Computational Analysis of the Fractional Riccati Differential Equation with Prabhakar-type Memory
Abstract
1. Introduction
2. Some Preliminary Definitions
3. Fundamental Description of HASTM
4. The Convergence and Uniqueness Analysis of the FRD Equation
5. Solution to the Fractional Riccati Equation
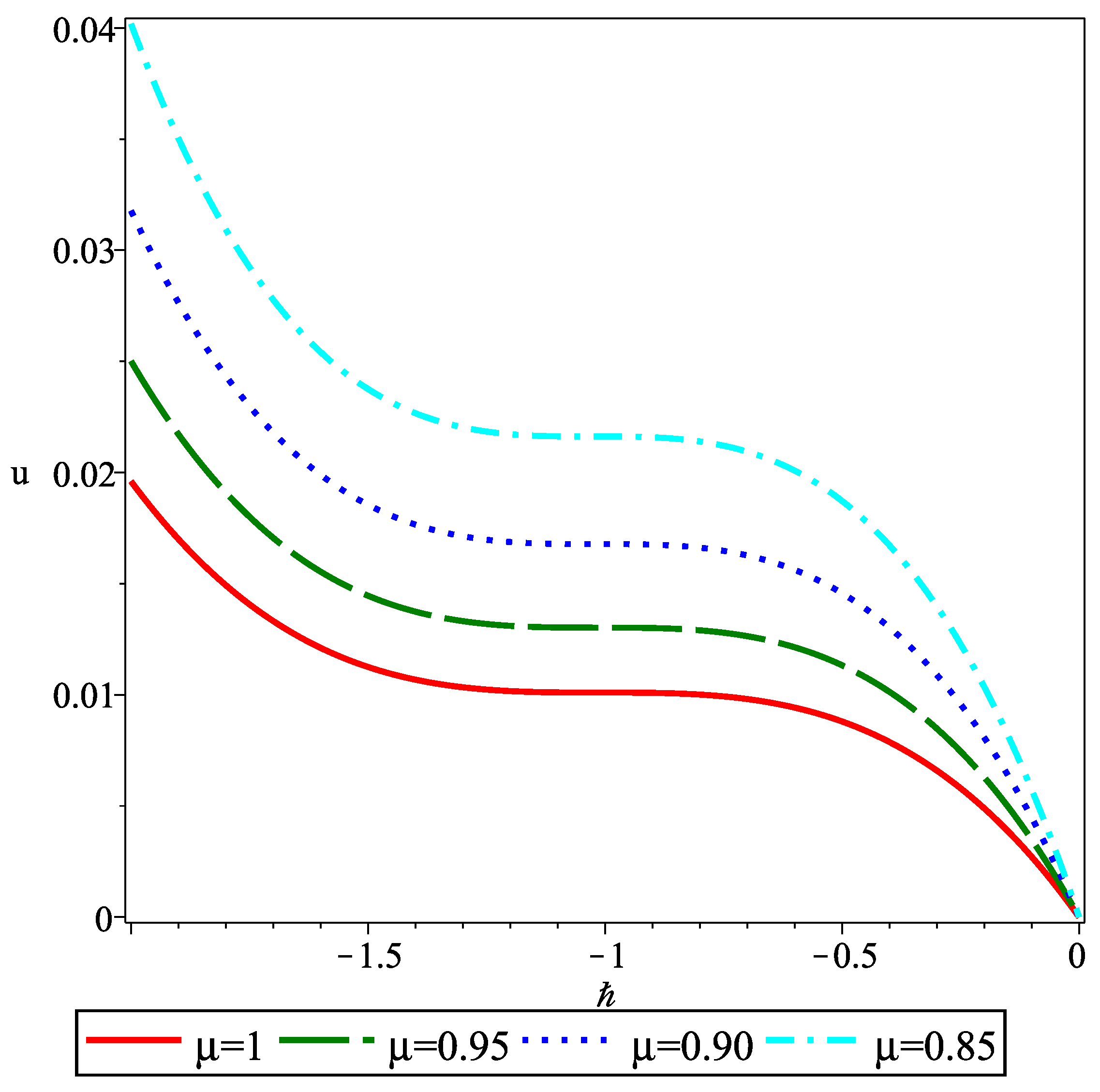
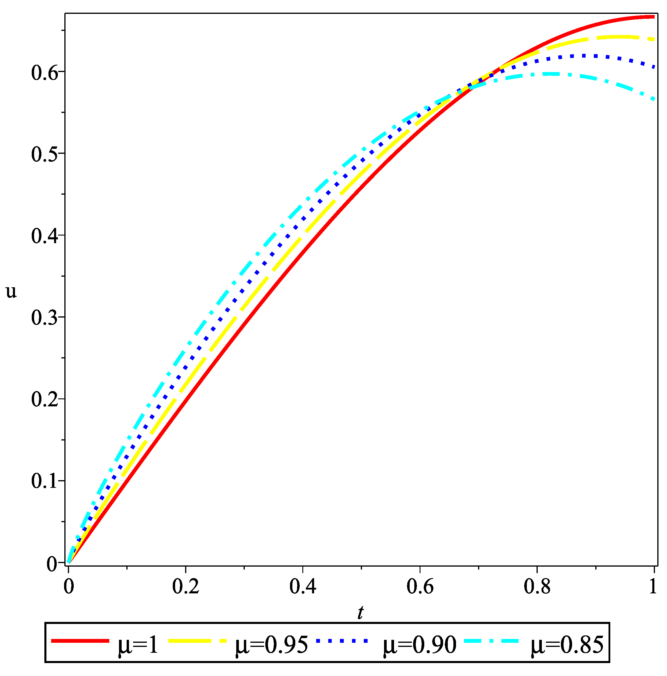
6. Numerical Outcomes
7. Conclusions
Author Contributions
Funding
Data Availability Statement
Acknowledgments
Conflicts of Interest
References
- Podlubny, I. Fractional Differential Equations; Academic Press: New York, NY, USA, 1999. [Google Scholar]
- Miller, K.S.; Ross, B. An Introduction to the Fractional Calculus and Fractional Differential Equations; John Wiley and Sons: New York, NY, USA, 1993. [Google Scholar]
- Oldham, K.B.; Spanier, J. The Fractional Calculus: Theory and Applications of Differentiation and Integration to Arbitrary Order; Academic Press: New York, NY, USA, 1974. [Google Scholar]
- Kilbas, A.A.; Srivastava, H.M.; Trujillo, J.J. Theory and Applications of Fractional Differential Equations; Elsevier: Amsterdam, The Netherlands, 2006. [Google Scholar]
- Singh, J.; Gupta, A.; Baleanu, D. On the analysis of an analytical approach for fractional Caudrey-Dodd-Gibbon equations. AlExample Eng. J. 2022, 61, 5073–5082. [Google Scholar] [CrossRef]
- Goswami, A.; Rathore, S.; Singh, J.; Kumar, D. Analytical study of fractional nonlinear Schrodinger equation with harmonic oscillator. Discrete Contin. Dyn. Syst.—S 2021, 14, 3589–3610. [Google Scholar] [CrossRef]
- Dubey, V.P.; Kumar, R.; Kumar, D.; Khan, I.; Singh, J. An efficient computational scheme for nonlinear time fractional systems of partial differential equations arising in physical sciences. Adv. Differ. Equ. 2020, 46. [Google Scholar] [CrossRef]
- Khan, N.A.; Ara, A.; Jamil, M. An efficient approach for solving the Riccati equation with fractional orders. Comput. Math. Appl. 2011, 61, 2683–2689. [Google Scholar] [CrossRef]
- Geng, F. A modified variational iteration method for solving Riccati differential equations. Comput. Math. Appl. 2010, 60, 1868–1872. [Google Scholar] [CrossRef]
- Merdan, M. On the solutions Fractional Riccati Differential Equation with Modified Riemann-Liouville Derivative. Int. J. Differ. Equ. 2012, 2012, 346089. [Google Scholar] [CrossRef]
- Sakar, M.G.; Akgul, A.; Baleanu, D. On solutions of fractional Riccati differential equations. Adv. Differ. Equ. 2017. [Google Scholar] [CrossRef]
- Ghomanjani, F.; Khorram, E. Approximate solution for quadratic Riccati differential equation. J. Taibah Univ. Sci. 2017, 12, 246–250. [Google Scholar] [CrossRef]
- Ezz-Eldien, S.S.; Machado, J.A.T.; Wang, Y.; Aldraiweesh, A.A. An algorithm for the Approximate solution of the fractional Riccati Differential Equation. Int. J. Nonlinear Sci. Numer. Simul. 2019, 20, 661–674. [Google Scholar] [CrossRef]
- Rasedee, A.F.N.; Sathar, H.A.; Ishak, N.; Hamzah, S.R.; Jamaludin, N.A. Numerical Approximation of Riccati type differential equations. ASM Sci. J. 2020, 13. [Google Scholar] [CrossRef]
- Ranjbar, A.; Hosseinnia, S.H.; Soltani, H.; Ghasemi, J. A solution of Riccati non-linear differential equation using Enhanced Homotopy Perturbation Method (EHPM). Int. J. Eng. Trans. 2008, 21, 27–38. [Google Scholar]
- Liu, X.; Kamran; Yao, Y. Numerical approximation of Riccati Fractional differential equation in the sense of Caputo-Type Fractional derivative. J. Math. 2020, 2020, 1274251. [Google Scholar] [CrossRef]
- Tan, Y.; Abbasbandy, S. Homotopy analysis method for quadratic Riccati differential equation. Commun. Nonlinear Sci. Numer. Simul. 2008, 13, 539–546. [Google Scholar] [CrossRef]
- Singh, J.; Kumar, D.; Baleanu, D.; Rathore, S. An efficient numerical algorithm for the fractional Drinfeld-Sokolov-Wilson equation. Appl. Math. Comput. 2018, 335, 12–24. [Google Scholar] [CrossRef]
- Prabhakar, T.R. A singular integral equation with a generalized Mittag-Leffler function in the kernel. Yokohama Math. J. 1971, 19, 7–15. [Google Scholar]
- D’Ovidio, M.; Polito, F. Fractional diffusion-telegraph equations and their associated stochastic solutions. Theory Probab. Appl. 2018, 62, 552–574. [Google Scholar] [CrossRef]
- Giusti, A.; Colombaro, I.; Garra, R.; Garrappa, R.; Polito, F.; Popolizio, M.; Mainardi, F. A practical guide to prabhakar fractional calculus. Fract. Calc. Appl. Anal. 2020, 23, 9–54. [Google Scholar] [CrossRef]
- Derakhshan, M.H.; Aminataei, A. Comparison of homotopy perturbation transform method and fractional Adams-Bashforth method for the Caputo-Prabhakar nonlienar fractional differential equations. Iranian J. Numer. Anal. Optim. 2020, 10, 63–85. [Google Scholar]
- Kilbas, A.A.; Saigo, M.; Saxena, R.K. Generalized Mittag-Leffler function and generalized fractional calculus operators. Integral Transform. Spec. Funct. 2004, 15, 31–49. [Google Scholar] [CrossRef]
- Garra, R.; Gorenflo, R.; Polito, F.; Tomovski, Z. Hilfer-Prabhakar derivatives and some applications. Appl. Math. Comput. 2014, 242, 576–589. [Google Scholar] [CrossRef]
- Giusti, A.; Colombaro, I. Prabhakar like fractional viscoelasticity. Comm. Nonlin. Sci. Num. Sim. 2018, 56, 138–143. [Google Scholar] [CrossRef]
- Watugala, G.K. Sumudu Transform-a new integral transform to solve differential equations and control engineering problems. Int. J. Math. Educ. Sci. Tech. 1993, 24, 35–43. [Google Scholar] [CrossRef]
- Chaurasia, V.B.L.; Singh, J. Application of Sumudu transform in Schrodinger equation occurring in quantum mechanics. Appl. Math. Sci. 2010, 4, 2843–2850. [Google Scholar]
- Belgacem, F.B.M.; Karaballi, A.A.; Kalla, S.L. Analytical investigations of the Sumudu transform and applications to integral production equations. Math. Probl. Eng. 2003, 3, 103–118. [Google Scholar] [CrossRef]
- Panchal, S.K.; Khandagale, A.D.; Dole, P.V. Sumudu transform of Hilfer-Prabhakar fractional derivatives with applications. Proceeding Natl. Conf. Recent Trends Math. 2017, 1, 60–66. [Google Scholar]
- Odibat, Z.; Bataineh, S.A. An adaptation of homotopy analysis method for reliable treatment of strongly nonlinear problems: Construction of homotopy polynomials. Math. Methods Appl. Sci. 2015, 38, 991–1000. [Google Scholar] [CrossRef]
- Argyros, I.K. Convergence and Applications of Newton-type Iterations; Springer: New York, NY, USA, 2008. [Google Scholar]
- Magrenan, A.A. A new tool to study real dynamics: The convergence plane. Appl. Math. Comput. 2014, 248, 215–224. [Google Scholar] [CrossRef]
- Haq, E.U.; Ali, M.; Khan, A.S. On the solution of fractional Riccati differential equations with variation of parameters method. Eng. Aappl. Sci. Lett. 2020, 3, 1–9. [Google Scholar]
- Agheli, B. Approximate solution for solving fractional Riccati differential equations via trignometric basic functions. Trans. A Razmadze Math. Inst. 2018, 172, 299–308. [Google Scholar] [CrossRef]









| t | Exact Solution | HASTM | Variation in Parameters Method [32] | Homotopy Perturbation Method [32] | Error of HASTM |
|---|---|---|---|---|---|
| 0.0 | 0.000000 | 0.000000 | 0.000000 | 0.000000 | 0 |
| 0.2 | 0.2419767992 | 0.2426666667 | 0.2419499764 | 0.2419648204 | 6.8986 × 10 |
| 0.4 | 0.5678121656 | 0.5813333333 | 0.5673979034 | 0.5681149562 | 1.3521 × 10 |
| 0.6 | 0.9535662155 | 1.032000000 | 0.9525886597 | 0.9582588343 | 7.8434 × 10 |
| 0.8 | 1.346363655 | 1.610666667 | 1.345789984 | 1.365239549 | 2.6430 × 10 |
| 1.0 | 1.689498390 | 2.333333333 | 1.688651308 | 1.723809524 | 6.4383 × 10 |
| t | Exact Solution | HASTM Solution | New Homotopy Perturbation Method [8] | Trignometric Transform Method [33] | Error of HASTM |
|---|---|---|---|---|---|
| 0.0 | 0.5000000000 | 0.5000000000 | 0.5000000000 | 0.500000 | 0 |
| 0.2 | 0.4501660027 | 0.4501666667 | 0.4501653361 | 0.450065 | 6.640 × 10 |
| 0.4 | 0.4013123399 | 0.4013333333 | 0.412910065 | 0.401178 | 2.099 × 10 |
| 0.6 | 0.3543436938 | 0.3545000000 | 0.3541816941 | 0.354203 | 1.563 × 10 |
| 0.8 | 0.3100255189 | 0.3106666667 | 0.3093428632 | 0.309897 | 6.411 × 10 |
| 1.0 | 0.2689414214 | 0.2708333333 | 0.2668582870 | 0.268837 | 1.892 × 10 |
| t | Exact Solution | HASTM Solution | Fractional Variational Iteration Method [10] | Modified Homotopy Perturbation Method [10] | Trignometric Transform Method [33] | Error of HASTM |
|---|---|---|---|---|---|---|
| 0.0 | 0 | 0 | 0 | 0 | 0 | 0 |
| 0.2 | 0.1973753203 | 0.1973333333 | 0.197375 | 0.197375 | 0.197773 | 04.1987 × 10 |
| 0.4 | 0.3799489622 | 0.3786666667 | 0.380005 | 0.379944 | 0.380422 | 1.28229 × 10 |
| 0.6 | 0.5370495670 | 0.5280000000 | 0.537923 | 0.536857 | 0.537449 | 9.0496 × 10 |
| 0.8 | 0.6640367702 | 0.6293333333 | 0.669695 | 0.661706 | 0.664037 | 3.4703 × 10 |
| 1.0 | 0.7615941560 | 0.6666666667 | 0.784126 | 0.746032 | 0.761671 | 9.4927 × 10 |
Disclaimer/Publisher’s Note: The statements, opinions and data contained in all publications are solely those of the individual author(s) and contributor(s) and not of MDPI and/or the editor(s). MDPI and/or the editor(s) disclaim responsibility for any injury to people or property resulting from any ideas, methods, instructions or products referred to in the content. |
© 2023 by the authors. Licensee MDPI, Basel, Switzerland. This article is an open access article distributed under the terms and conditions of the Creative Commons Attribution (CC BY) license (https://creativecommons.org/licenses/by/4.0/).
Share and Cite
Singh, J.; Gupta, A.; Kumar, D. Computational Analysis of the Fractional Riccati Differential Equation with Prabhakar-type Memory. Mathematics 2023, 11, 644. https://doi.org/10.3390/math11030644
Singh J, Gupta A, Kumar D. Computational Analysis of the Fractional Riccati Differential Equation with Prabhakar-type Memory. Mathematics. 2023; 11(3):644. https://doi.org/10.3390/math11030644
Chicago/Turabian StyleSingh, Jagdev, Arpita Gupta, and Devendra Kumar. 2023. "Computational Analysis of the Fractional Riccati Differential Equation with Prabhakar-type Memory" Mathematics 11, no. 3: 644. https://doi.org/10.3390/math11030644
APA StyleSingh, J., Gupta, A., & Kumar, D. (2023). Computational Analysis of the Fractional Riccati Differential Equation with Prabhakar-type Memory. Mathematics, 11(3), 644. https://doi.org/10.3390/math11030644

