparation, A.C.M.; writing—review and editing, A.C.M., J.G.-L. and J.C.F.-C.; supervision, J.G.-L. and J.C.F.-C. All authors have read and agreed to the published version of the manuscript.

Funding

This research received no external funding.

Data Availability Statement

The originals contributions presented in the study are included in the article, further inquiries can be directed to the authors.

Acknowledgments

The authors would like to thank Vicente Liern Carrión for his valuable collaboration in supervising the methodology used and in his rigorous review of this paper.

Conflicts of Interest

The authors declare no conflicts of interest.

References

  1. Strunck, G.L. Identidade Visual: A Direção do Olhar; Europa Emp. Graf. Editora: Rio de Janeiro, Brazil, 1989. [Google Scholar]
  2. Santaella, L. O Que é Semiótica? Editora Brasiliense: São Paulo, Brazil, 1983; Volume 1, 136p. [Google Scholar]
  3. Gil-Lafuente, J. Marketing Para el Nuevo Milenio. Nuevas Técnicas para la Gestión Comercial en la Incertidumbre; Ediciones Pirámide: Madrid, Spain, 1997. [Google Scholar]
  4. Guimarães, L.A. Cor Como Informação: A Construção Biofísica, Lingüística e Cultural da Simbologia das Cores; Annablume: São Paulo, Brazil, 2000. [Google Scholar]
  5. Pedrosa, I. Da Cor à Cor Inexistente; Editora Senac: São Paulo, Brazil, 2006. [Google Scholar]
  6. Farina, M.; Pérez, C.; Bastos, D. Psicodinâmica das Cores em Comunicação; Edgard Blucher: São Paulo, Brazil, 2022. [Google Scholar]
  7. Madden, T.J.; Hewett, K.; Roth, M.S. Managing Images in Different Cultures: A Cross-National Study of Color Meanings and Preferences. J. Int. Mark. 2000, 8, 90–107. [Google Scholar] [CrossRef]
  8. Elliot, A.J.; Maier, M.A.; Moller, A.C.; Friedman, R.; Meinhardt, J. Color and psychological functioning: The effect of red on performance attainment. J. Exp. Psychol. Gen. 2007, 136, 154–168. [Google Scholar] [CrossRef] [PubMed]
  9. Berger, P.L.; Luckmann, T.A. Construção Social da Realidade: Tratado de Sociologia do Conhecimento; Petrópolis: Vozes, Brazil, 1985. [Google Scholar]
  10. Damante, N. O estado da arte da comunicação organizacional no Brasil. In Comunicação Empresarial; e-Tec: São Paulo, Brasil, 1999; Volume 31, pp. 22–26. [Google Scholar]
  11. Fachada, M.O. Psicologia das Relações Interpessoais; Edições Sílabo: Lisbon, Portugal, 2010. [Google Scholar]
  12. Barthes, R. Elementos de Semiología; Cultrix: São Paulo, Brazil, 1971. [Google Scholar]
  13. Barthes, R. Imagem e Moda; Martins Fontes: São Paulo, Brazil, 2005. [Google Scholar]
  14. Adam, H.; Galinsky, A.D. Enclothed cognition. J. Exp. Soc. Psychol. 2012, 48, 918–925. [Google Scholar] [CrossRef]
  15. Joffily, R. O Jornalismo e Produção de Moda; Editora Nova Fronteira: Ribeirão Preto, Brazil, 1991. [Google Scholar]
  16. Blumer, H. Symbolic Interactionism: Perspective and Method; University of California Press: Berkeley, CA, USA, 1969. [Google Scholar]
  17. Gorden, W.I.; Infante, D.A.; Braun, A.A. Communicator Style and Fashion Innovativeness in the Psychology of Fashion; Michael R. Solomon, Lexington Books: Lanham, MA, USA, 1985. [Google Scholar]
  18. Lurie, A. A Linguagem das Roupas; Editora Rocco: Rio de Janeiro, Brazil, 1997. [Google Scholar]
  19. Zadeh, L.A. Fuzzy Sets. Inf. Control. 1965, 8, 338–353. [Google Scholar] [CrossRef]
  20. Kaufmann, A.; Gil-Aluja, J. Introducción de la Teoría de los Subconjuntos Borrosos a la Gestión de las Empresas; Editorial Milladoiro: Santiago de Compostela, Spain, 1986. [Google Scholar]
  21. Kaufmann, A.; Gil-Aluja, J. Técnicas Operativas de Gestión para el Tratamiento de la Incertidumbre; Hispano Europea: Madrid, Spain, 1987. [Google Scholar]
  22. Heller, E. Wie Farben auf Gefühl und Verstand Wirken: Farbpsychologie, Farbsymbolik, Lieblingsfarben, Farbgestaltung; Droemer: München, Germany, 2000. [Google Scholar]
  23. Pastoureau, M.; Simonnet, D. Le Petit Livre des Couleurs; Points: Paris, France, 2007. [Google Scholar]
  24. Hay, L. Colors and Numbers; Hay House: New York, NY, USA, 1993. [Google Scholar]
  25. Gil-Lafuente, J. Nuevo Instrumento de Selección: El Índice de Descartes por superación-distancia. Cuadernos del Cimbage 2012, 7, 43–60. [Google Scholar]
  26. Hwang, C.L.; Yoon, K. Methods for Multiple Attribute Decision Making. In Multiple Attribute Decision Making; Lecture Notes in Economics and Mathematical Systems; Springer: Berlin/Heidelberg, Germany, 1981; Volume 186, pp. 58–191. [Google Scholar] [CrossRef]
  27. Zeng, W.; Guo, P. Normalized distance, similarity measure, inclusion measure and entropy of interval-valued fuzzy sets and their relationship. Inf. Sci. 2008, 178, 1334–1342. [Google Scholar] [CrossRef]
  28. Acuña-Soto, C.M.; Liern, V.; Pérez-Gladish, B. Multiple criteria performance evaluation of YouTube mathematical educational videos by IS-TOPSIS. Oper. Res. Int. J. 2020, 20, 2017–2039. [Google Scholar] [CrossRef]
  29. Cables, E.; Lamata, M.T.; Verdegay, J.L. RIM-reference ideal method in multicriteria decision-making. Inf. Sci. 2016, 337–338, 1–10. [Google Scholar] [CrossRef]
  30. Bączkiewicz, A.; Kizielewicz, B.; Shekhovtsov, A.; Wątróbski, J.; Sałabun, W. Methodical aspects of MCDM based E-commerce recommender system. J. Theor. Appl. Electron. Commer. Res. 2021, 16, 2192–2229. [Google Scholar] [CrossRef]
  31. Shekhovtsov, A.; Kizielewicz, B.; Sałabun, W. Advancing individual decision-making: An extension of the characteristic objects method using expected solution point. Inf. Sci. 2023, 647, 119456. [Google Scholar] [CrossRef]
  32. Więckowski, J.; Kizielewicz, B.; Shekhovtsov, A.; Sałabun, W. RANCOM: A novel approach to identifying criteria relevance based on inaccuracy expert judgments. Eng. Appl. Artif. Intell. 2023, 122, 106114. [Google Scholar] [CrossRef]
  33. Więckowski, J.; Sałabun, W. Sensitivity analysis approaches in multi-criteria decision analysis: A systematic review. Appl. Soft Comput. 2023, 148, 110915. [Google Scholar] [CrossRef]
  34. Parada, S.E.; Blasco-Blasco, O.; Liern, V. Adequacy indicators based on pre-established goals: An implementation in a Colombian University. Soc. Indic. Res. 2019, 143, 1–24. [Google Scholar] [CrossRef]
  35. Liern, V.; Pérez-Gladish, B. Multiple criteria ranking method based on functional proximity index: Un-weighted TOPSIS. Ann. Oper. Res. 2022, 311, 1099–1121. [Google Scholar] [CrossRef]
  36. Benítez, R.; Liern, V. Unweighted TOPSIS: A new multi-criteria tool for sustainability analysis. Int. J. Sustain. Dev. World Ecol. 2021, 28, 36–48. [Google Scholar] [CrossRef]
  37. Bouslah, K.; Liern, V.; Ouenniche, J.; Pérez-Gladish, B. Ranking firms based on their financial and diversity performance using multiple-stage unweighted TOPSIS. Int. Trans. Oper. Res. 2022, 30, 2485–2505. [Google Scholar] [CrossRef]
  38. López-García, A.; Liern, V.; Pérez-Gladish, B. Determining the underlying role of corporate sustainability criteria in a ranking problem using UW-TOPSIS. Ann. Oper. Res. 2023. [Google Scholar] [CrossRef]
Figure 1. Results using TOPSIS and the Hamming distance.
Figure 1. Results using TOPSIS and the Hamming distance.
Mathematics 12 02212 g001
Figure 2. Results using TOPSIS (unequal weightings) and weighted Hamming distance.
Figure 2. Results using TOPSIS (unequal weightings) and weighted Hamming distance.
Mathematics 12 02212 g002
Figure 3. Representation of UW-TOPSIS results expressed in Table 11.
Figure 3. Representation of UW-TOPSIS results expressed in Table 11.
Mathematics 12 02212 g003
Table 1. Essential literature reviewed.
Table 1. Essential literature reviewed.
TitleAuthor/Year
Wie Farben auf Gefühl und Verstand wirkenHeller (2000) [22]
Le petit libre des couleursPastoureau, Simonnet (2007) [23]
Psicodinâmica das Cores em ComunicaçãoFarina, Pérez, Bastos (2022) [6]
Da cor à cor inexistentePedrosa (2006) [5]
Colors and NumbersHay (1993) [24]
A cor como informação: a construção biofísica, lingüística e cultural da simbologia das coresGuimarães (2000) [4]
Source: Authors’ own work.
Table 2. Matrix of colours and degree of compliance with each characteristic.
Table 2. Matrix of colours and degree of compliance with each characteristic.
CharacteristicRed OrangeYellowGreen Blue IndigoVioletWhiteBlackGrey
C1Strength10.80.20.20.10.20.40.50.70
C2Aggressiveness0.80.30.2000000.40
C3Attention0.90.60.400000.50.30
C4Security0.30.20.10.40.60000.30
C5Elegance0.60.2000.40.300.60.80
C6Action0.70.50.400000.400
C7Danger0.90.30.2000000.80
C8Excitement0.80.50.20000.10.40.40
C9Fear0.600000.30.10.20.90.8
C10Self-confidence0.70.50.10.20.3000.100
C11Eroticism10000000.10.90
C12Status0.60000.40.40.20.60.80
C13Competitiveness0.900.1000000.50
C14Maturity0.50000.60.70.3000
C15Health000.20.90.4000.300
C16Pos. energy0.50.60.80.90.400.30.900
C17Sympathy0.20.60.70.80.200.30.100
C18Youth0.40.80.50.70.400.30.200
C19Comfort0.80.600.10.400000
C20Innocence0000.40.60.70100.3
C21Happiness0.30.70.80.600.30.20.300
C22Hygiene000.210.60.10100
C23Beauty0.30.10.30.90.50.20.210.80
C24Balance00.10.40.90.40.30.10.500
C25Education0000.70.60.30000
C26Commitment0000.70.60.30000
C27Friendhsip000.10.80.100000
C28Luxury0.40000.20.50.90.70.90
C29Spirituality000.10.20.71110.80
C30Mystery0.20000.2110.511
C31Movement0.30.30.80.30.1000.400
C32Power0.40.20.70.20.60.70.20.60.90
C33Pride0.30.10.80.1000000
C34Calmness0000.710.80.70.800.4
C35Creativity0.100.70.40.800.1000
C36Responsibility000.20.310.60.100.80
C37Nostalgia0000.10.50.50.200.20.8
C38Relaxation0.210.20.4000.1000
C39Caring0.40.80.40.3000000
C40Connectivity0.30.90.40.40.200.20.400
C41Poverty0.10.10.30.20000.40.60
C42Formality0.2000.20.70.40.40.50.90.6
C43Neutrality0000.30.2000.80.81
C44Adventure0.20.30.20.6000000.8
C45Future0000.600.100.80.60.9
Source: Authors’ own work.
Table 3. Alternatives for TOPSIS.
Table 3. Alternatives for TOPSIS.
A1A2A3A4A5A6A7A8A9A10
Red OrangeYellowGreen Blue IndigoVioletWhiteBlackGrey
Source: Authors’ own work.
Table 4. Data obtained in the survey (means).
Table 4. Data obtained in the survey (means).
CharacteristicWomenMen CharacteristicWomenMen
C1Strength0.50.2C24Balance0.90.9
C2Aggressiveness0.00.0C25Education1.01.0
C3Attention0.70.5C26Commitment0.80.5
C4Security0.50.5C27Friendliness1.01.0
C5Elegance 1.00.8C28Luxury0.20.3
C6Action 0.80.5C29Spirituality0.50.5
C7Danger0.00.0C30Mystery 0.00.1
C8Excitement0.51.0C31Movement0.50.5
C9Fear 0.00.0C32Power 0.50.3
C10Self-confidence1.01.0C33Pride0.90.5
C11Eroticism 0.51.0C34Calmness 0.80.8
C12Status 0.50.8C35Creativity1.01.0
C13Competitiveness0.90.5C36Responsibility1.00.8
C14Maturity0.80.7C37Nostalgia 1.00.0
C15Healthiness1.01.0C38Relaxation0.91.0
C16Positive Energy1.01.0C39Caring0.50.8
C17Kindness 1.01.0C40Connectivity0.21.0
C18Youth0.90.9C41Poverty0.50.5
C19Comfort0.50.5C42Formality0.50.5
C20Innocence0.20.2C43Neutrality0.50.5
C21Happiness1.01.0C44Adventure0.50.9
C22Hygiene 1.01.0C45Future 0.50.5
C23Beauty1.01.0
Source: Authors’ own work.
Table 5. Results using the Hamming distance.
Table 5. Results using the Hamming distance.
Colour D1 = Distance
(Survey, Ideal Profile) Women
D2 = Distance
(Survey, Ideal Profile) Men
D1–D2 Percentage of D1–D2 Compared to Mean
Red 0.511111110.493333330.017777783.53982301
Orange0.502222220.451111110.0511111110.7226107
Yellow0.446666670.46666667−0.02−4.379562
Green 0.337777780.326666670.011111113.34448161
Blue 0.411111110.44222222−0.0311111−7.2916667
Indigo0.564444440.56666667−0.0022222−0.3929273
Violet0.593333330.591111110.002222220.37523452
White0.464444440.462222220.002222220.47961631
Black0.568888890.58−0.0111111−1.934236
Grey0.651111110.65777778−0.0066667−1.0186757
Source: Authors’ own work.
Table 6. Ranking according to the Hamming distance.
Table 6. Ranking according to the Hamming distance.
WOMANMEN
RankColoursDistances RankColoursDistances
1Green0.337777781Green0.32666667
2Blue0.411111112Blue0.44222222
3Yellow0.446666673Orange 0.45111111
4White0.464444444White0.46222222
5Orange 0.502222225Red0.49333333
6Red 0.511111116Indigo 0.56666667
7Indigo 0.564444447Black 0.58
8Black0.568888898Yellow 0.58888889
9Violet 0.593333339Violet0.59111111
10Grey 0.6511111110Grey 0.65777778
Source: Authors’ own work.
Table 7. Results using TOPSIS for equal weightings and differentiated by gender.
Table 7. Results using TOPSIS for equal weightings and differentiated by gender.
Colour Ri Women Ri MenDifference In Ri Women and Ri MenPercentage Difference
in Ri Compared to Mean
Red 0.491974830.50488328−0.012908453−2.589827644
Orange0.498437480.53408737−0.035649885−6.905380552
Yellow0.540560670.525300140.0152605322.863513069
Green 0.619702160.63078584−0.011083679−1.772696597
Blue 0.566561260.542823280.0237379764.279485636
Indigo0.453420900.45344604−0.000025140−0.005544455
Violet0.433247030.43338480−0.000137769−0.031794028
White0.523878040.52566989−0.001791852−0.341452164
Black0.450785640.446993900.0037917370.844692313
Grey0.394629040.390446790.0041822511.065438635
Source: Authors’ own work.
Table 8. Ranking according to TOPSIS.
Table 8. Ranking according to TOPSIS.
WOMENMEN
RankColoursDistances RankColoursDistances
1Green 0.619702161Green 0.63078584
2Blue 0.566561262Blue 0.54282328
3Yellow0.540560673Orange0.53408737
4White0.523878044White0.52566989
5Orange0.498437485Yellow0.52530014
6Red 0.491974836Red 0.50488328
7Indigo0.453420907Indigo0.45344604
8Black0.450785648Black0.44699390
9Violet0.433247039Violet0.43338480
10Grey0.3946290410Grey0.39044679
Source: Authors’ own work.
Table 9. Results using the Hamming distance and different weightings.
Table 9. Results using the Hamming distance and different weightings.
ColourD1 = Distance
(Survey, Ideal Profile) Women
D2 = Distance
(Survey, Ideal Profile) Men
D1–D2Percentage of D1–D2 Compared to Mean
Red 0.4890.497−0.008−1.691
Orange0.4930.513−0.020−3.909
Yellow0.5500.4850.06512.480
Green 0.6610.6480.0132.037
Blue 0.5890.5190.07012.579
Indigo0.4300.3990.0317.427
Violet0.3960.3720.0246.194
White0.5250.5250.0000.063
Black0.4230.4160.0071.642
Grey0.3460.2920.05416.800
Source: Authors’ own work.
Table 10. Results with TOPSIS and different weightings.
Table 10. Results with TOPSIS and different weightings.
Colour Ri Women Ri MenDifference in Ri Women and Ri MenPercentage Difference
in Ri Compared to Mean
Red 0.5000.4920.0081.539
Orange0.5060.4810.0255.101
Yellow0.5500.4490.10120.150
Green 0.6220.5850.0376.153
Blue 0.5770.4930.08415.660
Indigo0.4600.4160.0449.954
Violet0.4400.3820.05914.329
White0.5290.5150.0142.658
Black0.4520.4420.0112.431
Grey0.4000.3240.07621.027
Source: Authors’ own work.
Table 11. Results with UW-TOPSIS.
Table 11. Results with UW-TOPSIS.
ColoursWomenMen
R i min , R i m a x R i * Rank R i min , R i m a x R i * Rank
Red[0.11724, 0.70652]0.411886[0.13530, 0.75282]0.444064
Orange[0.11239, 0.71238]0.412395[0.14236, 0.78702]0.464692
Yellow[0.19122, 0.77025]0.480733[0.17010, 0.71986]0.444983
Green[0.26170, 0.87914]0.570421[0.27188, 0.88079]0.576341
Blue[0.18807, 0.78191]0.484992[0.15449, 0.72502]0.439755
Indigo[0.08191, 0.59128]0.336607[0.07680, 0.59670]0.336758
Violet[0.06494, 0.55204]0.308499[0.06811, 0.54495]0.306539
White[0.11892, 0.72354]0.421234[0.12787, 0.71853]0.423206
Black[0.08278, 0.58295]0.332878[0.07819, 0.66023]0.369217
Grey[0.04465,0.55279]0.2987210[0.04110, 0.52170]0.2814010
Source: Authors’ own work.
Table 12. Decisional weights of some characteristics.
Table 12. Decisional weights of some characteristics.
CharacteristicWomenRankCharacteristicRankMen
Adventure0.0473654551Power10.044229374
Status0.0444801922Fear20.039786470
Connectivity0.0385663233Strength30.034377545
Excitement0.0359603884Poverty40.033515060
Movement0.0348064625Competitiveness50.031304580
Aggressiveness0.0345900106Adventure60.029918331
Danger0.0340773597Responsibility70.029860162
Formality0.0340664808Neutrality80.028542610
Power0.0306432749Movement90.027994170
Luxury0.03041604310Maturity100.027628025
Strength0.02945649911Attention110.027344092
Elegance0.02932380812Spirituality120.026735703
Attention0.02863751413Excitement130.026525938
Youth0.02694911214Aggressiveness140.026194642
Poverty0.02692563115Future150.026142694
Source: Authors’ own work.
Disclaimer/Publisher’s Note: The statements, opinions and data contained in all publications are solely those of the individual author(s) and contributor(s) and not of MDPI and/or the editor(s). MDPI and/or the editor(s) disclaim responsibility for any injury to people or property resulting from any ideas, methods, instructions or products referred to in the content.

Share and Cite

MDPI and ACS Style

Müller, A.C.; Gil-Lafuente, J.; Ferrer-Comalat, J.C. Colour Choice as a Strategic Instrument in Neuromarketing. Mathematics 2024, 12, 2212. https://doi.org/10.3390/math12142212

AMA Style

Müller AC, Gil-Lafuente J, Ferrer-Comalat JC. Colour Choice as a Strategic Instrument in Neuromarketing. Mathematics. 2024; 12(14):2212. https://doi.org/10.3390/math12142212

Chicago/Turabian Style

Müller, Andréia C., Jaime Gil-Lafuente, and Joan Carles Ferrer-Comalat. 2024. "Colour Choice as a Strategic Instrument in Neuromarketing" Mathematics 12, no. 14: 2212. https://doi.org/10.3390/math12142212

APA Style

Müller, A. C., Gil-Lafuente, J., & Ferrer-Comalat, J. C. (2024). Colour Choice as a Strategic Instrument in Neuromarketing. Mathematics, 12(14), 2212. https://doi.org/10.3390/math12142212

Note that from the first issue of 2016, this journal uses article numbers instead of page numbers. See further details here.

Article Metrics

Back to TopTop