Identifying a Space-Dependent Source Term and the Initial Value in a Time Fractional Diffusion-Wave Equation
Abstract
1. Introduction
2. Preliminaries
3. A Conditional Stability and Ill-Posedness
4. Mollification Regularization and Error Estimates
4.1. An a Priori Approach for Problem (1)
4.2. An a Posteriori Approach for Problem (1)
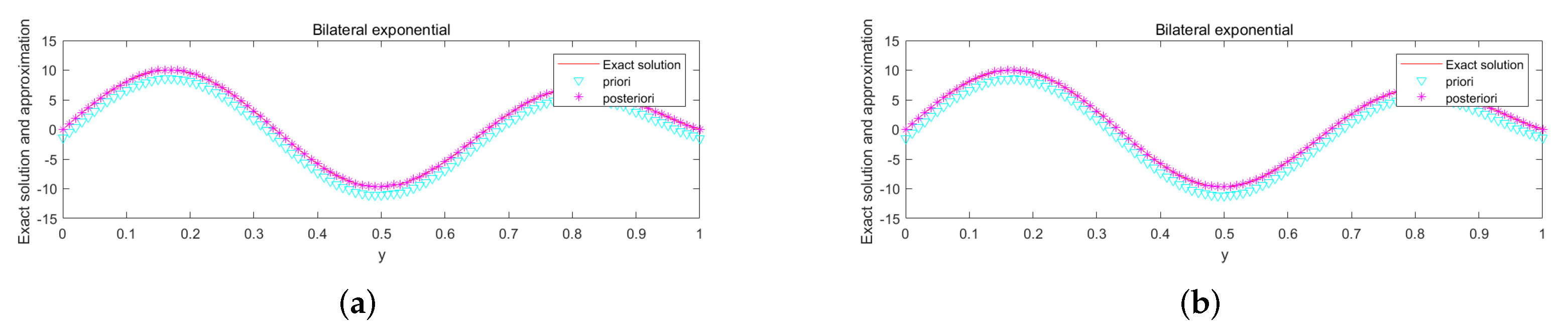
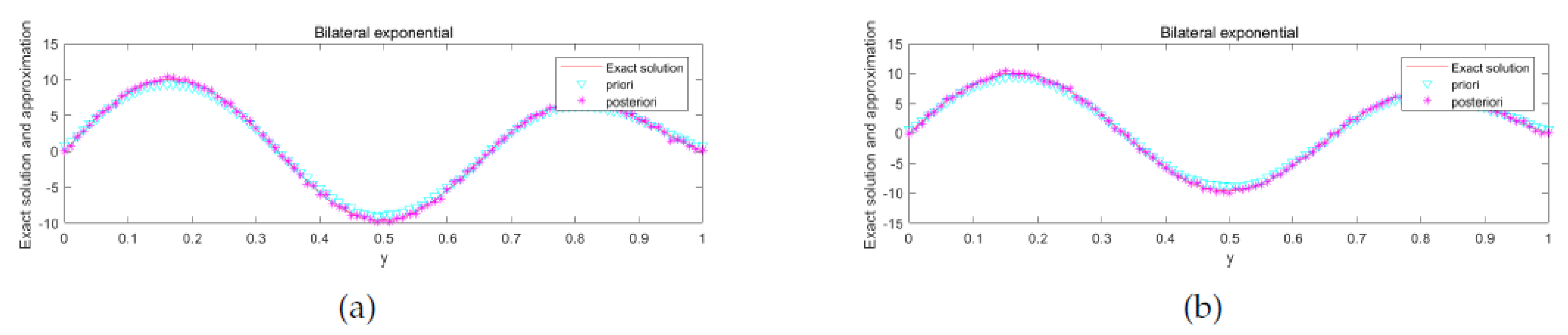
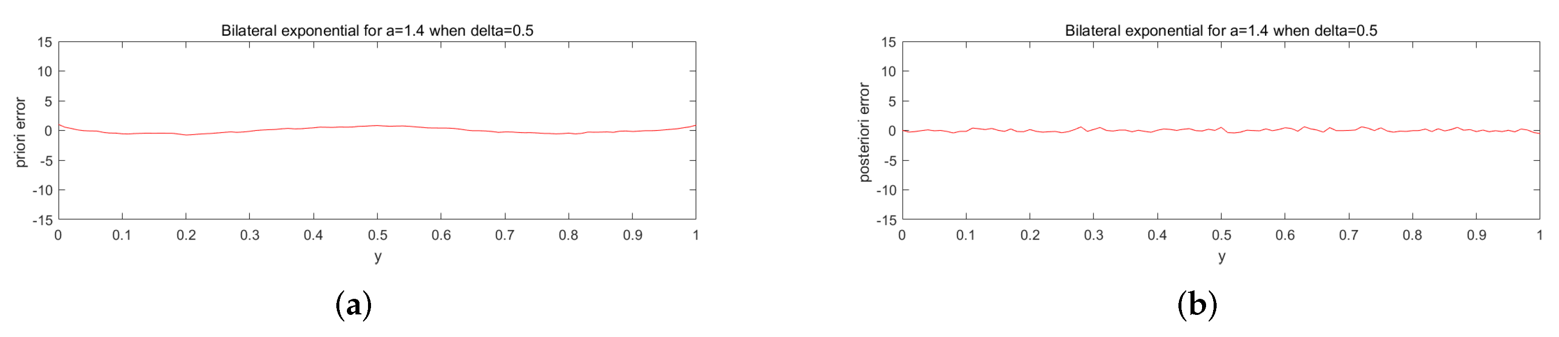
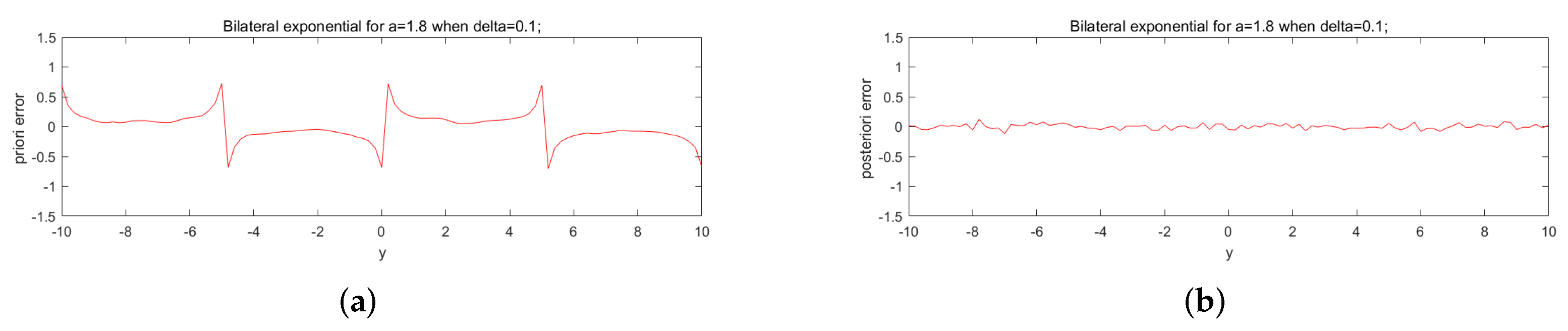
5. Numerical Aspect
Numerical Implementation
6. Conclusions
Author Contributions
Funding
Data Availability Statement
Acknowledgments
Conflicts of Interest
References
- Kilbas, A.; Srivastava, H.M.; Trujillo, J.J. Theory and Applications of Fractional Differential Equations; Elsevier: Amsterdam, The Netherlands, 2006. [Google Scholar]
- Podlubny, I. Fractional Differential Equations; Academic Press: San Diego, CA, USA, 1999. [Google Scholar]
- Yan, X.B.; Wei, T. Determine a space-dependent source term in a time fractional diffusion-wave equation. Acta Appl. Math. 2020, 165, 163–181. [Google Scholar] [CrossRef]
- Xian, J.; Wei, T. Determination of the initial data in a time-fractional diffusion-wave problem by a final time data. Comput. Math. Appl. 2019, 78, 2525–2540. [Google Scholar] [CrossRef]
- D’Elia, M.; Gunzburger, M. The fractional Laplacian operator on bounded domains as a special case of the nonlocal diffusion operator. Comput. Math. Appl. 2013, 66, 1245–1260. [Google Scholar] [CrossRef]
- Jiang, Y.J.; Ma, J.T. High-order finite element methods for time-fractional partial differential equations. J. Comput. Appl. Math. 2011, 235, 3285–3290. [Google Scholar] [CrossRef]
- Luchko, Y. Maximum principle for the generalized time-fractional diffusion equation. J. Math. Anal. Appl. 2009, 351, 218–223. [Google Scholar] [CrossRef]
- Nochetto, R.H.; Otárola, E.; Salgado, A.J. A PDE approach to space-time fractional parabolic problems. SIAM J. Numer. Anal. 2016, 54, 848–873. [Google Scholar] [CrossRef]
- Wei, T.; Sun, L.; Li, Y. Uniqueness for an inverse space-dependent source term in a multi-dimensional time-fractional diffusion equation. Appl. Math. Lett. 2016, 61, 108–113. [Google Scholar] [CrossRef]
- Wyss, W. The fractional diffusion equation. J. Math. Phys. 1986, 27, 2782–2785. [Google Scholar] [CrossRef]
- Antil, H.; Otárola, E.; Salgado, A.J. Optimization with respect to order in a fractional diffusion model: Analysis, approximation and algorithmic aspects. J. Sci. Comput. 2018, 77, 204–224. [Google Scholar] [CrossRef]
- D’Elia, M.; Gunzburger, M. Identifcation of the diffusion parameter in nonlocal steady diffusion problems. Appl. Math. Optim. 2016, 73, 227–249. [Google Scholar] [CrossRef]
- Li, G.S.; Zhang, D.L.; Jia, X.Z.; Yamamoto, M. Simultaneous inversion for the space-dependent diffusion coeffient and the fractional order in the time-fractional diffusion equation. Inverse Probl. 2013, 29, 065014. [Google Scholar] [CrossRef]
- Liu, Y.; Rundell, W.; Yamamoto, M. Strong maximum principle for fractional diffusion equations and an application to an inverse source problem. Fract. Calc. Appl. Anal. 2016, 19, 888–906. [Google Scholar] [CrossRef]
- Sakamoto, K.; Yamamoto, M. Initial value/boundary value problems for fractional diffusion-wave equations and applications to some inverse problems. J. Math. Anal. Appl. 2011, 382, 426–447. [Google Scholar] [CrossRef]
- Sun, L.; Wei, T. Identifcation of the zeroth-order coeffcient in a time fractional diffusion equation. Appl. Numer. Math. 2017, 111, 160–180. [Google Scholar] [CrossRef]
- Wang, W.; Yamamoto, M.; Han, B. Numerical method in reproducing kernel space for an inverse source problem for the fractional diffusion equation. Inverse Probl. 2013, 29, 095009. [Google Scholar] [CrossRef]
- Wei, T.; Wang, J.G. A modied quasi-boundary value method for an inverse source problem of the time-fractional diffusion equation. Appl. Numer. Math. 2014, 78, 95–111. [Google Scholar] [CrossRef]
- Wei, T.; Li, X.L.; Li, Y.S. An inverse time-dependent source problem for a time-fractional diffusion equation. Inverse Probl. 2016, 32, 085003. [Google Scholar] [CrossRef]
- Zhang, Z.Q.; Wei, T. Identifying an unknown source in time-fractional diffusion equation by a truncation method. Appl. Math. Comput. 2013, 219, 5972–5983. [Google Scholar] [CrossRef]
- Zhang, Y.; Xu, X. Inverse source problem for a fractional diffusion equation. Inverse Probl. 2011, 27, 035010. [Google Scholar] [CrossRef]
- Feng, X.L.; Zhao, L.Z. The Backward Problem of Stochastic Convection-Diffusion Equation. Bull. Malays. Math. Sci. Soc. 2022, 45, 3535–3560. [Google Scholar] [CrossRef]
- Li, N.; Fiordilino, J.; Feng, X.L. Ensemble time-stepping algorithm for the Convection-Diffusion Equation with Random Diffusivity. J. Sci. Comput. 2019, 79, 1271–1293. [Google Scholar] [CrossRef]
- Manzoor, H. Analytical modeling of the approximate solution behavior of multi-dimensional reaction–diffusion Brusselator system. Math. Method Appl. Sci. 2022, 23, 1–19. [Google Scholar]
- Emad, A.A.; Kamel, A.K.; Amer, D. Numeric-Analytic Solutions for Nonlinear Oscillators via the Modified Multi-Stage Decomposition Method. Mathematics 2019, 7, 550. [Google Scholar] [CrossRef]
- Yang, H.W.; Wang, Y.Y.; Wang, Y.Q.; Lv, F.D. Numeric-analytical solution of an LC circuit with nonlinear capacitor based on the symplectic conservative perturbation method. Int. J. Numer. Model. Electron. Netw. Devices Fields 2021, 34, e2861. [Google Scholar] [CrossRef]
- Ali, M.A.; Zhang, Z.Y.; Michal, F. On Some Error Bounds for Milne’s Formula in Fractional Calculus. Mathematics 2023, 11, 146. [Google Scholar] [CrossRef]
- Ndam, J.; Adedire, O. Comparison of the Solution of the Van der Pol Equation Using the Modified Adomian Decomposition Method and Truncated Taylor Series Method. J. Niger. Soc. Phys. Sci. 2020, 16, 106–114. [Google Scholar] [CrossRef]
- Macías-Díaz, J.E. Numerically Efficient Methods for Variational Fractional Wave Equations: An Explicit Four-Step Scheme. Mathematics 2019, 7, 1095. [Google Scholar] [CrossRef]
- Gong, X.H.; Wei, T. Reconstruction of a time-dependent source term in a time fractional diffusion-wave equation. Inverse Probl. Sci. Eng. 2019, 27, 1577–1594. [Google Scholar] [CrossRef]
- Yang, F.; Pu, Q.; Li, X.X.; Li, D.G. The Truncation Regularization Method for identifying the initial value on non-homogeneous time-fractional diffusion wave equations. Mathematics 2019, 7, 1007. [Google Scholar] [CrossRef]
- Hojjatollah, S.K.; Hojjatollah, A. Mapped Regularization Methods for the Cauchy Problem of the Helmholtz and Laplace Equations. Lran. J. Sci. Technol. Trans. Sci. 2021, 45, 669–682. [Google Scholar]
- Wei, T.; Zhang, Y. The backward problem for a time-fractional diffusion-wave equation in a bounded domain. Comput. Math. Appl. 2018, 75, 3632–3648. [Google Scholar] [CrossRef]
- Hao, D.N. A mollification method for ill-posed problems. Numer. Math. 1994, 68, 469–506. [Google Scholar]
- Engl, H.W.; Hanke, M.; Neubauer, A. Regularization of Inverse Problem; Kluwer Academic: Boston, MA, USA, 1996. [Google Scholar]
















| Error Level | ( = 1.4) | ( = 1.4) | ( = 1.8) | ( = 1.8) |
|---|---|---|---|---|
| 1 × | 0.2362 | 0.069 | 0.2352 | 0.0070 |
| 1 × | 0.2361 | 7.6050 × | 0.2351 | 6.7405 × |
| Error Level | ( = 1.4) | ( = 1.4) | ( = 1.8) | ( = 1.8) |
|---|---|---|---|---|
| 1 × | 0.0507 | 0.0504 | 0.0462 | 0.0417 |
| 1 × | 0.0106 | 0.0047 | 0.0108 | 0.0048 |
| Error Level | (=1.4) | ( = 1.4) | ( = 1.8) | ( = 1.8) |
|---|---|---|---|---|
| 1 × | 0.6094 | 0.0224 | 0.6095 | 0.0212 |
| 1 × | 0.6091 | 0.0025 | 0.6091 | 0.0024 |
| Example | Running Time (s) | ||
|---|---|---|---|
| eg. 1 | 1.8 | 0.5 | 0.186 |
| eg. 2 | 1.8 | 0.5 | 0.163 |
| eg. 3 | 1.8 | 0.5 | 0.177 |
Disclaimer/Publisher’s Note: The statements, opinions and data contained in all publications are solely those of the individual author(s) and contributor(s) and not of MDPI and/or the editor(s). MDPI and/or the editor(s) disclaim responsibility for any injury to people or property resulting from any ideas, methods, instructions or products referred to in the content. |
© 2023 by the authors. Licensee MDPI, Basel, Switzerland. This article is an open access article distributed under the terms and conditions of the Creative Commons Attribution (CC BY) license (https://creativecommons.org/licenses/by/4.0/).
Share and Cite
Lv, X.; Feng, X. Identifying a Space-Dependent Source Term and the Initial Value in a Time Fractional Diffusion-Wave Equation. Mathematics 2023, 11, 1521. https://doi.org/10.3390/math11061521
Lv X, Feng X. Identifying a Space-Dependent Source Term and the Initial Value in a Time Fractional Diffusion-Wave Equation. Mathematics. 2023; 11(6):1521. https://doi.org/10.3390/math11061521
Chicago/Turabian StyleLv, Xianli, and Xiufang Feng. 2023. "Identifying a Space-Dependent Source Term and the Initial Value in a Time Fractional Diffusion-Wave Equation" Mathematics 11, no. 6: 1521. https://doi.org/10.3390/math11061521
APA StyleLv, X., & Feng, X. (2023). Identifying a Space-Dependent Source Term and the Initial Value in a Time Fractional Diffusion-Wave Equation. Mathematics, 11(6), 1521. https://doi.org/10.3390/math11061521

