You are currently viewing a new version of our website. To view the old version click .
Mathematics
  • Article
  • Open Access

10 April 2023

Formation Control of Non-Holonomic Mobile Robots: Predictive Data-Driven Fuzzy Compensator

,
,
,
,
and
1
School of Construction Equipment Engineering and Technology, Zhejiang College of Construction, Hangzhou 311231, China
2
School of Information and Control Engineering, Xi’an University of Architecture and Technology, Xi’an 710055, China
3
School of Intelligent Manufacturing, Zhejiang Guangsha Vocational and Technical University of Construction, Dongyang 322100, China
4
School of Intelligent Mechatronics Engineering, Sejong University, Seoul 05006, Republic of Korea

Abstract

A key research topic in the field of robotics is the formation control of a group of robots in trajectory tracking problems. Using organized robots has many advantages over using them individually, such as efficient use of resources, increased reliability due to cooperation, and better resistance against defects. To achieve this, a controller is proposed that steers the leader robot and subsequent follower robots asymptotically to a reference trajectory. The basic controller is feedback linearization. To ensure stability against perturbations, a compensator based on type-3 fuzzy logic systems (T3-FLSs) and a data-driven control strategy is designed. The approach involves employing a finite number of open-loop data and using the model-based predictive controller (MPC) approach to acquire sufficient criteria for stability. An infinite-horizon function is minimized online, which allows the data-based control policy to be considered the optimal control method. The gains of the constrained data-based control signal are computed at each time step to enhance accuracy. Applying the data-based state feedback controller to the system yields positive and stable state trajectories with appropriate transient responses. The suggested data-driven compensator is guaranteed to handle constraints. A practical example is simulated to evaluate the proposed strategy.

1. Introduction

Nowadays, mobile robots (MRs) are being increasingly used in engineering systems. MRs can be used in various fields such as industry, agriculture, forestry, mining, medicine, computerized surgery, rehabilitation and healthcare, search and rescue, domestic chores, recreation, and the provision of services to hard-to-access or remote areas. Wheeled MRs, which are characterized by non-holonomic constraints imposed by the contact of wheels with the ground, are the most useful type of MR. Various control-related problems have been reported in the literature, including path following, stabilization, and trajectory tracking [1,2,3].
Formation control of robots in trajectory tracking is a crucial aspect in the field of robotics. Compared to individual robots, organized robots offer many advantages such as efficient use of resources (shared use of sensors) and higher safety and fault tolerance [4]. Thus, the control formation of multi-agent MRs and smart vehicles has received significant attention in recent years. The idea of formation control can be traced back to biology, where biologists observed organized behaviors in nature and discovered that animals tend to form flocks in order to exchange information more efficiently, find food more effectively, and protect themselves against contingencies. The lifestyles of these animals are characterized by their tendency to protect territories and desire to stay in the group while maintaining a separation distance from other members of the group. A performance control approach is followed by an adaptive control scheme in reference [5,6]. Initially, an error transformation with established performance parameters is given together with a kinematic control strategy. Then, to ensure overall stability, an adaptive compensation rule with an estimation of the inverse height is created. A straightforward formation tracking control approach is suggested in reference [7], in which the leading MR receives information from the provided trajectory. Hence, a static and straightforward directed spanning tree is formed from the communication network. In [8], a fixed-time formation technique for a group of unicycle-style MRs is presented. The transient and steady-state performance is ensured by applying time-varying limits on formation errors. In order to provide a collection of reference pathways for the formation robots, a desired virtual structure is used in reference [9]. A Nash-based predictive method is provided in which an integral control scenario is created to address the velocity mismatch. This strategy incorporates limitations on parameter synchronization. To avoid utilizing positions in the general reference directly, an estimator is created to approximate the relative location using bearing measurements. A control law is subsequently designed based on the estimations. It is demonstrated that under certain assumptions about the relative angular velocities, the estimation error converges to zero [10].
In most conventional studies, the effects of perturbations are neglected. However, T3-FLSs and data-driven control strategies have been shown to be effective approaches in dealing with uncertainties [11,12]. Direct data-driven techniques are becoming increasingly popular for unknown systems due to their potential in real-world problems. Although model-based frameworks are also utilized for the stabilization problem of uncertain systems, a data-driven scenario is more useful for eliminating the complexities. For instance, in [13], the authors developed data-dependent linear matrix inequalities (LMIs) using a state feedback controller to investigate the optimal control problem and robustness of systems in the presence of noise-corrupted data measurements. In [14], the data-driven control mechanism was used to stabilize bilinear systems with unknown system matrices. The authors of [15] employed the concept of matrix S-lemma and LMIs to design H 2 and H data-based controllers. Moreover, in [16], a data-based stabilization of polynomial systems in the presence of noisy data was developed. In reference [17], using a data-based controller, robust control methods were applied to discrete-time systems in the presence of external disturbances. Based on LMIs, a data-driven suboptimal controller was designed to analyze the linear quadratic regulation (LQR) and H 2 problems in [18].
On the other hand, positive linear systems have been the topic of a number of research papers in recent years due to their theoretical and practical applications [19]. For instance, in [20], asymptotic stability is investigated using a state feedback control protocol and the computation of the L 1 induced norm. In [21], the boundedness of positive switched plants subject to time delay is studied. The small-gain theorem encompassing semi-definite programs was considered in reference [22] to address robust stability. Recently, robust H 2 controllers were proposed for discrete-time systems with system parameters in a polytope [23]. However, these approaches do not account for constraints on the states and actuators of the system, which can add complexity to the analysis.
The model predictive control (MPC) approaches are fascinating from a theoretical perspective as they can be implemented as an optimal control technique for the stabilization and performance improvement of constrained systems [24]. In the literature, the MPC method has also been extended to the stabilization of positive systems. For instance, the authors of [25] proposed an MPC formulation that considered external disturbances and employed linear programming. Stabilization was investigated in [26] by utilizing a robust MPC strategy with a state-feedback control policy. Moreover, in [27], the authors expanded the results of [25] to ensure positivity with interval uncertainties. However, all of the aforementioned results relied on model-based approaches where the system matrices were assumed to be completely known and available, whereas in some practical operations, it is either impossible or unaffordable to access or identify them.
This paper suggests a novel predictive T3-FLS-based data-driven control approach for constrained MRs. The predictive data-based controller involves a single step and requires a smaller computational burden. The fundamental characteristic of the proposed control policy of this paper compared to the previous research works of [25,26,27] is that the system matrices are completely unknown and are based on limited data and a constrained data-based compensator is designed at each time step and is applied to the system online. Moreover, the stabilization, along with the positivity subject to the constraints imposed on the states and the control input of the system, is guaranteed. This is the first time that a predictive direct data-driven control approach has been suggested to address this problem.

2. Problem Description

The system, as shown in Figure 1, is a differential drive-wheeled robot. Point C shows the robot’s center of gravity, φ r and φ l denote the angular motion of the right and left side wheels, respectively, and a is the distance between P and C. q = x y θ T is the position of the MR, where ( x     y ) denotes the coordinates of P and Q with respect to the reference system. The non-holonomic constraints arising from the non-sliding rolling of wheels on the ground level are one of the basic concerns in kinematics. These constraints arise from the relationship between the generalized coordinates and velocities. This relation is considered as:
a j T q q ˙ = 0 , j = 1 , , m
Figure 1. Parameter description.
In matrix format, the system constraints can be presented as:
A T q q ˙ = 0
where A ( q ) denotes the n × m constraint matrix, n is the number of system constraints, and m denotes the number of generalized coordinates. The constraint matrix of the differential drive-wheeled robot can be obtained using:
A T q = s i n θ c o s θ
In this case, we have an m-order matrix δ ( q ) and the null space of the constraint matrix can be presented as:
δ T q A T q = 0
The δ q matrix for a differential force-wheeled matrix is presented as:
δ q = c o s θ 0 s i n θ 0 0 1
The kinematic model of the robot can be presented as [28]:
q ˙ = δ q v
where v = u ω T denotes the vector of independent kinematic inputs, u is the linear velocity at point P, and ω denotes the angular velocity of the robot. Taking into account the rotational velocity of the differential drive wheels, these inputs can be presented as:
u = r 2 φ ˙ r + φ ˙ l ) ω = r 2 b ( φ ˙ r φ ˙ l )
where v denotes the radius of the actuator-equipped wheels, b denotes the distance between the robot’s wheels, and φ ˙ r and φ ˙ r denote the angular velocity of the right and left wheels, respectively.

3. Dynamic Model

The dynamic equations of the wheeled robot, which were obtained from the Lagrange method, are presented as:
M q q ¨ + C q , q ˙ = B q τ + A T q λ
where M ( q ) R 3 × 3 denotes the mass matrix of the system, C ( q , q ˙ ) R 3 × 1 incorporates centripetal and Coriolis forces, B ( q ) R 3 × 2 is the input transformation matrix, A ( q ) R 1 × 3 is the constraint matrix, and λ denotes the Lagrange multiplier vector that is obtained from:
M ( q ) = m 0 a m s i n θ 0 m a m c o s θ a m s i n θ a m c o s θ I θ τ = τ r τ l C q , q ˙ = a m c o s θ θ ˙ 2 a m s i n θ θ ˙ 2 0 B q = 1 r c o s θ c o s θ s i n θ s i n θ b b
where m denotes the robot’s mass, I θ is the robot’s mass moment of inertia, a denotes the distance between the robot’s gravity center and midpoint between the differential wheel, and v represents the radius of the robot’s wheels. The Natural Orthogonal Complement Method could be used to remove the Lagrange multipliers. In fact, the Lagrange multipliers could be removed by multiplying Equation (8) by δ T ( q ) from the left side and then using Equation (4). Then, we can write:
M ¯ 1 ( q ) v ˙ + M ¯ 2 q v + C ¯ q , q ˙ = B ¯ q τ
M ¯ 1 q = δ T q M q δ q R 2 × 2 M ¯ 2 q = δ T q M q δ ˙ q R 2 × 2 B ¯ q = δ T q B q R 2 × 2
The vector of the system torques can also be expressed as:
τ = M 1 q v ˙ + M 2 ( q ) v + C ( q , q ˙ ) M 1 = B ¯ 1 q M ¯ 1 q M 2 q = B ¯ 1 q M ¯ 2 q C q , q ˙ = B ¯ 1 q C ¯ q , q ˙

4. TSK Type-3 FLS

The dynamics of the plant are estimated in a piecewise-linear scheme, as shown in Figure 2. At each sample time, the plant dynamics are represented by some matrices of the standard state-space form. The details are illustrated below.
Figure 2. The structure of TSK-T3-FLS.
(1)
The inputs are considered by x i , i = 1 , , n .
(2)
The memberships of z ˜ i j as the j-th membership function (MF) for x i are computed as (see Figure 3):
Figure 3. The type-3 MF.
α ¯ z ˜ i | μ ¯ k j = 1 x i c z ˜ i j d ̲ z ˜ i j μ ¯ k i f c z ˜ i j d ̲ z ˜ i j < x i c z ˜ i j 1 x i c z ˜ i j d ¯ z ˜ i j μ ¯ k i f c z ˜ i j < x i c z ˜ i j + d ¯ z ˜ i j 0 i f x i > c z ˜ i j + d ¯ z ˜ i j o r x i c z ˜ i j d ̲ z ˜ i j
α ¯ z ˜ i | μ ̲ k j = 1 x i c z ˜ i j d ̲ z ˜ i j μ ̲ k i f c z ˜ i j d ̲ z ˜ i j < x i c z ˜ i j 1 x i c z ˜ i j d ¯ z ˜ i j μ ̲ k i f c z ˜ i j < x i c z ˜ i j + d ¯ z ˜ i j 0 i f x i > c z ˜ i j + d ¯ z ˜ i j o r x i c z ˜ i j d ̲ z ˜ i j
α ̲ z ˜ i | μ ¯ k j = 1 x i c z ˜ i j d ̲ z ˜ i j 1 μ ¯ k i f c z ˜ i j d ̲ z ˜ i j < x i c z ˜ i j 1 x i c z ˜ i j d ¯ z ˜ i j 1 μ ¯ k i f c z ˜ i j < x i c z ˜ i j + d ¯ z ˜ i j 0 i f x i > c z ˜ i j + d ¯ z ˜ i j o r x i c z ˜ i j d ̲ z ˜ i j
α ̲ z ˜ i | μ ̲ k j = 1 x i c z ˜ i j d ̲ z ˜ i j 1 μ ̲ k i f c z ˜ i j d ̲ z ˜ i j < x i c z ˜ i j 1 x i c z ˜ i j d ¯ z ˜ i j 1 μ ̲ k i f c z ˜ i j < x i c z ˜ i j + d ¯ z ˜ i j 0 i f x i > c z ˜ i j + d ¯ z ˜ i j o r x i c z ˜ i j d ̲ z ˜ i j
where μ ̲ k and μ ¯ k the secondary memberships. α ¯ z ˜ i | μ ¯ k j / α ¯ z ˜ i | μ ̲ k j and α ̲ z ˜ i | μ ¯ k j / α ̲ z ˜ i | μ ̲ k j denote the upper/lower memberships for MF z ˜ i j , respectively. c z ˜ i j , represents the center of c z ˜ i j and d ̲ z ˜ i j and d ¯ z ˜ i j are the distances of c z ˜ i j to the left/right points of c z ˜ i j , respectively.
(3)
The rule firings are calculated as:
f ¯ μ ¯ k l = α ¯ z ˜ 1 | μ ¯ k p 1 · α ¯ z ˜ 1 | μ ¯ k p 2 α ¯ z ˜ 1 | μ ¯ k p n
f ¯ μ ̲ k l = α ¯ z ˜ 1 | μ ̲ k p 1 · α ¯ z ˜ 1 | μ ̲ k p 2 α ¯ z ˜ 1 | μ ̲ k p n
f ̲ μ ¯ k l = α ̲ z ˜ 1 | μ ¯ k p 1 · α ̲ z ˜ 1 | μ ¯ k p 2 α ̲ z ˜ 1 | μ ¯ k p n
f ̲ μ ̲ k l = α ̲ z ˜ 1 | μ ̲ k p 1 · α ̲ z ˜ 1 | μ ̲ k p 2 α ̲ z ˜ 1 | μ ̲ k p n
where the l-th rule is:
l - th R u l e : i f x 1 i s z ˜ 1 p 1 a n d x 2 i s z ˜ 2 p 2 a n d x n i s z ˜ n p n T h e n x ˙ l A ̲ l x + B u , A ¯ l x + B u , l = 1 , , M
where z ˜ i p j is the p j -th MF for x i and A ̲ l and A ¯ l are n × n matrices.
(4)
The output is written as:
x ˙ = k = 1 K μ ̲ k x ˙ ̲ k + μ ¯ k x ˙ ¯ k / k = 1 K μ ̲ k + μ ¯ k
where
x ˙ ¯ k = l = 1 M f ¯ μ ¯ k l A ¯ l + f ̲ μ ¯ k l A ̲ l l = 1 M f ¯ μ ¯ k l + f ̲ μ ¯ k l
x ˙ ̲ k = l = 1 M f ¯ μ ̲ k l A ¯ l + f ̲ μ ̲ k l A ̲ l l = 1 M f ¯ μ ̲ k l + f ̲ μ ̲ k l
where K and M represent the horizontal cut and rule numbers.

5. Path Tracking

In the path tracking problem, the robot starts moving under certain circumstances, reaching a specific path in the Cartesian space, and following the path according to a specific schedule. The input controls should be designed such that the tracking error x x r , y y r approaches zero. In this equation, x , y are the coordinates of P. In this section, the input control vector V is designed such that P approaches the reference point P r = x r , y r . In the Cartesian system, the reference path is considered as:
x = x ( t ) y = y ( t )
The trajectories for the robot are generated as:
u = ± x ˙ 2 + y ˙ 2
θ = a t a n 2 y ˙ , x ˙
where a t a n 2 is the inverse tangent function. By taking the derivatives from the above equation, the kinematic equation is obtained as:
ω = θ ˙ t = y ¨ ( t ) x ˙ ( t ) x ¨ ( t ) y ˙ ( t ) u 2 ( t )
Now, the optimal output of the system in the Cartesian system can be written as x r = x r t , y r = y r ( t ) , where the index r is used to show the system variables on the reference path. ω r t , u r t , θ r ( t ) can be calculated from the kinematic system equations applied to the reference trajectories. Reference paths θ r t , y r t , x r ( t ) have kinematic inputs w r t , u r ( t ) and derivatives.

6. Kinematic Controller

The feedback controller u = u ( q , q ˙ , q r , v ) is designed such that e ˜ = q q r is stabilized at the origin. This controller is considered a type of kinematic controller and its inputs include linear and rotational velocities. Consider a mapped fault vector as:
e x e y e θ = τ θ r x x r y y r θ θ r
The transformation matrix τ ( θ r ) maps the fault variables over a new space. τ ( θ r ) is defined as:
τ θ r = c o s θ r s i n θ r 0 s i n θ r c o s θ r 0 0 0 1
Now, we should obtain the derivative of (29) with respect to time so that the tracking error dynamic can be obtained as:
e ˙ x e ˙ y e ˙ θ = θ ˙ r s i n θ r θ ˙ r c o s θ r 0 θ ˙ r c o s θ r θ ˙ r s i n θ r 0 0 0 0 x x r y y r θ θ r + c o s θ r s i n θ r 0 s i n θ r c o s θ r 0 0 0 1 x ˙ x ˙ r y ˙ y ˙ r θ ˙ θ ˙ r
The tracking error presented in (32) can be obtained by simplifying the above equations.
e ˙ x = ω r e y + u c o s e θ u r e ˙ y = ω r e x + u s i n e θ e ˙ θ = w ω r
The linear equations of the above tracking process can be generally expressed as e ˙ = f ( e , q r , v r , v ). Thus, it can be argued that the dynamic of the tracking error in a system is nonlinear. The feedback control rule v = v ( q , q ˙ , q r , v r ) is designed to stabilize the highly time-varying dynamics at the origin. A coordinate shift ( e x , e y , e θ , u , ω ) ( z 1 , z 2 , z 3 , z 3 , w 1 , w 2 ) is used to compute the control rule v = ( u , w ) T such that the error vector ( e x , e y , e θ ) T is asymptotically stabilized. So, shifts in the state variables z 1 = e x , z 2 = e y , and z 3 = t a n e θ , as well as the input variables w 2 = d z 3 d t , w = u c o s e θ u r should be applied to the system. By applying shifts to the above variables, we have:
z ˙ r = ω r z 2 + w 1 z ˙ 2 = ω r z 1 + ( u r + w 1 ) z 3 z ˙ 3 = w 2
Now, the goal is to design control variables w 1 and w 2 for the system in (33) in such a way that z i ( i = 1 3 ) is stabilized. Variables w 1 and w 2 are presented as:
w 1 = k 1 u r z 1 + z 2 z 3 w 2 = k 2 u r z 2 k 3 u r z 3
where k i i : 1 3 denotes real positive control gains.
Theorem 1.
The control rules in (34) asymptotically stabilize the system in (33).
Proof. 
In order to prove this theorem, we use the positive definite function v 1 , as in [29]:
v 1 = 1 2 ( k 1 z 1 2 + k 2 k 3 z 2 2 + 1 k 3 z 3 2 )
The derivative of this function is:
v ˙ 1 = k 1 z 1 z ˙ 1 + k 2 k 3 z 2 z ˙ 2 + 1 k 3 z 3 z ˙ 3 = k 1 z 1 ω r z 2 + w 1 + k 2 k 3 z 2 ω r z 1 + u r + w 1 z 3 + 1 k 3 z 3 w 2
The term k 3 u r z 3 in the controller (34) denotes a stabilizer term that is used to stabilize z 3 . Other variables are used to transform the Lyapunov function derivatives into a negative semi-definite function. Taking into account the terms selected for the input variables, the derivative of v 1 is presented as:
v ˙ 1 = u r k 1 z 1 + k 2 k 3 z 1 z 3 2 u r z 3 2
As can be seen, the derivative of the positive definite function v 1 is actually a negative semi-definite function when positive control gains are selected. Thus, v 1 does not increase and z i ( i : 1 3 ) is globally bounded. The derivative of the Lyapunov function was found to be a negative semi-definite function; therefore, asymptotic stability cannot be derived. According to characteristic 1, u r is continuous and its derivative is globally bounded. Barbalat’s Lemma is employed to obtain the asymptotic stability of the system. In fact, we simply need to prove that the second derivative of the Lyapunov function is bounded. According to characteristic 2, where u r has a fixed sign, the second derivative of v 1 can be calculated using:
v ¨ 1 = k 1 z 1 + k 2 k 3 z 2 z 3 2 u ˙ r u r u r 2 u r k 1 z 1 + k 2 k 3 z 2 z 3 k 1 ω r z 2 + w 1 + k 2 k 3 ω r z 1 + u r + w 1 z 3 z 3 + k 2 k 3 z 2 w 2 z 3 2 u ˙ r u r u r 2 u r z 3 w 2
As z i ( i : 1 3 ) is globally bounded, ω r , u r , and their derivatives are also bounded, and according to characteristic 2, u r has a definite sign (plus or minus); therefore, it can be concluded that v ¨ 1 is also bounded. So, based on Barbalat’s Lemma, v 1 approaches zero.
By applying the controllers, we can obtain the kinematic variables u and ω . These kinematic control variables are assumed to be control commands that are used to design the dynamic controllers. Thus, from now on, they will be presented as v c = ( u c ω c ) . □

7. Dynamic Control Rule

In this section, a dynamic control rule based on feedback linearization is designed for the mobile wheeled robot. The tracking error of the dynamic controller is written as:
ε = v c v
where v c is the kinematic controller command vector designed in the previous section. In this section, the goal is to design the actuator torques needed to stabilize the tracking error. Now, the control rule is written as:
τ = M 2 q v + M 1 q v ˙ c + C q , q ˙ + M 1 q k ε
where k = d i a g ( k 2 ε , k 2 ) denotes the positive definite diagonal gain matrix of the controller. Consider a Lyapunov function as:
v 2 = 1 2 ε T ε
The first-time derivative of this function is:
v ˙ 2 = ε T ε ˙ = ε T ( v ˙ c v ˙ )
Then, we can write:
v ˙ 2 = ε T v ˙ c M 1 1 q τ M 2 q v C q , q ˙
From Equations (40) and (43), we have:
v ˙ 2 = ε T k ε
The derivative of the candidate Lyapunov function is definite and negative. So, the designed control rule can make the tracking errors approach zero and make the MR asymptotically follow the control commands.

8. Formation Control of Wheeled Robots

In this section, a formation control is designed and introduced for MRs. It is assumed that each robot can see its distance from the leader robot, as well as the angle of the midline connecting them to the leader robot. Angular distance geometry is used to increase the efficiency of the presented model. For detecting the optimal position of each robot, we simply need to measure the distance of each robot from the leader robot and the horizontal angle of the midline connecting them to the leader.
For the mathematical expression of the problem, the robot’s center of gravity is assumed to be a reference point meant for formation control. According to Figure 4, the i-th follower robot with position coordinates ε i = ( x c i y c i θ i ) T is trying to track the leader robot with position coordinates ε = x c y c θ T and adopt the optimal formation with position coordinates ε i d = x c i d y c i d θ i d T . It should be noted that ε i d = x c i d y c i d θ i d T denotes the desired position with respect to the leader. In other words, the controller should move the i-th follower into the desired position.
Figure 4. Formation control scheme.
According to Figure 4, the generalized coordinates of the i-th follower robot can be expressed as follows:
ε i = x i y i θ i = x + l i cos φ i + θ + a c o s θ y + l i sin φ i + θ + a s i n θ θ i
Moreover, the generalized optimal coordinates of the i-th follower robot can be expressed as follows:
ε i d = x i d y i d θ i d = x + l i d cos φ i d + θ + a c o s θ y + l i d sin φ i d + θ + a s i n θ θ
The distance between the leader and the followers with respect to the relevant factors can be expressed as follows:
l i = l i x 2 + l i y 2
These factors can be expressed with respect to the system variables in Figure 4, as follows:
l i y = y a sin θ i y i = l i sin φ i + θ l i x = x a cos θ i x i = l i cos φ i + θ
For the relative angle φ i , we can write:
φ i = a t a n 2 l i y , l i x θ i + π
In order to obtain the system formation dynamics, we can calculate and simplify the derivatives of l i and φ i as:
d φ i d t = 1 l i 2 u s i n φ i u i s i n α i + a ω i c o s α i ω
where α i = φ i + θ θ i . Now, the vector of the formation control error can be defined as:
e i = τ θ i ε i d ε i
Using Equation (48), the formation control error can be rewritten as:
e i = e i x e i y e i θ = l i d cos φ i d + θ θ i l i d c o s α i l i d sin φ i d + θ θ i l i d s i n α i θ i d θ i
The error dynamic can be obtained using:
d e i d t = τ ˙ θ i ε i d ε i + τ θ i ε ˙ i d ε ˙ i
The above equation can be simplified as:
d e i d t = cos ( θ θ i ) l i d sin ( φ i d + θ θ i ) sin ( θ θ i ) l i d cos ( φ i d + θ θ i ) 0 0 v + 1 e i y 0 ( a + e i x ) 0 1 v i + 0 0 ω i d
The formation control inputs ( u i and ω i ) should be designed in such a way that the error dynamic is asymptotically stabilized. In order to achieve this, the feedback linearization method is used to remove nonlinearities. Thus, the control inputs are written as:
v i = cos ( θ θ i ) l i d sin ( φ i d + θ θ i ) 1 α sin ( θ θ i ) l i d a cos ( φ i d + θ θ i ) v + β 1 0 0 0 β 2 a β 3 a e i
where β i ( i : 1 3 ) represents positive real control gains.
Theorem 2.
The control signals in (55) can asymptotically stabilize the error vector in (52).
The error dynamic from the control inputs is written as:
d e i d t = β 1 ω i 0 ω i β 2 β 3 0 β 2 a β 3 a e i + 0 0 0 0 1 a sin ( θ θ i ) l i d a cos ( φ i d + θ θ i ) v + 0 0 ω i d
Due to the presence of non-holonomic constraints, the optimal angle of the follower robot cannot remain fixed throughout the control process. So, it should be selected so it can asymptotically stabilize the above dynamic. Therefore, we can use the feedback linearization method to simplify the equations by removing some nonlinear terms. Then, we can write:
ω i d = 1 a u s i n θ θ i + l i d ω cos φ i d + θ θ i + 2 β 2 e i y
By applying this dynamic, we have:
d e i d t = β 1 ω i 0 ω i β 2 β 3 0 β 2 a β 3 a e i
The candidate Lyapunov function is considered as:
v 3 = 1 2 e i T d i a g β 2 β 3 a , β 2 β 3 a , 1 e i
where d i a g 0 represents a diagonal matrix with specific diagonal elements. By finding the derivative of the candidate Lyapunov function, we can write:
v ˙ 3 = e i T d i a g β 2 β 1 β 3 a , β 2 2 β 3 a , β 3 a e i
Thus, the derivative of the candidate Lyapunov function is negative. Therefore, using the designed control rule, we can ensure that the formation control errors approach zero and that the follower robots can asymptotically follow their optimal formation.

9. Data-Driven Compensator

9.1. Cost Function

In this section, a linear cost function is designed. Using a Lyapunov function, a bound is defined so that minimizing it results in the minimization of the cost function. Moreover, a single-step predictive control system is constructed. Consider an infinite-horizon linear cost function, as follows:
J k = = 0 x T ( k + | k ) Q + u T ( k + | k ) R
where Q R n and R R m denote weighting coefficients. x ( k + | k ) / u ( k + | k ) denotes the state/input, respectively, at time k + . Furthermore, the measured state and input at time k are represented by x ( k | k ) and u ( k | k ) . Since the cost function (61) has an infinite horizon, it is impossible to obtain the infinite sequence of u ( k + | k ) , N to minimize it; hence, a bound is presented and minimized indirectly via the proposed upper bound. The Lyapunov approach is used to demonstrate the minimization as well as the stability. In this regard, consider:
V ( x ( k + | k ) ) = x T ( k + | k ) P
where P R n > 0 . Now, the difference of (62), along with the system trajectories, should satisfy the following inequality:
Δ V ( x ( k + | k ) ) = V ( x ( k + + 1 | k ) ) V ( x ( k + | k ) ) x T ( k + | k ) Q + u T ( k + | k ) R
Summing both sides of (63) from = 0 to = yields that
V ( x ( | k ) ) V ( x ( k | k ) ) J k
If the system is stable, V ( x ( | k ) ) = 0 . Therefore, the upper bound of the cost function (61) is achieved as
J k x T ( k + | k ) P γ k
in which γ k is a positive scalar. As a result, the minimization of γ k at each time step leads to the minimization of the upper bound of the Lyapunov function and the infinite horizon cost function.

9.2. Positivity and Stabilization

The aim is to find a data-based predictive controller u ( k + ) = U [ 0 , t k ] G k x ( k + ) , = 1 , , , to make the closed-loop form of the system positive and stable, where is the control horizon. Moreover, an upper bound for the infinite horizon cost function is defined. The following theorem suggests some conditions for the positivity and stabilization by applying a data-based predictive controller u ( k + ) .
Theorem 3.
Stability is ensured through the data-based control policy u ( k ) = U [ 0 , t k ] G k x ( k ) , if there exists a positive vector P R n , a positive scalar α, and a matrix G k such that:
min subject to γ k
P α 1 n
I = X [ 0 , t k ] G k
X [ 1 , t k ] G k 0
X [ 1 , t k ] G k T α 1 n P + Q + U [ 0 , t k ] G k T R < 0
x ( k | k ) T P γ k
Proof. 
First, it is proved that utilizing the data-based control policy u ( k ) = U [ 0 , t k ] G k x ( k ) is positive. Then, it is guaranteed that the condition in (63) holds, which gives rise to the stability of the system and an appropriate bound of the cost function.
Step 1: (Positivity) The positivity of x ( k + 1 ) = A + B F x ( k ) in a data-based representation is equivalent to the positivity of x ( k + 1 ) = X [ 1 , t k ] G k x ( k ) . F denotes a vector of feedback gain.
Step 2: (Stability and the upper bound) One can deduce that if the condition in (63) holds, two problems incorporating the stabilization condition and the upper bound of the infinite-horizon cost function in (65) can be investigated. Then, we have:
x T ( k ) X [ 1 , t k ] G k T α 1 n P + Q + U [ 0 , t k ] G k T R < 0
Since x T ( k ) > 0 , the constraint in (20) is satisfied by (18). The proof is completed. □
Note that in the suggested predictive data-driven control strategy, the convex problem is solved at each time step and the data-based control is used for the plant online.
In the next subsection, the constraints on the states and input signal are studied.

9.3. Constraints on the States and Input Signal

Consider the following constraints on the system’s states:
x ( k ) x ( 0 )
or
x ( k ) 1 x ( 0 ) 1
Furthermore, consider the following constraint on the control signal:
0 | u ( k ) | = | F x ( k ) | u max
The following theorem proposes sufficient conditions for addressing these constraints.
Theorem 4.
Stability is ensured through the data-based control policy u ( k ) = U [ 0 , t k ] G k x ( k ) and under state and input signal constraints (73)–(75), if there exists a positive vector P R n , a positive scalar α, and a matrix G k such that:
min subject to γ k
P α 1 n
I = X [ 0 , t k ] G k
X [ 1 , t k ] G k 0
X [ 1 , t k ] G k T α 1 n P + Q + U [ 0 , t k ] G k T R < 0
x ( k | k ) T P γ k
U [ 0 , t k ] G k 0
X [ 1 , t k ] G k 1
U [ 0 , t k ] G k 1 n x ( k ) u max
or
min subject to γ k
P α 1 n
I = X [ 0 , t k ] G k
X [ 1 , t k ] G k 0
X [ 1 , t k ] G k T α 1 n P + Q + U [ 0 , t k ] G k T R < 0
x ( k | k ) T P γ k
U [ 0 , t k ] G k 0
X [ 1 , t k ] G k 1 1
U [ 0 , t k ] G k 1 n x ( k ) 1 u max
Proof. 
The data-based closed form of the solution of the states is computed at each time step as follows:
x ( k ) = X [ 1 , t k ] G k 1 X [ 1 , t k ] G k 2 X [ 1 , t k ] G 0 x ( 0 )
where G k is the decision variable of the data-based controller in the kth step, which is computed via the solution of the optimization problem. Based on the sub-multiplicative norm, the following results are obtained:
x ( k ) X [ 1 , t k ] G k 1 × X [ 1 , t k ] G k 2
× × X [ 1 , t k ] G 0 × x ( 0 ) x ( k ) 1 X [ 1 , t k ] G k 1 1 × X [ 1 , t k ] G k 2 1
× × X [ 1 , t k ] G 0 1 × x ( 0 ) 1
As a result, one can infer that X [ 1 , t k ] G k 1 and X [ 1 , t k ] G k 1 1 give rise to x ( k ) x ( 0 ) and x ( k ) 1 x ( 0 ) 1 .
It is assumed that the feedback gain satisfies F 0 ; therefore, the data-based representation of the feedback gain satisfies U [ 0 , t k ] G k 0 at each time step k. As a result, the input constraint in (75) is handled through the following inequalities:
| F x ( k ) | = F x ( k ) = U [ 0 , t k ] G k x ( k ) U [ 0 , t k ] G k 1 n x ( k ) u max
| F x ( k ) | = F x ( k ) = U [ 0 , t k ] G k x ( k ) U [ 0 , t k ] G k 1 n x ( k ) 1 u max
Therefore, the proof is completed. □

10. Simulations

The results obtained by applying the control algorithm to one leader and two followers are presented to evaluate the efficiency. MATLAB 2018a was used for the simulations. The geometrical specifications and system parameter values are presented in Table 1 and the control variables are described in Table 2.
Table 1. Robot parameters.
Table 2. Control parameters.
The motions of the leader robot and follower robots are shown in Figure 5. As shown in Figure 5, the target route in the Cartesian plane was optimally tracked by the leader robot from the starting point with little deviation from the path. Similarly, both follower robots adopted an optimal formation after giving the transient responses. The tracking errors for the leader robot and the follower robots are given in Figure 6 and Figure 7. It can be seen that the errors in both directions approached zero. Figure 6 and Figure 7 show that the followers and the leader MR started moving with initial errors, and after about 2 s, the control errors ended and the robots adopted an optimal formation along the reference path. The input signals are shown in Figure 8, where it can be seen that the control signals have no fluctuations.
Figure 5. Path 1: The tracking performance.
Figure 6. Path 1: The tracking error on the X-axis.
Figure 7. Path 1: The tracking error on the Y-axis.
Figure 8. Path 1: Control signals.
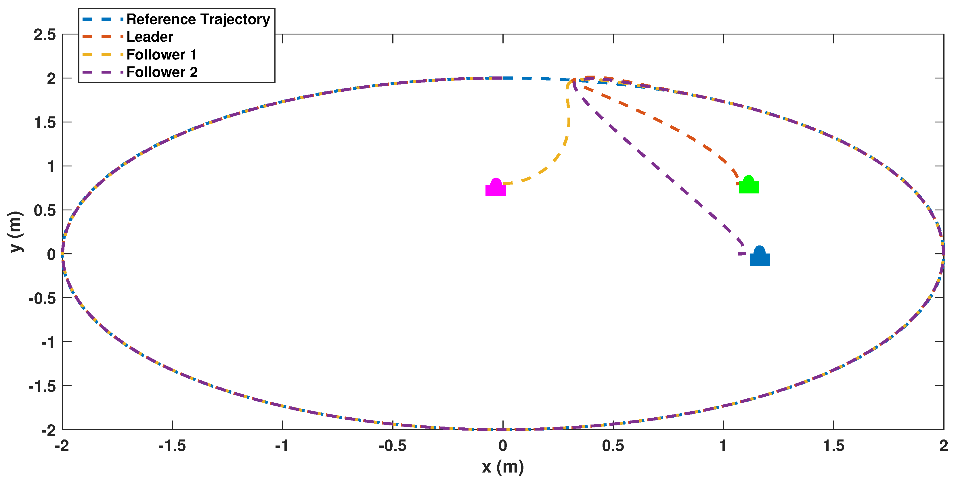
To evaluate the compensator’s effectiveness, in addition to disturbances, saturation was also added to the control inputs. The saturations acted as dynamic perturbations. The motions of the leader robot and follower robots are shown in Figure 9, where it can be seen that similar to the first path, all robots optimally followed the reference path. The error signals for the leader and followers are shown in Figure 10 and Figure 11. It can be seen that the errors in both directions converged to zero in a remarkably short time. Figure 10 and Figure 11 show that the follower robots and the leader robot started moving with initial errors, and after a few seconds, the errors reached zero. The control signals are shown in Figure 12, where it can be seen that the control signals have implementable shapes and that the designed controller could resist saturation.
Figure 9. Path 2: The tracking performance.
Figure 10. Path 2: The tracking error on the X-axis.
Figure 11. Path 2: The tracking error on the Y-axis.
Figure 12. Path 2: Control signals.
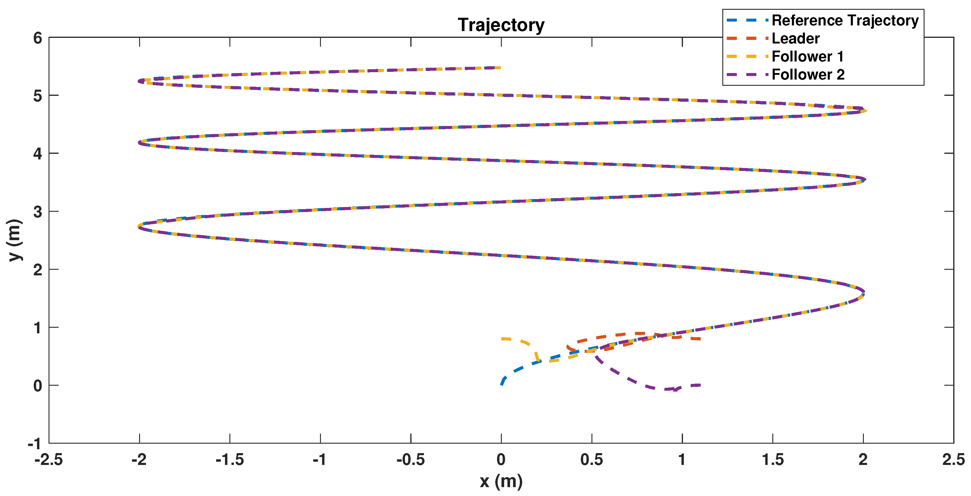
In the final test, a non-convex reference trajectory was considered. The motions of the leader robot and follower robots are shown in Figure 13, where it can be seen that all robots perfectly followed the reference path. The error signals for the leader and followers are shown in Figure 14 and Figure 15, where it can be seen that the errors in both directions converged to zero in a remarkably short time. Figure 14 and Figure 15 show that the follower robots and the leader robot started moving with initial errors, and after a few seconds, the errors reached zero. The control signals are shown in Figure 16, where it can be seen that the control signals have implementable shapes. The performance of the suggested scheme was compared with that of other methods, including the adaptive controller [30], formation-containment control [31], and model-free reinforcement learning approach [32]. The mean square errors (MSEs) for follower 1 are given in Table 3. The results show that the suggested approach with a data-driven compensator is effective, and the MSE values for the suggested approach are lower than those of the other methods.
Figure 13. Path 3: The tracking performance.
Figure 14. Path 3: The tracking error on the X-axis.
Figure 15. Path 3: The tracking error on the Y-axis.
Figure 16. Path 3: Control signals.
Table 3. MSE comparison.

11. Conclusions

In the present study, a new scheme of formation control of non-holonomic MRs is introduced. First, a suitable motion path is generated for the leader robot and then a kinematic control approach based on the system-state feedback is introduced for the leader MR. In the next step, the feedback linearization method is used to design a dynamic control that is required to generate actuation torques for the leader robot. After that, the robotic formation control problem is analyzed and a suitable algorithm is designed to help the followers adopt a suitable position and distance from the leader robot, following a specific reference path. A data-driven compensator based on a type-3 FLS is used to ensure stability. The data-based controller is used to address stabilization with unknown system matrices. Based on the concept of the MPC approach, sufficient data-based conditions are established. To design the data-based control policy, optimization problems are solved to acquire the gains of the constrained control signal at each time step. The upper bound of a cost function is minimized online by an infinite horizon. Applying the data-based state feedback controller to the positive system leads to positive and stable trajectories with appropriate transient responses. Furthermore, the constraints on the states and input signals are handled through the suggested data-driven control method. Future work will involve developing the suggested data-based control policy for positive switched systems. The results indicate that the proposed method can efficiently solve the formation control of robots and that the suggested controller can resist practical disturbances such as saturation faults and dynamics perturbations. In future studies, the optimality of the controllers and FLSs will be investigated.

Author Contributions

Conceptualization, J.W., H.D., F.C., M.T.V., A.D.S. and A.M.; Methodology, J.W., H.D., F.C., M.T.V., A.D.S. and A.M.; Formal analysis, J.W., H.D., F.C., M.T.V., A.D.S. and A.M.; Writing—original draft, J.W., H.D., F.C., M.T.V., A.D.S. and A.M.; Supervision, M.T.V., H.D. and A.M. All authors have read and agreed to the published version of the manuscript.

Funding

This research received no external funding.

Data Availability Statement

The paper presents no data.

Conflicts of Interest

The authors declare no conflict of interest.

References

  1. Guo, F.; Zhou, W.; Lu, Q.; Zhang, C. Path extension similarity link prediction method based on matrix algebra in directed networks. Comput. Commun. 2022, 187, 83–92. [Google Scholar] [CrossRef]
  2. Wang, J.; Liang, F.; Zhou, H.; Yang, M.; Wang, Q. Analysis of Position, pose and force decoupling characteristics of a 4-UPS/1-RPS parallel grinding robot. Symmetry 2022, 14, 825. [Google Scholar] [CrossRef]
  3. Wu, Y.; Sheng, H.; Zhang, Y.; Wang, S.; Xiong, Z.; Ke, W. Hybrid motion model for multiple object tracking in mobile devices. IEEE Internet Things J. 2022, 10, 4735–4748. [Google Scholar] [CrossRef]
  4. Wang, J.; Yang, M.; Liang, F.; Feng, K.; Zhang, K.; Wang, Q. An algorithm for painting large objects based on a nine-axis UR5 robotic manipulator. Appl. Sci. 2022, 12, 7219. [Google Scholar] [CrossRef]
  5. Lin, J.; Miao, Z.; Zhong, H.; Peng, W.; Wang, Y.; Fierro, R. Adaptive image-based leader–follower formation control of mobile robots with visibility constraints. IEEE Trans. Ind. Electron. 2020, 68, 6010–6019. [Google Scholar] [CrossRef]
  6. Song, F.; Liu, Y.; Shen, D.; Li, L.; Tan, J. Learning Control for Motion Coordination in Wafer Scanners: Toward Gain Adaptation. IEEE Trans. Ind. Electron. 2022, 69, 13428–13438. [Google Scholar] [CrossRef]
  7. Dai, S.L.; He, S.; Chen, X.; Jin, X. Adaptive leader–follower formation control of nonholonomic mobile robots with prescribed transient and steady-state performance. IEEE Trans. Ind. Inform. 2019, 16, 3662–3671. [Google Scholar] [CrossRef]
  8. Dai, S.L.; Lu, K.; Jin, X. Fixed-time formation control of unicycle-type mobile robots with visibility and performance constraints. IEEE Trans. Ind. Electron. 2020, 68, 12615–12625. [Google Scholar] [CrossRef]
  9. Qin, D.; Liu, A.; Zhang, D.; Ni, H. Formation control of mobile robot systems incorporating primal-dual neural network and distributed predictive approach. J. Frankl. Inst. 2020, 357, 12454–12472. [Google Scholar] [CrossRef]
  10. Yang, Z.; Zhu, S.; Chen, C.; Feng, G.; Guan, X. Leader-follower formation control of nonholonomic mobile robots with bearing-only measurements. J. Frankl. Inst. 2020, 357, 1628–1643. [Google Scholar] [CrossRef]
  11. Song, F.; Liu, Y.; Jin, W.; Tan, J.; He, W. Data-driven feedforward learning with force ripple compensation for wafer stages: A variable-gain robust approach. IEEE Trans. Neural Netw. Learn. Syst. 2020, 33, 1594–1608. [Google Scholar] [CrossRef] [PubMed]
  12. Mohammadzadeh, A.; Sabzalian, M.H.; Zhang, W. An interval type-3 fuzzy system and a new online fractional-order learning algorithm: Theory and practice. IEEE Trans. Fuzzy Syst. 2019, 28, 1940–1950. [Google Scholar] [CrossRef]
  13. De Persis, C.; Tesi, P. Formulas for Data-Driven Control: Stabilization, Optimality, and Robustness. IEEE Trans. Autom. Control 2020, 65, 909–924. [Google Scholar] [CrossRef]
  14. Bisoffi, A.; De Persis, C.; Tesi, P. Data-based stabilization of unknown bilinear systems with guaranteed basin of attraction. Syst. Control Lett. 2020, 145, 104788. [Google Scholar] [CrossRef]
  15. van Waarde, H.J.; Camlibel, M.K.; Mesbahi, M. From noisy data to feedback controllers: Non-conservative design via a matrix S-lemma. IEEE Trans. Autom. Control 2020, 67, 162–175. [Google Scholar] [CrossRef]
  16. Guo, M.; De Persis, C.; Tesi, P. Data-driven stabilization of nonlinear polynomial systems with noisy data. IEEE Trans. Autom. Control 2021, 67, 4210–4217. [Google Scholar] [CrossRef]
  17. Berberich, J.; Koch, A.; Scherer, C.W.; Allgöwer, F. Robust data-driven state-feedback design. In Proceedings of the 2020 American Control Conference (ACC), Denver, CO, USA, 1–3 July 2020; pp. 1532–1538. [Google Scholar] [CrossRef]
  18. van Waarde, H.J.; Mesbahi, M. Data-driven parameterizations of suboptimal LQR and H2 controllers. IFAC-PapersOnLine 2020, 53, 4234–4239. [Google Scholar] [CrossRef]
  19. Briat, C. Dwell-time stability and stabilization conditions for linear positive impulsive and switched systems. Nonlinear Anal. Hybrid Syst. 2017, 24, 198–226. [Google Scholar] [CrossRef]
  20. Chen, X.; Lam, J.; Li, P.; Shu, Z. L1-induced norm and controller synthesis of positive systems. Automatica 2013, 49, 1377–1385. [Google Scholar] [CrossRef]
  21. Xiang, M.; Xiang, Z. Finite-time L1 control for positive switched linear systems with time-varying delay. Commun. Nonlinear Sci. Numer. Simul. 2013, 18, 3158–3166. [Google Scholar] [CrossRef]
  22. Briat, C. Stability and performance analysis of linear positive systems with delays using input–output methods. Int. J. Control 2018, 91, 1669–1692. [Google Scholar] [CrossRef]
  23. Spagolla, A.; Morais, C.F.; Oliveira, R.C.L.F.; Peres, P.L.D. Stabilization and H2 static output-feedback control of discrete-time positive linear systems. IEEE Trans. Autom. Control 2021, 67, 1446–1452. [Google Scholar] [CrossRef]
  24. Dokeroglu, T.; Deniz, A.; Kiziloz, H.E. A comprehensive survey on recent metaheuristics for feature selection. Neurocomputing 2022, 494, 269–296. [Google Scholar] [CrossRef]
  25. Zhang, J.; Yang, H.; Jia, X. Model Predictive Control With Mixed Performances for Uncertain Positive Systems. IEEE Access 2018, 6, 10221–10230. [Google Scholar] [CrossRef]
  26. Zhang, J.; Zhao, X.; Zuo, Y.; Zhang, R. Linear programming-based robust model predictive control for positive systems. IET Control Theory Appl. 2016, 10, 1789–1797. [Google Scholar] [CrossRef]
  27. Mehrivash, H.; Shafiei, M.H. Constrained model predictive control for positive systems. IET Control Theory Appl. 2019, 13, 1491–1499. [Google Scholar] [CrossRef]
  28. Liu, M.; Gu, Q.; Yang, B.; Yin, Z.; Liu, S.; Yin, L.; Zheng, W. Kinematics Model Optimization Algorithm for Six Degrees of Freedom Parallel Platform. Appl. Sci. 2023, 13, 3082. [Google Scholar] [CrossRef]
  29. Li, D.; Yu, H.; Tee, K.P.; Wu, Y.; Ge, S.S.; Lee, T.H. On time-synchronized stability and control. IEEE Trans. Syst. Man Cybern. Syst. 2021, 52, 2450–2463. [Google Scholar] [CrossRef]
  30. Lu, S.; Ban, Y.; Zhang, X.; Yang, B.; Yin, L.; Liu, S.; Zheng, W. Adaptive control of time delay teleoperation system with uncertain dynamics. Front. Neurorobot. 2022, 16, 928863. [Google Scholar] [CrossRef]
  31. Duan, J.; Duan, G.; Cheng, S.; Cao, S.; Wang, G. Fixed-time time-varying output formation-containment control of heterogeneous general multi-agent systems. ISA Trans. 2023. [Google Scholar] [CrossRef]
  32. Peng, Z.; Hu, J.; Shi, K.; Luo, R.; Huang, R.; Ghosh, B.K.; Huang, J. A novel optimal bipartite consensus control scheme for unknown multi-agent systems via model-free reinforcement learning. Appl. Math. Comput. 2020, 369, 124821. [Google Scholar] [CrossRef]
Disclaimer/Publisher’s Note: The statements, opinions and data contained in all publications are solely those of the individual author(s) and contributor(s) and not of MDPI and/or the editor(s). MDPI and/or the editor(s) disclaim responsibility for any injury to people or property resulting from any ideas, methods, instructions or products referred to in the content.

Article Metrics

Citations

Article Access Statistics

Multiple requests from the same IP address are counted as one view.