Market Demand Optimization Model Based on Information Perception Control
Abstract
1. Introduction
2. Literature Review
2.1. Consumers’ Perception of Value and Information
2.2. Dissemination Models and Methods of Information Network
2.3. Influence Maximization
3. Two-Layer Network Model Based on Information Perception
3.1. Model Analysis
3.1.1. Demand Analysis under Information Perception Control
3.1.2. Network Analysis under Information Perception Control
3.2. Model Design
3.2.1. Two-Layer Network Design
3.2.2. Overall Model Design
- Dissemination of product cognitive information
- 2.
- Dissemination of product quality information
4. Model Convergence Analysis
4.1. Mean Field Approximate Analysis
4.2. Market Demand Analysis
5. Model Simulation Experiment
6. Conclusions
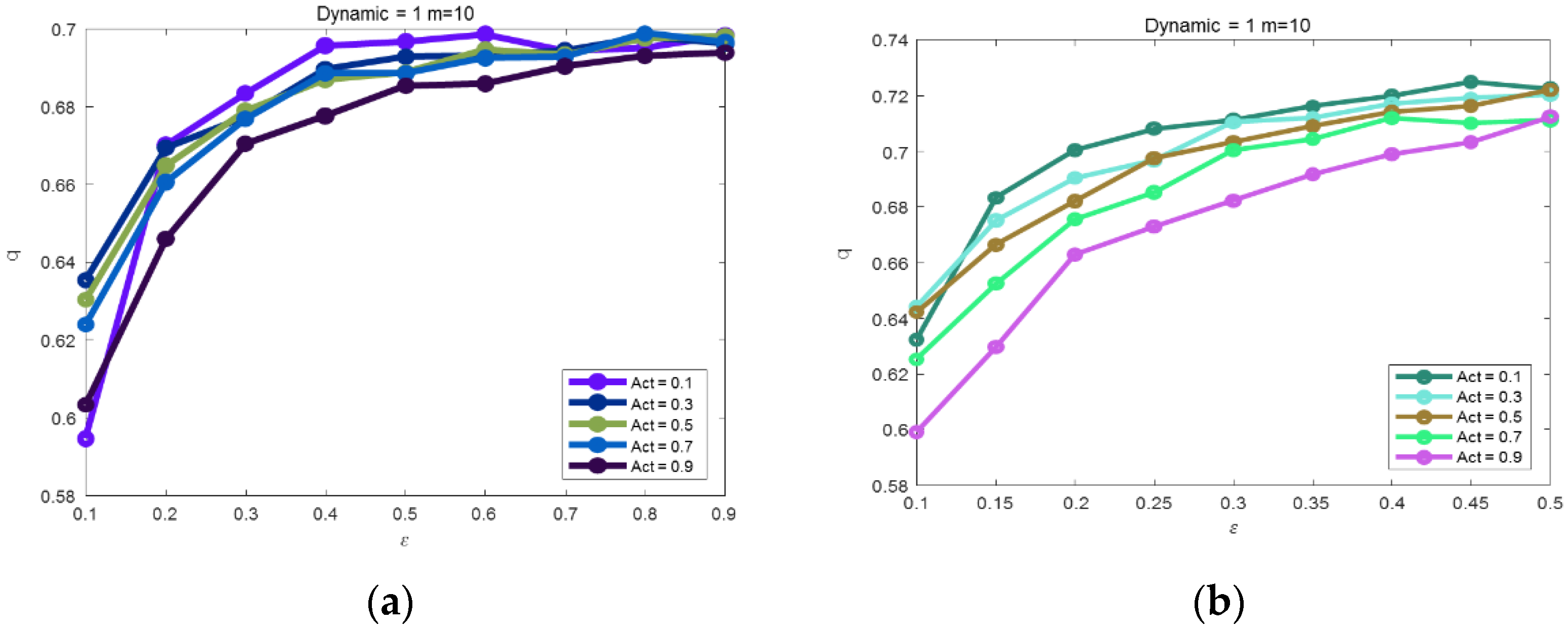
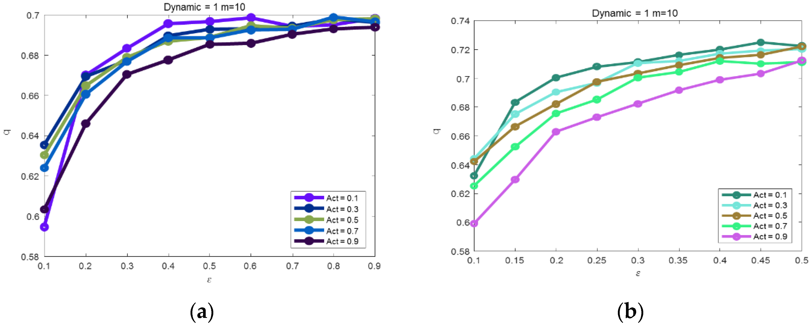
- When introducing opinion leaders in the cognitive network layer of the two-layer network used in this paper, it can be found that it is susceptible to be influenced by the opinion leaders in the cognitive network, and in the meantime, it can also have an impact on the market demand. Therefore, it is possible to control the whole network by influencing the cognitive layer in the two-tier network. From a corporate perspective, when corporations invest certain resources to influence the consumer market, these resources are invested in opinion leaders in the market that can increase market demand.
- From a network control perspective, it is not better to add more and more opinion leaders at the cognitive layer; as the number of opinion leaders increases, their impact on market demand decreases at the margin. In other words, adding core nodes in the network has a marginal decreasing impact on the effectiveness of the entire network. This is due to the fact that the marginal benefit of investment gradually decreases; therefore, enterprises need to consider the number of opinion leaders when selecting opinion leaders, so as to achieve the maximum benefit.
- When the nodes in the network are not susceptible to infection by neighboring nodes, then adding opinion leaders in the network cannot change the information perception of neighboring nodes, and thus, cannot influence the consumption demand. When personal information cognition has reached a high level or when personal information is difficult to be changed, enterprises should not invest external resources to achieve revenue improvement by changing information cognition.
Author Contributions
Funding
Data Availability Statement
Conflicts of Interest
References
- Tarde, G. The Laws of Imitation; Holt, H., Ed.; Read Books Limited: Redditch, UK, 1903. [Google Scholar]
- Zhang, Y.C. Supply and demand law under limited information. Phys. A Stat. Mech. Its Appl. 2005, 350, 500–532. [Google Scholar] [CrossRef]
- Yuan, G.; Han, J.; Zhou, L.; Liang, H.; Zhang, Y. Supply and demand law under variable information. Phys. A Stat. Mech. Its Appl. 2019, 536, 121004. [Google Scholar] [CrossRef]
- Zeithaml, V.A. Consumer perceptions of price, quality, and value: A means-end model and synthesis of evidence. J. Mark. 1988, 52, 2–22. [Google Scholar] [CrossRef]
- Babin, B.J.; Darden, W.R.; Griffin, M. Work and/or fun: Measuring hedonic and utilitarian shopping value. J. Consum. Res. 1994, 20, 644–656. [Google Scholar] [CrossRef]
- Grewal, D.; Monroe, K.; Krishnan, R. The effects of price-comparison advertising on buyers’ perceptions of acquisition value, transaction value, and behavioral intentions. J. Mark. 1998, 62, 46–59. [Google Scholar]
- Li, J.; Deng, Q. What influences the effect of texting-based instruction on vocabulary acquisition? Learners’ behavior and perception. Comput. Educ. 2018, 125, 284–307. [Google Scholar] [CrossRef]
- Cruz, T.; Rosa, L.; Proença, J.; Maglaras, L.; Aubigny, M.; Lev, L.; Jiang, J.; Simões, P. A cybersecurity detection framework for supervisory control and data acquisition systems. IEEE Trans. Ind. Inform. 2016, 12, 2236–2246. [Google Scholar] [CrossRef]
- Eggert, A.; Ulaga, W. Customer perceived value: A substitute for satisfaction in business markets? J. Bus. Ind. Mark. 2002, 17, 107–118. [Google Scholar] [CrossRef]
- Jiang, L.; Jun, M.; Yang, Z. Customer-perceived value and loyalty: How do key service quality dimensions matter in the context of B2C e-commerce? Serv. Bus. 2016, 10, 301–317. [Google Scholar] [CrossRef]
- Hung, S.; Cheng, M.; Chiu, P. Do antecedents of trust and satisfaction promote consumer loyalty in physical and virtual stores? A multi-channel view. Serv. Bus. 2019, 13, 1–23. [Google Scholar] [CrossRef]
- Zeithaml, V.; Parasuraman, A.; Malhotra, A. Service quality delivery through web sites: A critical review of extant knowledge. J. Acad. Mark. Sci. 2002, 30, 362–375. [Google Scholar] [CrossRef]
- Hua, L. Clustering Field Words by Character Extraction in Text Classification. Appl. Linguist. 2007, 1, 21–34. [Google Scholar]
- Lv, J.; Wu, Q.; Huang, J.; Zhu, S. Network Comments Data Mining-Based Analysis Method of Consumer’s Perceived Value. In Advances in Swarm and Computational Intelligence, Proceedings of the International Conference in Swarm Intelligence, Beijing, China, 25–28 June 2015; Springer: Cham, Switzerland, 2015; pp. 89–97. [Google Scholar]
- Garbarino, E.; Slonim, R. Interrelationships and distinct effects of internal reference prices on perceived expensiveness and demand. Psychol. Mark. 2003, 20, 227–248. [Google Scholar] [CrossRef]
- Zhang, J.; Li, S.; Zhang, S.; Dai, R. Manufacturer encroachment with quality decision under asymmetric demand information. Eur. J. Oper. Res. 2019, 273, 217–236. [Google Scholar] [CrossRef]
- Pandža Bajs, I. Tourist perceived value, relationship to satisfaction, and behavioral intentions: The example of the Croatian tourist destination Dubrovnik. J. Travel Res. 2015, 54, 122–134. [Google Scholar] [CrossRef]
- Sánchez-Fernández, R.; Iniesta-Bonillo, M.Á. The concept of perceived value: A systematic review of the research. Mark. Theory 2007, 7, 427–451. [Google Scholar] [CrossRef]
- Fang, J.; Wen, C.; George, B.; Prybutok, V. Consumer heterogeneity, perceived value, and repurchase decision-making in online shopping: The role of gender, age, and shopping motives. J. Electron. Commer. Res. 2016, 17, 116. [Google Scholar]
- Gottlieb, U.; Beatson, A. High on emotion! perceived value: Influencing decision-making processes at international student recruitment trade shows. J. Mark. High. Educ. 2018, 28, 282–297. [Google Scholar] [CrossRef]
- Fan, C.; Jin, Y.; Huo, L.A.; Liu, C.; Yang, Y.P.; Wang, Y.Q. Effect of individual behavior on the interplay between awareness and disease spreading in multiplex networks. Phys. A Stat. Mech. Its Appl. 2016, 461, 523–530. [Google Scholar] [CrossRef]
- Viswanath, B.; Mislove, A.; Cha, M.; Gummadi, K. On the evolution of user interaction in facebook. In Proceedings of the 2nd ACM Workshop on Online Social Networks, Barcelona, Spain, 17 August 2009; pp. 37–42. [Google Scholar]
- Hong, L.; Dan, O.; Davison, B.D. Predicting popular messages in twitter. In Proceedings of the 20th International Conference Companion on World Wide Web, Hyderabad, India, 28 March–1 April 2011; pp. 57–58. [Google Scholar]
- Chen, W.; Lin, T.; Tan, Z.; Zhao, M.; Zhou, X. Robust influence maximization. In Proceedings of the 22nd ACM SIGKDD International Conference on Knowledge Discovery and Data Mining, San Francisco, CA, USA, 13–17 August 2016; pp. 795–804. [Google Scholar]
- Li, Y.; Ju, F.; Wang, Y.; Tan, K.L. Influence maximization on social graphs: A survey. IEEE Trans. Knowl. Data Eng. 2018, 30, 1852–1872. [Google Scholar] [CrossRef]
- Lagrée, P.; Cappé, O.; Cautis, B.; Maniu, S. Algorithms for online influencer marketing. ACM Trans. Knowl. Discov. Data (TKDD) 2018, 13, 1–30. [Google Scholar] [CrossRef]
- Saito, K.; Nakano, R.; Kimura, M. Prediction of information diffusion probabilities for independent cascade model. In Knowledge-Based Intelligent Information and Engineering Systems, Proceedings of the International Conference on Knowledge-Based and Intelligent Information and Engineering Systems, Zagreb, Croatia, 3–5 September 2008; Springer: Berlin/Heidelberg, Germany, 2008; pp. 67–75. [Google Scholar]
- Jung, K.; Heo, W.; Chen, W. Irie: Scalable and robust influence maximization in social networks. In Proceedings of the 12th International Conference on Data Mining, Brussels, Belgium, 10–13 December 2012; pp. 918–923. [Google Scholar]
- Barbieri, N.; Bonchi, F.; Manco, G. Topic-aware social influence propagation models. Knowl. Inf. Syst. 2013, 37, 555–584. [Google Scholar] [CrossRef]
- Wei, J.; Bu, B.; Liang, L. Estimating the diffusion models of crisis information in micro blog. J. Informetr. 2012, 6, 600–610. [Google Scholar] [CrossRef]
- Dickison, M.E.; Magnani, M.; Rossi, L. Multilayer Social Networks; Cambridge University Press: Cambridge, UK, 2016. [Google Scholar]
- Kempe, D.; Kleinberg, J.; Tardos, É. Maximizing the spread of influence through a social network. In Proceedings of the 9th ACM SIGKDD International Conference on Knowledge Discovery and Data Mining, Washington, DC, USA, 24–27 August 2003; pp. 137–146. [Google Scholar]
- Pu, D.; Yuan, G. Two-sided matching model considering multi-information fusion of stakeholders. Expert Syst. Appl. 2023, 212, 118784. [Google Scholar] [CrossRef]
- Domingos, P.; Richardson, M. Mining the network value of customers. In Proceedings of the 7th ACM SIGKDD International Conference on Knowledge Discovery and Data Mining, San Francisco, CA, USA, 26–29 August 2001; pp. 57–66. [Google Scholar]
- Peng, H.; Huang, K.; Yang, L.; Yang, X.; Tang, Y. Dynamic maintenance strategy for word-of-mouth marketing. IEEE Access 2020, 8, 126496–126503. [Google Scholar] [CrossRef]
- Ren, J.; Liu, M.; Liu, Y.; Liu, J. Optimal resource allocation with spatiotemporal transmission discovery for effective disease control. Infect. Dis. Poverty 2022, 11, 34. [Google Scholar] [CrossRef]
- Paul, A.; Wu, Z.; Liu, K.; Gong, S. Personalized recommendation: From clothing to academic. Multimed. Tools Appl. 2022, 81, 14573–14588. [Google Scholar] [CrossRef]
- Binesh, N.; Ghatee, M. Distance-aware optimization model for influential nodes identification in social networks with independent cascade diffusion. Inf. Sci. 2021, 581, 88–105. [Google Scholar] [CrossRef]
- Blesa, M.; García-Rodríguez, P.; Serna, M. Forward and backward linear threshold ranks. In Proceedings of the 2021 IEEE/ACM International Conference on Advances in Social Networks Analysis and Mining, Virtual Event, 8–13 November 2021; pp. 265–269. [Google Scholar]
- Ali, A.; Wang, H.; Khan, A.N. Mechanism to enhance team creative performance through social media: A transactive memory system approach. Comput. Hum. Behav. 2019, 91, 115–126. [Google Scholar] [CrossRef]
- Granovetter, M. Threshold models of collective behavior. Am. J. Sociol. 1978, 83, 1420–1443. [Google Scholar] [CrossRef]
- Goldenberg, J.; Libai, B.; Muller, E. Talk of the network: A complex systems look at the underlying process of word-of-mouth. Mark. Lett. 2001, 12, 211–223. [Google Scholar] [CrossRef]
- Kempe, D.; Kleinberg, J.; Tardos, É. Influential nodes in a diffusion model for social networks. In Automata, Languages and Programming, Proceedings of the International Colloquium on Automata, Languages, and Programming, Lisbon, Portugal, 11–15 July 2005; Springer: Berlin/Heidelberg, Germany, 2005; pp. 1127–1138. [Google Scholar]
- Chen, W.; Wang, Y.; Yang, S. Efficient influence maximization in social networks. In Proceedings of the 15th ACM SIGKDD International Conference on Knowledge Discovery and Data Mining, Paris, France, 28 June–1 July 2009; pp. 199–208. [Google Scholar]
- Lv, S.; Pan, L. Influence maximization in independent cascade model with limited propagation distance. In Web Technologies and Applications, Proceedings of the Asia-Pacific Web Conference, Changsha, China, 5–7 September 2014; Springer: Cham, Switzerland, 2014; pp. 23–34. [Google Scholar]
- Yang, H.; Wang, C.; Xie, J. Maximizing influence spread in a new propagation model. In Rough Sets and Knowledge Technology, Proceedings of the International Conference on Rough Sets and Knowledge Technology, Chengdu, China, 17–20 August 2012; Springer: Berlin/Heidelberg, Germany, 2012; pp. 292–301. [Google Scholar]
- Azimi-Tafreshi, N. Cooperative epidemics on multiplex networks. Phys. Rev. E 2016, 93, 042303. [Google Scholar] [CrossRef]
- Saitis, C.; Järveläinen, H.; Fritz, C. The role of haptic cues in musical instrument quality perception. In Musical Haptics; Springer: Cham, Switzerland, 2018; pp. 73–93. [Google Scholar]
- Dey, S.; Sampath, A. Dynamic linkages between gold and equity prices: Evidence from Indian financial services and information technology companies. Financ. Res. Lett. 2018, 25, 41–46. [Google Scholar] [CrossRef]
- Eliseus, A.; Bilad, M.; Nordin, N.; Putra, Z.; Wirzal, H. Tilted membrane panel: A new module concept to maximize the impact of air bubbles for membrane fouling control in microalgae harvesting. Bioresour. Technol. 2017, 241, 661–668. [Google Scholar] [CrossRef]
- Lochmüller, H.J.T.; Le, C.; Jonker, A.; Lau, L.; Baynam, G. The International Rare Diseases Research Consortium: Policies and guidelines to maximize impact. Eur. J. Hum. Genet. 2017, 25, 1293–1302. [Google Scholar] [CrossRef]
- Hoang, D.T.; Niyato, D.; Wang, P.; Kim, D.I.; Han, Z. Ambient backscatter: A new approach to improve network performance for RF-powered cognitive radio networks. IEEE Trans. Commun. 2017, 65, 3659–3674. [Google Scholar] [CrossRef]
- Cai, W.; Chen, T.; Ryali, S.; Kochalka, J.; Li, C.-S.R.; Menon, V. Causal interactions within a frontal-cingulate-parietal network during cognitive control: Convergent evidence from a multisite–multitask investigation. Cereb. Cortex 2016, 26, 2140–2153. [Google Scholar] [CrossRef]
- Yuan, G.; Han, J.; Wang, Y.; Liang, H.; Li, G. The product demand model driven by consumer’s information perception and quality perception. Phys. A Stat. Mech. Its Appl. 2019, 535, 122352. [Google Scholar] [CrossRef]



Disclaimer/Publisher’s Note: The statements, opinions and data contained in all publications are solely those of the individual author(s) and contributor(s) and not of MDPI and/or the editor(s). MDPI and/or the editor(s) disclaim responsibility for any injury to people or property resulting from any ideas, methods, instructions or products referred to in the content. |
© 2023 by the authors. Licensee MDPI, Basel, Switzerland. This article is an open access article distributed under the terms and conditions of the Creative Commons Attribution (CC BY) license (https://creativecommons.org/licenses/by/4.0/).
Share and Cite
Yuan, G.; Liu, Z.; Wang, Y.; Pu, D. Market Demand Optimization Model Based on Information Perception Control. Mathematics 2023, 11, 783. https://doi.org/10.3390/math11030783
Yuan G, Liu Z, Wang Y, Pu D. Market Demand Optimization Model Based on Information Perception Control. Mathematics. 2023; 11(3):783. https://doi.org/10.3390/math11030783
Chicago/Turabian StyleYuan, Guanghui, Zhiqiang Liu, Yaqiong Wang, and Dongping Pu. 2023. "Market Demand Optimization Model Based on Information Perception Control" Mathematics 11, no. 3: 783. https://doi.org/10.3390/math11030783
APA StyleYuan, G., Liu, Z., Wang, Y., & Pu, D. (2023). Market Demand Optimization Model Based on Information Perception Control. Mathematics, 11(3), 783. https://doi.org/10.3390/math11030783
