Integrating Replenishment Policy and Maintenance Services in a Stochastic Inventory System with Bilateral Movements
Abstract
1. Introduction
- (a)
- Management of PW. (i) The PW is managed according to a triple-parameter band policy , i.e., when the on-hand stock drops to some level s, an order is placed to purchase more stock from the manufacturer in order to raise the current level up to level As in practice, the order arrives by the distributor after some random time (called the lead time); nevertheless, it is assumed that, during that lead time, new orders are not allowed. Upon arrival, the PW is refilled up to level in addition, maintenance activities are provided by the distributor. It may happen that, when the distributor arrives, the stock exceeds S due to returns; in such a case, no refilling is performed at the PW (however, the distributor is still employed in these maintenance activities; see Point (c) below). Furthermore, (ii) any demand or part of the demand that is not satisfied is lost. (iii) The PW has a limited storage capacity of M items; each time the on-hand stock exceeds level M, the excess amount is transferred to the SW in a negligible amount of time.
- (b)
- Storage at the SW. The SW has unlimited capacity. We assume that each unit of material that is transferred from the PW is processed as one unit of material to be used in the SW; the transferred material is accumulated and used to satisfied related products. Thus, the SW is not accessible to customers.
- (c)
- Inventory management. Each time the distributor arrives, he provides some basic maintenance services, including cleaning, organizing, and emptying the SW, as needed, and the SW stores with zero items. We assume that these maintenance services are an integral part of the distributor’s duties; therefore, no additional payment is due for this work. However, if the PW is not refilled, the distributor is rewarded (a kind of monetary compensation) for his services.
2. Literature Review
3. The Stock Level Processes at PW and SW
- Regarding the individual customers. We emphasize that, when the on-hand stock level M is exceeding in an ascending state , demands are continuously satisfied by some of the returns (and the remaining returns are transferred to the SW at rate ). Similarly, when the on-hand stock level 0 is hit in a descending state , some of the demands are continuously satisfied by returns (and the remaining unsatisfied demands are lost at rate ).
- As in practice, here we assume that new arrivals (both customers and retailers) are willing to accept that only some of their demands are satisfied as long as they receive some compensation for the unsatisfied demands. Nowadays, such a policy is highly valued and and even considered by the customer as a high level of service.
4. Preliminaries
4.1. Markov-Modulated Fluid Flow Process for MAP
4.2. First-Passage Times
4.2.1. Return Times for MAPs
4.2.2. First Passage Times for MMFF Processes
4.3. MMFF at an Exponential Time
- (1)
- The LST matrix at time with the -th componentis given byIn our analysis, the matrix form of (13) is required in order to track the initial and final states of the background CTMC. Here, we use the fact that, for a CTMC , the matrix satisfies (see [2]). (Recall that the original state space is thus, only rows in are considered while other rows in (13) are set to zero.)
- (2)
- Applying the complete probability equation, it is easy to verify that, for a nonnegative generally distributed r.v.
4.4. The Multidimensional Martingale
5. Derivation of the Expected Discounted Cost Functionals
- (i)
- Assume that level M is hit from below at ascending state It is easy to verify that the matrix is the expected discounting time until exiting level M at a descending state (either continuously at a state in or by a downward jump at a state in ). As we set in all entries in due to the jumps, the matrix has the block formwith respect to the subspaces . The matrix arises due to the zero time spent in and thereafter immediately returns to its original state in (recall that an upward jump is allowed only when .
- (ii)
- Similarly, assume that level 0 is hit from above at a descending state . It is easy to verify that the matrix is the expected discounting time until exiting level 0 at ascending state (either continuously at a state in or by an upward jump at a state in ) Here, too, by setting in all entries in the matrix has the block formwith respect to the subspaces .
5.1. Cycle Length and Order Cost
- (a)
- The vector replaces the vector (all of the appropriate sizes and with the same superscripts and subscripts).
- (b)
- The first term of Case becomes (instead of ).
- (c)
- The last terms in Cases and are deleted.
5.2. Transfer Cost
5.3. Loss Cost
- (a)
- The vector replaces the vector (all of the appropriate sizes and with the same superscripts and subscripts).
- (b)
- The first term of Cases and , ζ, is deleted.
- (c)
- The expected discounted loss Θ is added to Case .
5.4. Distributor’s Service Cost
- (a)
- The vector (Case ) is given by(Applying (28) with S replacing s; note that )
- (b)
- The vector (Case ) is given by(Here, we apply (28) with replacing )
6. Numerical Examples
- The impact of S. As expected, increasing S decreases the number of orders and shortages, and increases the number of transferred items; thus, and decrease and increases. However, the changes in and are more challenging and are explained as follows. At first, increasing S increases the cycle length (i.e., decreases), minimizes value for money (due to ), and thus decreases . However, a highly increasing S increases the number of refillings, shortens the cycle length, intensifies the impact of and thus increases .
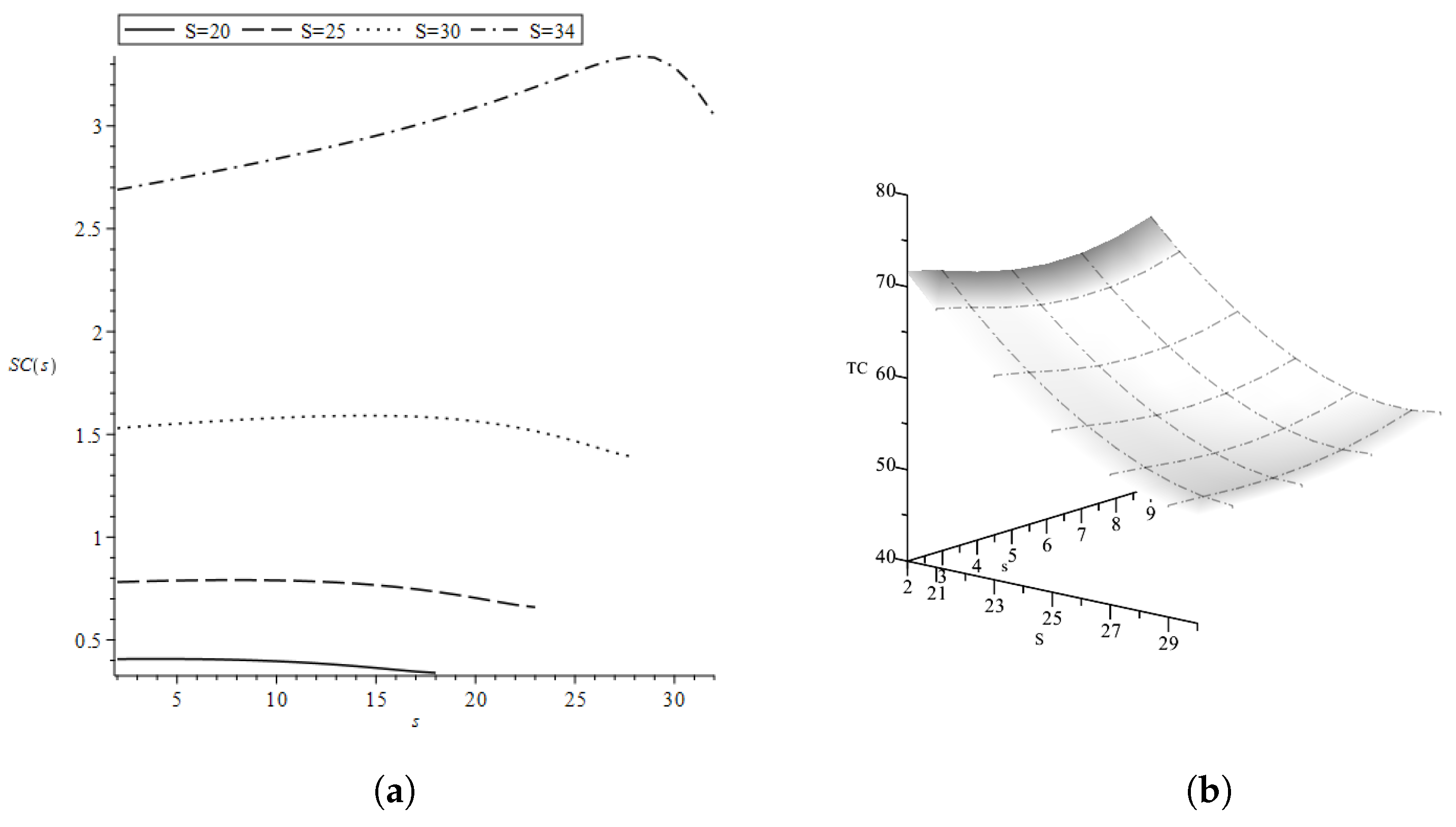
- The impact of s. Clearly, increasing s shortens the cycle length-resulting in early ordering times, and intensifies the impact of thus, the changes in and are as expected. By contrast, the change in is not straightforward. Figure 4a curves as a function of for (recall that and ). We see that increases and then decreases, and these changes become more dramatic with S. At first, increasing s increases the stock, level M is hit more frequently and, thus, increases. However, as s approaches S, the ordering time and the cycle length are significantly shortened and thus decreases.
- As expected, the cost is decreasing in and is increasing in We further see that, while increasing decreases (in accordance with Table 3), the changes of in are not monotone and are impacted also by and (in fact, varies slightly in ).
- When the level is increasing in while seems to be concave. Hence, increasing increases the difference – (noted that a balanced system with is also included here; see Table 3). When the value of is high, then, despite the fact that demands become more frequent, it is economically profitable for the company to postpone ordering and thereby increase the quantity of refilling.
- By contrast, when we see that is convex in and is decreasing. Here, the difference – is convex in . In general, as more returns arrive, and for low values of the company’s main motivation is to reduce the transfer cost by decreasing and reducing – However, as increases, we see a slight increase in (see Figure 9b, particularly the dotted blue curve when ). The main implication is to postpone the distributor in order to achieve a full utilization of the discount factor.
7. Conclusions
Funding
Conflicts of Interest
Appendix A
Appendix A.1. Selected Studies on Continuous Review Base Stock Inventory Policy
| Continuous-Review Base-Stock Inventory Models | Model Features | Optimization Approach | ||||
|---|---|---|---|---|---|---|
| Authors | Arrival Pattern of Demand/Return | Movement Patterns (Conti., Jumps) | Lead Time | Base-Stock Policy | Additional Features | |
| Benkherouf, Bensoussan (2009) [6] | Com. Poiss. + diffusion/no returns | One-sided jumps | zero | (qi, ui)- band policy |
|
|
| Yamazaki (2016, 2017) [8,29] | Spectrally positive Lévy processes | One-sided jumps | zero | (S, s) |
|
|
| Perera, Janakiraman, Niu (2018) [5] | Renewal proc./no returns | One-sided unit jumps | zero/ constant | (S, s) (B) |
|
|
| Barron (2018) [18] | Fluid flow /MAP | One-sided jumps | zero | (Q, 0) (LS) |
|
|
| Azcue, Muler (2019) [43] | Comp. Poiss./Comp. Poiss. | Two sided jumps | zero | Multi-band structure |
|
|
| Pérez, Yamazaki, Bensoussan (2020) [7] | Spectrally positive Lévy processes | One-sided jumps | zero | Periodical replenishments |
|
|
| Barron, Dreyfuss (2021) [4] | Comp. Poiss./Comp. Poiss. | Two-sided jumps. No conti. movements | exp | (S, s) (LS) |
|
|
| Chakravarthy, Rao (2021) [42] | MAP/no returns | One-sided jumps | zero | Random replenishments (LS, B) |
|
|
| Barron (2022) [13] | Fluid flow or jumps for demands/no returns | One-sided movements | exp | (S, s) + emergencies |
|
|
| This study | MAP/MAP | Bilateral linear rates. Two-sided-PH-Jumps | exp | (M, S, s) (LS) |
|
|
Appendix A.2. A Summary of the Cost’ Derivation
Appendix A.2.1. Step 1 (Build the Modified Process)
- Define the enlarged state space where Here, we obtain: Thus, the enlarged state space E includes five states.
- Built the generator matrix of the modified MMFF process; use Equations (9) and (10). Here, we obtain:
- Applying the algorithm of Section 2.2 of Breuer [27] for to obtain Built the process by reversing the roles of the up and down movements; similarly, use the algorithm to obtain . For our values, we obtain:
- Calculating the special LSTs given in Corollary 2 and
Appendix A.2.2. Step 2 (Derive the Cost Components)
- Apply the algorithm of [49] to derive the LSTs and to be used.
- Derive the expected discounted cycle-length matrix use Proposition 1.
- Apply Corollary 3 to obtain the expected discounted ordering times vector
- Use Proposition 2 and Claim 2 to derive the vectors and , respectively.
- Derive the vectors and use Claim 3 and Corollary 4. Then, apply Proposition 4 to obtain Finally, substitute into Equation (23) to obtain the vector
- Use Equations (4)–(7) to calculate the expected discounted costs , , , and the total cost
Appendix A.2.3. Step 3 (the Optimal Policy)
Appendix B. Proofs
Appendix B.1. Proof of Proposition 1
Appendix B.2. Proof of Proposition 2
Appendix B.3. Proof of Claim 3
References
- Kuraie, V.C.; Padiyar, S.S.; Bhagat, N.; Singh, S.R.; Katariya, C. Imperfect production process in an integrated inventory system having multivariable demand with limited storage capacity. Des. Eng. 2021, 2021, 1505–1527. [Google Scholar]
- Asmussen, S. Applied Probability and Queues, 2nd ed.; Springer: New York, NY, USA, 2003. [Google Scholar]
- Rodríguez-García, M.C.; Gutiérrez-Puertas, L.; Granados-Gámez, G.; Aguilera-Manrique, G.; Mxaxrquez-Hernxaxndez, V.V. The connection of the clinical learning environment and supervision of nursing students with student satisfaction and future intention to work in clinical placement hospitals. J. Clin. Nurs. 2021, 30, 986–994. [Google Scholar] [CrossRef] [PubMed]
- Barron, Y.; Dreyfuss, M. A triple (S,s,ℓ) -thresholds base-stock policy subject to uncertainty environment, returns and order cancellations. Comput. Oper. Res. 2021, 134, 105320. [Google Scholar] [CrossRef]
- Perera, S.; Janakiraman, G.; Niu, S.C. Optimality of (s,S) inventory policies under renewal demand and general cost structures. Prod. Oper. Manag. 2018, 27, 368–383. [Google Scholar] [CrossRef]
- Benkherouf, L.; Bensoussan, A. Optimality of an (s,S) policy with compound Poisson and diffusion demands: A quasi-variational inequalities approach. SIAM J. Control Optim. 2009, 48, 756–762. [Google Scholar] [CrossRef]
- Pérez, J.L.; Yamazaki, K.; Bensoussan, A. Optimal periodic replenishment policies for spectrally positive Lévy demand processes. SIAM J. Control Optim. 2020, 58, 3428–3456. [Google Scholar] [CrossRef]
- Yamazaki, K. Inventory control for spectrally positive Lèvy demand processes. Math. Oper. Res. 2017, 42, 212–237. [Google Scholar] [CrossRef]
- Yao, D.; Chao, X.; Wu, J. Optimal control policy for a brownian inventory system with concave ordering cost. J. Appl. Probab. 2015, 52, 909–925. [Google Scholar] [CrossRef]
- Dbouk, W.; Tarhini, H.; Nasr, W. Re-ordering policies for inventory systems with a fluctuating economic environment—Using economic descriptors to model the demand process. J. Oper. Res. Soc. 2022, 1–13. [Google Scholar] [CrossRef]
- Germain, R.; Claycomb, C.; Dröge, C. Supply chain variability, organizational structure, and performance: The moderating effect of demand unpredictability. J. Oper. Manag. 2008, 26, 557–570. [Google Scholar] [CrossRef]
- Barron, Y. A state-dependent perishability (s,S) inventory model with random batch demands. Ann. Oper. Res. 2019, 280, 65–98. [Google Scholar] [CrossRef]
- Barron, Y. The continuous (S,s,Se) inventory model with dual sourcing and emergency orders. Eur. J. Oper. Res. 2022, 301, 18–38. [Google Scholar] [CrossRef]
- Lu, Y. Estimation of average backorders for an assemble-to-order system with random batch demands through extreme statistics. Nav. Res. Logist. 2007, 54, 33–45. [Google Scholar] [CrossRef]
- Feng, L.; Chan, Y.L. Joint pricing and production decisions for new products with learning curve effects under upstream and down stream trade credits. Eur. J. Oper. Res. 2019, 272, 905–913. [Google Scholar] [CrossRef]
- Hu, K.; Acimovic, J.; Erize, F.; Thomas, D.J.; Van Mieghem, J.A. Forecasting new product life cycle curves: Practical approach and empirical analysis: Finalist-2017 M&SOM practice-based research competition. Manuf. Serv. Oper. Manag. 2018, 21, 66–85. [Google Scholar]
- Avci, H.; Gokbayrak, K.; Nadar, E. Structural results for average-cost inventory models with Markov-modulated demand and partial information. Prod. Oper. Manag. 2020, 29, 156–173. [Google Scholar] [CrossRef]
- Barron, Y. An order-revenue inventory model with returns and sudden obsolescence. Oper. Res. Lett. 2018, 46, 88–92. [Google Scholar] [CrossRef]
- Ozkan, C.; Karaesmen, F.; Ozekici, S. Structural properties of Markov modulated revenue management problems. Eur. J. Oper. Res. 2013, 225, 324–331. [Google Scholar] [CrossRef]
- Ishfaq, R.; Raja, U.; Rao, S. Seller-induced scarcity and price-leadership. Int. J. Logist. Manag. 2016, 27, 552–569. [Google Scholar] [CrossRef]
- Rudolph, S. E-commerce product return statistics and trends. Bus. Community 2016. [Google Scholar]
- Chen, L.; Song, J.S.; Zhang, Y. Serial inventory systems with Markov-modulated demand: Derivative bounds, asymptotic analysis, and insights. Oper. Res. 2017, 65, 1231–1249. [Google Scholar] [CrossRef]
- Nasr, W.W. Inventory systems with stochastic and batch demand: Computational approaches. Ann. Oper. Res. 2022, 309, 163–187. [Google Scholar] [CrossRef]
- Perera, S.C.; Sethi, S. A survey of stochastic inventory models with fixed costs: Optimality of (s,S) and (s,S)-type policies. Prod. Oper. Manag. 2022, 32, 154–169. [Google Scholar] [CrossRef]
- Presman, E.; Sethi, S.P. Inventory models with continuous and Poisson demands and discounted and average costs. Prod. Oper. Manag. 2006, 15, 279–293. [Google Scholar] [CrossRef]
- Ahn, S. Time-dependent and stationary analyses of two-sided reflected Markov-modulated Brownian motion with bilateral ph-type jumps. J. Korean Stat. Soc. 2017, 46, 45–69. [Google Scholar] [CrossRef]
- Breuer, L. A quintuple law for Markov additive processes with phase-type jumps. J. Appl. Probab 2010, 47, 441–458. [Google Scholar] [CrossRef]
- Dudin, A.; Dudina, O.; Dudin, S.; Samouylov, K. Analysis of single-server multi-class queue with unreliable service, batch correlated arrivals, customers impatience, and dynamical change of priorities. Mathematics 2021, 9, 1257. [Google Scholar] [CrossRef]
- Yamazaki, K. Cash management and control band policies for spectrally one-sided Lèvy processes. Recent Adv. Financ. Eng. 2016, 2014, 199–215. [Google Scholar]
- Zhang, Z. Dynamic Cash Management Models. Ph.D. Thesis, Lancaster University, Lancaster, UK, 2022. [Google Scholar]
- Yan, K. Fluid Models for Production-Inventory Systems. Ph.D. Thesis, The University of North Carolina at Chapel Hill, Chapel Hill, NC, USA, 2006. [Google Scholar]
- Kawai, Y.; Takagi, H. Fluid approximation analysis of a call center model with time-varying arrivals and after-call work. Oper. Res. Perspect. 2015, 2, 81–96. [Google Scholar] [CrossRef]
- Cao, P.; Yao, D. Dual sourcing policy for a continuous-review stochastic inventory system. IEEE Trans. Automat. Control 2019, 64, 2921–2928. [Google Scholar] [CrossRef]
- Gong, M.; Lian, Z.; Xiao, H. Inventory control policy for perishable products under a buyback contract and Brownian demands. Int. J. Prod. Econ. 2022, 251, 108522. [Google Scholar] [CrossRef]
- He, S.; Yao, D.; Zhang, H. Optimal ordering policy for inventory systems with quantity-dependent setup costs. Math. Oper. Res. 2017, 42, 979–1006. [Google Scholar] [CrossRef]
- Li, Y.; Sethi, S. Optimal Ordering Policy for Two Product Inventory Models with Fixed Ordering Costs. 2022. Available online: https://ssrn.com/abstract=4199040 (accessed on 26 December 2022).
- Anbazhagan, N.; Joshi, G.P.; Suganya, R.; Amutha, S.; Vinitha, V.; Shrestha, B. Queueing-inventory system for two commodities with optional demands of customers and MAP arrivals. Mathematics 2022, 10, 1801. [Google Scholar] [CrossRef]
- Vinitha, V.; Anbazhagan, N.; Amutha, S.; Jeganathan, K.; Shrestha, B.; Song, H.K.; Joshi, G.P.; Moon, H. Analysis of a stochastic inventory model on random environment with two classes of suppliers and impulse customers. Mathematics 2022, 10, 2235. [Google Scholar] [CrossRef]
- López, D.M.; Pérez, J.L.; Yamazaki, K. Effects of positive jumps of assets on endogenous bankruptcy and optimal capital structure: Continuous-and periodic-observation models. SIAM J. Financ. Math. 2021, 12, 1112–1149. [Google Scholar] [CrossRef]
- Noba, K.; Yamazaki, K. On stochastic control under Poisson observations: Optimality of a barrier strategy in a general Lévy model. arXiv 2022, arXiv:2210.00501. [Google Scholar]
- Bensoussan, A.; Liu, R.H.; Sethi, S.P. Optimality of an (s,S) policy with compound Poisson and diffusion demands: A quasi-variational inequalities approach. SIAM J. Control Optim. 2005, 44, 1650–1676. [Google Scholar] [CrossRef]
- Chakravarthy, S.R.; Rao, B.M. Queuing-inventory models with MAP demands and random replenishment opportunities. Mathematics 2021, 9, 1092. [Google Scholar] [CrossRef]
- Azcue, P.; Muler, N. Optimal cash management problem for compound Poisson processes with two-sided jumps. Appl. Math. Optim. 2019, 80, 331–368. [Google Scholar] [CrossRef]
- Deelstra, G.; Latouche, G.; Simon, M. On barrier option pricing by Erlangization in a regime-switching model with jumps. J. Comput. Appl. Math. 2020, 371, 112606. [Google Scholar] [CrossRef]
- Kijima, M.; Siu, C.C. On the First Passage Time under Regime-Switching with Jumps. In Inspired by Finance; Springer: Cham, Switzerland, 2014; pp. 387–410. [Google Scholar]
- Chew, A.; Mus, S.; Rohloff, P.; Barnoya, J. The Relationship between Corner Stores and the Ultra-processed Food and Beverage Industry in Guatemala: Stocking, Advertising, and Trust. J. Hunger Environ. Nutr. 2022, 1–16. [Google Scholar] [CrossRef]
- Mandi, E.; Chen, X.; Zhou, K.Z.; Zhang, C. Loose lips sink ships: The double-edged effect of distributor voice on channel relationship performance. Ind. Mark. Manag. 2022, 102, 141–152. [Google Scholar] [CrossRef]
- Sato, K.; Yagi, K.; Shimazaki, M. A stochastic inventory model for a random yield supply chain with wholesale-price and shortage penalty contracts. Asia-Pac. J. Oper. Res. 2018, 35, 1850040. [Google Scholar] [CrossRef]
- Ramaswami, V. Passage times in fluid models with application to risk processes. Methodol. Computat. Appl. Probab. 2006, 8, 497–515. [Google Scholar] [CrossRef]
- Asmussen, S.; Kella, O. A multi-dimensional martingale for Markov additive processes and its applications. Adv. Appl. Probab. 2000, 32, 376–393. [Google Scholar] [CrossRef]
- Bijvank, M.; Vis, I.A.F. Lost sales inventory theory: A review. Eur. J. Oper. Res. 2011, 215, 1–13. [Google Scholar] [CrossRef]









| Increasing the Parameter | Expected Discounted | ||||
|---|---|---|---|---|---|
| Cycle Length | Order Cost | Transfer Cost | Loss Cost | Distributor’s Service Cost | |
| EC | OC | SC | LC | DC | |
| ↑ | ∪ | ↓ | ↑ | ↓ | ∪ |
| ↑ | ↑ | ↑ | ★ | ↓ | ↑ |
| S*, s* TC* | ∖ | 0.5 | 5 | 15 | 25 | 100 |
|---|---|---|---|---|---|---|
| ¡−= 50 = 5 | 5 | 20, 2 27.133 | 24, 2 29.457 | 19, 2 38.748 | 17, 2 44.792 | 11, 2 69.150 |
| 25 | 30, 2 30.153 | 26, 2 40.540 | 21, 4 53.402 | 19, 4 61.845 | 13, 4 96.876 | |
| 50 | 30, 7 37.363 | 26, 8 48.063 | 23, 8 62.386 | 21, 8 72.243 | 15, 8 114.098 | |
| 100 | 30, 11 44.696 | 27, 11 55.907 | 23, 8 62.386 | 22, 11 83.298 | 17, 11 133.019 | |
| ¡−= 50 = 10 | 5 | 20, 2 38.039 | 24, 2 39.811 | 19, 2 49.818 | 17, 2 56.186 | 11, 2 81.156 |
| 25 | 30, 2 40.785 | 26, 2 50.760 | 22, 2 64.027 | 20, 2 72.961 | 13, 2 108.709 | |
| 50 | 30, 4 51.595 | 27, 5 62.358 | 23, 6 77.256 | 21, 6 87.626 | 15, 7 130.449 | |
| 100 | 30, 9 62.397 | 27, 9 73.001 | 24, 10 89.145 | 22, 10 100.755 | 17, 10 151.083 | |
| ¡−= 150 = 5 | 5 | 29, 2 21.328 | 24, 2 29.542 | 19, 2 39.043 | 17, 2 45.280 | 11, 2 71.492 |
| 25 | 31, 2 30.170 | 26, 2 40.592 | 21, 4 53.706 | 19, 4 62.347 | 14, 2 98.084 | |
| 50 | 30, 7 37.430 | 26, 8 48.315 | 23, 8 62.921 | 21, 8 73.131 | 16, 7 117.311 | |
| 100 | 30, 10 44.878 | 27, 11 56.341 | 24, 11 72.911 | 22, 11 84.850 | 17, 10 137.497 | |
| ¡−= 150 = 10 | 5 | 28, 2 1.728 | 24, 2 39.896 | 20, 2 50.062 | 17, 2 56.918 | 11, 2 83.498 |
| 25 | 30, 2 40.812 | 26, 2 50.811 | 22, 2 64.167 | 20, 2 73.190 | 13, 5 115.468 | |
| 50 | 30, 4 51.640 | 27, 5 62.446 | 23, 6 77.569 | 21, 6 88.403 | 15, 6 133.090 | |
| 100 | 30, 8 62.871 | 27, 9 73.255 | 24, 10 89.856 | 22, 10 101.937 | 17, 9 155.096 |
| The Cost ↑ | |||||
|---|---|---|---|---|---|
| ↑ | ★ | ↑ | ↓ | ↑ | |
| ★ | ↓ | ↑ | ★ | ↓ | |
| S*, s* TC* | |||||||||||
|---|---|---|---|---|---|---|---|---|---|---|---|
| E () = 0 | 0.025 | 0.05 | 0.075 | 0.1 | |||||||
| ¡+ | 15 | 13, 8 241.121 | 16, 9 92.529 | 17, 8 48.974 | 19, 5 29.221 | ||||||
| 25 | 12,7 263.498 | 16, 8 102.091 | 18, 6 53.278 | 20, 4 31.282 | |||||||
| 50 | 12, 5 313.620 | 17, 7 122.909 | 19, 4 61.845 | 20, 2 34.708 | |||||||
| 100 | 13, 5 405.342 | 18, 2 155.221 | 21, 2 73.906 | 21, 1 40.932 | |||||||
| E () = −0.308 | 0.025 | 0.05 | 0.075 | 0.1 | E () = 0.22 | 0.025 | 0.05 | 0.075 | 0.1 | ||
| ¡+ | 15 | 14, 11 189.954 | 18, 16 98.580 | 20, 16 56.465 | 21, 14 35.679 | ¡+ | 15 | 15, 2 1193 | 13, 2 233.797 | 14, 5 83.106 | 15, 4 40.079 |
| 25 | 13, 10 217.648 | 18, 15 117.955 | 21, 18 70.431 | 21, 13 42.855 | 25 | 21, 2 1145 | 14, 2 240.001 | 14, 2 86.883 | 16, 1 41.923 | ||
| 50 | 12, 9 284.880 | 18, 15 165.584 | 20,14 97.471 | 22, 11 59.143 | 50 | 21, 2 1188 | 15, 2 254.774 | 15, 1 94.634 | 17, 1 46.180 | ||
| 100 | 12, 9 418.205 | 16,13 259.948 | 19, 12 153.258 | 23, 8 87.600 | 100 | 21, 2 1274 | 17, 2 281.976 | 17, 1 108.364 | 18, 1 53.676 | ||
| E () = −0.41 | 0.025 | 0.05 | 0.075 | 0.1 | E () = 0.43 | 0.025 | 0.05 | 0.075 | 0.1 | ||
| ¡+ | 15 | 16, 15 190.886 | 18, 16 104.637 | 20, 16 60.542 | 20, 14 38.376 | ¡+ | 15 | 34, 2 959.741 | 25, 2 417.673 | 15, 1 172.134 | 13, 1 76.027 |
| 25 | 16, 15 223.120 | 18, 16 125.17 | 19, 15 73.465 | 21, 14 46.47 | 25 | 34, 2 963.969 | 25, 2 419.423 | 15, 1 174.239 | 13, 1 77.896 | ||
| 50 | 14, 13 302.48 | 17, 15 176.372 | 19, 14 105.381 | 21, 11 64.951 | 50 | 34, 2 974.540 | 25, 1 423.796 | 16, 1 179.223 | 14, 1 82.263 | ||
| 100 | 12, 11 454.858 | 16, 14 277.973 | 19, 13 167.416 | 23, 9 97.662 | 100 | 34, 2 995.681 | 26, 1 432.543 | 17, 1 197.933 | 15, 1 89.658 | ||
Disclaimer/Publisher’s Note: The statements, opinions and data contained in all publications are solely those of the individual author(s) and contributor(s) and not of MDPI and/or the editor(s). MDPI and/or the editor(s) disclaim responsibility for any injury to people or property resulting from any ideas, methods, instructions or products referred to in the content. |
© 2023 by the author. Licensee MDPI, Basel, Switzerland. This article is an open access article distributed under the terms and conditions of the Creative Commons Attribution (CC BY) license (https://creativecommons.org/licenses/by/4.0/).
Share and Cite
Barron, Y. Integrating Replenishment Policy and Maintenance Services in a Stochastic Inventory System with Bilateral Movements. Mathematics 2023, 11, 864. https://doi.org/10.3390/math11040864
Barron Y. Integrating Replenishment Policy and Maintenance Services in a Stochastic Inventory System with Bilateral Movements. Mathematics. 2023; 11(4):864. https://doi.org/10.3390/math11040864
Chicago/Turabian StyleBarron, Yonit. 2023. "Integrating Replenishment Policy and Maintenance Services in a Stochastic Inventory System with Bilateral Movements" Mathematics 11, no. 4: 864. https://doi.org/10.3390/math11040864
APA StyleBarron, Y. (2023). Integrating Replenishment Policy and Maintenance Services in a Stochastic Inventory System with Bilateral Movements. Mathematics, 11(4), 864. https://doi.org/10.3390/math11040864
