Finite Difference Method to Evaluate the Characteristics of Optically Dense Gray Nanofluid Heat Transfer around the Surface of a Sphere and in the Plume Region
Abstract
:1. Introduction
2. Flow Analysis for Region-I
3. Solution Process
3.1. Dimensionless Variables
3.2. Primitive Variable Formulation
3.3. Computational Technique
4. Flow Analysis for Plume Region-III
5. Solution Process
5.1. Dimensionless Variables
5.2. Primitive Variable Formulation
5.3. Computational Technique
6. Results and Discussion
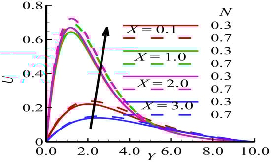
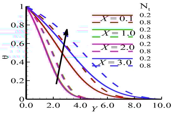
6.1. Analysis of Heat and Fluid Flow Characteristics around the Sphere
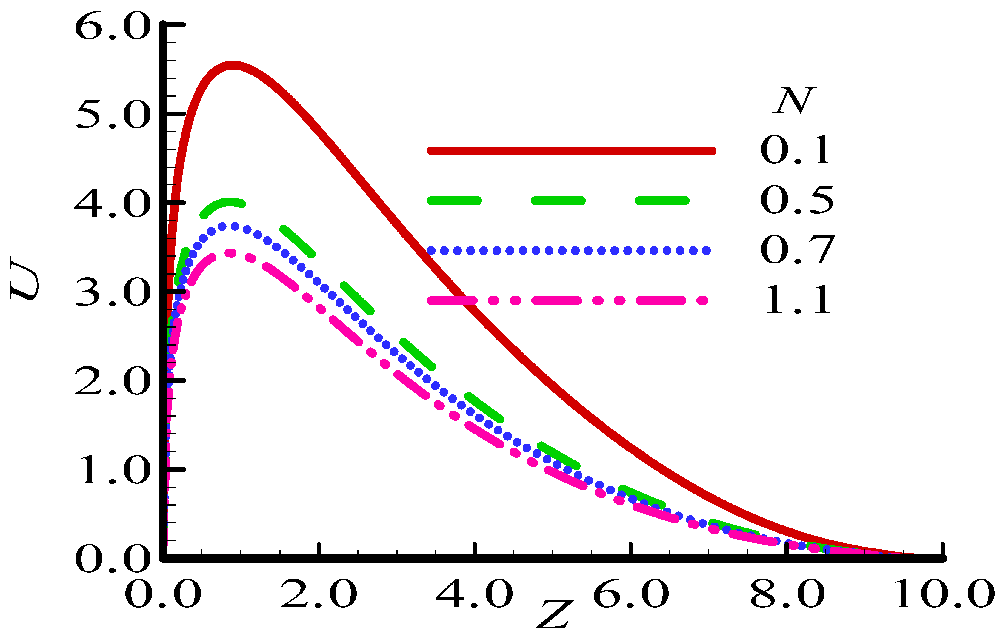
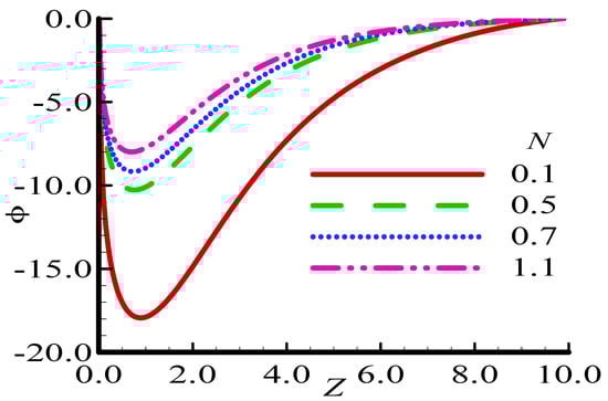
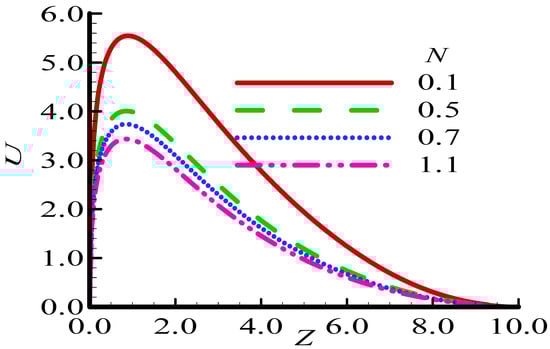
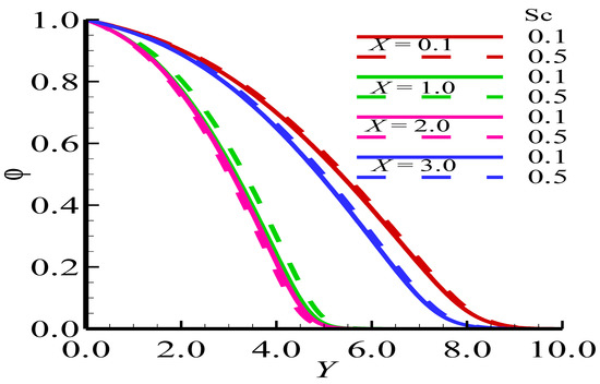
6.2. Physical Behavior of Material Properties in the Plume Region-III
7. Conclusions
Author Contributions
Funding
Institutional Review Board Statement
Informed Consent Statement
Data Availability Statement
Conflicts of Interest
Nomenclature
| Dimensionless velocity component in x direction | |
| Dimensionless velocity component in direction | |
| Dimensionless velocity component in direction in plume region | |
| Dimensionless axes along and normal to the surface of a sphere | |
| Dimensionless axes along and normal in the plume region | |
| Primitive variable for velocity component in direction | |
| Primitive variable for velocity component in direction | |
| Primitive variable for velocity component in direction in plume region | |
| Gravitational acceleration | |
| Fluid temperature in boundary layer | |
| Mass concentration in boundary layer | |
| Specific heat at constant pressure | |
| The radius of a sphere | |
| Dimensioned radial distance from the symmetric axis to the surface of a sphere | |
| Mass diffusion coefficient | |
| Grashof number | |
| Radiation parameter | |
| Thermophoresis parameter | |
| Brownian motion parameter | |
| Radiative heat flux | |
| Skin friction coefficient | |
| Nusselt number | |
| Sherwood number | |
| Greek Symbols | |
| Volumetric coefficient thermal expansion | |
| Volumetric coefficient concentration expansion | |
| Thermal diffusivity | |
| Dimensionless temperature | |
| Dimensionless mass concentration | |
| Dynamic viscosity | |
| Kinematic viscosity | |
| Fluid density | |
| Thermal conductivity | |
| Stefan–Boltzmann constant | |
| Mean absorption coefficient | |
| Subscripts | |
| Ambient conditions | |
| Wall conditions |
References
- Choi, S.U.; Eastman, J.A. Enhancing Thermal Conductivity of Fluids with nanoparticles; (No. ANL/MSD/CP-84938; CONF-951135-29); Argonne National Lab. (ANL): Argonne, IL, USA, 1995. [Google Scholar]
- Buongiorno, J. Convective Transport in Nanofluid. ASME J. Heat Transf. 2006, 128, 240–250. [Google Scholar] [CrossRef]
- Rashidi, M.M.; Abelman, S.; Mehr, N.F. Entropy generation in steady MHD flow due to a rotating porous disk in a nanofluid. Int. J. Heat Mass Trans. 2013, 62, 515–525. [Google Scholar] [CrossRef]
- Hayat, T.; Imtiaz, M.; Alsaedi, A.; Kutbi, M.A. MHD three-dimensional flow of nanofluid with velocity slip and nonlinear thermal radiation. J. Magn. Magn. Mater. 2015, 396, 31–37. [Google Scholar] [CrossRef]
- Pal, D.; Mandal, G.; Vajravelu, K. MHD convection–dissipation heat transfer over a non-linear stretching and shrinking sheets in nanofluids with thermal radiation. Int. J. Heat Mass Transf. 2013, 65, 481–490. [Google Scholar] [CrossRef]
- Makinde, O.D.; Animasaun, I.L. Bioconvection in MHD nanofluid flow with nonlinear thermal radiation and quartic auto-catalysis chemical reaction past an upper surface of a paraboloid of revolution. Int. J. Therm. Sci. 2016, 109, 159–171. [Google Scholar] [CrossRef]
- Ahmad, S.; Nadeem, S. Hybridized nanofluid with stagnation point past a rotating disk. Phys. Scr. 2020, 96, 025214. [Google Scholar] [CrossRef]
- Ashraf, M.; Khan, A.; Gorla, R.S.R. Natural convection boundary layer flow of nanofluids around different stations of the sphere and into the plume above the sphere. Heat Transf. Res. 2019, 48, 1127–1148. [Google Scholar] [CrossRef]
- Khan, A.; Ashraf, M.; Rashad, A.M.; Nabwey, H.A. Impact of Heat Generation on Magneto-Nanofluid Free Convection Flow about Sphere in the Plume Region. Mathematics 2020, 8, 2010. [Google Scholar] [CrossRef]
- Ahmad, S.; Nadeem, S. Analysis of activation energy and its impact on hybrid nanofluid in the presence of Hall and ion slip currents. Appl. Nanosci. 2020, 10, 5315–5330. [Google Scholar] [CrossRef]
- Hossain, M.A.; Takhar, H.S. Radiation effect on mixed convection along a vertical plate with uniform surface temperature. Heat Mass Transf. 1996, 31, 243–248. [Google Scholar] [CrossRef]
- Damseh, R.A. Magneto hydrodynamics-mixed convection from radiate vertical isothermal surface embedded in a saturated porous media. J. Appl. Mech. 2006, 73, 54–59. [Google Scholar] [CrossRef]
- Zahmatkesh, I. Influence of thermal radiation on free convection inside a porous enclosure. Emirat. J. Engin. Res. 2007, 12, 47–52. [Google Scholar]
- Pal, D.; Mondal, H. Radiation effects on combined convection over a vertical flat plate embedded in a porous medium of variable porosity. Meccanica 2008, 44, 133–144. [Google Scholar] [CrossRef]
- Mohamed, R.; Abo-Dahab, S. Influence of chemical reaction and thermal radiation on the heat and mass transfer in MHD micropolar flow over a vertical moving porous plate in a porous medium with heat generation. Int. J. Therm. Sci. 2009, 48, 1800–1813. [Google Scholar] [CrossRef]
- Bhattacharyya, K.; Mukhopadhyay, S.; Layek, G.C.; Pop, I. Effects of thermal radiation on micropolar fluid flow and heat transfer over a porous shrinking sheet. Int. J. Heat Mass Transf. 2012, 55, 2945–2952. [Google Scholar] [CrossRef]
- Pal, D.; Chatterjee, S. MHD mixed convection stagnation-point flow of a micropolar fluid in a porous medium towards a heated stretching sheet with thermal radiation. Math. Model. Anal. 2012, 17, 498–518. [Google Scholar] [CrossRef]
- Moradi, A.; Ahmadikia, H.; Hayat, T.; Alsaedi, A. On mixed convection–radiation interaction about an inclined plate through a porous medium. Int. J. Therm. Sci. 2013, 64, 129–136. [Google Scholar] [CrossRef]
- Sheikholeslami, M.; Gorji-Bandpy, M.; Ganji, D.D.G.-D. Numerical investigation of MHD effects on Al2O3–water nanofluid flow and heat transfer in a semi-annulus enclosure using LBM. Energy 2013, 60, 501–510. [Google Scholar] [CrossRef]
- Hussain, M.; Ashraf, M.; Nadeem, S.; Khan, M. Radiation effects on the thermal boundary layer flow of a micropolar fluid towards a permeable stretching sheet. J. Franklin. Inst. 2013, 350, 194–210. [Google Scholar] [CrossRef]
- Mukhopadhyay, S. Slip effects on MHD boundary layer flow over an exponentially stretching sheet with suction/blowing and thermal radiation. Ain Shams Eng. J. 2013, 4, 485–491. [Google Scholar] [CrossRef]
- Hayat, T.; Shehzad, S.A.; Qasim, M.; Asghar, S.; Alsaedi, A. Thermally Stratified Radiative Flow of Third Grade Fluid over a Stretching Surface. J. Thermophys. Heat Transf. 2014, 28, 155–161. [Google Scholar] [CrossRef]
- Prakash, D.; Muthtamilselvan, M. Effect of radiation on transient MHD flow of micropolar fluid between porous vertical channel with boundary conditions of the third kind. Ain Shams Eng. J. 2014, 5, 1277–1286. [Google Scholar] [CrossRef]
- Uddin, Z.; Kumar, M.; Harmand, S. Influence of thermal radiation and heat generation/absorption on MHD heat transfer flow of a micropolar fluid past a wedge considering hall and ion slip currents. Therm. Sci. 2014, 18, 489–502. [Google Scholar] [CrossRef]
- Haq, R.U.; Nadeem, S.; Khan, Z.H.; Akbar, N.S. Thermal radiation and slip effects on MHD stagnation point flow of nanofluid over a stretching sheet. Phys. E Low Dimens. Syst. Nanostruct. 2014, 65, 17–23. [Google Scholar] [CrossRef]
- El-Aziz, M.A. Mixed convection flow of a micropolar fluid from an unsteady stretching surface with viscous dissipation. J. Egypt. Math. Soc. 2013, 21, 385–394. [Google Scholar] [CrossRef]
- Mabood, F.; Ibrahim, S.; Rashidi, M.; Shadloo, M.; Lorenzini, G. Non-uniform heat source/sink and Soret effects on MHD non-Darcian convective flow past a stretching sheet in a micropolar fluid with radiation. Int. J. Heat Mass Transf. 2016, 93, 674–682. [Google Scholar] [CrossRef]
- Abbas, A.; Ijaz, I.; Ashraf, M.; Ahmad, H. Combined effects of variable density and thermal radiation on MHD Sakiadis flow. Case Stud. Therm. Eng. 2021, 28, 101640. [Google Scholar] [CrossRef]
- Ashraf, M.; Fatima, A.; Gorla, R. Periodic momentum and thermal boundary layer mixed convection flow around the surface of a sphere in the presence of viscous dissipation. Can. J. Phys. 2017, 95, 976–986. [Google Scholar] [CrossRef]
- Ahmad, U.; Ashraf, M.; Abbas, A.; Rashad, A.M.; Nabwey, H.A. Mixed convection flow along a curved surface in the presence of exothermic catalytic chemical reaction. Sci. Rep. 2021, 11, 12907. [Google Scholar] [CrossRef]
- Abbas, A.; Ashraf, M.; Chu, Y.-M.; Zia, S.; Khan, I.; Nisar, K.S. Computational Study of the Coupled Mechanism of Thermophoretic Transportation and Mixed Convection Flow around the Surface of a Sphere. Molecules 2020, 25, 2694. [Google Scholar] [CrossRef]
- Ashraf, M.; Abbas, A.; Zia, S.; Chu, Y.-M.; Khan, I.; Nisar, K.S. Computational Analysis of the Effect of Nano Particle Material Motion on Mixed Convection Flow in the Presence of Heat Generation and Absorption. Comput. Mater. Contin. 2020, 65, 1809–1823. [Google Scholar] [CrossRef]
- Ashraf, M.; Abbas, A.; Ali, A.; Shah, Z.; Alrabaiah, H.; Bonyah, E. Numerical simulation of the combined effects of thermophoretic motion and variable thermal conductivity on free convection heat transfer. AIP Adv. 2020, 10, 085005. [Google Scholar] [CrossRef]
- Abbas, A.; Ashraf, M.; Chamkha, A.J. Combined effects of thermal radiation and thermophoretic motion on mixed convection boundary layer flow. Alex. Eng. J. 2021, 60, 3243–3252. [Google Scholar] [CrossRef]
- Ashraf, M.; Abbas, A.; Oztop, H.F.; Nisar, K.S.; Khan, I. Computations of mixed convection slip flow around the surface of a sphere: Effects of thermophoretic transportation and viscous dissipation. Heat Transf. 2021, 50, 7349–7362. [Google Scholar] [CrossRef]
- Abbas, A.; Ashraf, M. Combined effects of variable viscosity and thermophoretic transportation on mixed convection flow around the surface of a sphere. Therm. Sci. 2021, 24, 4089–4101. [Google Scholar] [CrossRef]
- Cortell, R. A Numerical Tackling on Sakiadis Flow with Thermal Radiation. Chin. Phys. Lett. 2008, 25, 1340–1342. [Google Scholar] [CrossRef]
- Siegel, R.; Howell, J.R. Thermal Radiation: Heat Transfer, 3rd ed.; Hemisphere: Washington, DC, USA, 1992. [Google Scholar]
- Sparrow, E.M.; Cess, R.D. Radiation Heat Transfer; Hemisphere: Washington, DC, USA, 1978. [Google Scholar]
- Riahi, M.K.; Ali, M.; Addad, Y.; Abu-Nada, E. Combined Newton–Raphson and Streamlines-Upwind Petrov–Galerkin iterations for nanoparticles transport in buoyancy-driven flow. J. Eng. Math. 2022, 132, 22. [Google Scholar] [CrossRef]
- Durgaprasad, P.; Varma, S.V.K.; Hoque, M.M.; Raju, C.S.K. Combined effects of Brownian motion and thermophoresis parameters on three-dimensional (3D) Casson nanofluid flow across the porous layers slendering sheet in a suspension of graphene nanoparticles. Neural Comput. Appl. 2019, 31, 6275–6286. [Google Scholar] [CrossRef]
- Wakif, A.; Animasaun, I.; Narayana, P.S.; Sarojamma, G. Meta-analysis on thermo-migration of tiny/nano-sized particles in the motion of various fluids. Chin. J. Phys. 2020, 68, 293–307. [Google Scholar] [CrossRef]
- Amidu, M.A.; Addad, Y.; Riahi, M.K.; Abu-Nada, E. Numerical investigation of nanoparticles slip mechanisms impact on the natural convection heat transfer characteristics of nanofluids in an enclosure. Sci. Rep. 2021, 11, 15678. [Google Scholar] [CrossRef]














| X | ||||||
|---|---|---|---|---|---|---|
| 0.1 | 0.00981 | 0.01145 | 0.06308 | 0.06349 | 0.07619 | 0.07801 |
| 1.0 | 0.06199 | 0.04599 | 0.06578 | 0.08904 | 0.07682 | 0.10350 |
| 2.0 | 0.10721 | 0.04818 | 0.19978 | 0.09024 | 0.20579 | 0.10476 |
| 3.1 | 0.00534 | 0.00578 | 0.05831 | 0.05809 | 0.07276 | 0.07327 |
| X | ||||||
|---|---|---|---|---|---|---|
| 0.1 | 0.01271 | 0.01483 | 0.06050 | 0.05501 | 0.07456 | 0.07243 |
| 1.0 | 0.08087 | 0.08239 | 0.10321 | 0.09503 | 0.12380 | 0.12105 |
| 2.0 | 0.08619 | 0.08762 | 0.10548 | 0.09702 | 0.12654 | 0.12361 |
| 3.1 | 0.00611 | 0.00742 | 0.05663 | 0.04794 | 0.07183 | 0.06604 |
| X | ||||||
|---|---|---|---|---|---|---|
| 0.1 | 0.01812 | 0.01421 | 0.01271 | 0.06050 | 0.07342 | 0.07456 |
| 1.0 | 0.15241 | 0.08169 | 0.08087 | 0.10321 | 0.12246 | 0.12380 |
| 2.0 | 0.16466 | 0.08695 | 0.08619 | 0.10548 | 0.12508 | 0.12654 |
| 3.1 | 0.02562 | 0.00611 | 0.05072 | 0.05663 | 0.00679 | 0.07183 |
| X | ||||||
|---|---|---|---|---|---|---|
| 0.1 | 0.01271 | 0.01093 | 0.06050 | 0.00835 | 0.07456 | 0.02171 |
| 1.0 | 0.08087 | 0.25808 | 0.10321 | 2.87762 | 0.12380 | 0.18380 |
| 2.0 | 0.08619 | 0.26958 | 0.10548 | 0.09417 | 0.12654 | 0.19084 |
| 3.1 | 0.00611 | 0.01412 | 0.05663 | 0.06653 | 0.07183 | 0.05583 |
| X | ||||||
|---|---|---|---|---|---|---|
| 0.1 | 0.01271 | 0.03029 | 0.06050 | 0.03671 | 0.07456 | 0.07692 |
| 1.0 | 0.08087 | 0.12463 | 0.10321 | 0.06132 | 0.12380 | 0.11358 |
| 2.0 | 0.08619 | 0.13128 | 0.10548 | 0.06242 | 0.12654 | 0.11540 |
| 3.1 | 0.00611 | 0.01716 | 0.05663 | 0.02969 | 0.07183 | 0.07301 |
| X | ||||||
|---|---|---|---|---|---|---|
| 0.0 | 50.75594 | 46.76019 | 0.95139 | 0.23755 | 192.65468 | 179.60024 |
| 0.1 | 32.08902 | 34.08479 | 7.68669 | 7.03547 | 82.65567 | 75.70414 |
| 1.0 | 15.67088 | 13.73597 | 9.27360 | 11.81349 | 0.11835 | 0.12578 |
| 2.0 | 10.61131 | 8.79781 | 9.27483 | 11.81388 | 0.11340 | 0.11728 |
| 3.0 | 7.79274 | 5.95524 | 18.88779 | 17.98556 | 3.34746 | 4.44476 |
| 4.0 | 5.76776 | 3.84707 | 18.63854 | 18.20510 | 2.30285 | 4.74118 |
| 5.0 | 4.13138 | 2.18996 | 18.63854 | 17.75627 | 2.29610 | 6.89948 |
| 6.0 | 2.79540 | 1.27903 | 17.91728 | 16.67107 | 3.51993 | 9.09658 |
| 7.0 | 1.68713 | 0.95814 | 16.81319 | 15.59305 | 6.43594 | 12.18080 |
| 8.0 | 1.14654 | 0.78669 | 16.92500 | 14.97582 | 9.41521 | 13.28487 |
| 9.0 | 0.91312 | 0.68151 | 15.51050 | 14.72355 | 11.44516 | 13.84803 |
| 10.0 | 0.77717 | 0.60034 | 15.29638 | 14.52141 | 12.45936 | 14.1815 |
Disclaimer/Publisher’s Note: The statements, opinions and data contained in all publications are solely those of the individual author(s) and contributor(s) and not of MDPI and/or the editor(s). MDPI and/or the editor(s) disclaim responsibility for any injury to people or property resulting from any ideas, methods, instructions or products referred to in the content. |
© 2023 by the authors. Licensee MDPI, Basel, Switzerland. This article is an open access article distributed under the terms and conditions of the Creative Commons Attribution (CC BY) license (https://creativecommons.org/licenses/by/4.0/).
Share and Cite
Ashraf, M.; Khan, A.; Abbas, A.; Hussanan, A.; Ghachem, K.; Maatki, C.; Kolsi, L. Finite Difference Method to Evaluate the Characteristics of Optically Dense Gray Nanofluid Heat Transfer around the Surface of a Sphere and in the Plume Region. Mathematics 2023, 11, 908. https://doi.org/10.3390/math11040908
Ashraf M, Khan A, Abbas A, Hussanan A, Ghachem K, Maatki C, Kolsi L. Finite Difference Method to Evaluate the Characteristics of Optically Dense Gray Nanofluid Heat Transfer around the Surface of a Sphere and in the Plume Region. Mathematics. 2023; 11(4):908. https://doi.org/10.3390/math11040908
Chicago/Turabian StyleAshraf, Muhammad, Anwar Khan, Amir Abbas, Abid Hussanan, Kaouther Ghachem, Chemseddine Maatki, and Lioua Kolsi. 2023. "Finite Difference Method to Evaluate the Characteristics of Optically Dense Gray Nanofluid Heat Transfer around the Surface of a Sphere and in the Plume Region" Mathematics 11, no. 4: 908. https://doi.org/10.3390/math11040908
APA StyleAshraf, M., Khan, A., Abbas, A., Hussanan, A., Ghachem, K., Maatki, C., & Kolsi, L. (2023). Finite Difference Method to Evaluate the Characteristics of Optically Dense Gray Nanofluid Heat Transfer around the Surface of a Sphere and in the Plume Region. Mathematics, 11(4), 908. https://doi.org/10.3390/math11040908

