Next Article in Journal
Analysis and Optimal Control of the Tungro Virus Disease Spread Model in Rice Plants by Considering the Characteristics of the Virus, Roguing, and Pesticides
Next Article in Special Issue
On Nearly Sasakian and Nearly Kähler Statistical Manifolds
Previous Article in Journal
Door State Recognition Method for Wall Reconstruction from Scanned Scene in Point Clouds
Previous Article in Special Issue
The ∗-Ricci Operator on Hopf Real Hypersurfaces in the Complex Quadric
 
 
Font Type:
Arial Georgia Verdana
Font Size:
Aa Aa Aa
Line Spacing:
Column Width:
Background:
Article

First Natural Connection on Riemannian Π-Manifolds

Department of Medical Physics and Biophysics, Faculty of Pharmacy, Medical University of Plovdiv, 15A Vasil Aprilov Blvd., 4002 Plovdiv, Bulgaria
Mathematics 2023, 11(5), 1146; https://doi.org/10.3390/math11051146
Submission received: 30 January 2023 / Revised: 21 February 2023 / Accepted: 24 February 2023 / Published: 25 February 2023
(This article belongs to the Special Issue Submanifolds in Metric Manifolds)

Abstract

A natural connection with torsion is defined, and it is called the first natural connection on the Riemannian Π-manifold. Relations between the introduced connection and the Levi–Civita connection are obtained. Additionally, relations between their respective curvature tensors, torsion tensors, Ricci tensors, and scalar curvatures in the main classes of a classification of Riemannian Π-manifolds are presented. An explicit example of dimension five is provided.
MSC:
53C25; 53D15; 53C50; 53B05; 53D35; 70G45

1. Introduction

In the present work, we study the differential geometry of the almost paracontact, almost paracomplex Riemannian manifolds, called briefly Riemannian Π -manifolds [1,2]. The considered odd dimensional manifolds have a traceless induced almost product structure on the paracontact distribution, and the restriction on the paracontact distribution of the almost paracontact structure is an almost paracomplex structure. The start of the investigation of the Riemannian Π -manifolds is given in [1] by the name almost paracontact Riemannian manifolds of type ( n , n ) . After that, their study continues in a series of works (e.g., [2,3,4,5]).
In [1], M. Manev and M. Staikova presented a classification of the Riemannian Π -manifolds with respect to the fundamental tensor F, which contains eleven basic classes. We consider four of these eleven basic classes, the so-called main classes, in which F is expressed explicitly by the metrics and the Lee forms.
In differential geometry of manifolds with additional tensor structures, those affine connections play an important role, which is to preserve the structure tensors and the metric, known also as natural connections (e.g., [6,7,8,9,10,11,12,13,14,15]). We define a non-symmetric natural connection, and we call it the first natural connection on a Riemannian Π -manifold. We obtain relations between the introduced connection and the Levi–Civita connection, as well as studying some of its curvature characteristics in the main classes.
The paper is structured as follows. After this introductory Section 1, in Section 2, we recall some preliminary background facts about the considered geometry. In the next Section 3, we define the concept of natural connection on the Riemannian Π -manifold, and we prove the necessary and sufficient condition for the affine connection to be natural. Section 4 is devoted to the first natural connection on the Riemannian Π -manifold and its relations to the Levi–Civita connection. Moreover, in this section, we prove assertions for relations between these two connections and their respective curvature tensors, torsion tensors, Ricci tensors, and scalar curvatures. In the final Section 5, we support the results with an explicit example of dimension five.

2. Riemannian Π -Manifolds

Let ( M , ϕ , ξ , η , g ) be a Riemannian Π -manifold, where M is ( 2 n + 1 ) -dimensional differentiable manifold, equipped with a Riemannian metric g and a Riemannian Π -structure ( ϕ , ξ , η ) . This structure consists of a (1,1)-tensor field ϕ , a Reeb vector field ξ and its dual 1-form η . The following basic identities and their immediately derived properties are valid:
ϕ ξ = 0 , ϕ 2 = I η ξ , η ϕ = 0 , η ( ξ ) = 1 , tr ϕ = 0 , g ( ϕ x , ϕ y ) = g ( x , y ) η ( x ) η ( y ) ,
g ( ϕ x , y ) = g ( x , ϕ y ) , g ( x , ξ ) = η ( x ) , g ( ξ , ξ ) = 1 , η ( x ξ ) = 0 ,
where I and ∇ denote the identity transformation on T M and the Levi–Civita connection of g, respectively ([2,16]). Here and further, x, y, z, and w stand for arbitrary differentiable vector fields on M or tangent vectors at a point of M .
The associated metric g ˜ of g on ( M , ϕ , ξ , η , g ) is defined by g ˜ ( x , y ) = g ( x , ϕ y ) + η ( x ) η ( y ) . It is an indefinite metric of signature ( n + 1 , n ) , and it is compatible with the manifold in the same way as g. In further investigations, we use the following notations:
g ( x , y ) = g ( x , ϕ y ) , g ( x , y ) = g ( ϕ x , ϕ y ) .
Using ξ and η on an arbitrary Riemannian Π -manifold ( M , ϕ , ξ , η , g ) , we consider two complementary distributions of T M —the horizontal distribution H = ker ( η ) and the vertical distribution V = span ( ξ ) . They are mutually orthogonal with respect to the both metrics g and g ˜ , i.e.,
H V = T M , H V , H V = { o } ,
where o stands for the zero vector field on M . In this way, the respective horizontal and vertical projectors are determined by h : T M H and v : T M V .
An arbitrary vector field x has corresponding projections x h and x v such that
x = x h + x v ,
where
x h = ϕ 2 x , x v = η ( x ) ξ
are the so-called horizontal and vertical component of x, respectively.
Let us denote by ∇ the Levi–Civita connection of g. The following tensor field F of type ( 0 , 3 ) plays an important role in the geometry of the Riemannian Π -manifolds [1]:
F ( x , y , z ) = g x ϕ y , z .
From (1) and (7), the following general properties of F are obtained [1]:
F ( x , y , z ) = F ( x , z , y ) = F ( x , ϕ y , ϕ z ) + η ( y ) F ( x , ξ , z ) + η ( z ) F ( x , y , ξ ) , F ( x , y , ϕ z ) = F ( x , ϕ y , z ) + η ( z ) F ( x , ϕ y , ξ ) + η ( y ) F ( x , ϕ z , ξ ) , F ( x , ϕ y , ϕ z ) = F ( x , ϕ 2 y , ϕ 2 z ) , F ( x , ϕ y , ϕ 2 z ) = F ( x , ϕ 2 y , ϕ z ) .
Lemma 1 
([2]). The following identities are valid:
(1) 
( x η ) ( y ) = g ( x ξ , y ) ;
(2) 
η ( x ξ ) = 0 ;
(3) 
F ( x , ϕ y , ξ ) = ( x η ) ( y ) .
The 1-forms associated with F, known as Lee forms, are defined by
θ = g i j F ( e i , e j , · ) , θ = g i j F ( e i , ϕ e j , · ) , ω = F ( ξ , ξ , · ) ,
where g i j is the inverse matrix of g i j of g with respect to a basis ξ ; e i of T p M ( i = 1 , 2 , , 2 n ; p M ) . Using (8), the following relations for the Lee forms are obtained [1]:
ω ( ξ ) = 0 , θ ϕ = θ ϕ 2 , θ ϕ 2 = θ ϕ .
In [1], M. Manev and M. Staikova presented a classification of Riemannian Π -manifolds with respect to the fundamental tensor F, which contains eleven basic classes denoted by F 1 , F 2 , ⋯, F 11 . The intersection of the basic classes is the special class F 0 determined by the condition F = 0 . Let us remark that the main objects of our consideration are the so-called main classes of the considered manifolds among the basic eleven. These are the classes F 1 , F 4 , F 5 , F 11 in which the fundamental tensor F is expressed explicitly by the metrics and the Lee forms. The characteristic conditions of these classes are [1,2]
F 1 : F ( x , y , z ) = 1 2 n { g ( ϕ x , ϕ y ) θ ( ϕ 2 z ) + g ( ϕ x , ϕ z ) θ ( ϕ 2 y ) F ( x , y , z ) = 1 2 n { g ( x , ϕ y ) θ ( ϕ z ) g ( x , ϕ z ) θ ( ϕ y ) } ; F 4 : F ( x , y , z ) = θ ( ξ ) 2 n g ( ϕ x , ϕ y ) η ( z ) + g ( ϕ x , ϕ z ) η ( y ) ; F 5 : F ( x , y , z ) = θ ( ξ ) 2 n g ( x , ϕ y ) η ( z ) + g ( x , ϕ z ) η ( y ) ; F 11 : F ( x , y , z ) = η ( x ) η ( y ) ω ( z ) + η ( z ) ω ( y ) .
The ( 1 , 2 ) -tensors N and N ^ defined by
N ( x , y ) = ϕ x ϕ y ϕ x ϕ y x η ( y ) ξ ϕ y ϕ x + ϕ y ϕ x + y η ( x ) ξ ,
N ^ ( x , y ) = ϕ x ϕ y ϕ x ϕ y x η ( y ) ξ + ϕ y ϕ x ϕ y ϕ x y η ( x ) ξ
are called the Nijenhuis tensor and associated Nijenhuis tensor, respectively, for the Π -structure on M [2].
It can be immediately established that we have an antisymmetric tensor N and a symmetric N ^ , i.e.,
N ( x , y ) = N ( y , x ) , N ^ ( x , y ) = N ^ ( y , x ) .
The corresponding ( 0 , 3 ) -tensors of N and N ^ on ( M , ϕ , ξ , η , g ) are denoted by the same letter and are expressed by means of F through the equalities [2]
N ( x , y , z ) = g N ( x , y ) , z N ( x , y , z ) = F ( ϕ x , y , z ) F ( ϕ y , x , z ) F ( x , y , ϕ z ) + F ( y , x , ϕ z ) N ( x , y , z ) = + η ( z ) F ( x , ϕ y , ξ ) F ( y , ϕ x , ξ ) , N ^ ( x , y , z ) = g N ^ ( x , y ) , z N ^ ( x , y , z ) = F ( ϕ x , y , z ) + F ( ϕ y , x , z ) F ( x , y , ϕ z ) F ( y , x , ϕ z ) N ^ ( x , y , z ) = + η ( z ) F ( x , ϕ y , ξ ) + F ( y , ϕ x , ξ ) .
On the other hand, the fundamental tensor F of a Riemannian Π -manifold can be expressed only by the pair of tensors N and N ^ as follows [2]:
F ( x , y , z ) = 1 4 { N ( ϕ x , y , z ) + N ( ϕ x , z , y ) + N ^ ( ϕ x , y , z ) + N ^ ( ϕ x , z , y ) } F ( x , y , z ) = 1 2 η ( x ) { N ( ξ , y , ϕ z ) + N ^ ( ξ , y , ϕ z ) + η ( z ) N ^ ( ξ , ξ , ϕ y ) } .
Let R denote the curvature tensor of type ( 1 , 3 ) for the Levi–Civita connection ∇ generated by the metric g on ( M , ϕ , ξ , η , g ) , i.e.,
R ( x , y ) z = x y z y x z [ x , y ] z .
Let us denote the corresponding curvature ( 0 , 4 ) -tensor by the same letter and let us define it by the following equality:
R ( x , y , z , w ) = g ( R ( x , y ) z , w ) .
The following known basic properties hold for R:
R ( x , y , z , w ) = R ( y , x , z , w ) = R ( x , y , w , z ) ,
R ( x , y , z , w ) + R ( y , z , x , w ) + R ( z , x , y , w ) = 0 .
For R, we define Ricci tensor ρ of type ( 0 , 2 ) as follows:
ρ ( x , y ) = g i j R ( e i , x , y , e j ) ,
and scalar curvature τ as the trace of ρ through
τ = g i j ρ ( e i , e j ) .
The associated quantities ρ and τ corresponding to ρ and τ are determined by the following equalities:
ρ ( x , y ) = g i j R ( e i , x , y , ϕ e j ) , τ = g i j ρ ( e i , e j ) .
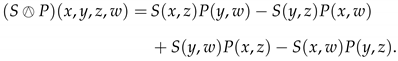
The notation SMathematics 11 01146 i001P stands for the Kulkarni–Nomizu product of two tensors S and P of type (0, 2), defined as follows:
Mathematics 11 01146 i002
It is easy to see that SMathematics 11 01146 i001P possesses the basic properties (15) and (16) of R just when S and P are symmetric tensors.
Let T denote the torsion tensor of an arbitrary affine connection D, i.e.,
T ( x , y ) = D x y D y x [ x , y ] .
Let us remark that D is symmetric if and only if its torsion tensor T is zero.
Let us denote by the same letter the corresponding ( 0 , 3 ) -tensor with respect to the metric g, i.e.,
T ( x , y , z ) = g ( T ( x , y ) , z ) .
Torsion forms t, t and t ^ of T we call the associated 1-forms of T defined by
t ( x ) = g i j T ( x , e i , e j ) , t ( x ) = g i j T ( x , e i , ϕ e j ) , t ^ ( x ) = T ( x , ξ , ξ )
with respect to a basis ξ ; e i of T p M ( i = 1 , 2 , , 2 n ; p M ) . Obviously, the identity t ^ ( ξ ) = 0 holds.

3. Natural Connection on Riemannian Π -Manifolds

Let us consider an arbitrary Riemannian Π -manifold ( M , ϕ , ξ , η , g ) .
Definition 1.
An affine connection D on a Riemannian Π-manifold ( M , ϕ , ξ , η , g ) is called a natural connection for the Riemannian Π-structure ( ϕ , ξ , η , g ) if this structure is parallel with respect to D, i.e.,
D ϕ = D ξ = D η = D g = 0 .
It is easily verified, as a consequence, that the associated metric g ˜ is also parallel with respect to the natural connection D on ( M , ϕ , ξ , η , g ) , i.e., D g ˜ = 0 .
Therefore, D on a Riemannian Π -manifold ( M , ϕ , ξ , η , g ) F 0 plays the same role as ∇ on ( M , ϕ , ξ , η , g ) F 0 . Obviously, D and ∇ coincide when ( M , ϕ , ξ , η , g ) F 0 .
Let Q denote the difference of D and ∇ which we call the potential of D with respect to ∇. Then we have
D x y = x y + Q ( x , y ) .
Moreover, by the same letter, we denote the corresponding ( 0 , 3 ) -tensor field of Q with respect to g, i.e.,
Q ( x , y , z ) = g Q ( x , y ) , z .
Proposition 1.
An affine connection D is a natural connection on the Riemannian Π-manifold if and only if the following properties hold:
Q ( x , y , ϕ z ) Q ( x , ϕ y , z ) = F ( x , y , z ) ,
Q ( x , y , z ) = Q ( x , z , y ) .
Proof. 
Using (24) and (25), we obtain the following relations:
g ( D x ϕ y , z ) = g ( x ϕ y , z ) + Q ( x , ϕ y , z ) , g ( D x y , ϕ z ) = g ( x y , ϕ z ) + Q ( x , y , ϕ z ) .
We form the difference of the last two equalities and directly obtain the identity
g D x ϕ y , z = F ( x , y , z ) + Q ( x , ϕ y , z ) Q ( x , y , ϕ z ) .
Then the condition D ϕ = 0 is equivalent to (26).
We obtain, sequentially,
D x g ( y , z ) = g ( x y , z ) + g ( y , x z ) g ( D x y , z ) g ( y , D x z ) D x g ( y , z ) = Q ( x , y , z ) Q ( x , z , y ) .
Therefore, the condition D g = 0 holds if and only if (27) holds.
From (24), we obtain
g ( D x ξ , z ) = g ( x ξ , z ) + g ( Q ( x , ξ ) , z ) = g ( x ξ , z ) + Q ( x , ξ , z ) .
After that, from Lemma 1 and (8), we derive the following relation:
g ( x ξ , z ) = F ( x , ξ , ϕ z ) .
Substituting the latter result into (28), we obtain
g ( D x ξ , z ) = F ( x , ξ , ϕ z ) + Q ( x , ξ , z ) ,
i.e., the condition D ξ = 0 is equivalent to the following relation
F ( x , ξ , ϕ z ) + Q ( x , ξ , z ) = 0 ,
which is a consequence of (26).
Since the relation η ( · ) = g ( · , ξ ) holds, then, using D g = 0 , we obtain that D ξ = 0 is valid if and only if D η = 0 . □
Theorem 1.
An affine connection D is natural on a Riemannian Π-manifold if and only if
D ϕ = D g = 0 .
Proof. 
In the proof of the preceding statement, we showed that the condition D ϕ = 0 is equivalent to (26) and D g = 0 holds if and only if (27) holds. In this way, according to Proposition 1, we complete the proof. □

4. First Natural Connection on Riemannian Π -Manifolds

Let D ˙ denote an affine connection on ( M , ϕ , ξ , η , g ) defined by
D ˙ x y = x y 1 2 x ϕ ϕ y x η y · ξ η ( y ) x ξ .
Therefore, the potential Q ˙ of D ˙ with respect to ∇ is defined by
Q ˙ ( x , y ) = 1 2 x ϕ ϕ y x η y · ξ η ( y ) x ξ .
Using (1), (7) and (8), we verify that D ˙ ϕ = D ˙ g = 0 . Therefore, according to Theorem 1, D ˙ is a natural connection.
Definition 2.
The natural connection D ˙ , defined by (29), is called first natural connection on a Riemannian Π-manifold ( M , ϕ , ξ , η , g ) .
Obviously, D ˙ and ∇ coincide only on a manifold of class F 0 . Therefore, ∇ is a first natural connection when ( M , ϕ , ξ , η , g ) F 0 .
Let us remark that the restriction of D ˙ on the paracontact distribution H of ( M , ϕ , ξ , η , g ) is another studied natural connection (called P-connection) on the corresponding Riemannian manifold equipped with an almost product structure (see [9]).
Theorem 2.
Let ( M , ϕ , ξ , η , g ) be a ( 2 n + 1 ) -dimensional Riemannian Π-manifold belonging to the main classes F i ( i = 1 , 4 , 5 , 11 ) . Then, the first natural connection D ˙ is determined by
1. 
If ( M , ϕ , ξ , η , g ) F 1 , then
D ˙ x y = x y 1 4 n θ ( ϕ y ) ϕ 2 x θ ( ϕ 2 y ) ϕ x + g ( x , ϕ y ) ϕ 2 θ g ( ϕ x , ϕ y ) ϕ θ ,
where θ ( · ) = g ( θ , · ) ;
2. 
If ( M , ϕ , ξ , η , g ) F 4 , then
D ˙ x y = x y 1 2 n θ ( ξ ) g ( x , ϕ y ) ξ η ( y ) ϕ x ;
3. 
If ( M , ϕ , ξ , η , g ) F 5 , then
D ˙ x y = x y 1 2 n θ ( ξ ) g ( ϕ x , ϕ y ) ξ η ( y ) ϕ 2 x ;
4. 
If ( M , ϕ , ξ , η , g ) F 11 , then
D ˙ x y = x y η ( x ) ω ( ϕ y ) ξ η ( y ) ϕ ω ,
where ω ( · ) = g ( ω , · ) .
Proof. 
We present the proof of the theorem in the first considered case, i.e., ( M , ϕ , ξ , η , g ) F 1 .
The potential Q ˙ has the following form given in (30):
Q ˙ ( x , y ) = 1 2 x ϕ ϕ y x η y · ξ η ( y ) x ξ .
Using (7), Lemma 1 and the analogous definitions of (24) and (25) for Q ˙ ,
D ˙ x y = x y + Q ˙ ( x , y ) ,
Q ˙ ( x , y , z ) = g Q ˙ ( x , y ) , z ,
we obtain the corresponding form of Q ˙ as a tensor of type ( 0 , 3 )
Q ˙ ( x , y , z ) = 1 2 F ( x , ϕ y , z ) + η ( z ) F ( x , ϕ y , ξ ) + η ( y ) F ( x , ϕ z , ξ ) .
Applying the definition condition of F in F 1 from (10)
F ( x , y , z ) = 1 2 n { g ( ϕ x , ϕ y ) θ ( ϕ 2 z ) + g ( ϕ x , ϕ z ) θ ( ϕ 2 y ) F ( x , y , z ) = 1 2 n { g ( x , ϕ y ) θ ( ϕ z ) g ( x , ϕ z ) θ ( ϕ y ) }
in the latter formula and using (1) and (2), we obtain
Q ˙ ( x , y , z ) = 1 4 n g ( ϕ x , ϕ 2 y ) θ ( ϕ 2 z ) g ( x , ϕ 2 y ) θ ( ϕ z ) Q ˙ ( x , y , z ) = 1 4 n + g ( ϕ x , ϕ z ) θ ( ϕ y ) g ( x , ϕ z ) θ ( ϕ 2 y ) .
From the latter equality and (32), we obtain
Q ˙ ( x , y ) = 1 4 n θ ( ϕ y ) ϕ 2 x θ ( ϕ 2 y ) ϕ x + g ( x , ϕ y ) ϕ 2 θ g ( ϕ x , ϕ y ) ϕ θ ,
where θ ( · ) = g ( θ , · ) .
Thus, we establish the truthfulness of the first statement in the theorem, considering (31). The other cases are proved in a similar way. □
Let T ˙ denote the torsion tensor of D ˙ , i.e., according to (21), we have
T ˙ ( x , y ) = D ˙ x y D ˙ y x [ x , y ] .
Then, using (29), we obtain
T ˙ ( x , y ) = 1 2 ( x ϕ ) ϕ y ( y ϕ ) ϕ x d η ( x , y ) ξ + η ( x ) y ξ η ( y ) x ξ .
Let us remark that D ˙ is not a symmetric connection since obviously T ˙ is nonzero.
The corresponding ( 0 , 3 ) -tensor with respect to g is determined as follows:
T ˙ ( x , y , z ) = g ( T ˙ ( x , y ) , z ) .
Then, by (36), (7) and Lemma 1, we obtain
T ˙ ( x , y , z ) = 1 2 F ( x , ϕ y , z ) F ( y , ϕ x , z ) T ˙ ( x , y , z ) = 1 2 η ( z ) F ( x , ϕ y , ξ ) F ( y , ϕ x , ξ ) T ˙ ( x , y , z ) = + η ( y ) F ( x , ϕ z , ξ ) η ( x ) F ( y , ϕ z , ξ ) .
We apply (12) in (38). Thus, taking into account (11), we obtain the form of the torsion of the first natural connection with respect to N and N ^ :
T ˙ ( x , y , z ) = 1 8 { 2 N ( ϕ x , ϕ y , z ) + N ( ϕ x , z , ϕ y ) N ( ϕ y , z , ϕ x ) T ˙ ( x , y , z ) = 1 8 { + N ^ ( ϕ x , z , ϕ y ) N ^ ( ϕ y , z , ϕ x ) } T ˙ ( x , y , z ) = + 1 4 η ( x ) { 2 N ( ξ , ϕ y , ϕ z ) N ( ϕ y , ϕ z , ξ ) T ˙ ( x , y , z ) = + 1 4 η ( x ) { + 2 η ( z ) N ^ ( ξ , ξ , ϕ 2 y ) N ^ ( ϕ y , ϕ z , ξ ) } T ˙ ( x , y , z ) = 1 4 η ( y ) { 2 N ( ξ , ϕ x , ϕ z ) N ( ϕ x , ϕ z , ξ ) T ˙ ( x , y , z ) = 1 4 η ( y ) { + 2 η ( z ) N ^ ( ξ , ξ , ϕ 2 x ) N ^ ( ϕ x , ϕ z , ξ ) } T ˙ ( x , y , z ) = 1 8 η ( z ) { 2 N ( ϕ x , ϕ y , ξ ) + N ( ϕ x , ξ , ϕ y ) N ( ϕ y , ξ , ϕ x ) T ˙ ( x , y , z ) = 1 4 η ( y ) { + N ^ ( ϕ x , ξ , ϕ y ) N ^ ( ϕ y , ξ , ϕ x ) } .
We use (39) and the decomposition in (4)–(6) to obtain the following form of T ˙ regarding the pair N and N ^ with respect to the horizontal and the vertical components of the vector fields:
T ˙ ( x , y , z ) = 1 8 { S N ( x h , y h , z h ) + N ( x h , y h , z h ) + N ^ ( y h , z h , x h ) N ^ ( z h , x h , y h ) } 1 4 { 2 N ( x h , y h , z v ) + N ( y h , z v , x h ) + N ( z v , x h , y h ) + 2 N ( x v , y h , z h ) + N ( y h , z h , x v ) + 2 N ( x h , y v , z h ) + N ( z h , x h , y v ) + 2 N ^ ( y h , z h , x v ) N ^ ( z v , x h , y h ) N ^ ( z h , x h , y v ) 2 N ^ ( z v , x v , y h ) + 2 N ^ ( y v , z v , x h ) } ,
where S stands for the cyclic sum by the three arguments.
Theorem 3.
Let ( M , ϕ , ξ , η , g ) be a ( 2 n + 1 ) -dimensional Riemannian Π-manifold belonging to the main classes F i ( i = 1 , 4 , 5 , 11 ) . Then, the torsion tensor T ˙ of the first natural connection D ˙ has the form
1. 
If ( M , ϕ , ξ , η , g ) F 1 , then
T ˙ ( x , y ) = 1 4 n θ ( ϕ y ) ϕ 2 x θ ( ϕ x ) ϕ 2 y + θ ( ϕ 2 x ) ϕ y θ ( ϕ 2 y ) ϕ x ;
2. 
If ( M , ϕ , ξ , η , g ) F 4 , then
T ˙ ( x , y ) = 1 2 n θ ( ξ ) η ( y ) ϕ x η ( x ) ϕ y ;
3. 
If ( M , ϕ , ξ , η , g ) F 5 , then
T ˙ ( x , y ) = 1 2 n θ ( ξ ) η ( y ) ϕ 2 x η ( x ) ϕ 2 y ;
4. 
If ( M , ϕ , ξ , η , g ) F 11 , then
T ˙ ( x , y ) = η ( y ) ω ( ϕ x ) η ( x ) ω ( ϕ y ) ξ .
Proof. 
We present the proof of the theorem in the first considered case, i.e., ( M , ϕ , ξ , η , g ) F 1 .
We apply (33) in (38) and taking into account (1) and (2), we obtain
T ˙ ( x , y , z ) = 1 4 n g ( ϕ x , ϕ z ) θ ( ϕ y ) g ( ϕ y , ϕ z ) θ ( ϕ x ) T ˙ ( x , y , z ) = 1 4 n g ( x , ϕ z ) θ ( ϕ 2 y ) + g ( y , ϕ z ) θ ( ϕ 2 x ) .
The form of T ˙ in case 1 follows from the last expression and (37).
Thus, we establish the truthfulness of the first statement in the theorem. The other cases are proved in a similar way. □
Similarly to (23), we define torsion forms t ˙ , t ˙ and t ˙ ^ for T ˙ with respect to a basis ξ ; e i of T p M ( i = 1 , 2 , , 2 n ; p M ) :
t ˙ ( x ) = g i j T ˙ ( x , e i , e j ) , t ˙ ( x ) = g i j T ˙ ( x , e i , ϕ e j ) , t ˙ ^ ( x ) = T ˙ ( x , ξ , ξ ) .
Using (38), (40) and η ( e i ) = 0 ( i = 1 , , 2 n ) , we obtain
t ˙ ( x ) = 1 2 g i j { F ( x , ϕ i m e m , e j ) F ( e i , ϕ x , e j ) + 2 η ( x ) F ( e i , ϕ j m e m , ξ ) } .
On the one hand, by (1) and the identities ϕ i k ϕ j s g i j = g k s ξ k ξ s and η ( e i ) = 0 ( i = 1 , , 2 n ) , for the first addend of the last equality, we obtain
g i j F ( x , ϕ i s e s , e j ) = g i j F ( x , ϕ i s e s , ϕ j m ϕ m l e l ) = ϕ i s ϕ j l g i j F ( x , e s , ϕ l m e m ) = g s l F ( x , e s , ϕ l m e m ) ξ s ξ l F ( x , e s , ϕ l m e m ) = g i j F ( x , e i , ϕ j l e l ) .
On the other hand, from (8), we have for it
g i j F ( x , ϕ i s e s , e j ) = g i j F ( x , ϕ i m ϕ m s e s , ϕ j l e l ) = g i j F ( x , e i , ϕ j l e l ) .
Therefore, g i j F ( x , ϕ i s e s , e j ) = g i j F ( x , e i , ϕ j l e l ) = 0 .
Thus, according to (23), we obtain the following formula:
t ˙ ( x ) = 1 2 θ ( ϕ x ) θ ( ξ ) η ( x ) .
By an analogous approach, we calculate the form of t ˙ and t ˙ ^ as follows:
t ˙ ( x ) = 1 2 θ ( ϕ x ) θ ( ξ ) η ( x ) , t ˙ ^ ( x ) = ω ( ϕ x ) .
Taking into account (9), (41) and (42), we obtain the following relations between the torsion forms t ˙ , t ˙ and the Lee forms θ , θ :
t ˙ ϕ = t ˙ ϕ 2 , 2 t ˙ ϕ = θ ϕ 2 , 2 t ˙ ϕ 2 = θ ϕ , 2 t ˙ ϕ = θ ϕ 2 , 2 t ˙ ϕ 2 = θ ϕ .
Corollary 3.
Let ( M , ϕ , ξ , η , g ) be a ( 2 n + 1 ) -dimensional Riemannian Π-manifold belonging to the main classes F i ( i = 1 , 4 , 5 , 11 ) . Then the torsion tensor T ˙ of the first natural connection D ˙ is expressed by its torsion forms t ˙ , t ˙ and t ˙ ^ as follows:
F 1 : T ˙ ( x , y ) = 1 2 n t ˙ ( ϕ 2 y ) ϕ 2 x t ˙ ( ϕ 2 x ) ϕ 2 y + t ˙ ( ϕ x ) ϕ y t ˙ ( ϕ y ) ϕ x ; F 4 : T ˙ ( x , y ) = 1 2 n t ˙ ( ξ ) η ( y ) ϕ x η ( x ) ϕ y ; F 5 : T ˙ ( x , y ) = 1 2 n t ˙ ( ξ ) η ( y ) ϕ 2 x η ( x ) ϕ 2 y ; F 11 : T ˙ ( x , y ) = η ( y ) t ˙ ^ ( x ) η ( x ) t ˙ ^ ( y ) ξ .
Proof. 
We obtain the expression of T ˙ using its form from Theorem 3 and the relations (43) between the torsion forms and the Lee forms. □
Let R ˙ denote the curvature tensor for the first natural connection D ˙ . Similarly to the definitions (13) and (14) of R regarding ∇, we define R ˙ as a tensor of type ( 1 , 3 ) and ( 0 , 4 ) for D ˙ , respectively, by
R ˙ ( x , y ) z = D ˙ x D ˙ y z D ˙ y D ˙ x z D ˙ [ x , y ] z ,
R ˙ ( x , y , z , w ) = g R ˙ ( x , y ) z , w .
Theorem 4.
Let ( M , ϕ , ξ , η , g ) be a ( 2 n + 1 ) -dimensional Riemannian Π-manifold belonging to the main classes F i ( i = 1 , 4 , 5 , 11 ) . Then, the curvature tensor R ˙ of the first natural connection D ˙ has the form
1. 
If ( M , ϕ , ξ , η , g ) F 1 , then
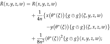
Mathematics 11 01146 i003
where
S 1 ( x , y ) = x θ ϕ 2 ( y ) + 1 4 n θ ( ϕ x ) θ ( ϕ 2 y ) + θ ( ϕ 2 x ) θ ( ϕ y ) , S 2 ( x , y ) = x θ ϕ ( y ) + 1 4 n θ ( ϕ 2 x ) θ ( ϕ 2 y ) + θ ( ϕ x ) θ ( ϕ y ) ;
2. 
If ( M , ϕ , ξ , η , g ) F 4 , then
Mathematics 11 01146 i004
3. 
If ( M , ϕ , ξ , η , g ) F 5 , then
Mathematics 11 01146 i005
4. 
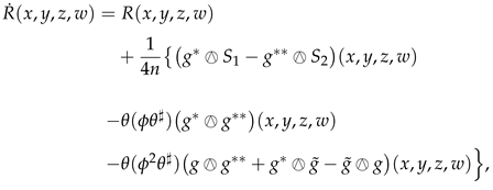
If ( M , ϕ , ξ , η , g ) F 11 , then
Mathematics 11 01146 i006
where
S 3 ( x , y ) = ( x ω ) ( ϕ y ) + ω ( ϕ x ) ω ( ϕ y ) .
Proof. 
We present the proof of the theorem in the first considered case, i.e., ( M , ϕ , ξ , η , g ) F 1 .
Using (44) and (45) together with (31), (32) and the analogous relation of (27) for Q ˙ , we obtain the following form of R ˙ for an arbitrary Riemannian Π -manifold ( M , ϕ , ξ , η , g ) :
R ˙ ( x , y , z , w ) = R ( x , y , z , w ) + ( x Q ˙ ) ( y , z , w ) ( y Q ˙ ) ( x , z , w ) R ˙ ( x , y , z , w ) = R ( x , y , z , w ) + g ( Q ˙ ( x , z ) , Q ˙ ( y , w ) ) g ( Q ˙ ( y , z ) , Q ˙ ( x , w ) ) .
Taking into account (7), (8) and (34), we obtain
x Q ˙ ( y , z , w ) = 1 4 n x θ ( ϕ 2 w ) g ( y , ϕ z ) + x θ ( ϕ z ) g ( ϕ y , ϕ w ) x Q ˙ ( y , z , w ) = 1 4 n x θ ( ϕ w ) g ( ϕ y , ϕ z ) x θ ( ϕ 2 z ) g ( y , ϕ w ) x Q ˙ ( y , z , w ) = 1 4 n + θ ( ϕ 2 w ) F ( x , y , z ) θ ( ϕ 2 z ) F ( x , y , w ) x Q ˙ ( y , z , w ) = 1 4 n θ ( ϕ w ) F ( x , y , ϕ z ) + F ( x , z , ϕ y ) x Q ˙ ( y , z , w ) = 1 4 n + θ ( ϕ z ) F ( x , y , ϕ w ) + F ( x , w , ϕ y ) x Q ˙ ( y , z , w ) = 1 4 n θ ( ϕ 2 x w ) g ( y , ϕ z ) + θ ( ϕ x w ) g ( ϕ y , ϕ z ) x Q ˙ ( y , z , w ) = 1 4 n + θ ( ϕ 2 x z ) g ( y , ϕ w ) θ ( ϕ x z ) g ( ϕ y , ϕ w ) .
Then, using (35), we obtain
g Q ˙ ( x , z ) , Q ˙ ( y , w ) g = 1 16 n 2 θ ( ϕ 2 θ ) θ ( ϕ z ) θ ( ϕ w ) g ( ϕ x , ϕ y ) θ ( ϕ 2 w ) g ( ϕ x , y ) g = 1 16 n 2 θ ( ϕ z ) + θ ( ϕ 2 x ) g ( y , ϕ w ) θ ( ϕ x ) g ( ϕ y , ϕ w ) g = 1 16 n 2 θ ( ϕ 2 z ) θ ( ϕ w ) g ( x , ϕ y ) θ ( ϕ 2 w ) g ( ϕ x , ϕ y ) g = 1 16 n 2 θ ( ϕ 2 z ) + θ ( ϕ x ) g ( y , ϕ w ) θ ( ϕ 2 x ) g ( ϕ y , ϕ w ) g = 1 16 n 2 + g ( x , ϕ z ) θ ( ϕ 2 y ) θ ( ϕ w ) θ ( ϕ y ) θ ( ϕ 2 w ) g = 1 16 n 2 + g ( x , ϕ z ) + θ ( ϕ 2 θ ) g ( y , ϕ w ) θ ( ϕ θ ) g ( ϕ y , ϕ w ) g = 1 16 n 2 g ( ϕ x , ϕ z ) θ ( ϕ y ) θ ( ϕ w ) θ ( ϕ 2 y ) θ ( ϕ 2 w ) g = 1 16 n 2 g ( ϕ x , ϕ z ) + θ ( ϕ θ ) g ( y , ϕ w ) θ ( ϕ 2 θ ) g ( ϕ y , ϕ w ) .
Applying (47) and (48) into (46) and using (1) and (2) as well as the notations (3) and (20), we obtain the form of R ˙ presented in the theorem.
Thus, we establish the truthfulness of the first statement in the theorem. The other cases are proved in a similar way. □
Similarly to the definitions (17)–(19) for ρ , τ , ρ and τ regarding R, we define the corresponding ones with respect to R ˙ as follows:
ρ ˙ ( x , y ) = g i j R ˙ ( e i , x , y , e j ) , τ ˙ = g i j ρ ˙ ( e i , e j ) , ρ ˙ ( x , y ) = g i j R ˙ ( e i , x , y , ϕ e j ) , τ ˙ = g i j ρ ˙ ( e i , e j ) .
Corollary 4.
Let ( M , ϕ , ξ , η , g ) be a ( 2 n + 1 ) -dimensional Riemannian Π-manifold belonging to the main classes F i ( i = 1 , 4 , 5 , 11 ) . Then the following relations for the Ricci tensors and the scalar curvatures with respect to D ˙ and ∇ hold:
1. 
If ( M , ϕ , ξ , η , g ) F 1 , then
ρ ˙ ( y , z ) = ρ ( y , z ) ρ ˙ ( y , z ) = + 1 2 y θ ϕ ( z ) + 1 4 n θ ( ϕ 2 y ) θ ( ϕ 2 z ) + θ ( ϕ y ) θ ( ϕ z ) ρ ˙ ( y , z ) = 1 4 n div ( θ ϕ 2 ) 4 n 2 4 n 1 2 n θ ( ϕ θ ) ρ ˙ ( y , z ) = 1 4 n div ( θ ϕ 2 ) a a a + 2 ( n 1 ) θ ( ϕ 2 θ ) a 1 b g ( y , ϕ z ) ρ ˙ ( y , z ) = 1 4 n div ( θ ϕ ) + 8 n 2 8 n + 1 2 n θ ( ϕ 2 θ ) g ( ϕ y , ϕ z ) , ρ ˙ ( y , z ) = ρ ( y , z ) ρ ˙ ( y , z ) = 1 2 y θ ϕ 2 ( z ) + 1 4 n θ ( ϕ y ) θ ( ϕ 2 z ) + θ ( ϕ 2 y ) θ ( ϕ z ) ρ ˙ ( y , z ) = + 1 4 n div ( θ ϕ ) + ( 2 n 1 ) 2 2 n θ ( ϕ θ ) ρ ˙ ( y , z ) = + 1 4 n div ( θ ϕ ) a a a a a a a 2 ( n 1 ) θ ( ϕ 2 θ ) a 1 b g ( ϕ y , ϕ z ) ρ ˙ ( y , z ) = + 1 4 n div ( θ ϕ 2 ) 8 n 2 8 n 1 2 n θ ( ϕ 2 θ ) g ( y , ϕ z ) ,
τ ˙ = τ + div ( θ ϕ ) + ( 2 n 1 ) 2 2 n θ ( ϕ 2 θ ) , τ ˙ = τ + ( n 1 ) θ ( ϕ θ ) 2 n 3 2 θ ( ϕ 2 θ ) ,
where div ( θ ) = g i j e i θ ( e j ) , div ( θ ) = g i j e i θ ( ϕ e j ) ;
2. 
If ( M , ϕ , ξ , η , g ) F 4 , then
ρ ˙ ( y , z ) = ρ ( y , z ) ρ ˙ ( y , z ) = 1 2 n ξ θ ( ξ ) g ( y , ϕ z ) ϕ y θ ( ξ ) η ( z ) ρ ˙ ( y , z ) = + 1 2 n 2 θ ( ξ ) 2 g ( y , z ) + ( n 1 ) η ( y ) η ( z ) , ρ ˙ ( y , z ) = ρ ( y , z ) ρ ˙ ( y , z ) = + 1 2 n ϕ 2 y θ ( ξ ) 2 n y θ ( ξ ) η ( z ) ρ ˙ ( y , z ) = 2 n 1 4 n 2 θ ( ξ ) 2 g ( y , ϕ z ) , τ ˙ = τ + 1 2 n θ ( ξ ) 2 , τ ˙ = τ ξ θ ( ξ ) ;
3. 
If ( M , ϕ , ξ , η , g ) F 5 , then
ρ ˙ ( y , z ) = ρ ( y , z ) ρ ˙ ( y , z ) = 1 2 n ξ θ ( ξ ) g ( y , z ) + ( 2 n 1 ) y θ ( ξ ) η ( z ) ρ ˙ ( y , z ) = 1 2 n θ ( ξ ) 2 g ( y , z ) ,
ρ ˙ ( y , z ) = ρ ( y , z ) ρ ˙ ( y , z ) = 1 2 n ϕ y θ ( ξ ) η ( z ) + 1 4 n 2 θ ( ξ ) 2 g ( y , ϕ z ) ,
τ ˙ = τ 2 ξ θ ( ξ ) 2 n + 1 2 n θ ( ξ ) 2 , τ ˙ = τ ;
4. 
If ( M , ϕ , ξ , η , g ) F 11 , then
ρ ˙ ( y , z ) = ρ ( y , z ) ρ ˙ ( y , z ) = + ( y ω ) ( ϕ z ) + ω ( ϕ y ) ω ( ϕ z ) ρ ˙ ( y , z ) = + div ( ω ) + ω ( ϕ 2 ω ) η ( y ) η ( z ) , ρ ˙ ( y , z ) = ρ ( y , z ) ρ ˙ ( y , z ) = + div ( ω ) + ω ( ϕ ω ) η ( y ) η ( z ) , τ ˙ = τ + 2 div ( ω ) + ω ( ϕ 2 ω ) , τ ˙ = τ + div ( ω ) + ω ( ϕ ω ) ,
where div ( ω ) = g i j e i ω ( e j ) , div ( ω ) = g i j e i ω ( ϕ e j ) ;
Proof. 
We present the proof of the theorem in the first considered case, i.e., ( M , ϕ , ξ , η , g ) F 1 .
Using (1) and (2), we easily compute ρ ˙ as the trace of R ˙ ( x , y , z , w ) , given in Theorem 4 (1), by g i j for x = e i and w = e j .
Similarly, we calculate the trace of R ˙ ( x , y , z , w ) by g i j for x = e i and w = ϕ e j , and we obtain the form of ρ ˙ , again taking into account (1) and (2).
Finally, the values of τ ˙ and τ ˙ are obtained by calculating the traces of ρ ˙ ( y , z ) and ρ ˙ ( y , z ) by g i j for y = e i and z = e j .
Thus, we establish the truthfulness of the first statement in the corollary. The other cases are proved in a similar way. □

5. Example

In this section, we consider a known example of a Riemannian Π -manifold of dimension five, recalling some obtained results for it and presenting new ones related to the studied theory.
The authors of [2] studied the so-called paracontact almost paracomplex Riemannian manifolds, which are Riemannian Π -manifolds having the property 2 g ( x , ϕ y ) = ( x η ) ( y ) + ( y η ) ( x ) .
According to the classification of the considered manifolds from [1], we denote by F 4 a subclass of F 4 , which is defined by the condition θ ( ξ ) = 2 n . It is important to note that F 4 and F 0 are subclasses of F 4 but without common elements.
A paracontact almost paracomplex Riemannian manifold having the additional condition ϕ x = x ξ is called a para-Sasakian paracomplex Riemannian manifold, and it belongs to the class F 4 [2].
In [3], the same class of manifolds is obtained by a cone construction of a paraholomorphic paracomplex Riemannian manifold. There, they are called para-Sasaki-like paracontact paracomplex Riemannian manifolds.
Let us consider a Lie group G of dimension 5 (i.e., n = 2 ) which has a basis of left-invariant vector fields { e 0 , , e 4 } and the corresponding Lie algebra is defined for λ , μ R by the following commutators:
[ e 0 , e 1 ] = λ e 2 e 3 + μ e 4 , [ e 0 , e 2 ] = λ e 1 μ e 3 e 4 , [ e 0 , e 3 ] = e 1 + μ e 2 + λ e 4 , [ e 0 , e 4 ] = μ e 1 e 2 λ e 3 .
The defined Lie group G is equipped with an invariant Riemannian Π -structure ( ϕ , ξ , η , g ) as follows:
ξ = e 0 , ϕ e 1 = e 3 , ϕ e 2 = e 4 , ϕ e 3 = e 1 , ϕ e 4 = e 2 , η ( e 1 ) = η ( e 2 ) = η ( e 3 ) = η ( e 4 ) = 0 , η ( e 0 ) = 1 , g ( e 0 , e 0 ) = g ( e 1 , e 1 ) = g ( e 2 , e 2 ) = g ( e 3 , e 3 ) = g ( e 4 , e 4 ) = 1 , g ( e i , e j ) = 0 , i , j { 0 , 1 , , 4 } , i j .
It is proved that the constructed manifold ( G , ϕ , ξ , η , g ) is a para-Sasaki-like paracontact paracomplex Riemannian manifold, i.e., ( G , ϕ , ξ , η , g ) F 4 [3].
Using (49), (50) and the well-known Koszul equality regarding g and ∇, we calculate the components of the Levi–Civita connection, and the nonzero ones of them are the following:
e 0 e 1 = λ e 2 + μ e 4 , e 1 e 0 = e 3 , e 0 e 2 = λ e 1 μ e 3 , e 2 e 0 = e 4 , e 0 e 3 = μ e 2 + λ e 4 , e 3 e 0 = e 1 , e 0 e 4 = μ e 1 λ e 3 , e 4 e 0 = e 2 , e 1 e 3 = e 2 e 4 = e 3 e 1 = e 4 e 2 = e 0 .
Taking into account (49)–(51), we calculate the components R _ i j k l = R ( e _ i , e _ j , e _ k , e _ l ) , ρ i j = ρ ( e i , e j ) and ρ i j = ρ ( e i , e j ) as well as the values of τ and τ . The nonzero ones of them are determined by the following equalities and their well-known symmetries and antisymmetries:
R 0101 = R 0202 = R 0303 = R 0404 = R 1331 = R 2442 = R 1234 = R 1432 = 1 , ρ 00 = 4 , ρ 13 = ρ 24 = 3 , τ = 4 .
Let us consider the first natural connection D ˙ on ( G , ϕ , ξ , η , g ) defined by (29). Then, by the relation between D ˙ and ∇ in the case of F 4 from Theorem 2, and using (51), we obtain the components of D ˙ . The nonzero ones of them are the following:
D ˙ e 0 e 1 = λ e 2 + μ e 4 , D ˙ e 0 e 2 = λ e 1 μ e 3 , D ˙ e 0 e 3 = μ e 2 + λ e 4 , D ˙ e 0 e 4 = μ e 1 λ e 3 .
Proposition 2.
The Riemannian Π-manifold ( G , ϕ , ξ , η , g ) has a flat first natural connection D ˙ , i.e., R ˙ = 0 .
Proof. 
Using (44) and (53), we establish that the components of R ˙ vanish. Thus, we prove the assertion. □
Corollary 4.
The Riemannian Π-manifold ( G , ϕ , ξ , η , g ) is Ricci flat and scalar flat with respect to the first natural connection D ˙ , i.e., ρ ˙ = 0 and τ ˙ = 0 .
Proof. 
The truthfulness of the corollary is obvious bearing in mind Proposition 2. □
Taking into account (20), (50) and (52), Proposition 2 and Corollary 4, the presented example confirms the statements in Theorem 4 and Corollary 4.
By virtue of (36), (37), (50) and (51), we calculate the components T ˙ i j k = T ˙ ( e _ i , e _ j , e _ k ) . The nonzero ones of them are determined by the following equalities and their well-known antisymmetries:
T ˙ 013 = T ˙ 031 = T ˙ 024 = T ˙ 042 = 1 .
Then, using (40) and (54), we calculate t ˙ , t ˙ , and t ˙ ^ . The only nonzero one of them is
t ˙ ( e 0 ) = 4 .
The obtained results in (54) and (55) regarding the torsion properties of the studied example confirm the assertion made in Corollary 3 in the case of the class F 4 .

6. Conclusions

In the present work, we defined a non-symmetric natural connection and called it the first natural connection on a Riemannian Π -manifold. The most significant results obtained in this work are as follows. We introduced the notion of a natural connection on the Riemannian Π -manifolds and proved the necessary and sufficient conditions for an affine connection to be natural on them. We defined the first natural connection D ˙ by an explicit expression and obtained relations between D ˙ and the Levi–Civita connection ∇ in the main classes of the studied manifolds, as well as determining the relations between their respective curvature tensors, torsion tensors, Ricci tensors, and scalar curvatures. Finally, we supported the results with an explicit five-dimensional example.

Funding

This research received no external funding.

Data Availability Statement

Data are contained within the article.

Conflicts of Interest

The author declares no conflict of interest.

References

  1. Manev, M.; Staikova, M. On almost paracontact Riemannian manifolds of type (n,n). J. Geom. 2001, 72, 108–114. [Google Scholar] [CrossRef]
  2. Manev, M.; Tavkova, V. On the almost paracontact almost paracomplex Riemannian manifolds. Facta Univ. Ser. Math. Inform. 2018, 33, 637–657. [Google Scholar]
  3. Ivanov, S.; Manev, H.; Manev, M. Para-Sasaki-like Riemannian manifolds and new Einstein metrics. Rev. Real Acad. Cienc. Exactas Fis. Nat. Ser. A Mat. 2021, 115, 112. [Google Scholar] [CrossRef]
  4. Manev, H.; Manev, M. Pair of associated Schouten-van Kampen connections adapted to an almost paracontact almost paracomplex Riemannian structure. Mathematics 2021, 9, 736. [Google Scholar] [CrossRef]
  5. Manev, H.; Manev, M. Para-Ricci-like solitons on Riemannian manifolds with almost paracontact structure and almost paracomplex structure. Mathematics 2021, 9, 1704. [Google Scholar] [CrossRef]
  6. Kobayashi, S.; Nomizu, K. Foundations of Differential Geometry; Wiley-Interscience: Hoboken, NJ, USA, 1963; Volume I. [Google Scholar]
  7. Alexiev, V.; Ganchev, G. Canonical connection on a conformal almost contact metric manifolds. Annu. Sofia Univ. St. Kliment Ohridski Fac. Math. Inform. 1987, 81, 29–38. [Google Scholar]
  8. Ganchev, G.; Mihova, V. Canonical connection and the canonical conformal group on an almost complex manifold with B-metric. Annu. Sofia Univ. St. Kliment Ohridski Fac. Math. Inform. 1987, 81, 195–206. [Google Scholar]
  9. Mekerov, D. P-connection on Riemannian almost product manifolds. Comptes Rendus Acad. Bulg. Des Sci.-En. 2009, 62, 1363–1370. [Google Scholar]
  10. Manev, M.; Gribachev, K. Conformally invariant tensors on almost contact manifolds with B-metric. Serdica Mathe J. 1994, 20, 133–147. [Google Scholar]
  11. Staikova, M.; Gribachev, K. Canonical connections and their conformal invariants on Riemannian P-manifolds. Serdica Math. J. 1992, 18, 150–161. [Google Scholar]
  12. Slovak, J. On natural connections on Riemannian manifolds. Comment. Math. Univ. Carol. 1989, 30, 389–393. [Google Scholar]
  13. Munoz Masque, J.; Valdes, A. Characterizing the Blaschke connection. Differ. Geom. Appl. 1999, 11, 237–243. [Google Scholar] [CrossRef]
  14. Blaga, A.; Crasmareanu, M. Special connections in almost paracontact metric geometry. Bull. Iran. Math. Soc. 2015, 41, 1345–1353. [Google Scholar]
  15. Blaga, A.; Nannicini, A. On the geometry of metallic pseudo-Riemannian structures. Riv. Mat. Della Univ. Parma 2020, 11, 69–87. [Google Scholar]
  16. Satō, I. On a structure similar to the almost contact structure. Tensor 1976, 30, 219–224. [Google Scholar]
Disclaimer/Publisher’s Note: The statements, opinions and data contained in all publications are solely those of the individual author(s) and contributor(s) and not of MDPI and/or the editor(s). MDPI and/or the editor(s) disclaim responsibility for any injury to people or property resulting from any ideas, methods, instructions or products referred to in the content.

Share and Cite

MDPI and ACS Style

Manev, H. First Natural Connection on Riemannian Π-Manifolds. Mathematics 2023, 11, 1146. https://doi.org/10.3390/math11051146

AMA Style

Manev H. First Natural Connection on Riemannian Π-Manifolds. Mathematics. 2023; 11(5):1146. https://doi.org/10.3390/math11051146

Chicago/Turabian Style

Manev, Hristo. 2023. "First Natural Connection on Riemannian Π-Manifolds" Mathematics 11, no. 5: 1146. https://doi.org/10.3390/math11051146

APA Style

Manev, H. (2023). First Natural Connection on Riemannian Π-Manifolds. Mathematics, 11(5), 1146. https://doi.org/10.3390/math11051146

Note that from the first issue of 2016, this journal uses article numbers instead of page numbers. See further details here.

Article Metrics

Back to TopTop