Climbing Strategy of Variable Topology Cellular Space Robots Considering Configuration Optimization
Abstract
1. Introduction
2. Energy Consumption Modeling of the CSR
2.1. Structural Model of CSR
2.2. Kinetic Model
- (1)
- The effect of gravity in space was neglected;
- (2)
- The CSR and the space truss were considered as rigid bodies;
- (3)
- The robot and the truss were in the same orbit during the climbing process, ignoring the effect of orbit dynamics.
2.3. Energy Consumption Model of CSR
3. Climbing Strategy Optimization
3.1. Analysis of Climbing Energy Constraints
3.2. Integrated Optimization Algorithm
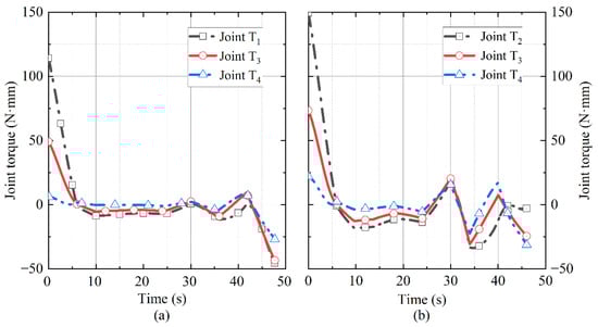
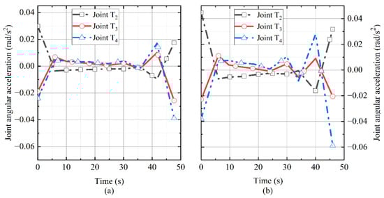
3.3. Simulation Experiments and Analysis
4. Conclusions
Author Contributions
Funding
Data Availability Statement
Conflicts of Interest
References
- Chang, H.T.; Huang, P.F.; Wang, M.; Meng, Z. Distributed control allocation for cellular space robots in takeover control. Acta Aeronaut. Astronaut. Sin. 2016, 37, 2864–2873. [Google Scholar] [CrossRef]
- Zhao, H.; Zhao, Y.; Tian, H.; An, D.X. Key techniques and applications of space cellular robotic system. J. Astronaut. 2018, 39, 1071–1080. [Google Scholar] [CrossRef]
- You, B.-D.; Wen, X.-L.; Liu, Y.-Q.; Tan, C.-L.; An, D.-X.; Tian, H.; Zhao, Y. Gait analysis of cellular space robot for on-orbit climbing truss. J. Astronaut. 2020, 41, 521–530. [Google Scholar] [CrossRef]
- Pouliot, N.; Richard, P.-L.; Montambault, S. LineScout technology opens the way to robotic inspection and maintenance of high-voltage power lines. IEEE Power Energy Technol. Syst. J. 2015, 2, 1–11. [Google Scholar] [CrossRef]
- Xu, Z.; Li, S.; Chen, Q.; Hou, B. MOPSO Based Multi-objective Trajectory Planning for Robot Manipulators. In Proceedings of the 2015 2nd International Conference on Information Science and Control Engineering, Shanghai, China, 24–26 April 2015; pp. 824–828. [Google Scholar]
- Saravanan, R.; Ramabalan, S. Evolutionary Minimum Cost Trajectory Planning for Industrial Robots. J. Intell. Robot. Syst. 2008, 52, 45–77. [Google Scholar] [CrossRef]
- Wang, H.-F.; Zhu, S.-Q.; Wu, W.-X. INSGA-Ⅱ based multi-objective trajectory planning for manipulators. J. Zhejiang Univ. (Eng. Sci.) 2012, 46, 622–628. [Google Scholar] [CrossRef]
- Deng, Q.; Luo, Z.; Zhang, L.; Cui, W. Study on energy consumption model and Its optimization algorithm for spot welding robot trajectory. China Mech. Eng. 2016, 27, 14. [Google Scholar] [CrossRef]
- Carabin, G.; Scalera, L. On the Trajectory Planning for Energy Efficiency in Industrial Robotic Systems. Robotics 2020, 9, 89. [Google Scholar] [CrossRef]
- Xu, H.; Xie, X.; Zhuang, J.; Wang, S. Global time-energy optimal planning of industrial robot trajectories. Chin. J. Mech. Eng. 2010, 46, 19–25. [Google Scholar] [CrossRef]
- Mohammed, A.; Schmidt, B.; Wang, L.; Gao, L. Minimizing energy consumption for robot arm movement. Procedia Cirp 2014, 25, 400–405. [Google Scholar] [CrossRef]
- Morita, T.; Kuribara, F.; Shiozawa, Y.; Sugano, S. A novel mechanism design for gravity compensation in three dimensional space. In Proceedings of the 2003 IEEE/ASME International Conference on Advanced Intelligent Mechatronics (AIM 2003), Kobe, Japan, 20–24 July 2003; pp. 163–168. [Google Scholar]
- Sun, L.; Liang, F.; Fang, L. Design and performance analysis of an industrial robot arm for robotic drilling process. Ind. Robot. 2019, 46, 7–16. [Google Scholar] [CrossRef]
- Kim, H.-S.; Song, J.-B. Multi-DOF counterbalance mechanism for a service robot arm. IEEE/ASME Trans. Mechatron. 2014, 19, 1756–1763. [Google Scholar] [CrossRef]
- Ludovico, D.; Guardiani, P.; Lasagni, F.; Lee, J.; Cannella, F.; Caldwell, D.G. Design of Non-Circular Pulleys for Torque Generation: A Convex Optimisation Approach. IEEE Robot. Autom. Lett. 2021, 6, 958–965. [Google Scholar] [CrossRef]
- Nguyen, V.L. A design approach for gravity compensators using planar four-bar mechanisms and a linear spring. Mech. Mach. Theory 2022, 172, 104770. [Google Scholar] [CrossRef]
- Tao, G.; Geng, S.; Jiang, C.; Ye, C. Energy consumption characteristics analysis on a robot pitching joint. Robot 2022, 44, 484–493. [Google Scholar] [CrossRef]
- Chen, Q.C. Research on Analyses of Motion Characteristics and Motion Control of Serial Robot Combining Screw Theory. Master’s Thesis, Zhejiang University, Hangzhou, China, 2015. [Google Scholar]
- Pei, J.; Xu, D.; Wang, H. Inverse Kinematics Analyses of 3-finger Robot Dexterous Hand Based on Screw Theory. China Mech. Eng. 2017, 28, 2975–2980. [Google Scholar] [CrossRef]
- Wang, C.H.; Horng, J.G. Constrained minimum-time path planning for robot manipulators via virtual knots of the cubic B-spline functions. IEEE Trans. Autom. Control 1990, 35, 573–577. [Google Scholar] [CrossRef]
- Gregory, J.; Olivares, A.; Staffetti, E. Energy-optimal trajectory planning for robot manipulators with holonomic constraints. Syst. Control Lett. 2012, 61, 279–291. [Google Scholar] [CrossRef]
- Price, K.V.; Storn, R.M.; Lampinen, J.A. Differential Evolution-A Practical Approach to Global Optimization. Nat. Comput. 2005, 141, 251–252. [Google Scholar] [CrossRef]
- Zhou, X.; Jiang, L.; Guan, Y.; Zhu, H.; Huang, D.; Cheng, T.; Zhang, H. Energy-optimal motion planning of a biped pole-climbing robot with kinodynamic constraints. Ind. Robot. 2018, 45, 343–353. [Google Scholar] [CrossRef]
- Jiang, L.; Guan, Y.; Wang, J.; Zhou, X.; Su, M. Energy-optimal motion planning for a pole-climbing robot. Robot 2017, 39, 16–22. [Google Scholar]
- Wen, X.L. Research on Orbital Climbing Planning of Space Cell Robot Facing Truss. Master’s Thesis, Harbin Institute of Technology, Harbin, China, 2020. [Google Scholar]

















| Module | Motor Type | Function of the Motor | Model | Reduction Ratio |
|---|---|---|---|---|
| Swing cell | Stepper motors | Provides swinging power | PK564AW-H50S | 50 |
| Provides connection power | 42HB47PL010R-TK0 | 10 | ||
| Connecting cell | Stepper motors | Provides connection power | 42HB47PL010R-TK0 | 10 |
| Gripper | Stepper motors | Provides clamping power | PK564AW-H50S | 50 |
| Robot Linkage | Mass | Inertia Tensor | Position of the Mass Center /m | ||
|---|---|---|---|---|---|
| 1 | |||||
| 2 | |||||
| 3 | |||||
| 4 | |||||
| 5 | |||||
| 6 | |||||
| Algorithm | F200 | |||
|---|---|---|---|---|
| Stepwise optimization algorithm | 102,547.28 | 102,625.69 | 102,588.69 | 40.11 |
| Integrated optimization algorithm | 58,734.37 | 58,842.15 | 58,783.47 | 32.48 |
| Algorithm | |||
|---|---|---|---|
| Stepwise optimization algorithm | [2, 2] | [5.999, 3.617, 4.030, 4.703, 5.414, 5.937, 4.054, 6.000, 5.999] | 45.753 |
| Integrated optimization algorithm | [0, 4] | [5.998, 3.960, 4.302, 4.800, 5.347, 5.818, 4.489, 5.986, 5.999] | 47.698 |
Disclaimer/Publisher’s Note: The statements, opinions and data contained in all publications are solely those of the individual author(s) and contributor(s) and not of MDPI and/or the editor(s). MDPI and/or the editor(s) disclaim responsibility for any injury to people or property resulting from any ideas, methods, instructions or products referred to in the content. |
© 2023 by the authors. Licensee MDPI, Basel, Switzerland. This article is an open access article distributed under the terms and conditions of the Creative Commons Attribution (CC BY) license (https://creativecommons.org/licenses/by/4.0/).
Share and Cite
Liu, X.; You, B.; Wang, R.; Wen, J.; An, D.; Wen, X. Climbing Strategy of Variable Topology Cellular Space Robots Considering Configuration Optimization. Mathematics 2023, 11, 1410. https://doi.org/10.3390/math11061410
Liu X, You B, Wang R, Wen J, An D, Wen X. Climbing Strategy of Variable Topology Cellular Space Robots Considering Configuration Optimization. Mathematics. 2023; 11(6):1410. https://doi.org/10.3390/math11061410
Chicago/Turabian StyleLiu, Xiaomeng, Bindi You, Rui Wang, Jianmin Wen, Dexiao An, and Xiaolei Wen. 2023. "Climbing Strategy of Variable Topology Cellular Space Robots Considering Configuration Optimization" Mathematics 11, no. 6: 1410. https://doi.org/10.3390/math11061410
APA StyleLiu, X., You, B., Wang, R., Wen, J., An, D., & Wen, X. (2023). Climbing Strategy of Variable Topology Cellular Space Robots Considering Configuration Optimization. Mathematics, 11(6), 1410. https://doi.org/10.3390/math11061410

