Abstract
This paper explores the likelihood and Bayesian estimation of the stress–strength reliability parameter () based on a lower record ranked set sampling scheme from the generalized Rayleigh distribution. Maximum likelihood and Bayesian estimators as well as confidence intervals of  are derived and their properties are studied. Furthermore, two parametric bootstrap confidence intervals are introduced in the paper. A comparative simulation study is conducted to assess the effectiveness of these four confidence interval methodologies in estimating . The application of the methods is demonstrated using real data on fiber strength to showcase their practicability and relevance in the industry.
    Keywords:
                                                                    record ranked set sampling;                    stress-strength reliability;                    Bayesian estimation;                    generalized Rayleigh distribution;                    bootstrap        MSC:
                62N05; 62F10
            1. Introduction
Analysis of stress strength is a critical problem in the statistical literature. The parameter , is defined as  and represents the probability occurring when the stress X surpasses the strength Y. In practical engineering, stress-strength modeling is widely used in material reliability analysis and design, and can also be used in product life testing. For example, in the aerospace field, life tests are required for components of aircraft to ensure the safety of the aircraft. When the product is used from the beginning to the end of the period, it will be affected by a variety of external stresses (such as pressure, wind, humidity, temperature, etc.). In addition to the influence of these external stresses, the product itself has a certain degree of strength to resist these external stresses. Currently, the stress-strength model is extensively applied across various domains, particularly in addressing issues related to reliability assessment.
Originally introduced by Birnbaum [], the stress-strength model has since garnered significant interest from researchers in the field of reliability statistics. Bi et al. [] studied the  estimation problem of the inverse Weibull distribution of the stress intensity. Hamad et al. [] utilized maximum likelihood estimation and the least squares method to estimate  in Lomax distributed models. Beyond single-component models, multi-component stress-strength frameworks have increasingly attracted scholarly interest. Dey et al. [] addressed the estimation of  in multi-component models with the Kumaraswamy distribution, applying both maximum likelihood and Bayesian estimation to derive asymptotic confidence and credible intervals. Additionally, Rasekhi et al. [] explored both classical and Bayesian methods to estimate  in multi-component models under generalized logistic distribution.
Record-value data are already sampled in a random sampling process according to an established size order scheme, unlike order statistics. We refer to a sequence of records with an increasing trend as the upper records, and similarly a sequence of records with a decreasing trend as the lower records. McIntyre [] first introduced ranked set sampling (RSS) when the variables under consideration are difficult to measure directly but easy to rank. This sampling method greatly increases the amount of information in the sample, making statistical analysis of the population more efficient. Takahasi and Wakimoto [] demonstrated that the sample mean under RSS is more suitable than simple random sampling (SRS) to be used as an estimator when estimating the population mean. Dell [] proved that RSS in the case of a wrong sort order does not affect the fact that it is more effective than simple random sampling for aggregate inference. Mahdizadeh [] studied a goodness-of-fit test for the Rayleigh distribution using RSS and found that RSS-based tests were preferred through extensive Monte Carlo simulations.
Salehi and Ahmadi [] proposed a novel sampling scheme termed record ranked set sampling (RRSS), an extension of traditional ranked set sampling. The final record from each sequence, denoted as , is the only data item used for subsequent analysis. Therefore, the dataset  is a record ranked set sample of size m. The process can be visualized through the following schematic representation:
      
        
      
      
      
      
    
Given that  represents the population’s cumulative distribution function () and  its probability density function (), the joint density of  for lower RRSS of size m can be derived using the marginal density of ordinary records []:
      
        
      
      
      
      
    
      where the vector  represents the observed outcomes for .
Salehi and Ahmadi [] discussed the point and interval estimation of  for the one-parameter exponential distribution under RRSS. Srisodaphol et al. [] discussed and tested, based on the median ranked set and RRSS samples, the interval estimates of  for single-parameter exponential distributions. Tahmasebi et al. [] considered uncertain information for RRSS from an information-theoretic point of view. In practice, judgment ranking errors may occur due to subjectivity, inconsistent ranking criteria, weak correlation between variables, observation errors, intra-set homogeneity, and learning effects. Subjectivity arises due to visual inspection or sensory evaluation, leading to variations in criteria. Inconsistent ranking criteria may result from varying standards applied by observers. Weak correlations between variables can result in ranking inaccuracies, while observation errors exacerbate errors. Intra-set homogeneity makes accurate ranking challenging, especially if the auxiliary variable is weakly correlated. Lack of initial ranking experience can lead to errors, but accuracy improves over time.
The two-parameter generalized Rayleigh distribution with shape  and scale  parameters, say GR(, ), has the following cdf and pdf, respectively.
      
      
        
      
      
      
      
    
      
        
      
      
      
      
    
The pdf and the hazard function of the GR distribution exhibit varying forms based on adjustments to the parameters  and , making it suitable for modeling diverse biased datasets. Specifically, for , the pdf is a decreasing function and the hazard function resembles a bathtub curve. Conversely, for , the pdf appears as a right-skewed, single-peaked curve with an increasing hazard function (refer to Figure 1). The GR distribution serves as an alternative to the Gamma or Weibull distributions, sharing many of their beneficial characteristics. However, it uniquely features a non-monotonic hazard function, advantageous in various practical settings. Notably, at , the GR distribution simplifies to the well-known Rayleigh distribution, a specific instance of the Weibull distribution, widely applied in communication engineering and electric vacuum technologies. Esemena and Gürlers [] assessed the relative efficiencies of maximum likelihood estimators in RSS for this distribution. Additionally, Kotb and Raqab [] explored Bayesian estimation of model parameters and prediction of unobserved data from the Rayleigh distribution using RSS. Furthermore, Ren et al. [] examined entropy estimation for a GR distribution within progressively type-II censored samples. Rao [] estimated  in a multi-component system using the maximum likelihood method of estimation in samples drawn from a generalized Rayleigh distribution. Ahmad [] utilized maximum likelihood estimation and Bayesian approaches to examine two-parameter discrete models introduced as novel counterparts to the Rayleigh–Lindley mixture. Aljohani [] demonstrated the supremacy of the proposed model parameter estimations of the unit generalized Rayleigh model under the RRS design.
 
      
    
    Figure 1.
      Pdf and hazard function of GR.
  
It can be seen that the problem of  statistical inference has attracted a lot of attention. Salehi and Ahmadi [] presented an interesting application of RRSS in the content of the reliability, considering the estimation of  using upper RRSS from the exponential distribution. In our study, we explore the use of the lower RRSS for estimating the stress–strength reliability instead of the upper one. In addition, we seek to know whether the results of Salehi and Ahmadi [] are applicable to a more general distribution such as GR. Currently, there is a gap in the research regarding statistical inference of  under a GR distribution in more complex sampling schemes like RRSS. Therefore, this paper focuses on the statistical inference of  based on the lower RRSS sampling scheme. The paper is organized as follows: In Section 2, we obtain the maximum likelihood and Bayesian estimators for , and also monitor its performance. Section 3 presents the maximum likelihood confidence interval, Bayesian confidence interval, and two different parametric bootstrap confidence intervals (basic and percentile bootstrap) for . A simulation study described in Section 4 assesses and compares these confidence intervals. Section 5 analyses the real dataset of fiber strength. We conclude in Section 6.
2. Point Estimation
If  and , the derivation of , which represents the probability , is presented as (detail in the Appendix A):
      
        
      
      
      
      
    
Consider the observation vectors  and , which are observed from the random vectors  and , respectively.  and  represent lower RRSS of size m and n from  and , respectively, and are assumed to be independent.
2.1. Maximum Likelihood Estimation
To estimate  using the maximum likelihood approach, we examine the following three scenarios:
Consequently, the normal equations can be formulated as below:
      
        
      
      
      
      
    
      
        
      
      
      
      
    
      
        
      
      
      
      
    
      
        
      
      
      
      
    
Here, . Define M as  and N as . By resolving Equations (7) and (8), the solution is obtained as follows:
      
        
      
      
      
      
    
      
        
      
      
      
      
    
Substituting  and  into (9) and (10) and solving the resultant non-linear equations using a numerical method yields the maximum likelihood estimators of the parameters. Leveraging the invariance property of maximum likelihood estimation and employing Equation (5), we derive the maximum likelihood estimation for , denoted as .
Following algebraic manipulations, the maximum likelihood estimators for the parameters can be determined by resolving the system described below:
      
        
      
      
      
      
    
      
        
      
      
      
      
    
        where
        
      
        
      
      
      
      
    
In this scenario, it is not necessary to estimate , as (5) simplifies to
        
      
        
      
      
      
      
    
        which does not depend on . We can assume, without loss of generality, that  in this scenario. Consequently, the maximum likelihood estimators for  and  are computed as follows:
      
        
      
      
      
      
    
      
        
      
      
      
      
    
As a result,  is derived as follows:
      
        
      
      
      
      
    
        where
        
      
        
      
      
      
      
    
        and
        
      
        
      
      
      
      
    
The pdf of , as shown in (19), can be derived from (20) and (21). This is instrumental for calculating the moments of .
Theorem 1. 
The expectation of  is calculated using a hyper-geometric function, as detailed below:
      
        
      
      
      
      
    where  is the hyper-geometric function [].
Proof of Theorem 1. 
Utilizing simple transformation techniques and referring to (19), the pdf of  is derived as follows:
          
      
        
      
      
      
      
    
          where  is a beta function.    □
According to Theorem 1, we plot the following images: Theorem 1 demonstrates that  is the biased estimator of . The mean squared error (MSE) can be calculated as . Figure 2 depicts the bias and MSE values of  versus  for various combinations of M and N.
 
      
    
    Figure 2.
      Bias and MSE of .
  
From the figure, we can see that
- The bias tends to increase as approaches 0 or 1, and becomes minimal when is around .
- MSE peaks around and diminishes towards the extremes of .
We simulated the maximum likelihood estimates of  under SRS and visualized the bias pattern. Upon comparison with the bias plot of RRSS, it was noted that the bias of the SRS distribution is more uniformly spread. Furthermore, RRSS demonstrated enhanced performance as  approaches 0.5, indicating its superior efficacy within this range.
2.2. Bayesian Estimation
This section will infer the reliability properties for unknown parameters from the Bayesian perspective. We consider the parameters , and  to be independent. Consequently,  is also treated as a random variable. Accordingly, we will present the Bayesian estimators for the same three distinct scenarios:
A logical selection for the prior distributions of , and  would be
        
      
        
      
      
      
      
    
        where  and  are hyper-parameters.
Consider ,  and , . Hence, combining the likelihood function (6) with the prior density (26) results in the joint posterior density of the parameters , which is proportional to
        
      
        
      
      
      
      
    
Under the squared error loss function, the Bayesian estimator for , as indicated in (5), is equivalent to  as below:
      
        
      
      
      
      
    
Given that the integral (28) does not yield an explicit solution, employing a Monte Carlo simulation-based algorithm is a viable approach. This paper will provide a detailed description of this particular method.
The posterior density (27) can be reformulated as follows:
      
        
      
      
      
      
    
So, we have
        
      
        
      
      
      
      
    
      
        
      
      
      
      
    
      
        
      
      
      
      
    
      
        
      
      
      
      
    
In addition,
        
      
        
      
      
      
      
    
Ultimately, to approximate the integral detailed in (28), the importance sampling technique can be utilized according to Algorithm 1:
        
| Algorithm 1 Importance sampling approximation algorithm | 
|    Step 1. Initiate the process by generating  and  from  and , respectively, using Markov chain Monte Carlo methods, such as the random walk.        Step 2. With  in Step 1, simulate  from  and  from .           Step 3. Execute Steps 1 and 2 repetitively for B iterations to collect samples  for , and subsequently compute  as specified in (5).   Step 4. The approximation of (28), denoted , is then calculated as the weighted mean of these observations: | 
In this scenario, the prior distributions of the independent variables  would be as follows:
      
        
      
      
      
      
    
        where . Similarly, the joint posterior density of the variables  is derived as follows:
      
        
      
      
      
      
    
        where  and  are the same as in Scenario 1. Similarly, deriving  in a closed form is not feasible. Therefore, an analogous method can be employed to approximate .
According to (16),  does not depend on . Consequently, we can assume  without loss of generality. Therefore,
        
      
        
      
      
      
      
    
        where , represents the observed value of the random variable , .
Theorem 2. 
The Bayesian estimator for  is formulated as follows:
      
        
      
      
      
      
    
Proof of Theorem 2. 
Utilizing basic transformation methods, the pdf of  under the squared error loss function, will be determined as follows:
          
      
        
      
      
      
      
    
          where  is a beta function.    □
3. Interval Estimation
In this section, four confidence intervals for  will be developed for .
3.1. Maximum Likelihood Interval
Theorem 3. 
The  maximum likelihood intervals of  will be derived as
      
        
      
      
      
      
    
3.2. Bayesian Interval
Theorem 4. 
The  Bayesian intervals of  will be derived as
      
        
      
      
      
      
    
3.3. Parametric Bootstrap Confidence Intervals
This section outlines the development of two bootstrap confidence intervals for , where  is set to 1. Using the basic and percentile method, as developed by Efron, B. et al. [], these intervals are established. The foundational calculations for all the procedures discussed earlier rely on  and . Given that  and , parametric bootstrap CIs can be utilized in place of non-parametric alternatives. The typical two-step process for bootstrap methods used to determine these intervals is as follows (Algorithm 2):
        
| Algorithm 2 Parametric bootstrap algorithm | 
|     Step 1. Compute  and  from (17), (18), and (19), respectively. This calculation should be based on independently observed samples  and , which are distributed according to  and , respectively.        Step 2. Generate samples  and  from  and , respectively, for each , and . Use these samples to calculate  and , and subsequently, . Repeat this step for  to obtain a series of estimators . | 
Basic bootstrap confidence interval
- Consider . Calculate the basic bootstrap confidence interval for as .
Percentile bootstrap confidence interval
- Consider that F represents the empirical cumulative distribution function of derived from its bootstrap samples. The percentile bootstrap confidence interval for is then defined as .
4. Simulation Study
To compare the confidence intervals proposed in Section 3, we conduct a simulation study thereafter. The simulation design involves examining every combination of m (the sample size of )  with n (the sample size of ) . Additionally, we adopt  and set . We standardize B (the sample size of the bootstrap)  and for each combination, we generate 10,000 samples of  and  from  and , respectively. We select confidence levels .
The hyper-parameters are set as . As indicated above, the results of Bayesian estimation in scenario 3 (both point and interval estimation) are closely tied to the hyper-parameters . To explore the impact on Bayesian estimation, we tested various combinations of hyper-parameters in the pre-simulation. Our findings revealed that different configurations of hyper-parameters lead to significant fluctuations in Bayesian estimation. After evaluating different parameter choices in our simulation, we settled on a specific combination of hyper-parameters based on their performance and generalizability, resulting in all four hyper-parameters being equal.
We made some modifications to the previous RRSS function by implementing the runif() function to generate a random number following uniform distribution to determine whether to randomly swap two data positions in each sequence. In this way, the data in each sequence are no longer sorted in perfect order.
The resulting confidence intervals’ coverage probability (CP) and expected length (EL) are compiled in Table 1 and Table 2.
 
       
    
    Table 1.
    The CP and EL values for the proposed 95% CIs.
  
 
       
    
    Table 2.
    The CP and EL values for the proposed 90% CIs.
  
We arrive at
- Due to the extremely long EL.ML, the ML intervals are almost ineffective.
- CP.Be is closely related to the value of , and both the CP and EL of Be decrease with an increase in sample size.
- As the sample size increases, the EL of the parametric bootstrap CI decreases. However, the CP of the parametric bootstrap CI remains stable compared to CP.Be.
- The basic bootstrap CI and percentile bootstrap CI have the same EL, with the percentile bootstrap CI performing better.
- An imperfect RRSS hardly affects the Bayesian estimation results.
5. Real Data Analysis
This section presents an analysis of real data on fiber strength. Xu et al. [] mentioned in their paper that measuring interfacial bonding strength in fiber-reinforced soft composites becomes challenging because the large deformation capability of a soft matrix invalidates most of the current testing methods. Badar and Priest [] published the first data on fiber strength. They provided measurements for the strength of individual carbon fibers and bundles, and impregnated tows consisting of 1000 carbon fibers. Individual fibers underwent tensile testing at various gauge lengths, including 1, 10, 20, and 50 mm, while impregnated fiber tows were tested at 20, 50, 150, and 300 mm lengths. The specific datasets discussed here include results from single fibers tested at 10 mm (referred to as Data I and set as X) and 20 mm (referred to as Data II and set as Y) gauge lengths, with the respective sample sizes being 63 and 69.
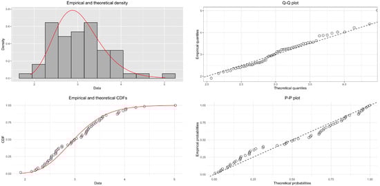
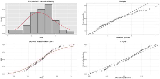
From the goodness-of-fit plots (Figure 3 and Figure 4), it can be observed that a generalized Rayleigh distribution fits the data. Further, we tested the model’s validity using the Kolmogorov–Smirnov (K-S) test for each dataset. The K-S p-values for datasets I and II were found to be 0.4426 and 0.5547. It can be concluded that a generalized Rayleigh distribution fits both datasets. The estimated parameters are . Following the previous assumptions, we set the sampling size to all combinations of 5, 6, and 7. The hyper-parameters are also held constant at . Here, we use perfect RRSS. The maximum likelihood estimators, Bayesian estimators, maximum likelihood confidence intervals, Bayesian confidence intervals, basic bootstrap confidence intervals and percentile bootstrap confidence intervals for  are given in Table 3.
 
      
    
    Figure 3.
      Plot of goodness of fit Data I.
  
 
      
    
    Figure 4.
      Plot of goodness of fit Data II.
  
 
       
    
    Table 3.
    Results of data analysis.
  
As we can see, the estimation results obtained based on real data are basically in line with the conclusions obtained from the simulation study (Section 4). Surprisingly, the ML interval performs quite well in the real dataset, compared to the simulation study. Because the bootstrap the CI and ML interval start from the same facts, they are equally consistent numerically.
Our approach in real data tests involves following the hyper-parameter combination identified in the simulation study, rather than deriving the estimation of the the hyper-parameter theoretically. This distinction results in differences between Bayesian estimation and maximum likelihood estimation in real data tests. We do not explore the impact of various hyper-parameters on Bayesian estimation. Nor do we adjust the hyper-parameters for the simulation study. The relevant issues will be studied in the future.
Both the maximum likelihood point estimation and interval estimation were recalculated for the fiber strength dataset using the imperfect RRSS. It is evident that imperfect RRSS yields a significantly higher MLE.
6. Conclusions
In this paper, we explored the estimation of stress-strength reliability  using lower record ranked set samples from a generalized Rayleigh distribution. Both the maximum likelihood and Bayesian estimators were derived and analyzed. The effectiveness of Bayesian estimation proved to be highly dependent on the chosen reference prior. Various confidence intervals were evaluated through a simulation study based on the expected length and coverage probability. The results indicated that the Bayesian confidence interval outperformed the others, whereas the maximum likelihood confidence interval was relatively less effective. These findings were corroborated by a real data analysis, which also provided surprising results from the maximum likelihood confidence interval, reinforcing the conclusions from Section 2.
Author Contributions
Investigation, Y.D.; Supervision, W.G. All authors have read and agreed to the published version of the manuscript.
Funding
This research was supported by Project 410004207 supported by Beijing Jiaotong University Training Program of Innovation and Entrepreneurship for Undergraduates. Wenhao’s work was partially supported by The Development Project of China Railway (No. N2022J017) and the Fund of China Academy of Railway Sciences Corporation Limited (No. 2022YJ161).
Data Availability Statement
The data presented in this study are openly available in [].
Conflicts of Interest
The authors declare no conflict of interest.
Appendix A
Proof of (5). 
Through the transformations  and , we achieve the following results:
          
      
        
      
      
      
      
    
          and by substituting , we have
          
      
        
      
      
      
      
    Using the transformation , we have
          
      
        
      
      
      
      
    
□
References
- Birnbaum, Z.W. On a Use of the Mann-Whitney Statistic. In Proceedings of the Third Berkeley Symposium on Mathematical Statistics and Probability, Berkeley, CA, USA, 5–12 April 1954; pp. 13–18. [Google Scholar]
- Bi, Q.X.; Gui, W.H. Bayesian and Classical Estimation of Stress-Strength Reliability for Inverse Weibull Lifetime Models. Algorithms 2017, 10, 71. [Google Scholar] [CrossRef]
- Hamad, A.; Salman, B. Different Estimation Methods of the Stress-Strength Reliability Restricted Exponentiated Lomax Distribution. Math. Model. Eng. Probl. 2021, 8, 477–484. [Google Scholar] [CrossRef]
- Dey, S.; Mazucheli, J.; Anis, M.Z. Estimation of reliability of multicomponent stress–strength for a Kumaraswamy distribution. Commun. Stat. Theory Methods 2016, 46, 1560–1572. [Google Scholar] [CrossRef]
- Rasekhi, M.; Saber, M.M.; Yousof, H.M. Bayesian and classical inference of reliability in multicomponent stress-strength under the generalized logistic model. Commun. Stat. Theory Methods 2020, 50, 5114–5125. [Google Scholar] [CrossRef]
- McIntyre, G.A. A Method for Unbiased Selective Sampling Using Ranked Set. Am. Stat. 2005, 59, 230–232. [Google Scholar] [CrossRef]
- Takahasi, K.; Wakimoto, K. On Unbiased Estimates of the Population Mean Based on the Sample Stratified by Means of Ordering. Ann. Inst. Stat. Math. 1968, 20, 1–31. [Google Scholar] [CrossRef]
- Dell, T.R.; Clutter, J.L. Ranked Set Sampling Theory with Order Statistics Background. Biometrics 1972, 28, 545–555. [Google Scholar] [CrossRef]
- Mahdizadeh, M. Test of fit for the Rayleigh distribution in ranked set sampling. J. Stat. Manag. Syst. 2017, 20, 901–915. [Google Scholar] [CrossRef]
- Salehi, M.; Ahmadi, J. Record Ranked Set Sampling Scheme. Metron 2014, 72, 351–365. [Google Scholar] [CrossRef]
- Arnold Barry, C.; Balakrishnan, N.; Nagaraja, H.N. Records; Wiley: New York, NY, USA, 1998. [Google Scholar]
- Sadeghpour, A.; Salehi, M.; Nezakati, A. Estimation of the stress–strength reliability using lower record ranked set sampling scheme under the generalized exponential distribution. J. Stat. Comput. Simul. 2020, 90, 51–74. [Google Scholar] [CrossRef]
- Sorin, M.; Srisodaphol, W. Interval Estimation of the Stress-Strength Reliability for Lower Record Data Based on One-parameter Exponential Distribution Using Median Ranked Set Sampling and Record Ranked Set Sampling. Philipp. J. Sci. 2022, 151, 779–791. [Google Scholar] [CrossRef]
- Tahmasebi, S.; Afshari, M.; Eskandarzadeh, M. Information Measures for Record Ranked Set Samples. CiêNcia Nat. 2016, 38, 554. [Google Scholar] [CrossRef]
- Esemen, M.; Gurler, S. Parameter Estimation of Generalized Rayleigh Distribution Based on Ranked Set Sample. J. Stat. Comput. Simul. 2017, 88, 1–14. [Google Scholar] [CrossRef]
- Kotb, M.; Raqab, M. Bayesian inference and prediction of the Rayleigh distribution based on ordered ranked set sampling. Commun. Stat. Simul. Comput. 2018, 47, 905–923. [Google Scholar] [CrossRef]
- Ren, H.; Gong, Q.; Hu, X. Estimation of Entropy for Generalized Rayleigh Distribution under Progressively Type-II Censored Samples. Axioms 2023, 12, 776. [Google Scholar] [CrossRef]
- Rao, G.S. Estimation of reliability in multicomponent stress-strength based on generalized Rayleigh distribution. J. Mod. Appl. Stat. Methods 2014, 13, 24. [Google Scholar] [CrossRef]
- Ahmad, H.H. The Efficiency of Hazard Rate Preservation Method for Generating Discrete Rayleigh—Lindley Distribution. Mathematics 2024, 12, 1261. [Google Scholar] [CrossRef]
- Aljohani, H.M. Statistical inference for a novel distribution using ranked set sampling with applications. Heliyon 2024, 10, e26893. [Google Scholar] [CrossRef]
- Salehi, M.; Ahmadi, J. Estimation of stress-strength reliability using record ranked set sampling scheme from the exponential distribution. Filomat 2015, 29, 1149–1162. [Google Scholar] [CrossRef]
- Bailey, W.N. Generalized Hypergeometric Series; Cambridge University Press: Cambridge, UK, 1935. [Google Scholar]
- Efron, B.; Tibshirani, R.J. An Introduction to the Bootstrap; Chapman and Hall/CRC: New York, NY, USA, 1994. [Google Scholar]
- Xu, Y.; Zhu, J.; Zhou, L.; Yang, B.; Liu, Z.; Liu, Y.; Tang, L.; Jiang, Z. Measurement of tensile and shear strength of interfacial bonding in fiber reinforced soft composites combining experiments and simulation. Compos. Part Appl. Sci. Manuf. 2024, 183, 108221. [Google Scholar] [CrossRef]
- Bader, M.; Priest, A. Statistical Aspects of Fibre and Bundle Strength in Hybrid Composites. In Progress in Science and Engineering Compsites; ICCM-IV: Tokyo, Japan, 1982; pp. 1129–1136. [Google Scholar]
| Disclaimer/Publisher’s Note: The statements, opinions and data contained in all publications are solely those of the individual author(s) and contributor(s) and not of MDPI and/or the editor(s). MDPI and/or the editor(s) disclaim responsibility for any injury to people or property resulting from any ideas, methods, instructions or products referred to in the content. | 
© 2024 by the authors. Licensee MDPI, Basel, Switzerland. This article is an open access article distributed under the terms and conditions of the Creative Commons Attribution (CC BY) license (https://creativecommons.org/licenses/by/4.0/).
