Unsteady Hydromagnetic Flow over an Inclined Rotating Disk through Neural Networking Approach
Abstract
1. Introduction
2. Novelty/Originality
- A time-dependent magnetic field embedded in a non-Darcy porous medium has been considered.
- At the same time, the condition of the convective boundary is taken into account.
- Thermal radiation is considered the more realistic physical problem.
- Joule heating and viscous dissipation are employed in the energy equation.
- Velocity slip and thermal slip conditions have been used along the inclined disk.
- The RK-4 method is used to get solutions from the dimensionless form of modeled equations. Neural networking is used to validate the convergence of obtained results and make the model more precise and meaningful.
3. Materials and Methods
4. Solution Methodology
Validation of Results
5. Results and Discussion
6. Conclusions
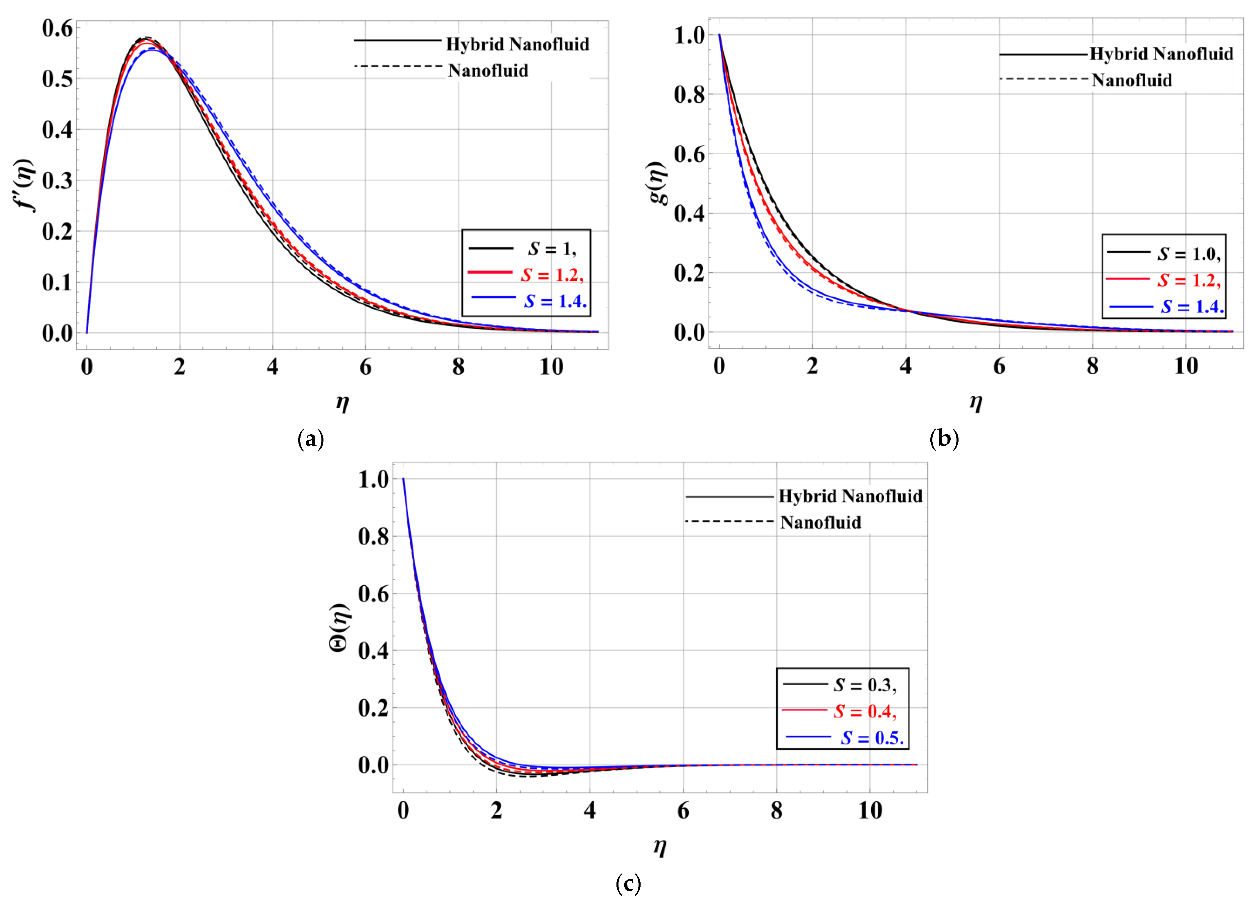
- The velocity profile along and directions of the hybrid nanofluid is retarded by increasing the values of the porosity factor, unsteadiness parameter, Forchheimmer number, and magnetic field.
- The slip factor efficiently controls the growth in velocity variations.
- The fluid heat gets lower with the increase in the thermal slip factor.
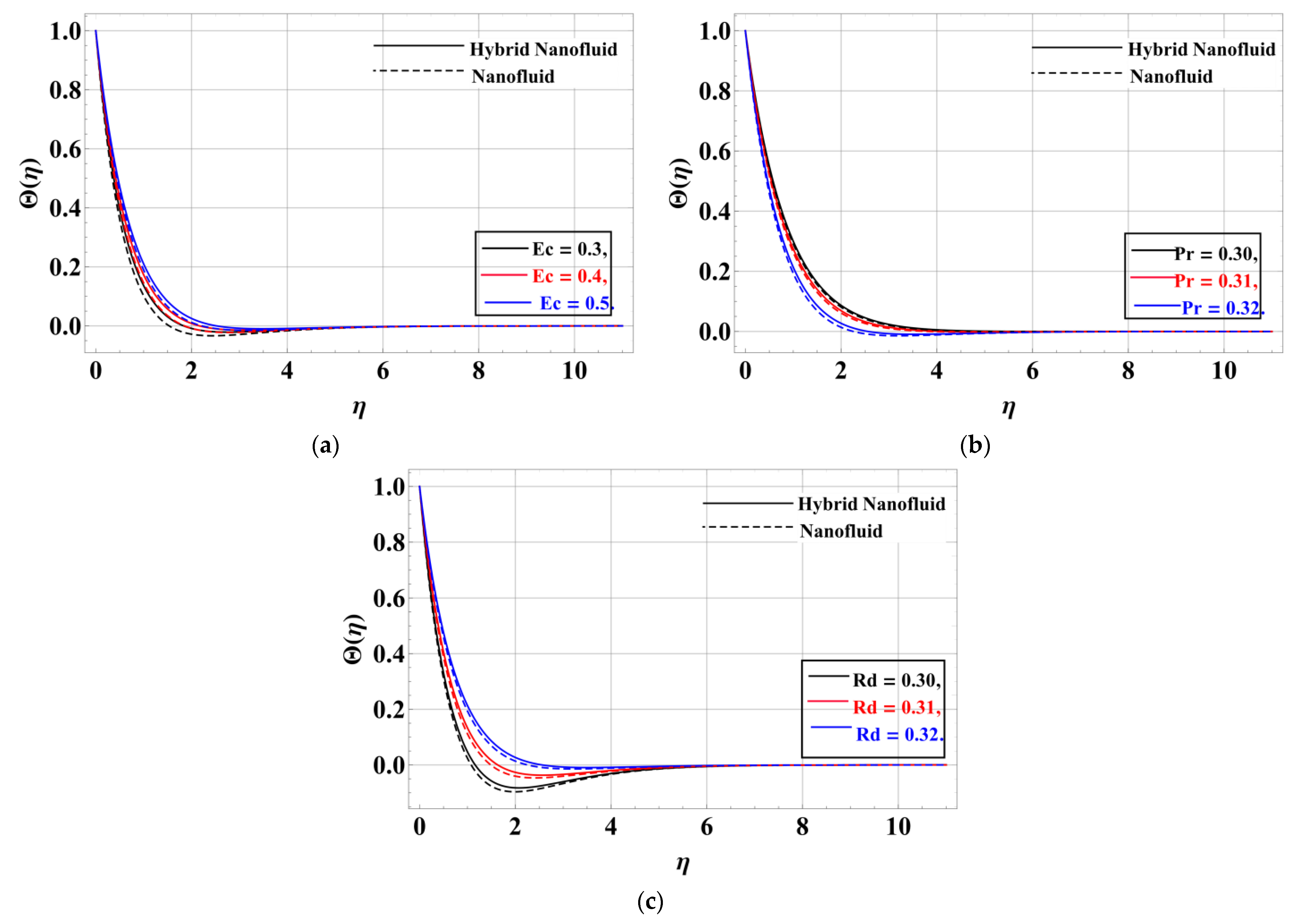
- The temperature of the hybrid nanofluid is increased by increasing the values of the porosity parameter, the unsteadiness factor, the Eckert number, the magnetic field, and the Forchheimmer number, while for the values of the radiation factor, the thermal heat is retarded near the disk and increases away from the disk.
- The porosity of the medium and the magnetic field are significant for the skin friction coefficient along the direction when the values of other parameters are fixed. While in -direction the skin friction and Forchheimmer number are significant, other parameters are to be fixed.
- The magnetic and radiation factors are significant for the Nusselt number when the other parameters are fixed.
- The physical quantity, i.e., the local Nusselt number, increases to meet the increasing values of the Prandtl number.
- The convergence of the results is verified through the neural network and machine-learning approach.
Author Contributions
Funding
Data Availability Statement
Acknowledgments
Conflicts of Interest
References
- Choi, S.U.; Eastman, J.A. Enhancing Thermal Conductivity of Fluids with Nanoparticles; Argonne National Laboratory: Lemont, IL, USA, 1995; pp. 99–105.
- Seth, G.S.; Nandkeolyar, R.; Mahto, N.; Singh, S.K. MHD Couette flow in a rotating system in the presence of an inclined magnetic field. Appl. Math. Sci. 2009, 3, 2919–2932. [Google Scholar]
- Higano, M.; Miyagawa, A.; Saigou, K.; Masuda, H.; Miyashita, H. Measuring the specific heat capacity of magnetic fluids using a differential scanning calorimeter. Int. J. Thermophys. 1999, 20, 207–215. [Google Scholar] [CrossRef]
- Turcu, R.; Darabont, A.L.; Nan, A.; Aldea, N.; Macovei, D.; Bica, D.; Vekas, L.; Pana, O.; Soran, M.L.; Koos, A.A.; et al. New polypyrrole-multiwall carbon nanotubes hybrid materials. J. Optoelectron. Adv. Mater. 2006, 8, 643–647. [Google Scholar]
- Muneeshwaran, M.; Srinivasan, G.; Muthukumar, P.; Wang, C.C. Role of hybrid-nanofluid in heat transfer enhancement–A review. Int. Commun. Heat Mass Transf. 2021, 125, 105341. [Google Scholar] [CrossRef]
- Sajid, M.U.; Ali, H.M. Thermal conductivity of hybrid nanofluids: A critical review. Int. J. Heat Mass Transf. 2018, 126, 211–234. [Google Scholar] [CrossRef]
- Sahoo, R.R.; Kumar, V. Development of a new correlation to determine the viscosity of ternary hybrid nanofluid. Int. Commun. Heat Mass Transf. 2020, 111, 104451. [Google Scholar] [CrossRef]
- Wang, J.; Xu, Y.P.; Qahiti, R.; Jafaryar, M.; Alazwari, M.A.; Abu-Hamdeh, N.H.; Issakhov, A.; Selim, M.M. Simulation of hybrid nanofluid flow within a microchannel heat sink considering porous media analyzing CPU stability. J. Pet. Sci. Eng. 2022, 208, 109734. [Google Scholar] [CrossRef]
- Shah, T.R.; Ali, H.M. Applications of hybrid nanofluids in solar energy, practical limitations and challenges: A critical review. Sol. Energy 2019, 183, 173–203. [Google Scholar] [CrossRef]
- Von Kármán, T. Über laminare und turbulente Reibung. Z. Angew. Math. Mech. 1921, 1, 233–252. [Google Scholar] [CrossRef]
- Milavcic, M.; Wang, C.Y. The flow due to a rough rotating disc. Z. Angew. Math. Phys. 2004, 55, 235–246. [Google Scholar] [CrossRef]
- Turkyilmazoglu, M.; Senel, P. Heat and mass transfer of the flow due to a rotating rough and porous disk. Int. J. Therm. Sci. 2013, 63, 146–158. [Google Scholar] [CrossRef]
- Devi, S.A.; Devi, S.S.U. Numerical investigation of hydromagnetic hybrid Cu-Al2O3/water nanofluid flow over a permeable stretching sheet with suction. Int. J. Nonlinear Sci. Numer. Simul. 2016, 17, 249–257. [Google Scholar] [CrossRef]
- Devi, S.U.; Devi, S.A. Heat transfer enhancement of Cu-Al2O3/water hybrid nanofluid flow over a stretching sheet. J. Niger. Math. Soc. 2017, 36, 419–433. [Google Scholar]
- Owen, J.M.; Roger, R.H. Flow and heat transfer in rotating-disc systems. Volume I-Rotor-stator systems. NASA STI/Recon Tech. Rep. A 1989, 90, 45759. [Google Scholar]
- Acharya, N.; Maity, S.; Kundu, P.K. Entropy generation optimization of unsteady radiative hybrid nanofluid flow over a slippery spinning disk. Proc. Inst. Mech. Eng. Part C-J. Mech. Eng. Sci. 2022, 236, 6007–6024. [Google Scholar] [CrossRef]
- Akbar, N.S.; Khan, Z.H.; Nadeem, S. The combined effects of slip and convective boundary condi-tions on stagnation-point flow of CNT suspended nanofluid over a stretching sheet. J. Mol. Liq. 2014, 196, 21–25. [Google Scholar] [CrossRef]
- Turkyilmazoglu, M. Multiple solutions of heat and mass transfer of MHD slip flow for the viscoelastic fluid over a stretching sheet. Int. J. Therm. Sci. 2011, 50, 2264–2276. [Google Scholar] [CrossRef]
- Pandey, A.K.; Kumar, M. Natural convection and thermal radiation influence on nanofluid flow over a stretching cylinder in a porous medium with viscous dissipation. Alex. Eng. J. 2017, 56, 55–62. [Google Scholar] [CrossRef]
- Nayak, M.K.; Shaw, S.; Pandey, V.S.; Chamkha, A.J. Combined effects of slip and convective boundary condition on MHD 3D stretched flow of nanofluid through porous media inspired by non-linear thermal radiation. Indian J. Phys. 2018, 92, 1017–1028. [Google Scholar] [CrossRef]
- Zhang, J.K.; Dong, H.; Zhou, E.Z.; Li, B.W.; Tian, X.Y. A combined method for solving 2D in-compressible flow and heat transfer by spectral collocation method and artificial compressibility method. Int. J. Heat Mass Transf. 2017, 112, 289–299. [Google Scholar] [CrossRef]
- Nayak, M.K. Chemical reaction effect on MHD viscoelastic fluid over a stretching sheet through porous medium. Meccanica 2016, 51, 1699–1711. [Google Scholar] [CrossRef]
- Ganga, B.; Ansari, S.M.Y.; Ganesh, N.V.; Hakeem, A.A. MHD flow of Boungiorno model nanofluid over a vertical plate with internal heat generation/absorption. Propuls. Power Res. 2016, 5, 211–222. [Google Scholar] [CrossRef]
- Guedri, K.; Khan, A.; Sene, N.; Raizah, Z.; Saeed, A.; Galal, A.M. Thermal Flow for Radiative Ternary Hybrid Nanofluid over Nonlinear Stretching Sheet Subject to Darcy–Forchheimer Phenomenon. Math. Probl. Eng. 2022, 2022, 3429439. [Google Scholar] [CrossRef]
- Khan, A.; Alyami, M.A.; Alghamdi, W.; Alqarni, M.M.; Yassen, M.F.; Eldin, E.T. Thermal examination for the micropolar gold–blood nanofluid flow through a permeable channel subject to gyrotactic microorganisms. Front. Energy Res. 2022, 10, 993247. [Google Scholar] [CrossRef]
- Ibrahim, S.M.; Lorenzini, G.; Kumar, P.V.; Raju, C.S.K. Influence of Chemical Reaction and Heat Source on Dissipative MHD Mixed Convection Flow of a Casson Nanofluid over a Nonlinear Per-meable Stretching Sheet. Int. J. Heat Mass Transf. 2017, 111, 346–355. [Google Scholar] [CrossRef]
- Thumma, T.; Bég, O.A.; Kadir, A. Numerical Study of Heat Source/Sink Effects on Dissipative Magnetic Nanofluid Flow from a Non-Linear Inclined Stretching/Shrinking Sheet. J. Mol. Liq. 2017, 232, 159–173. [Google Scholar] [CrossRef]
- Qasim, M.; Khan, Z.H.; Lopez, R.J.; Khan, W.A. Heat and Mass Transfer in Nanofluid Thin Film over an Unsteady Stretching Sheet Using Buongiorno’s Model. Eur. Phys. J. Plus 2016, 131, 16. [Google Scholar] [CrossRef]
- Khan, M.I.; Waqas, H.; Khan, S.U.; Imran, M.; Chu, Y.M.; Abbasi, A.; Kadry, S. Slip Flow of Micropolar Nanofluid over a Porous Rotating Disk with Motile Microorganisms, Nonlinear Thermal Radiation and Activation Energy. Int. Commun. Heat Mass Transf. 2021, 122, 105161. [Google Scholar] [CrossRef]
- Takhar, H.S.; Singh, A.K.; Nath, G. Unsteady MHD flow and heat transfer on a rotating disk in an ambient fluid. Int. J. Therm. Sci. 2002, 41, 147–155. [Google Scholar] [CrossRef]
- Ullah, M.Z.; Serra-Capizzano, S.; Baleanu, D. A numerical simulation for Darcy-Forchheimer flow of nanofluid by a rotating disk with partial slip effects. Front. Phys. 2020, 7, 219. [Google Scholar] [CrossRef]
- Waini, I.; Khashi’ie, N.S.; Kasim, A.R.M.; Zainal, N.A.; Hamzah, K.B.; Md Arifin, N.; Pop, I. Unsteady magnetohydrodynamics (MHD) flow of hybrid ferrofluid due to a rotating disk. Mathematics 2022, 10, 1658. [Google Scholar] [CrossRef]
- Khan, M.R.; Alqahtani, A.M.; Alhazmi, S.E.; Elkotb, M.A.; Sidi, M.O.; Alrihieli, H.F.; Yassen, M.F. Numerical Investigation of Darcy–Forchheimer Hybrid Nanofluid Flow with Energy Transfer over a Spinning Fluctuating Disk under the Influence of Chemical Reaction and Heat Source. Micromachines 2022, 14, 48. [Google Scholar] [CrossRef]
- Aladdin, N.A.L.; Bachok, N.; Pop, I. Cu-Al2O3/Water Hybrid Nanofluid Flow over a Permeable Moving Surface in Presence of Hydromagnetic and Suction Effects. Alex. Eng. J. 2020, 59, 657–666. [Google Scholar] [CrossRef]
- Saba, F.; Ahmed, N.; Khan, U.; Waheed, A.; Rafiq, M.; Mohyud-Din, S.T. Thermophysical Analysis of Water Based (Cu–Al2O3) Hybrid Nanofluid in an Asymmetric Channel with Dilating/Squeezing Walls Considering Different Shapes of Nanoparticles. Appl. Sci. 2018, 8, 1549. [Google Scholar] [CrossRef]
- Ramzan, M.; Riasat, S.; Chung, J.D.; Chu, Y.M.; Sheikholeslami, M.; Kadry, S.; Howari, F. Upshot of Heterogeneous Catalysis in a Nanofluid Flow over a Rotating Disk with Slip Effects and Entropy Optimization Analysis. Sci. Rep. 2021, 11, 120. [Google Scholar] [CrossRef] [PubMed]
- Mukhtar, S.; Gul, T. Solar Radiation and Thermal Convection of Hybrid Nanofluids for the Optimization of Solar Collector. Mathematics 2023, 11, 1175. [Google Scholar] [CrossRef]
- Mustafa, M. MHD nanofluid flow over a rotating disk with partial slip effects: Buongiorno model. Int. J. Heat Mass Transf. 2017, 108, 1910–1916. [Google Scholar] [CrossRef]
- Aziz, A.; Alsaedi, A.; Muhammad, T.; Hayat, T. Numerical study for heat generation/absorption in flow of nanofluid by a rotating disk. Results Phys. 2018, 8, 785–792. [Google Scholar] [CrossRef]
- Raja, M.A.Z.; Shoaib, M.; Zubair, G.; Khan, M.I.; Gowda, R.P.; Prasannakumara, B.C.; Guedri, K. Intelligent neuro-computing for entropy generated Darcy–Forchheimer mixed convective fluid flow. Math. Comput. Simul. 2022, 201, 193–214. [Google Scholar] [CrossRef]
- Reddy, S.R.R.; Reddy, P.B.A. Thermal radiation effect on unsteady three-dimensional MHD flow of micropolar fluid over a horizontal surface of a parabola of revolution. Propuls. Power Res. 2022, 11, 129–142. [Google Scholar] [CrossRef]










| Material | |||||
|---|---|---|---|---|---|
| Water | 3594 | 4179 | 0.492 | ||
| Copper | 8933 | 385 | 401 | ||
| Alumina | 4907 | 700 | 3.7 |
| Properties | Mathematical Models |
|---|---|
| Viscosity | |
| Density | |
| Thermal Capacity | |
| Thermal Expansion | |
| Thermal Conductivity | |
| Electrical Conductivity |
| Parameter | [38] | [39] | Present Data | |||
|---|---|---|---|---|---|---|
| 0.0 | 0.259534 | −0.416784 | 0.25953 | −0.416780 | 0.259420 | −0.416750 |
| 0.2 | 0.191176 | −0.509536 | 0.19118 | −0.509540 | 0.191170 | −0.509480 |
| 0.4 | 0.146057 | −0.599523 | 0.14606 | −0.599520 | 0.146015 | −0.599530 |
| 0.6 | 0.116699 | −0.680355 | 0.11670 | −0.680360 | 0.116620 | −0.680280 |
| 0.8 | 0.096762 | −0.751543 | 0.099676 | −0.751540 | 0.096764 | −0.750430 |
| Parameters | |||||||
|---|---|---|---|---|---|---|---|
| Ec | Rd | M | |||||
| 2.0 | 2.0 | 0.01 | 0.1 | 0.1 | 0.373177 | 0.3837321 | 0.37176219 |
| 3.0 | 0.412823 | 0.4835287 | 0.1818329 | ||||
| 4.0 | 0.448879 | 0.541342 | 0.0617321 | ||||
| 3.0 | 0.44323 | 0.431423 | 0.3834210 | ||||
| 4.0 | 0.44312 | 0.43111 | 0.399643 | ||||
| 0.02 | 0.378378 | 0.384281 | 0.3932165 | ||||
| 0.03 | 0.361757 | 0.385210 | 0.42107 | ||||
| 0.2 | 0.3722328 | 0.382187 | 0.4032654 | ||||
| 0.3 | 0.3721557 | 0.383210 | 0.41873214 | ||||
| 0.2 | 0.4231013 | 0.3864328 | 0.3972135 | ||||
| 0.3 | 0.4322872 | 0.3878421 | 0.4012313 | ||||
Disclaimer/Publisher’s Note: The statements, opinions and data contained in all publications are solely those of the individual author(s) and contributor(s) and not of MDPI and/or the editor(s). MDPI and/or the editor(s) disclaim responsibility for any injury to people or property resulting from any ideas, methods, instructions or products referred to in the content. |
© 2023 by the authors. Licensee MDPI, Basel, Switzerland. This article is an open access article distributed under the terms and conditions of the Creative Commons Attribution (CC BY) license (https://creativecommons.org/licenses/by/4.0/).
Share and Cite
Ali, I.; Gul, T.; Khan, A. Unsteady Hydromagnetic Flow over an Inclined Rotating Disk through Neural Networking Approach. Mathematics 2023, 11, 1893. https://doi.org/10.3390/math11081893
Ali I, Gul T, Khan A. Unsteady Hydromagnetic Flow over an Inclined Rotating Disk through Neural Networking Approach. Mathematics. 2023; 11(8):1893. https://doi.org/10.3390/math11081893
Chicago/Turabian StyleAli, Ishtiaq, Taza Gul, and Arshad Khan. 2023. "Unsteady Hydromagnetic Flow over an Inclined Rotating Disk through Neural Networking Approach" Mathematics 11, no. 8: 1893. https://doi.org/10.3390/math11081893
APA StyleAli, I., Gul, T., & Khan, A. (2023). Unsteady Hydromagnetic Flow over an Inclined Rotating Disk through Neural Networking Approach. Mathematics, 11(8), 1893. https://doi.org/10.3390/math11081893

