Fractional-Order SEIRD Model for Global COVID-19 Outbreak
Abstract
1. Introduction
2. The Desired Fractional-Order Model
2.1. Feasibility Region
2.2. Reproduction Number and Equilibrium Points
2.3. Stability of Equilibrium Point
3. Existence and Uniqueness of Solution
4. Numerical Analysis
4.1. Numerical Method
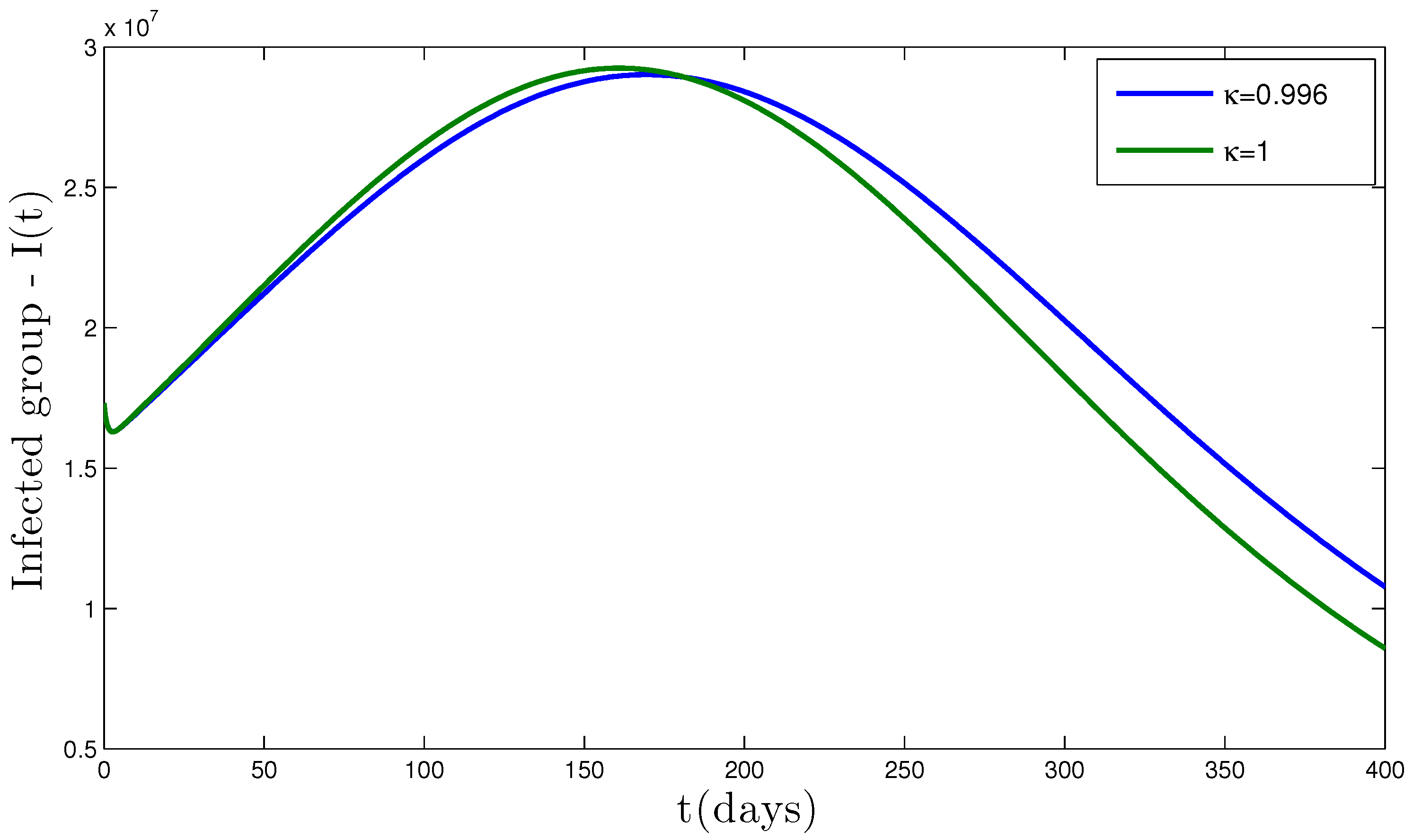
4.2. Numerical Simulation
4.3. Sensitivity of with Respect to Model Parameters
5. Discussion and Conclusions
Author Contributions
Funding
Data Availability Statement
Conflicts of Interest
References
- Wang, Y.; Sun, H.; Wei, J.; Liu, X.; Liu, T.; Fan, Y. A mathematical model of human heart including the effects of heart contractility varying with heart rate changes. J. Biomech. 2018, 25, 129–137. [Google Scholar] [CrossRef]
- Ghalavand, Y.; Rahimi, A.; Hatamipour, M.S. Mathematical modeling for humidifier performance in a compression desalination system: Insulation effects. Desalination 2018, 433, 48–55. [Google Scholar] [CrossRef]
- Xu, H.; Chen, B.; Tan, P.; Cai, W.; He, W.; Farrusseng, D.; Ni, M. Modeling of all porous solid oxide fuel cells. Appl. Energy 2018, 219, 105–113. [Google Scholar] [CrossRef]
- Aleisaa, E.; Al-Shayji, K. Ecological–economic modeling to optimize a desalination policy: Case study of an arid rentier state. Desalination 2018, 430, 64–73. [Google Scholar] [CrossRef]
- Shi, Y.; Wang, Y.; Cai, M.; Zhang, B.; Zhu, J. An aviation oxygen supply system based on a mechanical ventilation model. Chin. J. Aeronaut. 2018, 31, 197–204. [Google Scholar] [CrossRef]
- Zurman, A.; Sarmoria, C.; Brandolin, A.; Asteasuain, M. Mathematical modeling of reverse atom transfer radical polymerization in miniemulsion. Comput. Mater. Sci. 2018, 145, 48–59. [Google Scholar] [CrossRef]
- Jagirdar, M.; Lee, P.S. Mathematical modeling and performance evaluation of a desiccant coated fin-tube heat exchanger. Appl. Energy 2018, 212, 401–415. [Google Scholar] [CrossRef]
- Kosmidis, K.; Macheras, P. A fractal kinetics SI model can explain the dynamics of COVID-19 epidemics. PLoS ONE 2020, 15, e0237304. [Google Scholar] [CrossRef] [PubMed]
- Cooper, I.; Mondal, A.; Antonopoulos, C.G. A SIR model assumption for the spread of COVID-19 in different communities. Chaos Solitons Fractals 2020, 139, 110057. [Google Scholar] [CrossRef]
- Martínez, V. A Modified SIRD Model to Study the Evolution of the COVID-19 Pandemic in Spain. Symmetry 2021, 13, 723. [Google Scholar] [CrossRef]
- Youssef, H.M.; Alghamdi, N.A.; Ezzat, M.A.; El-Bary, A.A.; Shawky, M.A. A modified SEIR model applied to the data of COVID-19 spread in Saudi Arabia. AIP Adv. 2020, 10, 125210. [Google Scholar] [CrossRef] [PubMed]
- Lopez, L.; Rodo, X. A modified SEIR model to predict the COVID-19 outbreak in Spain and Italy: Simulating control scenarios and multi-scale epidemics. Results Phys. 2021, 21, 103746. [Google Scholar] [CrossRef] [PubMed]
- Groendyke, C.; Combs, A. Modifying the network-based stochastic SEIR model to account for quarantine: An application to COVID-19. Epidemiol. Methods 2021, 10, 20200030. [Google Scholar] [CrossRef]
- Khedher, N.B.; Kolsi, L.; Alsaifd, H. A multi-stage SEIR model to predict the potential of a new COVID-19 wave in KSA after lifting all travel restrictions. Alex. Eng. J. 2021, 60, 3965–3974. [Google Scholar] [CrossRef]
- Almeida, R.; Cruz, A.M.C.B.; Martins, N.; Monteiro, M.T.T. An epidemiologial MSEIR model described by the Caputo frational derivative. Int. J. Dynam. Control. 2019, 7, 776–784. [Google Scholar] [CrossRef]
- Koca, I. Analysis of rubella disease model with non-local and non-singular fractional derivatives. J. Theor. Appl. 2018, 8, 17–25. [Google Scholar] [CrossRef]
- Khan, M.A.; Hammouch, Z.; Baleanu, D. Modeling the dynamics of hepatitis B via the Caputo-Fabrizio derivative. Math. Model. Nat. Phenom. 2019, 14, 311. [Google Scholar] [CrossRef]
- Singh, J. Analysis of fractional blood alcohol model with composite fractional derivative. Chaos Solitons Andfractals 2020, 140, 110127. [Google Scholar] [CrossRef]
- Ullah, M.Z.; Alzahrani, A.K.; Baleanu, D. An efficient numerical technique for a new fractional tuberculosis model with nonsingular derivative operator. J. Taibah Univ. Sci. 2019, 13, 1147–1157. [Google Scholar] [CrossRef]
- Wang, J.L.; Li, H.F. Memory-dependent derivative versus fractional derivative (I): Difference in temporal modelling. J. Comput. Appl. Math. 2021, 384, 112923. [Google Scholar] [CrossRef]
- Pakhira, R.; Ghosh, U.; Sarkar, S. Study of Memory effects in an Inventory model using fractional calculus. Appl. Math. Sci. 2018, 12, 797–824. [Google Scholar] [CrossRef]
- Sun, H.G.; Chen, W.; Wei, H.; Chen, Y.Q. A comparative study of constant-order and variable-order fractional models in characterizing memory property of systems. Eur. Phys. J. Spec. Top. 2011, 193, 185–192. [Google Scholar] [CrossRef]
- Edelstein-Keshet, L. Mathematical Models in Biology; Random House: New York, NY, USA, 1988. [Google Scholar]
- Baleanu, D.; Mohammadi, H.; Rezapour, S. Analysis of the model of HIV-1 infection of CD4+ T-cell with a new approach of fractional derivative. Adv Differ Equ. 2020, 71, 1–17. [Google Scholar] [CrossRef]
- Dokuyucu, M.A.; Celik, E.; Bulut, H.; Baskonus, H.M. Cancer treatment model with the Caputo-Fabrizio fractional derivative. Eur. Phys. J. Plus 2018, 133, 92. [Google Scholar] [CrossRef]
- Kumar, D.; Singh, J.; Tanwar, K.; Baleanu, D. A new fractional exothermic reactions model having constant heat source in porous media with power, exponential and Mittag–Leffler laws. Int. J. Heat Mass Transfer. 2019, 138, 1222–1227. [Google Scholar] [CrossRef]
- Ozturk, I.; Ozkose, F. Stability analysis of fractional order mathematical model of tumor-immune system interaction. Chaos Solitons Fractals 2020, 133, 109614. [Google Scholar] [CrossRef]
- Alkahtani, B.S.T.; Atangana, A. Chaos on the Vallis Model for El Nino with Fractional Operators. Entropy 2016, 18, 100. [Google Scholar] [CrossRef]
- Pan, W.; Li, T.; Ali, S. A fractional order epidemic model for the simulation of outbreaks of Ebola. Adv Differ Equ. 2021, 161. [Google Scholar] [CrossRef]
- Rezapour, S.; Mohammadi, H.; Etemad, S. SEIR epidemic model for COVID-19 transmission by Caputo derivative of fractional order. Chaos Solitons Fractals 2020, 490, 1–19. [Google Scholar] [CrossRef] [PubMed]
- Alshomrani, A.S.; Ullah, M.Z.; Baleanu, D. Caputo SIR model for COVID-19 under optimized fractional order. Adv Differ Equ. 2021, 185, 1–17. [Google Scholar] [CrossRef]
- Khan, M.A.; Atangana, A. Modeling the dynamics of novel coronavirus(2019-nCov) with fractional derivative. Alexandria Eng. J. 2020, 59, 2379–2389. [Google Scholar] [CrossRef]
- Lu, Z.; Yu, Y.; Chen, Y.; Ren, G.; Xu, C.; Wang, S.; Yin, Z. A fractional-order SEIHDR model for COVID-19 with inter-city networked coupling effects. Nonlinear Dyn. 2020, 101, 1717–1730. [Google Scholar] [CrossRef] [PubMed]
- Baleanu, D.; Mohammadi, H.; Rezapour, S. A fractional differential equation model for the COVID-19 transmission by using the Caputo–Fabrizio derivative. Adv Differ Equ. 2020, 299, 1–27. [Google Scholar] [CrossRef]
- Aba Oud, M.A.; Ali, A.; Alrabaiah, H.; Ullah, S.; Khan, M.A.; Islam, S. A fractional order mathematical model for COVID-19 dynamics with quarantine, isolation, and environmental viral load. Adv Differ Equ. 2021, 106. [Google Scholar] [CrossRef] [PubMed]
- Araz, S.I. Analysis of a COVID-19 model: Optimal control, stability and simulations. Alex. Eng. J. 2021, 60, 647–658. [Google Scholar] [CrossRef]
- Van den Driessche, P.; Watmough, J. Reproduction numbers and subthreshold endemic equilibria for compartmental models of disease transmission. Math. Biosci. 2002, 180, 29–48. [Google Scholar] [CrossRef] [PubMed]
- Matignon, D. Stability results for fractional differential equations with applications to control processing. In IMACS; IEEE-SMC: Lille, France, 1996. [Google Scholar]
- Nazari, N.; Haeri, M.; Tavazoei, M.S. Phase Plane Characteristics of Marginally Stable Fractional Order Systems. Nonlinear Sci. Complex. 2011, 293–301. [Google Scholar] [CrossRef]
- Li, C.; Zeng, F. The finite difference methods for fractional ordinary differential equations. Numer. Funct. Anal. Optim. 2013, 34, 149–179. [Google Scholar] [CrossRef]
- George, N.; Tyagi, N.K.; Prasad, J.B. COVID-19 pandemic and its average recovery time in Indian states. Clin. Epidemiol. Glob. Health 2021, 11, 100740. [Google Scholar] [CrossRef]
- Khan, T.; Ullah, Z.; Ali, N.; Zaman, G. Modeling and control of the hepatitis B virus spreading using an epidemic model. Chaos Solitons Fractals 2019, 124, 1–9. [Google Scholar] [CrossRef]









| 10 | 20 | 30 | 40 | 50 | 60 | |
|---|---|---|---|---|---|---|
| Real data | 10,572,135 | 11,946,385 | 13,459,037 | 15,283,457 | 16,719,613 | 18,404,014 |
| () | 10,010,121 | 11,701,245 | 13,041,004 | 15,013,129 | 16,695,927 | 18,925,123 |
| () | 9,852,911 | 11,024,439 | 12,859,158 | 15,118,252 | 17,251,149 | 20,918,294 |
| 10 | 20 | 30 | 40 | 50 | 60 | |
|---|---|---|---|---|---|---|
| Real data | 10,572,135 | 11,946,385 | 13,459,037 | 15,283,457 | 16,719,613 | 18,404,014 |
| () | 10,010,121 | 11,701,245 | 13,041,004 | 15,013,129 | 16,695,927 | 18,925,123 |
| () | 9,813,057 | 11,029,157 | 12,918,150 | 14,715,219 | 17,118,405 | 19,581,249 |
Disclaimer/Publisher’s Note: The statements, opinions and data contained in all publications are solely those of the individual author(s) and contributor(s) and not of MDPI and/or the editor(s). MDPI and/or the editor(s) disclaim responsibility for any injury to people or property resulting from any ideas, methods, instructions or products referred to in the content. |
© 2023 by the authors. Licensee MDPI, Basel, Switzerland. This article is an open access article distributed under the terms and conditions of the Creative Commons Attribution (CC BY) license (https://creativecommons.org/licenses/by/4.0/).
Share and Cite
Yousif, R.; Jeribi, A.; Al-Azzawi, S. Fractional-Order SEIRD Model for Global COVID-19 Outbreak. Mathematics 2023, 11, 1036. https://doi.org/10.3390/math11041036
Yousif R, Jeribi A, Al-Azzawi S. Fractional-Order SEIRD Model for Global COVID-19 Outbreak. Mathematics. 2023; 11(4):1036. https://doi.org/10.3390/math11041036
Chicago/Turabian StyleYousif, Rana, Aref Jeribi, and Saad Al-Azzawi. 2023. "Fractional-Order SEIRD Model for Global COVID-19 Outbreak" Mathematics 11, no. 4: 1036. https://doi.org/10.3390/math11041036
APA StyleYousif, R., Jeribi, A., & Al-Azzawi, S. (2023). Fractional-Order SEIRD Model for Global COVID-19 Outbreak. Mathematics, 11(4), 1036. https://doi.org/10.3390/math11041036
