INT-FUP: Intuitionistic Fuzzy Pooling
Abstract
1. Introduction
2. Related Work
3. Intuitionistic Fuzzy Pooling
3.1. Intuitionistic Fuzzy Sets
3.2. Defuzzification of IFSs
- (i)
- Converts the IFS I into a fuzzy (normal) entity;
- (ii)
- Assesses the standard fuzzy pattern by means of a defuzzification strategy.
3.3. Intuitionistic Pooling Model
3.4. Fuzzy Average to Fuzzy System
- 1.
- If ( is Low) and ( is Low) and ( is Low) and ( is Low), then (intuitAverage is Low) (1).
- 2.
- If ( is Medium) and ( is Medium) and ( is Medium) and ( is Medium), then (intuitAverage is Medium) (1).
- 3.
- If ( is High) and ( is High) and ( is High) and ( is High), then (intuitAverage is High) (1).
3.5. Optimal Control Problem to Train Deep Neural Network
4. Experimental Setup and Results
4.1. Metrics
4.2. Data Sets
4.2.1. MNIST Dataset
4.2.2. Fashion MNIST Dataset
4.3. Image Reconstruction: INT-FUP vs. Classical Pooling Models
4.4. Noisy Image Reconstruction: Int-FUP vs. Classical Pooling Models
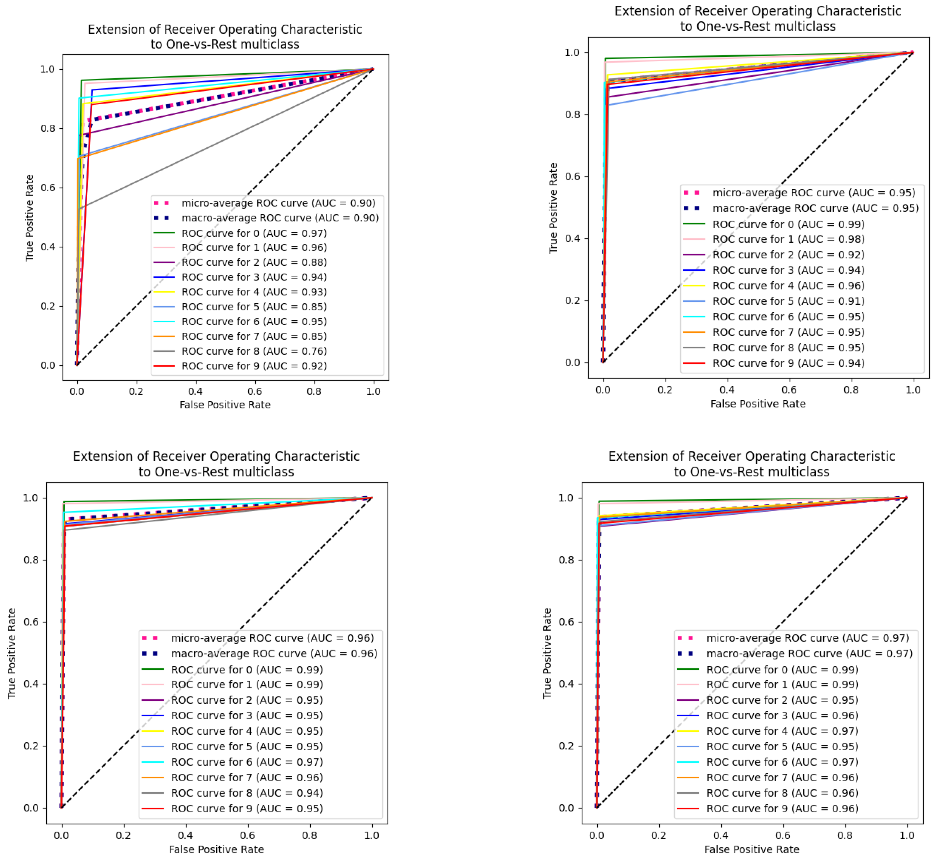
4.5. Deep CNN Classification: INT-FUP-CNN vs. Classical Pooling-CNN
5. Conclusions
Author Contributions
Funding
Data Availability Statement
Acknowledgments
Conflicts of Interest
Abbreviations
| IFS | Intuitionistic fuzzy sets |
| CNNs | Convolutional Neural Networks |
Appendix A

References
- Li, Y. Research and application of deep learning in image recognition. In Proceedings of the IEEE 2nd International Conference on Power, Electronics and Computer Applications (ICPECA), Shenyang, China, 21–23 January 2022; pp. 994–999. [Google Scholar]
- Oord, A.V.; Dieleman, S.; Schrauw, B. Deep content-based music recommendation. In Proceedings of the Neural Information Processing Systems, Lake Tahoe, NV, USA, 5–10 December 2013. [Google Scholar]
- Collobert, R.; Weston, J. A unified architecture for natural language processing: Deep neural networks with multitask learning. In Proceedings of the International Conference on Machine Learning, Helsinki, Finland, 5–9 July 2008; pp. 160–167. [Google Scholar]
- Avilov, O.; Rimbert, S.; Popov, A.; Bougrain, L. Deep learning techniques to improve intraoperative awareness detection from electroencephalographic signals. In Proceedings of the 2020 42nd Annual International Conference of the IEEE Engineering in Medicine & Biology Society (EMBC), Montreal, QC, Canada, 20–24 July 2020; pp. 142–145. [Google Scholar]
- Tsantekidis, A.; Passalis, N.; Tefas, A.; Kanniainen, J.; Gabbouj, M.; Iosifidis, A. Forecasting Stock Prices from the Limit Order Book Using Convolutional Neural Networks. In Proceedings of the 2017 IEEE 19th Conference on Business Informatics (CBI), Thessaloniki, Greece, 24–27 July 2017; pp. 7–12. [Google Scholar]
- Atanassov, K.T. Intuitionistic fuzzy sets. In Fuzzy Sets and Systems; Physica Verlag: New York, NY, USA, 1986; pp. 87–96. [Google Scholar]
- Atanassov, K.T. Intuitionistic fuzzy sets: Past, present and future. In Proceedings of the EUSFLAT Conference 2003, Zittau, Germany, 10–12 September 2003; pp. 12–19. [Google Scholar]
- Atanassov, K.T. Intuitionistic Fuzzy Sets: Theory and Applications, 1st ed.; Physica Verlag: New York, NY, USA, 1999; pp. 1–137. [Google Scholar]
- Lei, Y.; Hua, J.; Yin, H.; Lei, Y. Normal Technique for Ascertaining Non-membership functions of Intuitionistic Fuzzy Sets. In Proceedings of the IEEE Chinese Conference on Control and Decision, Yantai, China, 2–4 July 2008; pp. 2604–2607. [Google Scholar]
- Nirthika, R.; Manivannan, S.; Ramanan, A.; Wang, R. Pooling in convolutional neural networks for medical image analysis: A survey and an empirical study. Neural Comput. Appl. 2022, 34, 5321–5347. [Google Scholar] [CrossRef] [PubMed]
- Lee, C.Y.; Gallagher, P.W.; Tu, Z. Generalizing pooling functions in convolutional neural networks: Mixed, gated, and tree. In Proceedings of the 18th International Conference on Artificial Intelligence and Statistics, Cadiz, Spain, 9–11 May 2016; pp. 464–472. [Google Scholar]
- Chen, J.; Hua, Z.; Wang, J.; Cheng, S. A Convolutional Neural Network with Dynamic Correlation Pooling. In Proceedings of the 2017 13th International Conference on Computational Intelligence and Security (CIS), Hong Kong, China, 15–18 December 2017; pp. 496–499. [Google Scholar]
- Wei, Z.; Zhang, J.; Liu, L.; Zhu, F.; Shen, F.; Zhou, Y.; Liu, S.; Sun, Y.; Shao, L. Building Detail-Sensitive Semantic Segmentation Networks with Polynomial Pooling. In Proceedings of the 2019 IEEE/CVF Conference on Computer Vision and Pattern Recognition (CVPR), Long Beach, CA, USA, 15–20 June 2019; pp. 7108–7116. [Google Scholar]
- Gülçehre, Ç.; Cho, K.; Pascanu, R.; Bengio, Y. Learned-Norm Pooling for Deep Feedforward and Recurrent Neural Networks. In Proceedings of the Machine Learning and Knowledge Discovery in Databases: European Conference, ECML PKDD 2014, Nancy, France, 15–19 September 2014; pp. 530–546. [Google Scholar]
- Bruna, J.; Szlam, A.; LeCun, Y. Signal recovery from pooling representations. In Proceedings of the International Conference on Machine Learning, Beijing, China, 21–26 June 2014; pp. 307–315. [Google Scholar]
- Eom, H.; Choi, H. Alpha-Integration Pooling for Convolutional Neural Networks. arXiv 2022, arXiv:1811.03436. [Google Scholar] [CrossRef]
- Shi, Z.; Ye, Y.; Wu, Y. Rank-based pooling for deep convolutional neural networks. Neural Netw. 2016, 83, 21–31. [Google Scholar] [CrossRef] [PubMed]
- Navaneeth, B.; Suchetha, M. A dynamic pooling based convolutional neural network approach to detect chronic kidney disease. Biomed. Signal Process. Control 2020, 62, 102068. [Google Scholar] [CrossRef]
- Bieder, F.; Sandkühler, R.; Cattin, P.C. Comparison of Methods Generalizing Max- and Average-Pooling. arXiv 2021, arXiv:2103.01746. [Google Scholar]
- Stergiou, A.; Poppe, R.; Kalliatakis, G. Refining activation downsampling with softpool. In Proceedings of the 2021 IEEE/CVF International Conference on Computer Vision (ICCV), Montreal, QC, Canada, 10–17 October 2021; pp. 10337–10346. [Google Scholar]
- Czaja, W.; Li, W.; Li, Y.; Pekala, M. Maximal function pooling with applications. In Excursions in Harmonic Analysis, Volume 6: In Honor of John Benedetto’s 80th Birthday; Birkhäuser: Cham, Switzerland, 2021; pp. 413–429. [Google Scholar]
- Kumar, A. Ordinal pooling networks: For preserving information over shrinking feature maps. arXiv 2018, arXiv:1804.02702. [Google Scholar]
- Zhao, Q.; Lyu, S.; Zhang, B.; Feng, W. Multiactivation pooling method in convolutional neural networks for image recognition. Wirel. Commun. Mob. Comput. 2018, 2018, 8196906. [Google Scholar] [CrossRef]
- Yu, D.; Wang, H.; Chen, P.; Wei, Z. Mixed pooling for convolutional neural networks. In Proceedings of the Rough Sets and Knowledge Technology: 9th International Conference, RSKT 2014, Shanghai, China, 24–26 October 2014; pp. 364–375. [Google Scholar]
- Tong, Z.; Aihara, K.; Tanaka, G. A hybrid pooling method for convolutional neural networks. In Proceedings of the Neural Information Processing: 23rd International Conference, ICONIP 2016, Kyoto, Japan, 16–21 October 2016; pp. 454–461. [Google Scholar]
- Zeiler, M.D.; Fergus, R. Stochastic pooling for regularization of deep convolutional neural networks. arXiv 2013, arXiv:1301.3557. [Google Scholar]
- Wu, H.; Gu, X. Max-pooling dropout for regularization of convolutional neural networks. In Proceedings of the Neural Information Processing: 22nd International Conference, ICONIP 2015, Istanbul, Turkey, 9–12 November 2015; pp. 46–54. [Google Scholar]
- Zhai, S.; Wu, H.; Kumar, A.; Cheng, Y.; Lu, Y.; Zhang, Z.; Feris, R. S3pool: Pooling with stochastic spatial sampling. In Proceedings of the IEEE Conference on Computer Vision and Pattern Recognition, Honolulu, HI, USA, 21–26 July 2017; pp. 4970–4978. [Google Scholar]
- Graham, B. Fractional max-pooling. arXiv 2014, arXiv:1412.6071. [Google Scholar]
- He, K.; Zhang, X.; Ren, S.; Sun, J. Spatial pyramid pooling in deep convolutional networks for visual recognition. IEEE Trans. Pattern Anal. Mach. Intell. 2015, 83, 1904–1916. [Google Scholar] [CrossRef]
- Wiliem, A.; Sanderson, C.; Wong, Y.; Hobson, P.; Minchin, R.F.; Lovell, B.C. Automatic classification of human epithelial type 2 cell indirect immunofluorescence images using cell pyramid matching. Pattern Recognit. 2015, 47, 2315–2324. [Google Scholar] [CrossRef]
- Zhang, N.; Farrell, R.; Darrell, T. Pose pooling kernels for sub-category recognition. In Proceedings of the 2012 IEEE Conference on Computer Vision and Pattern Recognition, Providence, RI, USA, 16–21 June 2012; pp. 3665–3672. [Google Scholar]
- Qi, K.; Guan, Q.; Yang, C.; Peng, F.; Shen, S.; Wu, H. Concentric Circle Pooling in Deep Convolutional Networks for Remote Sensing Scene Classification. Remote Sens. 2018, 10, 934. [Google Scholar] [CrossRef]
- Qi, K.; Yang, C.; Hu, C.; Guan, Q.; Tian, W.; Shen, S.; Peng, F. Polycentric circle pooling in deep convolutional networks for high-resolution remote sensing image recognition. IEEE J. Sel. Top. Appl. Earth Obs. Remote Sens. 2020, 13, 632–641. [Google Scholar] [CrossRef]
- Feng, J.; Ni, B.; Tian, Q.; Yan, S. Geometric ℓp-norm feature pooling for image classification. In Proceedings of the CVPR 2011, Colorado Springs, CO, USA, 20–25 June 2011; pp. 2609–2704. [Google Scholar]
- Lin, T.Y.; Maji, S. Improved bilinear pooling with cnns. arXiv 2017, arXiv:1707.06772. [Google Scholar]
- Carreira, J.; Caseiro, R.; Batista, J.; Sminchisescu, C. Semantic segmentation with second-order pooling. In Proceedings of the Computer Vision–ECCV 2012: 12th European Conference on Computer Vision, Florence, Italy, 7–13 October 2012; pp. 430–443. [Google Scholar]
- Zeng, R.; He, J. Grouping Bilinear Pooling for Fine-Grained Image Classification. Appl. Sci. 2022, 12, 5063. [Google Scholar] [CrossRef]
- Behera, A.; Wharton, Z.; Hewage, P.R.; Bera, A. Context-aware attentional pooling (cap) for fine-grained visual classification. In Proceedings of the AAAI Conference on Artificial Intelligence, Vancouver, BC, Canada, 2–9 February 2021; pp. 929–937. [Google Scholar]
- Chen, F.; Datta, G.; Kundu, S.; Beerel, P.A. Self-Attentive Pooling for Efficient Deep Learning. In Proceedings of the IEEE/CVF Winter Conference on Applications of Computer Vision (WACV), Waikoloa, HI, USA, 2–7 January 2023; pp. 3974–3983. [Google Scholar]
- Lee, J.; Lee, I.; Kang, J. Self-attention graph pooling. In Proceedings of the International Conference on Machine Learning, Long Beach, CA, USA, 10–15 June 2019; pp. 3734–3743. [Google Scholar]
- Ranjan, E.; Sanyal, S.; Talukdar, P. Asap: Adaptive structure aware pooling for learning hierarchical graph representations. In Proceedings of the AAAI Conference on Artificial Intelligence, New York, NY, USA, 7–12 February 2020; pp. 5470–5477. [Google Scholar]
- Wang, Y.; Hu, L.; Wu, Y.; Gao, W. Graph Multihead Attention Pooling with Self-Supervised Learning. Entropy 2022, 24, 1745. [Google Scholar] [CrossRef] [PubMed]
- Wen, T.; Zhuang, J.; Du, Y.; Yang, L.; Xu, J. Dual-sampling attention pooling for graph neural networks on 3D mesh. Comput. Methods Programs Biomed. 2021, 208, 106250. [Google Scholar] [CrossRef]
- Peng, W.; Hong, X.; Zhao, G. Tripool: Graph triplet pooling for 3D skeleton-based action recognition. Pattern Recognit. 2021, 115, 107921. [Google Scholar] [CrossRef]
- Saeedan, F.; Weber, N.; Goesele, M.; Roth, S. Detail-preserving pooling in deep networks. In Proceedings of the IEEE Conference on Computer Vision and Pattern Recognition, Salt Lake City, UT, USA, 18–23 June 2018; pp. 9108–9116. [Google Scholar]
- Gao, Z.; Wang, L.; Wu, G. Lip: Local importance-based pooling. In Proceedings of the IEEE/CVF International Conference on Computer Vision (ICCV), Seoul, Republic of Korea, 27 October–2 November 2019; pp. 3354–3363. [Google Scholar]
- Saha, O.; Kusupati, A.; Simhadri, H.V.; Varma, M.; Jain, P. RNNPool: Efficient non-linear pooling for RAM constrained inference. Adv. Neural Inf. Process. Syst. 2020, 33, 20473–20484. [Google Scholar]
- Diamantis, D.E.; Iakovidis, D.K. Fuzzy pooling. IEEE Trans. Fuzzy Syst. 2021, 29, 3481–3488. [Google Scholar] [CrossRef]
- Radhika, C.; Parvathi, R. Intuitionistic fuzzification functions. Glob. J. Pure Appl. Math. 2016, 12, 1211–1227. [Google Scholar]
- Anzilli, L.; Facchinetti, G. A new proposal of defuzzification of intuitionistic fuzzy quantities. In Novel Developments in Uncertainty Representation and Processing: Advances in Intuitionistic Fuzzy Sets and Generalized Nets, Proceedings of the 14th International Conference on Intuitionistic Fuzzy Sets and Generalized Nets IWIFSGN@FQAS, Warsaw, Poland, 12–14 October 2016; Springer International Publishing: Cham, Switzerland, 2016; pp. 185–195. [Google Scholar]
- Ban, A.; Kacprzyk, J.; Atanassov, K. On de-I-fuzzification of intuitionistic fuzzy sets. C. R. L’Academie Bulg. Sci. 2008, 61, 1535–1540. [Google Scholar]
- Atanassov, K.T. Intuitionistic fuzzy sets: Theory and applications. In Studies in Fuzziness and Soft Computing; Springer: Berlin/Heidelberg, Germany, 1999; pp. 87–96. [Google Scholar]
- Yager, R.R. Some aspects of intuitionistic fuzzy sets. Fuzzy Optim. Decis. Mak. 2009, 8, 67–90. [Google Scholar] [CrossRef]
- Er, M.J.; Zhou, Y. Automatic generation of fuzzy inference systems via unsupervised learning. Neural Netw. 2008, 21, 1556–1566. [Google Scholar] [CrossRef] [PubMed]
- El Moutaouakil, K.; Palade, V.; Safouan, S.; Charroud, A. FP-Conv-CM: Fuzzy Probabilistic Convolution C-Means. Mathematics 2023, 11, 1931. [Google Scholar] [CrossRef]
- Alkawaz, A.N.; Abdellatif, A.; Kanesan, J.; Khairuddin, A.S.M.; Gheni, H.M. Day-Ahead Electricity Price Forecasting Based on Hybrid Regression Model. IEEE Access 2022, 10, 108021–108033. [Google Scholar] [CrossRef]
- El Boukhari, N. Constrained optimal control for a class of semilinear infinite dimensional systems. J. Dyn. Control Syst. 2018, 24, 65–81. [Google Scholar]
- Alkawaz, A.N.; Kanesan, J.; Khairuddin, A.S.M.; Badruddin, I.A.; Kamangar, S.; Hussien, M.; Baig, M.A.A.; Ahammad, N.A. Training Multilayer Neural Network Based on Optimal Control Theory for Limited Computational Resources. Mathematics 2023, 11, 778. [Google Scholar] [CrossRef]
- El Moutaouakil, K.; El Ouissari, A.; Palade, V.; Charroud, A.; Olaru, A.; Baïzri, H.; Chellak, S.; Cheggour, M. Multi-objective optimization for controlling the dynamics of the diabetic population. Mathematics 2023, 11, 2957. [Google Scholar] [CrossRef]
- Hore, A.; Ziou, D. Image quality metrics: PSNR vs. SSIM. In Proceedings of the 2010 20th International Conference on Pattern Recognition, Istanbul, Turkey, 23–26 August 2010; pp. 2366–2369. [Google Scholar]
- Lanaras, C.; Bioucas-Dias, J.; Galliani, S.; Baltsavias, E.; Schindler, K. Super-resolution of Sentinel-2 images: Learning a globally applicable deep neural network. ISPRS J. Photogramm. Remote Sens. 2018, 146, 305–319. [Google Scholar] [CrossRef]
- Zhang, L.; Zhang, L.; Mou, X.; Zhang, D. FSIM: A feature similarity index for image quality assessment. IEEE Trans. Image Process. 2011, 20, 2378–2386. [Google Scholar] [CrossRef] [PubMed]
- Aljanabi, M.A.; Hussain, Z.M.; Shnain, N.A.A.; Lu, S.F. Design of a hybrid measure for image similarity: A statistical, algebraic, and information-theoretic approach. Eur. J. Remote Sens. 2019, 52, 2–15. [Google Scholar] [CrossRef]
- Wang, Z.; Bovik, A.C. A universal image quality index. IEEE Signal Process. Lett. 2002, 9, 81–84. [Google Scholar] [CrossRef]
- LeCun, Y. The MNIST Database of Handwritten Digits. 1998. Available online: http://yann.lecun.com/exdb/mnist/ (accessed on 1 September 2023).
- Xiao, H.; Rasul, K.; Vollgraf, R. Fashion-mnist: A novel image dataset for benchmarking machine learning algorithms. arXiv 2017, arXiv:1708.07747. [Google Scholar]
- Machine Learning Repository UCI. Available online: http://archive.ics.uci.edu/ml/datasets.html (accessed on 1 September 2023).
- Charroud, A.; El Moutaouakil, K.; Palade, V.; Yahyaouy, A. XDLL: Explained Deep Learning LiDAR-Based Localization and Mapping Method for Self-Driving Vehicles. Electronics 2023, 12, 567. [Google Scholar] [CrossRef]
- Bahri, A.; Bourass, Y.; Badi, I.; Zouaki, K.; El Moutaouakil, K.; Satori, K. Dynamic CNN combination for Morocco aromatic and medicinal plant classification. Int. J. Comput. Digit. Syst. 2022, 11, 239–249. [Google Scholar] [CrossRef]
- Aharrane, N.; Dahmouni, A.; Ensah, K.E.M.; Satori, K. End-to-end system for printed Amazigh script recognition in document images. In Proceedings of the 2017 International Conference on Advanced Technologies for Signal and Image Processing (ATSIP), Fez, Morocco, 22–24 May 2017; pp. 1–6. [Google Scholar]
- Badr, E.; Ourabah, L.; Sekkat, H.; Mouad Ouhasni, M.; Rachid, A.; Khani, C.; El Moutaouakil, K. Multi-Dataset Convolutional Neural Network Model for Glaucoma Prediction in OCT Fundus Scans. Stat. Optim. Inf. Comput. 2024, 12, 630–645. [Google Scholar]












| Method | PSNR | FSIM () | UIQ | MSE | SSIM () | SRE | RMSE () |
|---|---|---|---|---|---|---|---|
| Max pooling | 86.32 | 88.16 | 0.28 | 5.98 | 99,998.55 | 512.78 | 4.88 |
| Average Pooling | 91.746 | 95.18 | 0.715 | 4.30 | 99,999.861 | 5.495 | 2.619 |
| Fuzzy pooling | 91.742 | 95.26 | 0.719 | 4.18 | 99,999.865 | 15.493 | 2.621 |
| Intuitionistic fuzzy | 91.764 | 95.25 | 0.72 | 4.23 | 99,999.866 | 15.503 | 2.614 |
| Images + Noise | RMSE_Max | RMSE_Avg | RMSE_Fuzz | RMSE_Intuit | RMSE_Min | RMSE_Rand |
|---|---|---|---|---|---|---|
| Images + Gauss | 44.285 | 29.171 | 9.136 | 7.617 | 37.356 | 40.208 |
| Images + Poisson | 43.388 | 29.572 | 9.359 | 7.786 | 37.051 | 40.068 |
| Images + Salt–Pepper | 38.427 | 28.408 | 8.309 | 7.310 | 36.177 | 39.746 |
| Images + Speckle | 31.943 | 28.040 | 7.788 | 6.716 | 35.015 | 33.774 |
| Images + Noise | PSNR_Max | PSNR_Avg | PSNR_Fuzz | PSNR_Intuit | PSNR_Min | PSNR_Rand |
|---|---|---|---|---|---|---|
| Images + Gauss | 0.199 | 0.158 | 0.208 | 0.331 | 0.072 | 0.104 |
| Images + Poisson | 0.255 | 0.215 | 0.268 | 0.351 | 0.121 | 0.150 |
| Images + Salt–Pepper | 0.255 | 0.213 | 0.265 | 0.353 | 0.11632 | 0.159 |
| Images + Speckle | 0.290 | 0.276 | 0.283 | 0.376 | 0.198 | 0.214 |
| Method | Accuracy | Precision | Recall | AUC-ROC | F1 Score | Cohens Kapp | g-Mean |
|---|---|---|---|---|---|---|---|
| Max Pooling (%) | 82.03 | 85.79 | 81.91 | 89.96 | 82.30 | 80.03 | 89.66 |
| Average pooling (%) | 90.76 | 91.06 | 90.69 | 94.83 | 90.64 | 89.73 | 94.78 |
| Fuzzy pooling (%) | 91.99 | 92.07 | 91.97 | 95.54 | 91.91 | 91.10 | 95.48 |
| Intuitionistic Fuzzy pooling (%) | 94.51 | 94.52 | 94.45 | 96.92 | 94.46 | 93.90 | 96.91 |
| Method | Accuracy | Precision | Recall | AUC-ROC | F1 Score | Cohens Kapp |
|---|---|---|---|---|---|---|
| Max Pooling (%) | 84.5 | 84.78 | 84.17 | 84.53 | 82.77 | 91.12 |
| Average pooling (%) | 87.06 | 88.48 | 87.05 | 87.05 | 85.62 | 92.63 |
| Fuzzy pooling (%) | 89.25 | 89.23 | 89.14 | 89.15 | 88.05 | 93.85 |
| Intuitionistic Fuzzy pooling (%) | 91.29 | 9 1.55 | 91.18 | 91.19 | 90.32 | 95.08 |
Disclaimer/Publisher’s Note: The statements, opinions and data contained in all publications are solely those of the individual author(s) and contributor(s) and not of MDPI and/or the editor(s). MDPI and/or the editor(s) disclaim responsibility for any injury to people or property resulting from any ideas, methods, instructions or products referred to in the content. |
© 2024 by the authors. Licensee MDPI, Basel, Switzerland. This article is an open access article distributed under the terms and conditions of the Creative Commons Attribution (CC BY) license (https://creativecommons.org/licenses/by/4.0/).
Share and Cite
Rajafillah, C.; El Moutaouakil, K.; Patriciu, A.-M.; Yahyaouy, A.; Riffi, J. INT-FUP: Intuitionistic Fuzzy Pooling. Mathematics 2024, 12, 1740. https://doi.org/10.3390/math12111740
Rajafillah C, El Moutaouakil K, Patriciu A-M, Yahyaouy A, Riffi J. INT-FUP: Intuitionistic Fuzzy Pooling. Mathematics. 2024; 12(11):1740. https://doi.org/10.3390/math12111740
Chicago/Turabian StyleRajafillah, Chaymae, Karim El Moutaouakil, Alina-Mihaela Patriciu, Ali Yahyaouy, and Jamal Riffi. 2024. "INT-FUP: Intuitionistic Fuzzy Pooling" Mathematics 12, no. 11: 1740. https://doi.org/10.3390/math12111740
APA StyleRajafillah, C., El Moutaouakil, K., Patriciu, A.-M., Yahyaouy, A., & Riffi, J. (2024). INT-FUP: Intuitionistic Fuzzy Pooling. Mathematics, 12(11), 1740. https://doi.org/10.3390/math12111740

