Role of Chemically Magnetized Nanofluid Flow for Energy Transition over a Porous Stretching Pipe with Heat Generation/Absorption and Its Stability
Abstract
1. Introduction
2. Formulation of the Problem
3. Numerical Procedure and Convergence
4. Stability Analysis
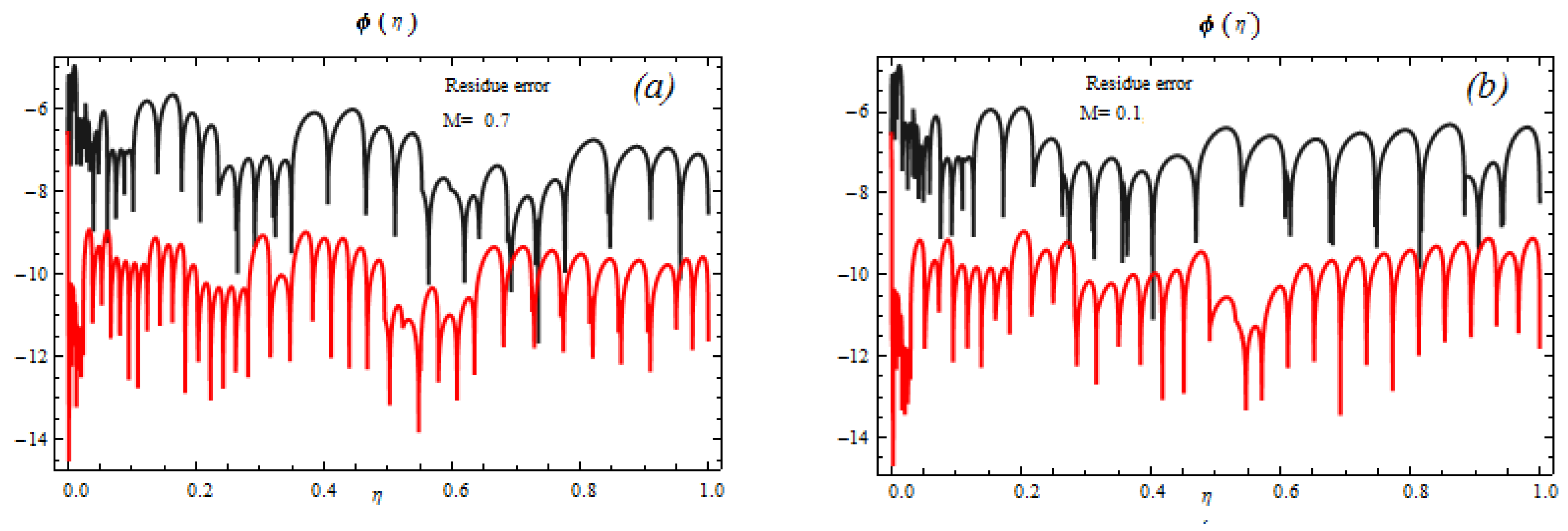
5. Error Explanation
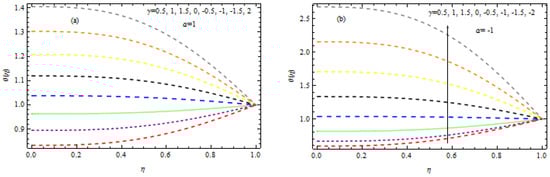
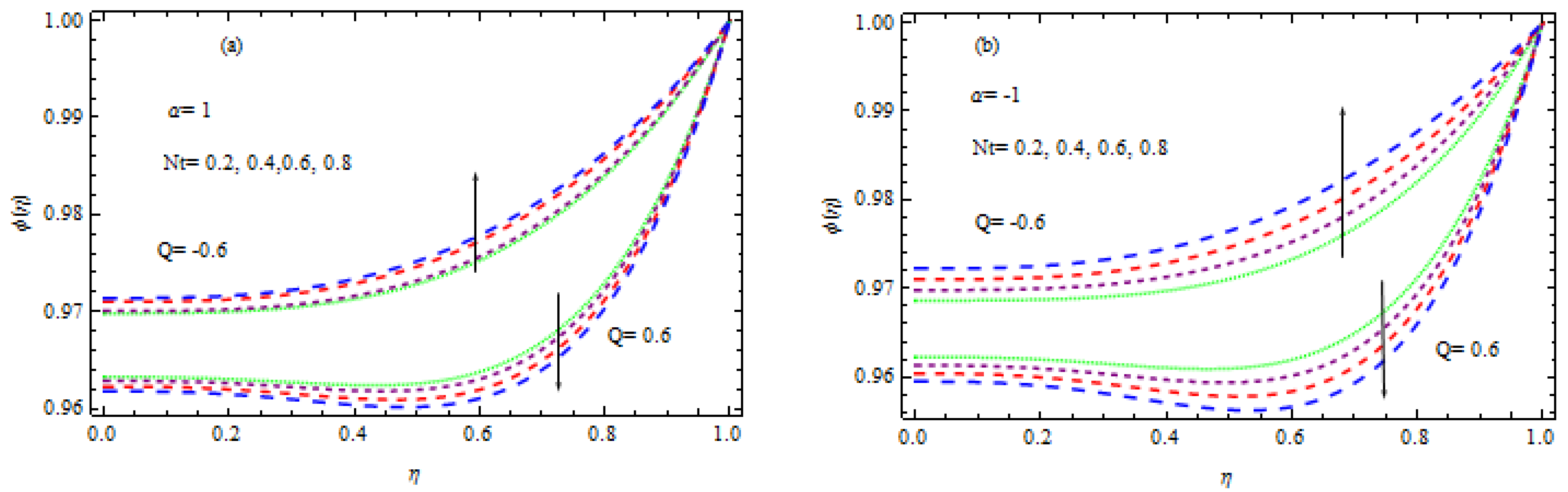
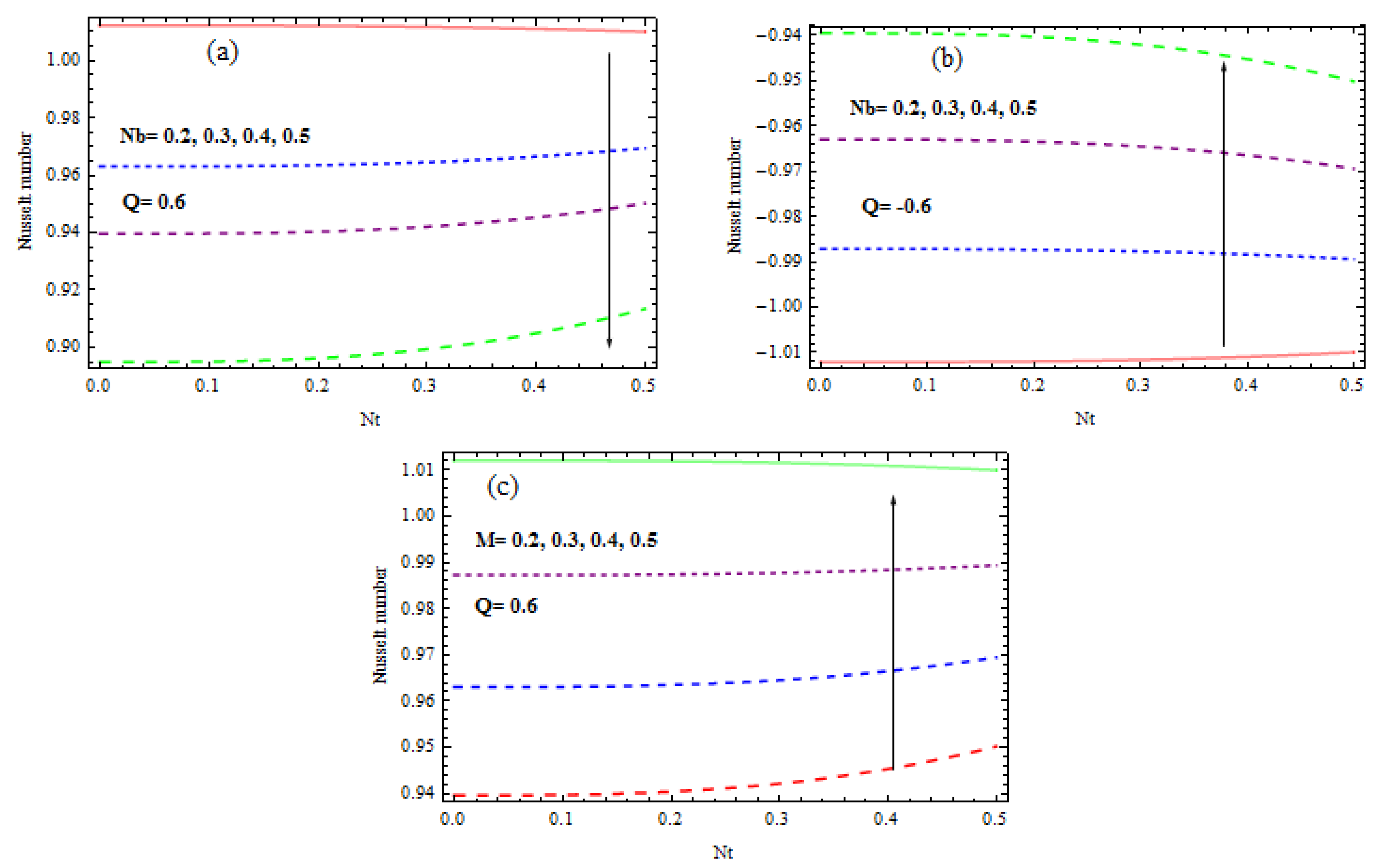
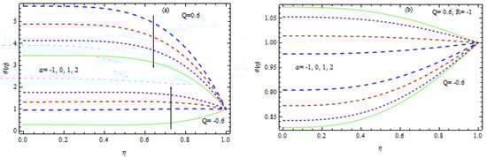
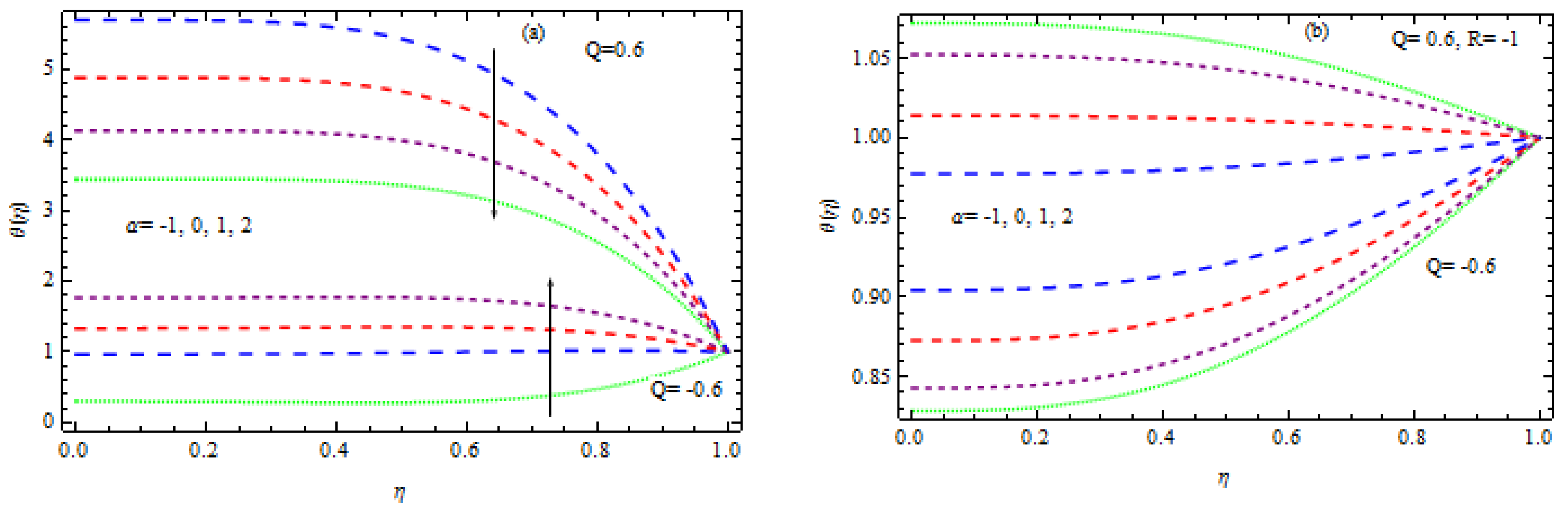
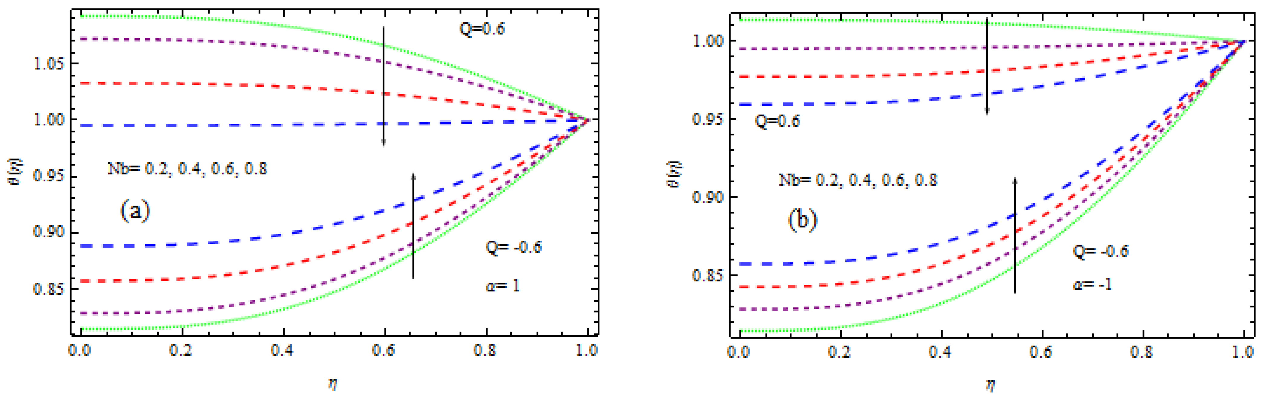
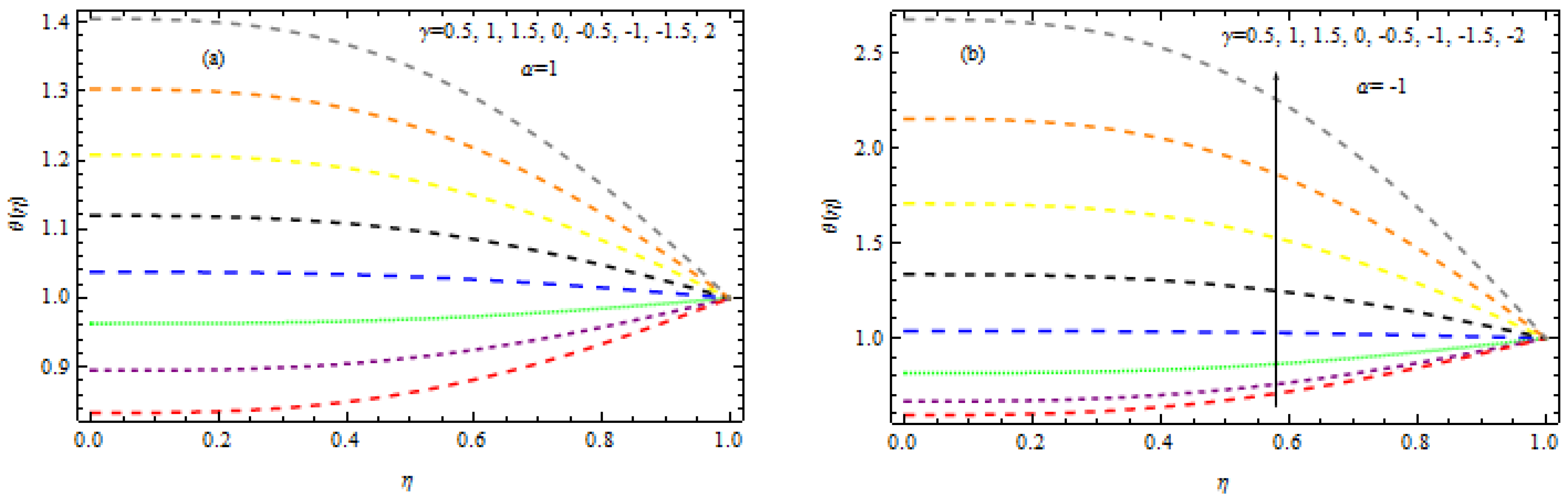
6. Analysis and Discussion
7. Key Notes
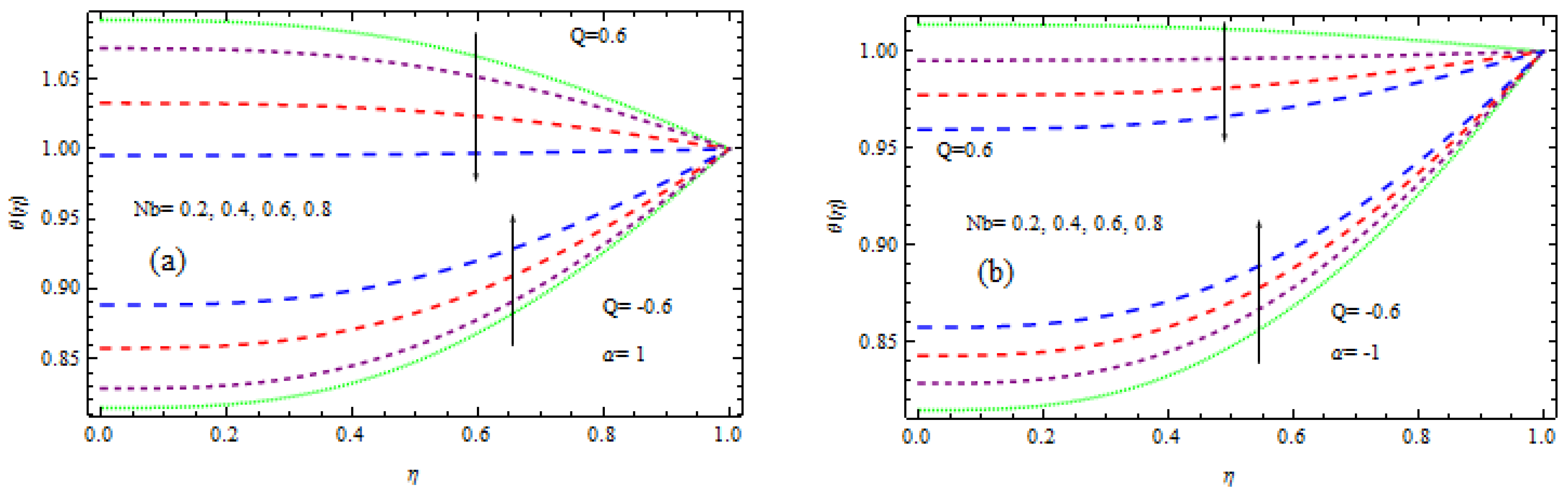
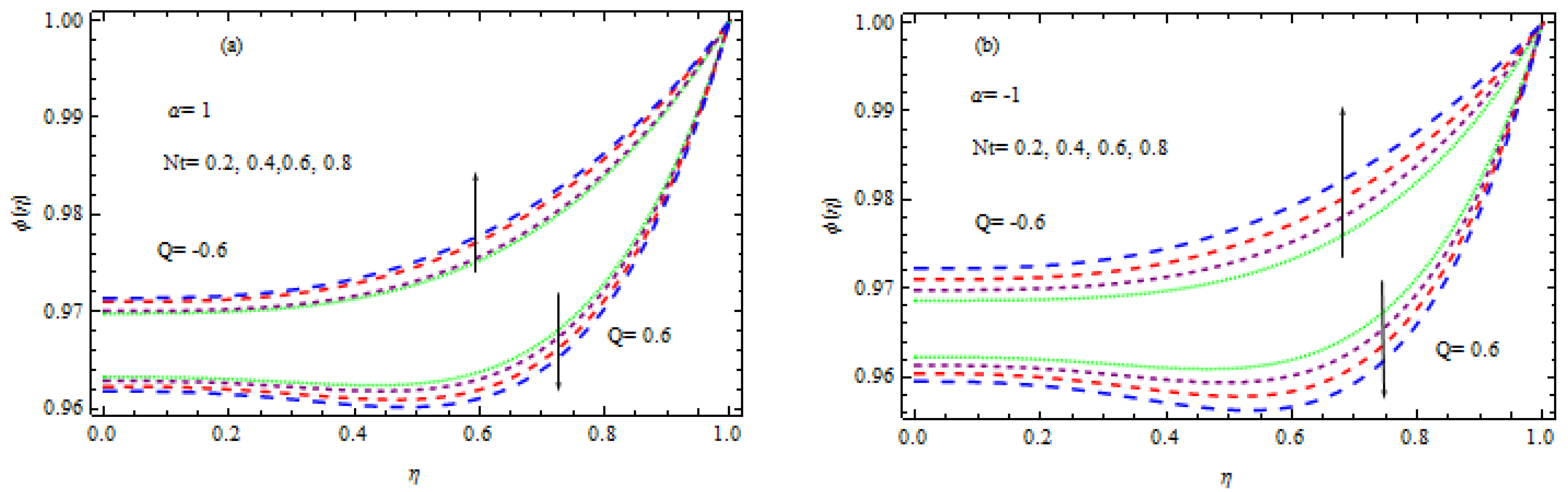
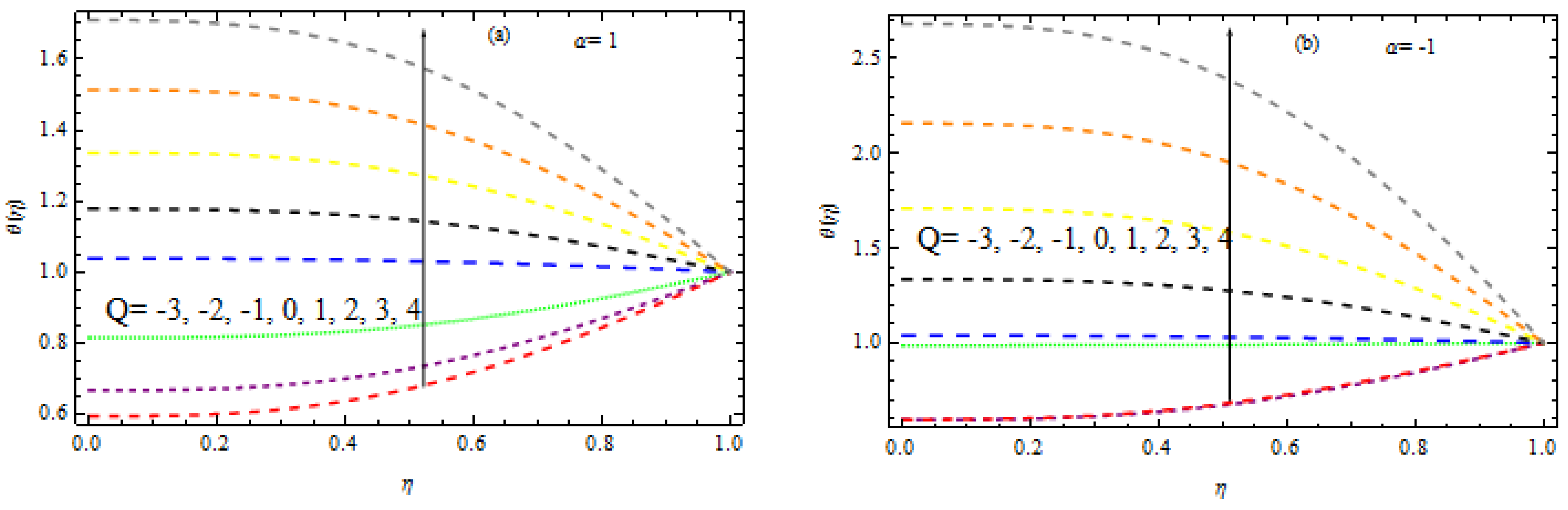
- It is observed that for both situations of wall extension or contraction with injection, the temperature is the increasing function of the thermophoresis and Brownian motion factors.
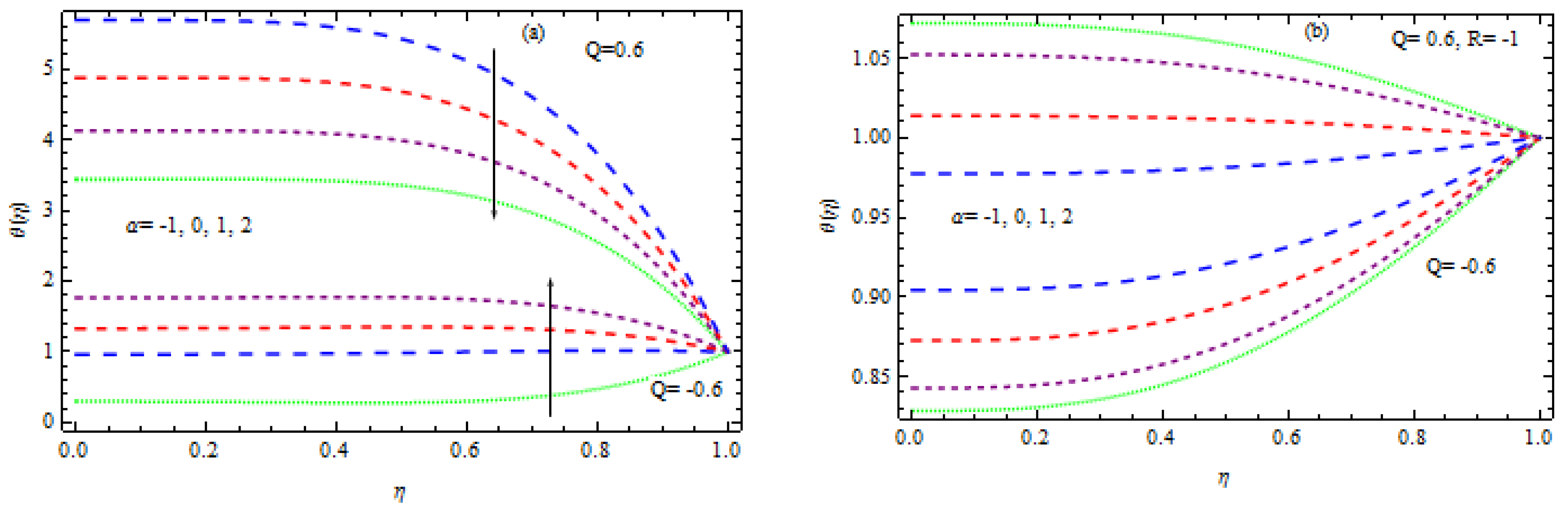
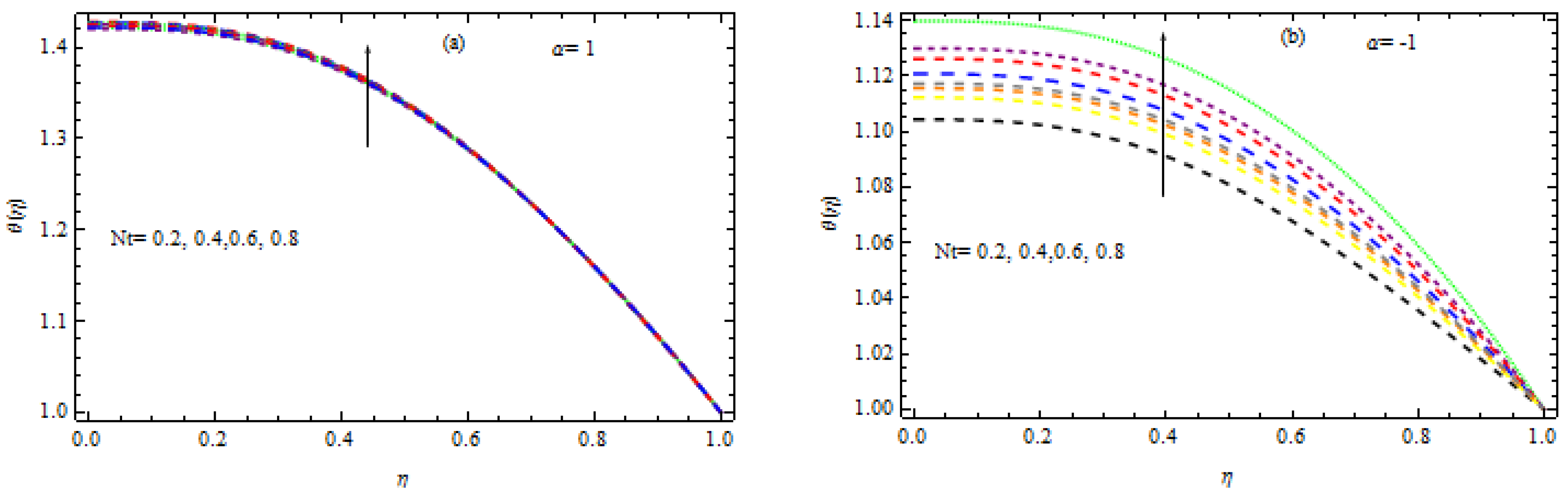
- It is analyzed that the temperature is raised when the heat source is increased in both cases of wall expansion or contraction but declines in the case of a heat sink.
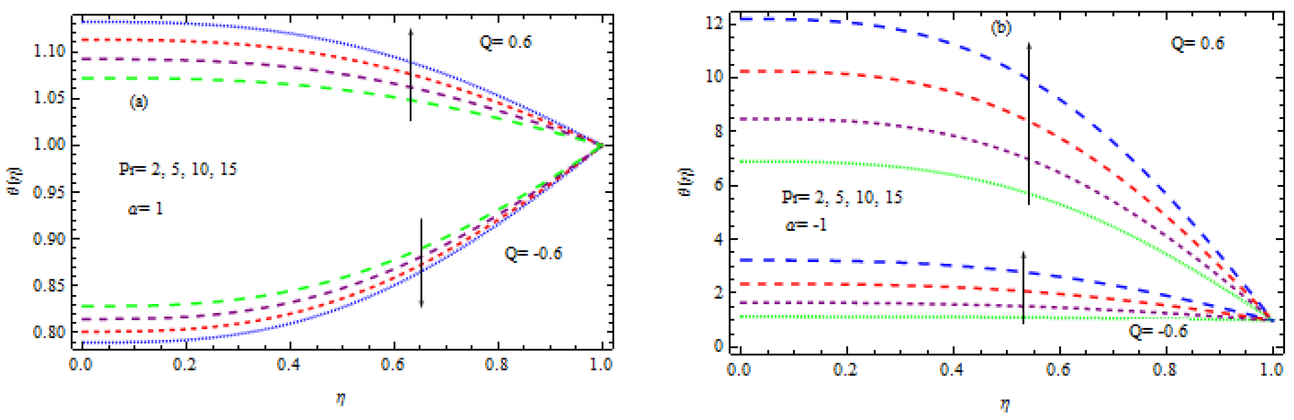
- In the case of a heat source, the temperature rises as the Hartmann and Prandtl numbers are enhanced, but in the case of a heat sink, the temperature falls.
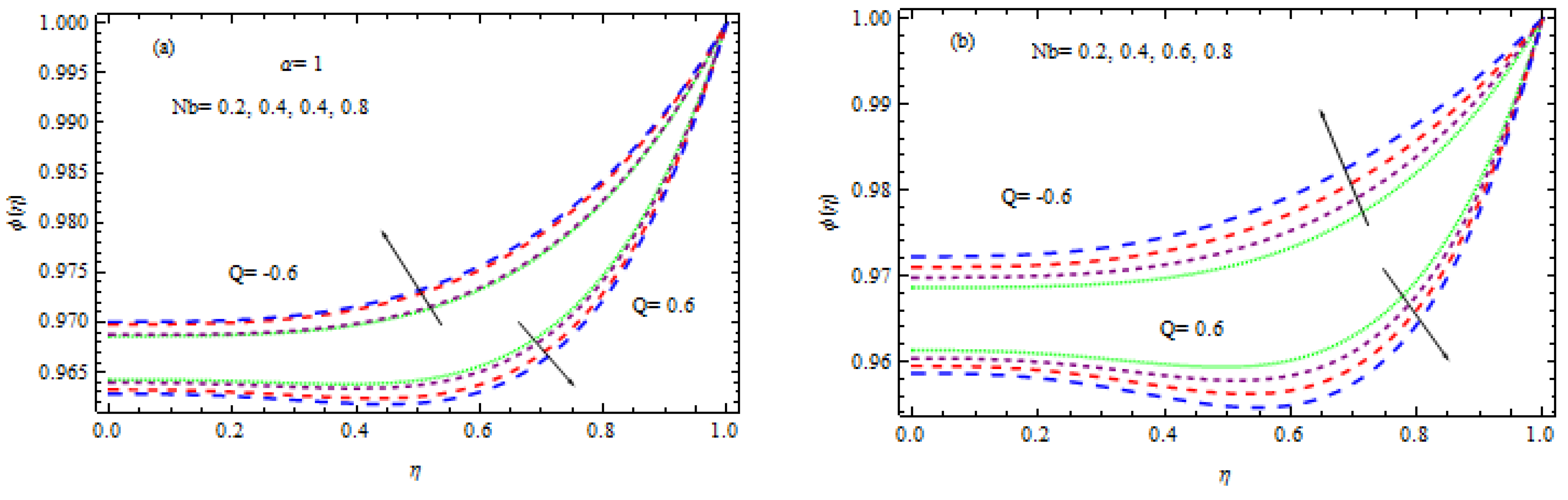
- In the presence of heat sinks and injections when the thermophoresis factor is increased, the concentration of nanoparticles is increased in both wall expansion and contraction.
- In both situations of wall expansion or contraction, along with injection, the concentration of nanoparticles is a decreasing function of , while the concentration of nanoparticles is an increasing function in the case of a heat source.
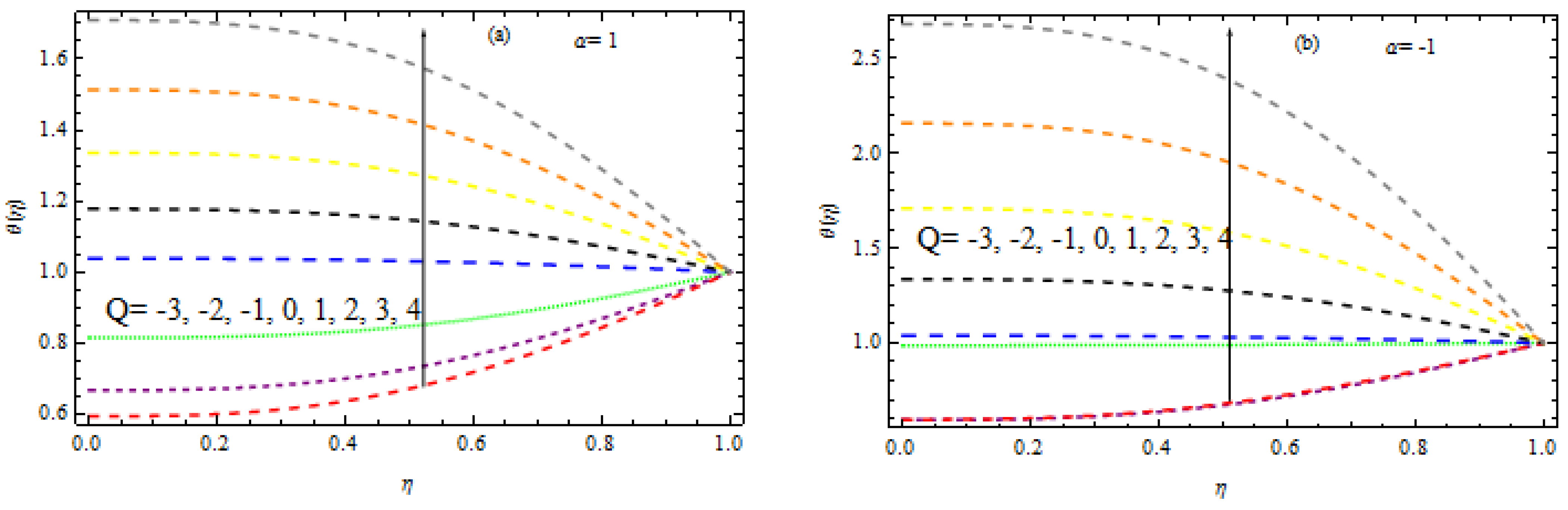
- It is also observed that is increased for and decreased for.
Author Contributions
Funding
Data Availability Statement
Acknowledgments
Conflicts of Interest
Nomenclature
| radius of the pipe | ||
| the injection/suction coefficient | ||
| applied magnetic field | ||
| dimensional nanoparticle concentration | ||
| reference nanoparticle concentration at the center | ||
| specific heat at constant pressure | ||
| nanoparticle concentration at the wall | ||
| first-order chemical reaction rate | ||
| Lewis number | ||
| Hartmann number | ||
| thermophoresis parameter | ||
| Brownian motion parameter | ||
| Prandtl number | ||
| heat source/sink parameter | ||
| dimensional cylindrical coordinates | ||
| dimensional temperature | ||
| reference temperature at the center | ||
| mean temperature | ||
| mean fluid temperature | ||
| temperature near the wall | ||
| velocity components along ^r and ^z directions respectively | ||
| injection/suction velocity | ||
| density of the base fluid | ||
| electrical conductivity | ||
| thermal diffusivity | ||
| dimensionless temperature | ||
| heat capacity of the nanoparticle | ||
| dimensionless concentration |
References
- Choi, S.U.S. Enhancing Thermal Conductivity of Fluids with Nanoparticle. In Developments and Applications of Non-Newtonian Flows; Siginer, D.A., Wang, H.P., Eds.; FED-V.231/MDV. 66; ASME: New York, NY, USA, 1995; pp. 99–105. [Google Scholar]
- Wang, X.-Q.; Mujumdar, A.S. A review on nanofluids. Part I: Theoretical and numerical investigations. Braz. J. Chem. Eng. 2008, 25, 613–630. [Google Scholar] [CrossRef]
- Choi, S.U.S. Nanofluids: A new field of scientific research and innovative applications. Heat Transf. Eng. 2008, 29, 429–431. [Google Scholar] [CrossRef]
- Khan, W.A.; Pop, I. Boundary-layer flow of a nanofluid past a stretching sheet. Int. J. Heat Mass Transf. 2010, 53, 2477–2483. [Google Scholar] [CrossRef]
- Kumar, M.D.; Raju, C.; Sajjan, K.; El-Zahar, E.R.; Shah, N.A. Linear and quadratic convection on 3D flow with transpiration and hybrid nanoparticles. Int. Commun. Heat Mass Transf. 2022, 134, 105995. [Google Scholar] [CrossRef]
- Abderrahmane, A.; Qasem, N.A.A.; Younis, O.; Marzouki, R.; Mourad, A.; Shah, N.A.; Chung, J.D. MHD Hybrid Nanofluid Mixed Convection Heat Transfer and Entropy Generation in a 3-D Triangular Porous Cavity with Zigzag Wall and Rotating Cylinder. Mathematics 2022, 10, 769. [Google Scholar] [CrossRef]
- Shah, N.A.; Wakif, A.; El-Zahar, E.R.; Thumma, T.; Yook, S.-J. Heat transfers thermodynamic activity of a second-grade ternary nanofluid flow over a vertical plate with Atangana-Baleanu time-fractional integral. Alex. Eng. J. 2022, 61, 10045–10053. [Google Scholar] [CrossRef]
- Buongiorno, J. Convective heat transport in nanofluids. J. Heat Transf. 2006, 128, 240–250. [Google Scholar] [CrossRef]
- Roşca, N.C.; Pop, I. Unsteady boundary layer flow of a nanofluid past a moving surface in an external uniform free stream using Buongiorno’s model. Comput. Fluids 2014, 95, 49–55. [Google Scholar] [CrossRef]
- Kuznetsov, A.V.; Nield, D.A. Natural convective boundarylayer flow of a nanofluid past a vertical plate. Int. J. Therm. Sci. 2010, 49, 243–247. [Google Scholar] [CrossRef]
- Ashraf, M.Z.; Rehman, S.U.; Farid, S.; Hussein, A.K.; Ali, B.; Shah, N.A.; Weera, W. Insight into significance of bioconvection on MHD tangent hyperbolic nanofluid flow of irregular thickness across a slender elastic surface. Mathematics 2022, 10, 2592. [Google Scholar] [CrossRef]
- Lou, Q.; Ali, B.; Rehman, S.U.; Habib, D.; Abdal, S.; Shah, N.A.; Chung, J.D. Micropolar dusty fluid: Coriolis force effects on dynamics of MHD rotating fluid when lorentz force is significant. Mathematics 2022, 10, 2630. [Google Scholar] [CrossRef]
- Mustafa, M.; Nawaz, M.; Hayat, T.; Alsaedi, A. MHD boundary layer flow of second grade nanofluid over a stretching sheet with convective boundary conditions. J. Aerosp. Eng. 2014, 27, 1–7. [Google Scholar] [CrossRef]
- Alsaedi, A.; Awais, M.; Hayat, T. Effect of heat generation/ absorption on stagnation point flow of nanofluid over a surface with convective boundary conditions. Commun. Nonlinear Sci. Numer. Simul. 2012, 17, 4210–4223. [Google Scholar] [CrossRef]
- Chamkha, J.; Rashad, A.M.; Aly, A.M. Transient natural convection flow of a nanofluid over a vertical cylinder. Meccanica 2012, 48, 71–81. [Google Scholar] [CrossRef]
- Malvandi, A.; Moshizi, S.; Soltani, E.; Ganji, D. Modified Buongiorno’s model for fully developed mixed convection flow of nanofluids in a vertical annular pipe. Comput. Fluids 2014, 89, 124–132. [Google Scholar] [CrossRef]
- Akbari, M.; Behzadmehr, A.; Shahraki, F. Fully developed mixed convection inhorizontal and inclined tubes with uniform heat flux using nanofluid. Int. J. Heat Fluid Flow 2008, 29, 545–556. [Google Scholar] [CrossRef]
- Ellahi, R. The effects of MHD and temperature dependent viscosity on the flow of non-Newtonian nanofluid in a pipe: Analytical solutions. Appl. Math. Model. 2013, 37, 1451–1467. [Google Scholar] [CrossRef]
- Uddin, M.; Bég, O.A.; Amin, N. Hydromagnetic transport phenomena from a stretching or shrinking nonlinear nanomaterial sheet with Navier slip and convective heating: A model for bio-nano-materials processing. J. Magn. Magn. Mater. 2014, 368, 252–261. [Google Scholar] [CrossRef]
- Xu, H.; Fan, T.; Pop, I. Analysis of mixed convection flow of a nanofluid in vertical a channel with Buongiorno mathematical model. Int. Commun. Heat Mass Transf. 2013, 44, 15–22. [Google Scholar] [CrossRef]
- Malik, M.; Naseer, M.; Nadeem, S.; Rehman, A. The boundary layer flow of Casson nanofluid over a vertical exponentially stretching cylinder. Appl. Nanosci. 2014, 4, 869–873. [Google Scholar] [CrossRef]
- Raju, C.S.K.; Ameer, N.A.; Kiran, S.; Nehad, A.S.; Se-jin, Y.; Dinesh, M.K. Nonlinear movements of axisymmetric ternary hybrid nanofluids in a thermally radiated expanding or contracting permeable Darcy Walls with different shapes and densities: Simple linear regression. Int. Commun. Heat Mass Transfer 2022, 135, 106110. [Google Scholar] [CrossRef]
- Ramesh, G.; Madhukesh, J.; Shah, N.A.; Yook, S.-J. Flow of hybrid CNTs past a rotating sphere subjected to thermal radiation and thermophoretic particle deposition. Alexandria Eng. J. 2022, 64, 969–997. [Google Scholar] [CrossRef]
- Srinivas, S.; Vijayalakshmi, A.; Ramamohan, T.; Reddy, A.S. Hydromagnetic flow of a nanofluid in a porous channel with expanding or contracting walls. J. Porous Media 2014, 17, 953–967. [Google Scholar] [CrossRef]
- Hedayati, F.; Domairry, G. Effects of nanoparticle migration and asymmetric heating on mixed convection of TiO2-H2O nanofluid inside a vertical micro channel. Powder Technol. 2015, 272, 250–259. [Google Scholar] [CrossRef]
- Malvandi, A.; Safaei, M.; Kaffash, M.; Ganji, D. MHD mixed convection in a vertical annulus filled with Al2O3-water nanofluid considering nanoparticle migration. J. Magn. Magn. Mater. 2015, 382, 296–306. [Google Scholar] [CrossRef]
- Vajravelu, K.; Prasad, K.; Rao, N.P. Diffusion of a chemically reactive species of a power-law fluid past a stretching surface. Comput. Math. Appl. 2011, 62, 93–108. [Google Scholar] [CrossRef]
- Na, W.; Tlili, I.; Siddique, I. Maxwell fluid flow between vertical plates with damped shear and thermal flux: Free convection. Chin. J. Phys. 2020, 65, 367–376. [Google Scholar] [CrossRef]
- Mahsud, Y.; Vieru, D. Influence of time-fractional derivatives on the boundary layer flow of Maxwell fluids. Chin. J. Phys. 2017, 55, 1340–1351. [Google Scholar] [CrossRef]
- Nadeem, S.; Akbar, N. Influence of heat and chemical reactions on Walter’s B fluid model for blood flow through a tapered artery. J. Taiwan Inst. Chem. Eng. 2011, 42, 67–75. [Google Scholar] [CrossRef]
- Hayat, T.; Abbas, Z. Channel flow of a Maxwell fluid with chemical reaction. Z. Angew. Math. Phys. 2008, 59, 124–144. [Google Scholar] [CrossRef]
- Abdul-Kahar, R.; Kandasamy, R. Muhaimin, Scaling group transformation for boundary-layer flow of a nanofluid past a porous vertical streching surface in the presence of chemical reaction with heat radiation. Comput. Fluids 2011, 52, 15–21. [Google Scholar] [CrossRef]
- Kameswaran, P.; Shaw, S.; Sibanda, P.; Murthy, P. Homogeneous–heterogeneous reactions in a nanofluid due to a porous stretching sheet. Int. J. Heat Mass Transf. 2013, 57, 465–472. [Google Scholar] [CrossRef]
- Uddin, M.; Khan, W.; Ismail, A. Lie group analysis and numerical solutions for magneto convective slip flow along a moving chemically reacting radiating plate in porous media with variable mass diffusivity. Heat Transf.-Asian Res. 2014, 45, 239–263. [Google Scholar] [CrossRef]
- Rashidi, M.; Momoniat, E.; Ferdows, M.; Basiriparsa, A. Lie group solution for free convective flow of a nanofluid past a chemically reacting horizontal plate in porous media. Math. Probl. Eng. 2014, 2014, 1–21. [Google Scholar] [CrossRef]
- Srinivas, S.; Reddy, A.S.; Ramamohan, T. Mass transfer effects on viscous flow in an expanding or contracting porous pipe with chemical reaction. Heat Transf.-Asian Res. 2015, 44, 552–567. [Google Scholar] [CrossRef]
- Uddin, M.; Beg, O.; Aziz, A.; Ismail, A. Group analysis of free convection flow of a magnetic nanofluid with chemical reaction. Math. Probl. Eng. 2015, 2015, 1–11. [Google Scholar] [CrossRef]
- Uchida, S.; Aoki, H. Unsteady flows in a semi-infinite contracting or expanding pipe. J. Fluid Mech. 1977, 82, 371–387. [Google Scholar] [CrossRef]
- Goto, M.; Uchida, S. Unsteady flows in a semi-infinite contracting or expanding pipe with a porous wall. Theor. Appl. Mech. 1991, 40, 161–172. [Google Scholar]
- Majdalani, J.; Zhou, C. Moderate-to-large injection and suction driven channel flows with expanding or contracting walls. Z. Angew. Math. Mech. 2003, 83, 181–196. [Google Scholar] [CrossRef]
- Shah, N.A.; Zafar, A.A.; Akhtar, S. General solution for MHD-free convection flow over a vertical plate with ramped wall temperature and chemical reaction. Arab. J. Math. 2018, 7, 49–60. [Google Scholar] [CrossRef]
- Majdalani, J.; Flandro, G.L. The oscillatory pipe flow with arbitrary injection. Proc. R. Soc. Lond. A 2002, 458, 1621–1651. [Google Scholar] [CrossRef]
- Khan, I.; Shah, N.A.; Dennis, L.C.C. A scientific report on heat transfer analysis in mixed convection flow of Maxwell fluid over an oscillating vertical plate. Sci. Rep. 2017, 7, srep40147. [Google Scholar] [CrossRef]
- Terrill, R.; Thomas, P. Spiral flow in a porous pipe. Phys. Fluids 1973, 16, 356–359. [Google Scholar] [CrossRef]
- Sajjan, K.; Ahammad, N.; Raju, C.; Kumar, M.; Weera, W. Nonlinear Boussinesq and Rosseland approximations on 3D flow in an interruption of Ternary nanoparticles with various shapes of densities and conductivity properties. AIMS Math. 2022, 7, 18416–18449. [Google Scholar] [CrossRef]
- Boutros, Y.; Abd-El-Malek, M.; Badran, N.; Hassan, H. Lie-group method for unsteady flows in a semi-infinite expanding or contracting pipe with injection or suction through a porous wall. J. Comput. Appl. Math. 2006, 197, 465–494. [Google Scholar] [CrossRef]
- Zeeshan. Heat enhancement analysis of Maxwell fluid containing molybdenum disulfide and graphene nanoparticles in engine oil base fluid with isothermal wall temperature conditions. Waves Random Complex Media 2023, 1–15. [Google Scholar] [CrossRef]
- Zeeshan; Ahammad, N.A.; Rasheed, H.; El-Deeb, A.A.; Almarri, B.; Shah, N.A. Numerical Intuition of Activation Energy in Transient Micropolar Nanofluid Flow Configured by an Exponentially Extended Plat Surface with Thermal Radiation Effects. Mathematics 2022, 10, 4046. [Google Scholar] [CrossRef]
- Zeeshan; Attaullah; Ahammad, N.A.; Shah, N.A.; Chung, J.D. A Numerical Framework for Entropy Generation Using Second-Order Nanofluid Thin Film Flow over an Expanding Sheet: Error Estimation and Stability Analysis. Mathematics 2023, 11, 1078. [Google Scholar] [CrossRef]
- Zeeshan; Ahammad, N.A.; Shah, N.A.; Chung, J.D.; Attaullah; Rasheed, H.U. Analysis of Error and Stability of Nanofluid over Horizontal Channel with Heat/Mass Transfer and Nonlinear Thermal Conductivity. Mathematics 2023, 11, 690. [Google Scholar] [CrossRef]
- Raza, J.; Mebarek-Oudina, F.; Lund, L. The flow of magnetised convective Casson liquid via a porous channel with shrinking and stationary walls. Pramana 2022, 96, 229. [Google Scholar] [CrossRef]
- Khan, U.; Mebarek-Oudina, F.; Zaib, A.; Ishak, A.; Abu Bakar, S.; Sherif, E.-S.M.; Baleanu, D. An exact solution of a Casson fluid flow induced by dust particles with hybrid nanofluid over a stretching sheet subject to Lorentz forces. Wave Random Complex 2022, 2022, 1–14. [Google Scholar] [CrossRef]
- Chabani, I.; Mebarek-Oudina, F.; Vaidya, H.; Ismail, A.I. Numerical analysis of magnetic hybrid nano-fluid natural convective flow in an adjusted porous trapezoidal enclosure. J. Magn. Magn. Mater. 2022, 564, 170142. [Google Scholar] [CrossRef]
- Liao, S.J. Beyond Perturbation: Introduction to Homotopy Analysis Method; CRC Press; Chapman and Hall: Boca Raton, FL, USA, 2003. [Google Scholar]





















| Srinivas et al. [49] | 25th–Order Approximation | ||
|---|---|---|---|
| 3 | 0.92763 | −1.1398871 | −1.147523 |
| 2 | 0.99429 | −1.166290 | −1.166291 |
| 0 | 0.87134 | −1.179535 | −1.179537 |
| −3 | 0.87134 | −1.182623 | −1.182623 |
| −2 | 0.87134 | −1.187371 | −1.187371 |
| Srinivas et al. [49] | 25th–Order Approximation | ||
|---|---|---|---|
| 3 | 0.97289 | −1.173991 | −1.176380 |
| 2 | 0.97134 | −1.176393 | −1.178475 |
| 0 | 0.87134 | −1.177947 | −1.179692 |
| −3 | 0.87134 | −1.178881 | −1.178881 |
| −2 | 0.87134 | −1.179290 | −1.179290 |
Disclaimer/Publisher’s Note: The statements, opinions and data contained in all publications are solely those of the individual author(s) and contributor(s) and not of MDPI and/or the editor(s). MDPI and/or the editor(s) disclaim responsibility for any injury to people or property resulting from any ideas, methods, instructions or products referred to in the content. |
© 2023 by the authors. Licensee MDPI, Basel, Switzerland. This article is an open access article distributed under the terms and conditions of the Creative Commons Attribution (CC BY) license (https://creativecommons.org/licenses/by/4.0/).
Share and Cite
Zeeshan; Ahammad, N.A.; Shah, N.A.; Chung, J.D.; Attaullah. Role of Chemically Magnetized Nanofluid Flow for Energy Transition over a Porous Stretching Pipe with Heat Generation/Absorption and Its Stability. Mathematics 2023, 11, 1844. https://doi.org/10.3390/math11081844
Zeeshan, Ahammad NA, Shah NA, Chung JD, Attaullah. Role of Chemically Magnetized Nanofluid Flow for Energy Transition over a Porous Stretching Pipe with Heat Generation/Absorption and Its Stability. Mathematics. 2023; 11(8):1844. https://doi.org/10.3390/math11081844
Chicago/Turabian StyleZeeshan, N. Ameer Ahammad, Nehad Ali Shah, Jae Dong Chung, and Attaullah. 2023. "Role of Chemically Magnetized Nanofluid Flow for Energy Transition over a Porous Stretching Pipe with Heat Generation/Absorption and Its Stability" Mathematics 11, no. 8: 1844. https://doi.org/10.3390/math11081844
APA StyleZeeshan, Ahammad, N. A., Shah, N. A., Chung, J. D., & Attaullah. (2023). Role of Chemically Magnetized Nanofluid Flow for Energy Transition over a Porous Stretching Pipe with Heat Generation/Absorption and Its Stability. Mathematics, 11(8), 1844. https://doi.org/10.3390/math11081844

