Train Delay Predictions Using Markov Chains Based on Process Time Deviations and Elastic State Boundaries
Abstract
:1. Introduction
- Is based on process time deviations as underlying variables instead of absolute delays.
- Relaxes the commonly used stationarity assumption for Markov chains (i.e., state transition probabilities are equal for all points of the stochastic process).
- Is built on an elastic definition of the state space (i.e., state boundaries can vary in absolute terms for different points of the stochastic process).
2. Literature Review
2.1. Train Delay Predictions
2.2. Markov Chain Models
3. Methodology
3.1. Stochastic Process
3.2. State Space
- Classic StructureFor the classic state space structure, the state boundaries are manually defined equally for all events (processes) by expert domain knowledge within the range of historical delay observations. Mostly, integers are used as state boundaries. In some cases, states are also defined according to analytical goals (e.g., to analyze how many trains are delayed by more than 5 min, it is reasonable to define one state boundary at the level of 5 min).
- Static StructureFor the static state space structure, we assigned quantiles of the empirical distribution of all observed delays (process time deviations) of the training data to the state boundaries , for to spread the quantity of observations per state evenly among the states of delay (process time deviations). To be more precise, we define the state boundaries with respect to the dimension n of the state space as in Equation (1).Note that it takes boundaries to define n states of delay (process time deviation) in order to well-define the state space. For this reason, the lowest state boundary is defined as of the empirical distribution, which corresponds to the least observed delay (the deviation for the fastest realized process time) and is defined as , corresponding to the highest delay (deviation for the slowest realized process time).
- Elastic StructureThe elastic state space structure is defined analogously to the static structure. In the elastic case, however, the delay (process time deviation) quantiles are done specifically for every event (process) with respect to the non-stationarity assumptions per direction, line, and location. Consequently, the absolute values of the state boundaries might vary from event (process) to event (process). The aim here is to incorporate direction-, line-, and location-specific peculiarities of transition probabilities (e.g., as a result of scheduled buffer times or running time supplements).
3.3. Markov Property
3.4. Transitions
3.5. Underlying Variable
3.6. Dependency Assumptions
3.7. Parameter Estimation
3.8. Prediction
4. Application on Test Case
4.1. Data
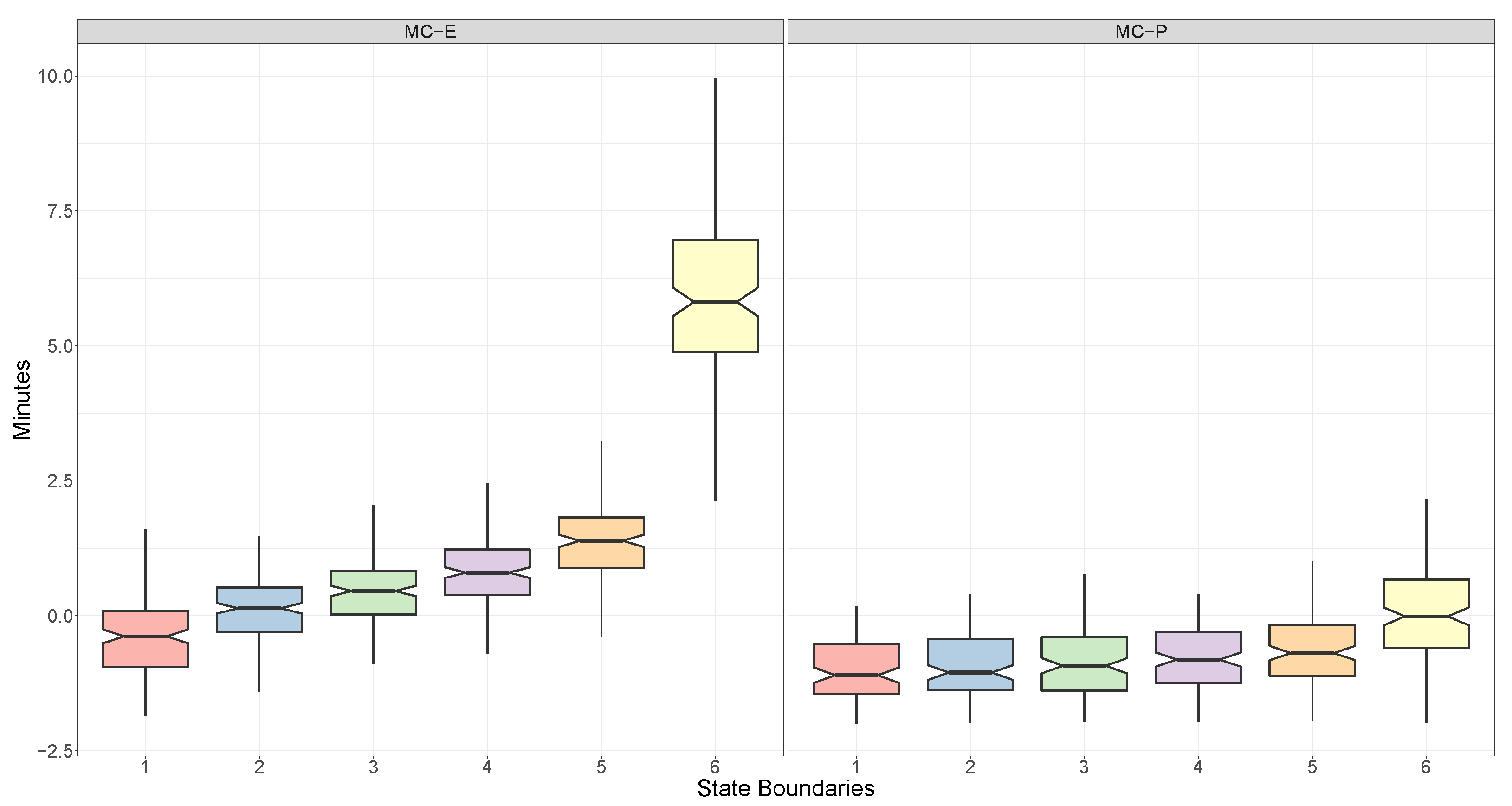
4.2. State Space Structure
4.3. Transition Probability Matrices
4.4. State Space Dimension
5. Results
5.1. Performance Evaluation
5.2. Results
5.3. Data Sparsity
6. Discussion
7. Conclusions
Author Contributions
Funding
Institutional Review Board Statement
Informed Consent Statement
Data Availability Statement
Conflicts of Interest
References
- Zilko, A.A.; Kurowicka, D.; Goverde, R.M. Modeling railway disruption lengths with Copula Bayesian Networks. Transp. Res. Part C Emerg. Technol. 2016, 68, 350–368. [Google Scholar] [CrossRef]
- Carey, M.; Kwieciński, A. Stochastic approximation to the effects of headways on knock-on delays of trains. Transp. Res. Part B 1994, 28, 251–267. [Google Scholar] [CrossRef]
- Corman, F.; Kecman, P. Stochastic prediction of train delays in real-time using Bayesian networks. Transp. Res. Part C Emerg. Technol. 2018, 95, 599–615. [Google Scholar] [CrossRef]
- Hansen, I.A.; Goverde, R.M.; Van Der Meer, D.J. Online train delay recognition and running time prediction. In Proceedings of the 13th International IEEE Conference on Intelligent Transportation Systems, Funchal, Portugal, 19–22 September 2010; pp. 1783–1788. [Google Scholar]
- Şahin, İ. Markov chain model for delay distribution in train schedules: Assessing the effectiveness of time allowances. J. Rail Transp. Plan. Manag. 2017, 7, 101–113. [Google Scholar] [CrossRef]
- Oneto, L.; Fumeo, E.; Clerico, G.; Canepa, R.; Papa, F.; Dambra, C.; Mazzino, N.; Anguita, D. Train Delay Prediction Systems: A Big Data Analytics Perspective. Big Data Res. 2018, 11, 54–64. [Google Scholar] [CrossRef]
- Huang, P.; Wen, C.; Fu, L.; Lessan, J.; Jiang, C. Modeling train operation as sequences: A study of delay prediction with operation and weather data. Transp. Res. Part E 2020, 141, 102022. [Google Scholar] [CrossRef]
- Nair, R.; Hoang, T.L.; Laumanns, M.; Chen, B.; Cogill, R.; Szabó, J.; Walter, T. An ensemble prediction model for train delays. Transp. Res. Part C Emerg. Technol. 2019, 104, 196–209. [Google Scholar] [CrossRef]
- Spanninger, T.; Trivella, A.; Büchel, B.; Corman, F. A review of train delay prediction approaches. J. Rail Transp. Plan. Manag. 2022, 22, 100312. [Google Scholar] [CrossRef]
- Greenberg, B.S.; Leachman, R.C.; Wolff, R.W. Predicting Dispatching Delays on a Low Speed, Single Track Railroad. Transp. Sci. 1988, 22, 31–38. [Google Scholar] [CrossRef]
- Meester, L.E.; Muns, S. Stochastic delay propagation in railway networks and phase-type distributions. Transp. Res. Part B Methodol. 2007, 41, 218–230. [Google Scholar] [CrossRef]
- Gorman, M.F. Statistical estimation of railroad congestion delay. Transp. Res. Part E Logist. Transp. Rev. 2009, 45, 446–456. [Google Scholar] [CrossRef]
- Murali, P.; Dessouky, M.; Ordóñez, F.; Palmer, K. A delay estimation technique for single and double-track railroads. Transp. Res. Part E Logist. Transp. Rev. 2010, 46, 483–495. [Google Scholar] [CrossRef]
- Wen, C.; Mou, W.; Huang, P.; Li, Z. A predictive model of train delays on a railway line. J. Forecast. 2019, 39, 470–488. [Google Scholar]
- Bao, X.; Li, Y.; Li, J.; Shi, R.; Ding, X. Prediction of Train Arrival Delay Using Hybrid ELM-PSO Approach. J. Adv. Transp. 2021, 2021, 7763126. [Google Scholar] [CrossRef]
- Gao, B.; Ou, D.; Dong, D.; Wu, Y. A Data-Driven Two-Stage Prediction Model for Train Primary-Delay Recovery Time. Int. J. Softw. Eng. Knowl. Eng. 2020, 30, 921–940. [Google Scholar] [CrossRef]
- Arshad, M.; Ahmed, M. Train Delay Estimation in Indian Railways by Including Weather Factors Through Machine Learning Techniques. Recent Adv. Comput. Sci. Commun. 2021, 14, 1300–1307. [Google Scholar] [CrossRef]
- Marković, N.; Milinković, S.; Tikhonov, K.S.; Schonfeld, P. Analyzing passenger train arrival delays with support vector regression. Transp. Res. Part C Emerg. Technol. 2015, 56, 251–262. [Google Scholar] [CrossRef]
- Huang, P.; Wen, C.; Fu, L.; Peng, Q.; Li, Z. A hybrid model to improve the train running time prediction ability during high-speed railway disruptions. Saf. Sci. 2020, 122, 104510. [Google Scholar]
- Wang, Y.; Wen, C.; Huang, P. Predicting the effectiveness of supplement time on delay recoveries: A support vector regression approach. Int. J. Rail Transp. 2022, 10, 375–392. [Google Scholar] [CrossRef]
- Hallowell, S.F.; Harker, P.T. Predicting on-time line-haul performance in scheduled railroad operations. Transp. Sci. 1996, 30, 364–378. [Google Scholar] [CrossRef]
- Yuan, J.; Hansen, I.A. Optimizing capacity utilization of stations by estimating knock-on train delays. Transp. Res. Part B Methodol. 2007, 41, 202–217. [Google Scholar] [CrossRef]
- Büker, T.; Seybold, B. Stochastic modeling of delay propagation in large networks. J. Rail Transp. Plan. Manag. 2012, 2, 34–50. [Google Scholar]
- Keyhani, M.H.; Schnee, M.; Weihe, K.; Zorn, H.P. Reliability and Delay Distributions of Train Connections; Schloss Dagstuhl-Leibniz-Zentrum fuer Informatik: Wadern, Germany, 2012. [Google Scholar]
- Lemnian, M.; Rückert, R.; Rechner, S.; Blendinger, C.; Müller-Hannemann, M. Timing of Train Disposition: Towards Early Passenger Rerouting in Case of Delays; Schloss Dagstuhl-Leibniz-Zentrum fuer Informatik: Wadern, Germany, 2014. [Google Scholar]
- Goverde, R.M. A delay propagation algorithm for large-scale railway traffic networks. Transp. Res. Part C Emerg. Technol. 2010, 18, 269–287. [Google Scholar]
- Ma, H.; Qin, Y.; Han, G.; Jia, L.; Zhu, T. Forecast of Train Delay Propagation Based on Max-Plus Algebra Theory; Springer: Berlin/Heidelberg, Germany, 2016; pp. 661–672. [Google Scholar]
- Barta, J.; Rizzoli, A.E.; Salani, M.; Gambardella, L.M. Statistical modeling of delays in a rail freight transportation network. In Proceedings of the 2012 Winter Simulation Conference (WSC), Berlin, Germany, 9–12 December 2012; pp. 1–12. [Google Scholar]
- Kecman, P.; Corman, F.; Meng, L. Train delay evolution as a stochastic process. In Proceedings of the 6th International Conference on Railway Operations Modelling and Analysis—RailTokyo2015, Tokyo, Japan, 23–26 March 2015; pp. 1–27. [Google Scholar]
- Gaurav, R.; Srivastava, B. Estimating train delays in a large rail network using a zero shot markov model. In Proceedings of the 2018 21st International Conference on Intelligent Transportation Systems (ITSC), Maui, HI, USA, 4–7 November 2018; pp. 1221–1226. [Google Scholar]
- Spanninger, T.; Büchel, B.; Corman, F. Probabilistic predictions of train delay evolution. In Proceedings of the 2021 7th International Conference on Models and Technologies for Intelligent Transportation Systems, MT-ITS 2021, Heraklion, Greece, 16–17 June 2021. [Google Scholar]
- Büchel, B.; Spanninger, T.; Corman, F. Modeling evolutionary dynamics of railway delays with Markov chains. In Proceedings of the 2021 7th International Conference on Models and Technologies for Intelligent Transportation Systems, MT-ITS 2021, Heraklion, Greece, 16–17 June 2021. [Google Scholar]
- Şahin, İ. Data-driven stochastic model for train delay analysis and prediction. Int. J. Rail Transp. 2022, 1–20. [Google Scholar] [CrossRef]
- Lessan, J.; Fu, L.; Wen, C. A hybrid Bayesian network model for predicting delays in train operations. Comput. Ind. Eng. 2019, 127, 1214–1222. [Google Scholar] [CrossRef]
- Huang, P.; Lessan, J.; Wen, C.; Peng, Q.; Fu, L.; Li, L.; Xu, X. A Bayesian network model to predict the effects of interruptions on train operations. Transp. Res. Part C Emerg. Technol. 2020, 114, 338–358. [Google Scholar] [CrossRef]
- Milinković, S.; Marković, M.; Vesković, S.; Ivić, M.; Pavlović, N. A fuzzy Petri net model to estimate train delays. Simul. Model. Pract. Theory 2013, 33, 144–157. [Google Scholar] [CrossRef]
- Zhuang, H.; Feng, L.; Wen, C.; Peng, Q.; Tang, Q. High-Speed Railway Train Timetable Conflict Prediction Based on Fuzzy Temporal Knowledge Reasoning. Engineering 2016, 2, 366–373. [Google Scholar]
- Wang, J.; Granlöf, M.; Yu, J. Effects of winter climate on delays of high speed passenger trains in Botnia-Atlantica region. J. Rail Transp. Plan. Manag. 2021, 18, 100251. [Google Scholar] [CrossRef]
- Artan, M.Ş.; Şahin, İ. Exploring Patterns of Train Delay Evolution and Timetable Robustness. IEEE Trans. Intell. Transp. Syst. 2022, 23, 11205–11214. [Google Scholar] [CrossRef]
- Artan, M.Ş.; Şahin, İ. A stochastic model for reliability analysis of periodic train timetables. Transp. B Transp. Dyn. 2022, 1–18. [Google Scholar] [CrossRef]
- Fisher, R.A. On the mathematical foundations of theoretical statistics. Philos. Trans. R. Soc. Lond. Ser. A 1922, 222, 309–368. [Google Scholar]
- Corman, F.; Trivella, A.; Keyvan-Ekbatani, M. Stochastic process in railway traffic flow: Models, methods and implications. Transp. Res. Part C Emerg. Technol. 2021, 128, 103167. [Google Scholar] [CrossRef]
- Bertuccelli, L.F.; How, J.P. Estimation of non-stationary Markov Chain transition models. In Proceedings of the 2008 47th IEEE Conference on Decision and Control, Cancún, Mexico, 9–11 December 2008; pp. 55–60. [Google Scholar] [CrossRef]









| Study | Test Case | Variable | Structure | Dimension | Stationary | Dir i.h. 1 | Line i.h. 2 | Loc i.h. 3 |
|---|---|---|---|---|---|---|---|---|
| [28] | Hupac network (Europe) | Events | classic | 5 | no | no | yes | yes |
| [29] | Beijing-Shanghai (China), 1318 km, 24 stations | Events | classic | 3/10 | no | no | yes | yes |
| [5] | Istanbul-Ankara (Turkey), 150 km single-track line | Events | classic | 6 | yes | no | no | no |
| [38] | Umeå-Stockholm (Sweden), 711 km | Events | static | 2 | yes | no | no | no |
| [31] | Zurich-Chur (Switzerland), 95 km, 40 stations | Events | static | 1 | yes | no | no | no |
| [32] | St. Margrethen-Buchs (Switzerland), 40 km, 9 stations | Processes | elastic | 5 | no | no | yes | yes |
| [33] | Arifiye-Çukurhisar (Turkey), 162 km, 18 stations | Events | classic | 27 | yes | no | no | no |
| [39] | Leiden-Breda/Roosendaal (Netherlands), 112 km, 26 stations | Events | classic | 8 | no | yes | yes | yes |
| [40] | Haarlem-Den Haag & Amsertdam Centraal-Almere (The Netherlands) | Events | static | 7 | no | yes | yes | yes |
| This work | Zurich-Chur (Switzerland), 95 km, 40 stations | Processes | elastic | 2-30 | no | yes | yes | yes |
| State Boundary | Events/Classic | Events/Static | Processes/Classic | Processes/Static |
|---|---|---|---|---|
| State Boundary 1 | ||||
| State Boundary 2 | ||||
| State Boundary 3 | 0 | |||
| State Boundary 4 | 2 | 1 | ||
| State Boundary 5 | 4 | 3 | ||
| State Boundary 6 |
| Variable | Structure | Dimension | Stationary | MAE | RMSE | LoR | Supp. |
|---|---|---|---|---|---|---|---|
| Events | classic | 5 | yes | 0.88 | 1.51 | 0.26 | 6.00 |
| Events | static | 5 | yes | 0.95 | 1.67 | 0.24 | 1.60 |
| Events | elastic | 5 | yes | 0.94 | 0.67 | 0.23 | 1.65 |
| Events | classic | 5 | no | 0.55 | 1.30 | 0.30 | 6.00 |
| Events | static | 5 | no | 0.59 | 1.48 | 0.36 | 1.60 |
| Events | elastic | 5 | no | 0.47 | 1.24 | 0.41 | 1.24 |
| Processes | classic | 5 | yes | 0.90 | 1.17 | 0.26 | 6.00 |
| Processes | static | 5 | yes | 0.83 | 1.11 | 0.34 | 2.02 |
| Processes | elastic | 5 | yes | 0.83 | 1.10 | 0.34 | 2.13 |
| Processes | classic | 5 | no | 0.46 | 0.61 | 0.31 | 6.00 |
| Processes | static | 5 | no | 0.35 | 0.58 | 0.44 | 2.02 |
| Processes | elastic | 5 | no | 0.20 | 0.44 | 0.70 | 0.36 |
Disclaimer/Publisher’s Note: The statements, opinions and data contained in all publications are solely those of the individual author(s) and contributor(s) and not of MDPI and/or the editor(s). MDPI and/or the editor(s) disclaim responsibility for any injury to people or property resulting from any ideas, methods, instructions or products referred to in the content. |
© 2023 by the authors. Licensee MDPI, Basel, Switzerland. This article is an open access article distributed under the terms and conditions of the Creative Commons Attribution (CC BY) license (https://creativecommons.org/licenses/by/4.0/).
Share and Cite
Spanninger, T.; Büchel, B.; Corman, F. Train Delay Predictions Using Markov Chains Based on Process Time Deviations and Elastic State Boundaries. Mathematics 2023, 11, 839. https://doi.org/10.3390/math11040839
Spanninger T, Büchel B, Corman F. Train Delay Predictions Using Markov Chains Based on Process Time Deviations and Elastic State Boundaries. Mathematics. 2023; 11(4):839. https://doi.org/10.3390/math11040839
Chicago/Turabian StyleSpanninger, Thomas, Beda Büchel, and Francesco Corman. 2023. "Train Delay Predictions Using Markov Chains Based on Process Time Deviations and Elastic State Boundaries" Mathematics 11, no. 4: 839. https://doi.org/10.3390/math11040839
APA StyleSpanninger, T., Büchel, B., & Corman, F. (2023). Train Delay Predictions Using Markov Chains Based on Process Time Deviations and Elastic State Boundaries. Mathematics, 11(4), 839. https://doi.org/10.3390/math11040839

