Model-Based Adaptive Control of Bioreactors—A Brief Review
Abstract
1. Introduction
- time-varying and nonlinear nature of BTPs;
- low level of reproducibility of the experiments;
- lack of reliable online sensors for most biochemical variables;
- significant model uncertainty (in cases where model-based control is used).
2. New Formalization of the Fermentation Kinetics and Its Application for Adaptive Linearizing Control Algorithm
- A1. Each measured liquid phase component is related to one kinetic term only, considered an unknown time-varying parameter.
- A2. The transport dynamics are known.
2.1. Structure of General Software Sensor of Measurable Variable’s Kinetics
2.2. Tuning Procedure
2.3. Fully Adaptive Linearizing Control Algorithm
- B1. The substrate concentrations (ξcs), the dilution rate (D), and the feed rates (Fcs) are measured online.
- B2. The term Kcsφcs, describing the substrate’s ξcs consumption rates, is fully unknown.
2.4. Applications
2.4.1. Control of Gluconic Acid Production by Aspergillus niger
2.4.2. Alpha-Amylase Production by Bacillus subtilis
3. Marker-Based Pulse Control of Intermediate Metabolite Production and Consumption
3.1. Impulse Adaptive Control of Biopolymer Production by Mixed Culture
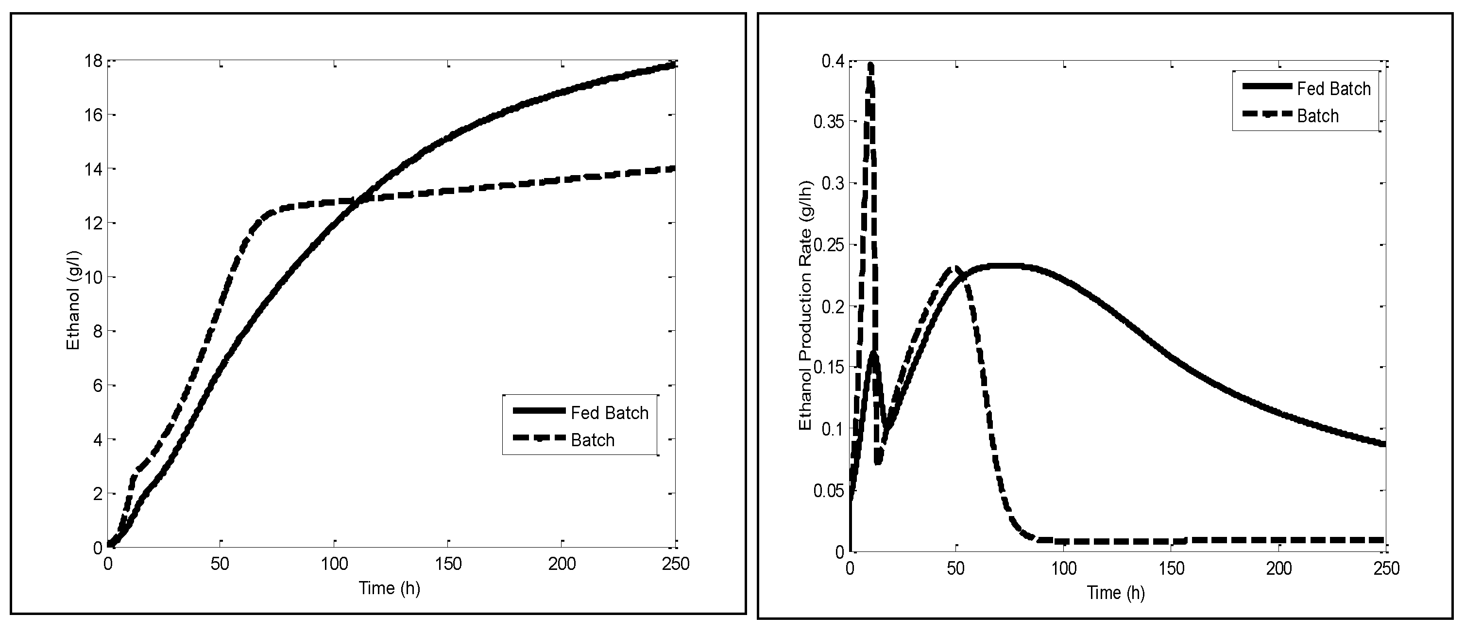
3.2. Impulse Control of Simultaneous Saccharification and Fermentation of Starch to Ethanol (SSFSE)
4. Monitoring and Control of Processes Passing through Different Metabolic Regimes
5. Generalized Control Strategies and Structures
6. Interactive System for Education in Modelling and Control of Biotechnological Processes
7. Conclusions
Author Contributions
Funding
Data Availability Statement
Acknowledgments
Conflicts of Interest
Nomenclature
| D | the dilution rate [1/h] |
| F | vector of the mass feed rates of external substrates in the reactor [g/lh] |
| vector of mass feed rates in the reactor [g/lh] | |
| element of vector [g/lh] | |
| Fcs ∈ ℝcs×1 | vector of the mass feed rate of the substrate ξcs in the reactor [g/lh] |
| optimal levels of the glucose feed impulses [l/h] | |
| G | the glucose concentration [g/l] |
| Gm | the glucose concentration measurements [g/l] |
| Gin | glucose concentration in the feeding [g/l] |
| G* | constant set-point value of glucose concentration [g/l] |
| K | constant yield coefficient’s matrix [g/g] |
| Kcs ∈ ℝcs×ncs | the yield coefficient matrix, related to the kinetics of ξcs, ncs indicates the number of the reaction rates, describing the kinetics of ξcs [g/g] |
| k1–k10 | yield coefficients [g/g] |
| , | kinetic parameters [g/l] |
| Lopt | optimal value of lactate concentration [g/l] |
| M1 | vector of the upper bound of time-derivatives of parameter vector ϕ(t) |
| M2 | vector of the upper bound of the vector of noise measurements Ε(t) |
| and | upper bounds of time derivative of [g/lh2] and measurement noise of [g/l], respectively |
| maintenance coefficient [1/h] | |
| Q | a vector of the rates of mass outflow from the reactor in gaseous form [g/lh] |
| a vector of rates of the component’s mass outflow [g/lh] | |
| concentration of feeding substrate [g/l] | |
| Rac | kinetics of the acetate concentration [g/lh] |
| , , | growth rates related to oxidative growth on glucose, fermentative growth on glucose and oxidative on acetate [g/lh] |
| , , | estimates of corresponding growth rates [g/lh] |
| volume of the reactor [l] | |
| weight of culture medium [kg] | |
| X, S, G, P, A, O2 and C | concentrations of the biomass, substrate, glucose, product, acetate, dissolved oxygen and carbon dioxide in the culture broth respectively [g/l] |
| the estimates of biomass concentration [g/l] | |
| X1 | the concentration of strain L. delbrulckii in the culture broth [g/l] |
| X2 | the concentration of strain Ralstonia eutropha in the culture broth [g/l] |
| y | controlled output vector [g/l] |
| y* ∈ ℝcs×1 | vector of control set points [g/l] |
| estimated values of the vector [g/l] | |
| ym | controlled output vector with measurement noises [g/l] |
| functional parameter [1/h] | |
| functional parameter [1/h] | |
| element of the matrix [1/h2] | |
| optimal value of tuning parameter [1/h2] | |
| matrix, whose elements are the tuning parameters of the estimator with dim [1/h2] | |
| functional parameter [-] | |
| Ε(t) | vector of noise measurements [g/l] |
| ε | additive measurement noise [g/l] |
| damping coefficient with a fixed value close to 1 [-] | |
| vector of concentrations of measurable variables with dim(nm) [g/l] | |
| the estimates of [g/l] | |
| element of vector [g/l] | |
| ξ | the vector of component concentrations dissolved in the culture broth [g/l] |
| [g/l] | |
| ξcs ∈ ℝcs×1 | a vector of the concentrations of the controlled feeding substrates, cs indicates their number, [g/l] |
| vector of reaction kinetics (also called reaction rates) [g/lh] | |
| φcs ∈ ℝncs×1 | reaction rates vector [g/lh] |
| ϕ ∈ℝcs×1 | an unknown time-varying parameter vector [g/lh] |
| estimated values of ϕ [g/lh] | |
| a vector of unknown time-varying parameters describing the kinetics of these variables with dim (nm) [g/lh] | |
| estimates of unknown time-varying parameters [g/lh] | |
| ϕ* | upper bound vector of parameter vector ϕ(t) |
| element of vector [g/lh] | |
| [g/lh] | |
| substrate production rate [g/lh] | |
| substrate consumption rate [g/lh] | |
| control marker [g/lh] | |
| estimates of and [g/lh] | |
| and | eigenvalues of the matrix of estimation error dynamics related to and [1/h] |
| Λ ∈ ℝcs×cs | diagonal matrix containing the control design parameters [1/h] |
| control tuning parameter [1/h] | |
| ,, | specific growth rates, related to the oxidative growth on glucose, fermentative growth on glucose and oxidative growth on acetate, respectively [1/h] |
| the estimated values of corresponding specific growth rates [1/h] | |
| specific biomass growth rate [1/h] | |
| Ω | matrix whose elements are the tuning parameters of the estimator with dim [1/h] |
| element of the matrix Ω [1/h] | |
| optimal value of the estimator parameter [1/h] |
Appendix A
- A3. The reference signal vector, y*, its time derivative and the measured feed rate vector, Fcs, are continuous bounded functions of time, t.
- A4. The measurements of the substrate vector, ym(t), are corrupted by additive measured noise vector, Ε(t):
- A5. The time-varying parameter vector ϕ(t) is bounded as:
- A6. The time derivative of ϕ(t) is bounded as:
- A7. The measured noise is bounded as:
- A8. The dilution rate is known and bounded as follows:
- A9. The design parameters ω1 and γ1 are chosen such that A has real distinct eigenvalues:
References
- Bogaerts, P.; Vande Wouwer, A. Mathematical Modeling and Control of Bioprocesses. Processes 2022, 10, 1372. [Google Scholar] [CrossRef]
- Luo, Y.; Kurian, V.; Ogunnaike, B.A. Bioprocess systems analysis, modeling, estimation, and control. Curr. Opin. Chem. Eng. 2021, 33, 100705. [Google Scholar] [CrossRef]
- Neto, O.B.L.; Mulas, M.; Corona, F. A model-based framework for controlling activated sludge plants. arXiv 2024, arXiv:2401.10619. [Google Scholar] [CrossRef]
- Ignatova, M.; Lyubenova, V. Control of Biotechnological Processes—New Formalization of Kinetics: Theoretical Aspects and Applications. LAP LAMBERT Academic Publishing; GmbH & Co.: Saarbrücken, Germany, 2011; p. 120. [Google Scholar]
- Bastin, G.; Dochain, D. On-Line Estimation and Adaptive Control of Bioreactors; Elsevier: Amsterdam, The Netherlands; Oxford, UK; New York, NY, USA; Tokyo, Japan, 1990; p. 378. [Google Scholar]
- Dochain, D. Automatic Control of Bioprocesses; John Wiley & Sons: Hoboken, NJ, USA, 2013. [Google Scholar]
- Rathore, A.S.; Mishra, S.; Nikita, S.; Priyanka, P. Bioprocess control: Current progress and future perspectives. Life 2021, 11, 557. [Google Scholar] [CrossRef] [PubMed]
- Mahmoodi, M.; Nassireslami, E. Control algorithms and strategies of feeding for fed-batch fermentation of Escherichia coli: A review of 40 years of experience. Prep. Biochem. Biotechnol. 2022, 52, 823–834. [Google Scholar] [CrossRef] [PubMed]
- Brignoli, Y.; Freeland, B.; Cunningham, D.; Dabros, M. Control of Specific Growth Rate in Fed-Batch Bioprocesses: Novel Controller Design for Improved Noise Management. Processes 2020, 8, 679. [Google Scholar] [CrossRef]
- Urniezius, R.; Masaitis, D.; Levisauskas, D.; Survyla, A.; Babilius, P.; Godoladze, D. Adaptive control of the E. coli-specific growth rate in fed-batch cultivation based on oxygen uptake rate. Comput. Struct. Biotechnol. J. 2023, 21, 5785–5795. [Google Scholar] [CrossRef]
- Butkus, M.; Repšytė, J.; Galvanauskas, V. Fuzzy logic-based adaptive control of specific growth rate in fed-batch biotechnological processes. A simulation study. Appl. Sci. 2020, 10, 6818. [Google Scholar] [CrossRef]
- Allampalli, S.; Sivaprakasam, S. Unveiling the potential of specific growth rate control in fed-batch fermentation: Bridging the gap between product quantity and quality. World J. Microbiol. Biotechnol. 2024, 40, 1–19. [Google Scholar] [CrossRef]
- Cheng, Y.; Bi, X.; Xu, Y.; Liu, Y.; Li, J.; Du, G.; Lv, X.; Liu, L. Artificial intelligence technologies in bioprocess: Opportunities and challenges. Bioresour. Technol. 2023, 369, 128451. [Google Scholar] [CrossRef]
- Kumar, R.; Srivastava, S.; Gupta, J.R.P. Diagonal recurrent neural network based adaptive control of nonlinear dynamical systems using Lyapunov stability criterion. ISA Trans. 2017, 67, 407–427. [Google Scholar] [CrossRef]
- Bolmanis, E.; Dubencovs, K.; Suleiko, A.; Vanags, J. Model Predictive Control—A Stand Out among Competitors for Fed-Batch Fermentation Improvement. Fermentation 2023, 9, 206. [Google Scholar] [CrossRef]
- Sridhar, L.N. Multiobjective optimization and nonlinear model predictive control of the continuous fermentation process involving Saccharomyces cerevisiae. Biofuels 2022, 13, 249–264. [Google Scholar] [CrossRef]
- Alhajeri, M.S.; Ren, Y.M.; Ou, F.; Abdullah, F.; Christofides, P.D. Model predictive control of nonlinear processes using transfer learning-based recurrent neural networks. Chem. Eng. Res. Des. 2024, 205, 1–12. [Google Scholar] [CrossRef]
- Eslami, T.; Jungbauer, A. Control strategy for biopharmaceutical production by model predictive control. Biotechnol. Prog. 2024, 40, e3426. [Google Scholar] [CrossRef] [PubMed]
- Dubencovs, K.; Suleiko, A.; Sile, E.; Petrovskis, I.; Akopjana, I.; Suleiko, A.; Galvanauskas, V.; Tars, K.; Vanags, J. The Application of Adaptive Model Predictive Control for Fed-Batch Escherichia coli BL21 (DE3) Cultivation and Biosynthesis of Recombinant Proteins. Fermentation 2023, 9, 1015. [Google Scholar] [CrossRef]
- Simeonov, I.; Chorukova, E.; Lakov, V. Modelling and Extremum Seeking Control of Two-stage Biotechnological Process. In IFAC-PapersOnLine; Elsevier: Amsterdam, The Netherlands, 2018; Volume 51, pp. 677–682. [Google Scholar]
- Narayanan, H.; Luna, M.F.; Von Stosch, M.; Bournazou, M.N.C.; Polotti, G.; Morbidelli, M.; Butté, A.; Sokolov, M. Bioprocessing in the digital age: The role of process models. Biotechnol. J. 2020, 15, 1900172. [Google Scholar] [CrossRef]
- Camacho, C.; Alvarez, H.; Espin, J.; Camacho, O. An Internal Model Based—Sliding Mode Control for Open-Loop Unstable Chemical Processes with Time Delay. ChemEngineering 2023, 7, 53. [Google Scholar] [CrossRef]
- Lopéz-Peréz, P.A.; Rodriguez-Mata, A.E.; Hernández-González, O.; Amabilis-Sosa, L.E.; Baray-Arana, R.; Leon-Borges, J. Design of a Robust sliding mode controller for bioreactor cultures in overflow metabolism via an interdisciplinary approach. Open Chem. 2022, 20, 120–129. [Google Scholar] [CrossRef]
- Jang, M.F.; Chern, Y.J.; Chou, Y.S. Robust adaptive controller for continuous bioreactors. Biochem. Eng. J. 2013, 81, 136–145. [Google Scholar] [CrossRef]
- Petre, E.; Selişteanu, D.; Roman, M. Nonlinear robust adaptive control strategies for a lactic fermentation process. J. Chem. Technol. Biotechnol. 2018, 93, 518–526. [Google Scholar] [CrossRef]
- Roman, M.; Selișteanu, D.; Petre, E.; Șendrescu, D. Modelling and Adaptive Control of a Yeast Fermentation Process inside a Fed-batch Bioreactor. Int. J. Appl. Math. Electron. Comput. 2015, 3, 237–243. [Google Scholar] [CrossRef]
- Petre, E.; Selişteanu, D.; Roman, M. Advanced nonlinear control strategies for a fermentation bioreactor used for ethanol production. Bioresour. Technol. 2021, 328, 124836. [Google Scholar] [CrossRef] [PubMed]
- Dewasme, L.; Vande Wouwer, A.; Coutinho Ferreira, D. Lineazing control of yeast and bacteria fed-batch cultures. In Proceedings of the 7th International Conference on Informatics in Control, Automation and Robotics (ICINCO’10), Funchal, Portugal, 15–18 June 2010. [Google Scholar]
- Venkateswarlu, C.; Karri, R. Optimal State Estimation for Process Monitoring, Fault Diagnosis and Control; Elsevier: Amsterdam, The Netherlands, 2022. [Google Scholar]
- Rapaport, A.; Dochain, D. Design of asymptotic observers to estimate parameters of systems that are not asymptotically identifiable. In IFAC-PapersOnLine; Elsevier: Amsterdam, The Netherlands, 2023; pp. 11651–11656. [Google Scholar]
- Ramjug-Ballgobin, R.; Busawon, K.; King, R.; Rughooputh, H. Observer-based control for biomass regulation under discrete measurements. In Proceedings of the 10th IEEE International Conference on Control System, Computing and Engineering (ICCSCE), Penang, Malaysiaia, 21–22 August 2020; pp. 19–22. [Google Scholar]
- Ortega, R.; Bobtsov, A.; Dochain, D.; Nikolaev, N. State observers for reaction systems with improved convergence rates. J. Process Control 2019, 83, 53–62. [Google Scholar] [CrossRef]
- Rincón, A.; Hoyos, F.E.; Restrepo, G.M. Design and Evaluation of a Robust Observer Using Dead-Zone Lyapunov Functions—Application to Reaction Rate Estimation in Bioprocesses. Fermentation 2022, 8, 173. [Google Scholar] [CrossRef]
- Lyubenova, V.; Ignatova, M.; Roeva, O.; Junne, S.; Neubauer, P. Adaptive Monitoring of Biotechnological Processes Kinetics. Processes 2020, 8, 1307. [Google Scholar] [CrossRef]
- Corriou, J.P.; Corriou, J.P. Nonlinear control of reactors with state estimation. In Process Control: Theory and Applications; Springer: Cham, Switzerland, 2018; pp. 769–791. [Google Scholar]
- Stîngă, F.; Petre, E. Predictive and Feedback Linearizing Control Of Chlamydomonas 636 Reinhardtii Photoautotrophic Growth Process. TIC 2016, 1, 10. [Google Scholar]
- Ignatova, M.N.; Lyubenova, V.N.; Garcia, M.R.; Fernandes, K.V.; Alonso, A.A. Indirect adaptive linearizing control of a class of bioprocesses—Estimator tuning procedure. J. Process Control 2008, 18, 27–35. [Google Scholar] [CrossRef]
- Lyubenova, V.; Ignatova, M.; Salonen, K.; Kiviharju, K.; Eerikäinen, T. Control of α-amylase production by Bacillus subtilis. Bioprocess Biosyst. Eng. 2011, 34, 367–374. [Google Scholar] [CrossRef]
- Ignatova, M.; Lyubenova, V. Adaptive control of fed-batch process for poly-b hydroxybutyrate production by mixed culture. Comptes Rendus L’ Acad. Bulg. Sci. 2007, 60, 517–524. [Google Scholar]
- Lyubenova, V.; Ochoa, S.; Repke, J.; Ignatova, M.; Wozny, G. Control of one stage bio ethanol production by recombinant strain. Biotechnol. Biotechnol. Equip. 2007, 21, 372–376. [Google Scholar] [CrossRef][Green Version]
- Ochoa, S.; Lyubenova, V.; Repke, J.U.; Ignatova, M.; Wozny, G. Adaptive control of the Simultaneous Saccharification—Fermentation Process from Starch to Ethanol. In Computer Aided Chemical Engineering; Elsevier: Amsterdam, The Netherlands, 2008; Volume 25, pp. 489–494. [Google Scholar]
- Zlatkova, A.; Lyubenova, V. Dynamics monitoring of fed-batch E. coli fermentation. Int. J. Bioautomation 2017, 21, 121. [Google Scholar]
- Lyubenova, V.; Zlatkova, A.; Ignatova, M. Adaptive fed-batch control of Escherichia coli fermentation for protein production. Int. J. Bioautomation 2023, 27, 147. [Google Scholar] [CrossRef]











| No. | Control Strategy and Structure | Refs. | Description |
|---|---|---|---|
| 1 | ![]() | [4,37,38] | Advantages: The process kinetics, ϕ (t), is presented as a fully unknown time-varying parameter. Optimal SS tuning is performed. The SS included in the control law makes it fully adaptive in terms of kinetics. Limitation: It is mainly applied for the stabilization of the limiting substrate. |
| 2 | ![]() | [39,40,41] | Advantages: The control stabilizes an intermediate metabolite at an optimal value using a marker as the difference between consumption and production of that metabolite Limitation: The SS included in the control law makes it partially adaptive in terms of kinetics. |
| 3 | ![]() | [42,43] | Advantages: Monitoring of physiological states in multi-rate processes by a marker of the kinetics of an intermediate metabolite. Recognition and stabilization of the desired physiological state. Limitation: The SS included in the control law makes it partially adaptive in terms of kinetics. |
Disclaimer/Publisher’s Note: The statements, opinions and data contained in all publications are solely those of the individual author(s) and contributor(s) and not of MDPI and/or the editor(s). MDPI and/or the editor(s) disclaim responsibility for any injury to people or property resulting from any ideas, methods, instructions or products referred to in the content. |
© 2024 by the authors. Licensee MDPI, Basel, Switzerland. This article is an open access article distributed under the terms and conditions of the Creative Commons Attribution (CC BY) license (https://creativecommons.org/licenses/by/4.0/).
Share and Cite
Lyubenova, V.; Ignatova, M.; Zoteva, D.; Roeva, O. Model-Based Adaptive Control of Bioreactors—A Brief Review. Mathematics 2024, 12, 2205. https://doi.org/10.3390/math12142205
Lyubenova V, Ignatova M, Zoteva D, Roeva O. Model-Based Adaptive Control of Bioreactors—A Brief Review. Mathematics. 2024; 12(14):2205. https://doi.org/10.3390/math12142205
Chicago/Turabian StyleLyubenova, Velislava, Maya Ignatova, Dafina Zoteva, and Olympia Roeva. 2024. "Model-Based Adaptive Control of Bioreactors—A Brief Review" Mathematics 12, no. 14: 2205. https://doi.org/10.3390/math12142205
APA StyleLyubenova, V., Ignatova, M., Zoteva, D., & Roeva, O. (2024). Model-Based Adaptive Control of Bioreactors—A Brief Review. Mathematics, 12(14), 2205. https://doi.org/10.3390/math12142205




