A Weights Direct Determination Neural Network for International Standard Classification of Occupations
Abstract
1. Introduction
- A novel 3-layer feed-forward WASDMC-based NN for multiclass classification tasks is presented.
- A novel power maxout activation function is employed to increase the accuracy of WASDMC-based NN.
- Two publicly accessible ISCO datasets are considered, and the WASDMC-based NN performance is compared to some of the best-performing classification models that the MATLAB classification learner app has to offer.
- A different power activation function is also used to show how the proposed power maxout activation function behaves differently from other activation functions.
2. The WASDMC-Based NN Model
2.1. The WDD Process with the Power Maxout Activation Function
2.2. The WASDMC Algorithm and the NN Model
3. Data Preparation
- :
- It is necessary to develop a primary vocabulary for each class. To accomplish this, the different job titles that all fall under one class must be grouped together, and then they must be tokenized according to rules based on Unicode Standard Annex #29 [44], with all letters converted to lowercase and punctuation removed. As a result, given that there are m classes, we create the structure vector , where is the vocabulary of class j.
- :
- Consider that the NN model will be tested using s in number samples, each of which contains one job title. It is necessary to develop a vocabulary for each job title. To accomplish this, each job title must be tokenized according to rules based on Unicode Standard Annex #29 [44], with all letters converted to lowercase and punctuation removed. As a result, we create the structure vector , where is the vocabulary of some class.
- :
- Considering that some words of a vocabulary in G may belong to several different class vocabularies in V, we create an input matrix X for training and testing the model that includes the percentages of similarity between the vocabularies in G and the vocabularies in V. Particularly, the following process is taken into consideration to create the input matrix . Assume the aforementioned structure vectors V and G, where the vocabularies and have and amount of words, respectively, and that is a function that returns 1 (true) if the input strings are identical and 0 (false) otherwise (see [45]). Then, the percentage of the vocabulary that matches the vocabulary iswhere refers to the qth element (word) of the vocabulary , and the percentage of the vocabulary that matches the vocabulary is
- :
- To train the NN model, we create the input matrix . Given that there are m distinct classes, setting in step will create an input matrix . As a result, will include the percentages of similarity between the vocabularies in V. Additionally, we create the target vector , where each number from 1 to m corresponds to a single class.
- :
- To test the NN model, we create the input matrix . Given that there are s in number samples, step will create an input matrix . As a result, will include the percentages of similarity between the vocabularies in G and the vocabularies in V. Additionally, the numbers that the classes have taken in should be used to create the target vector .
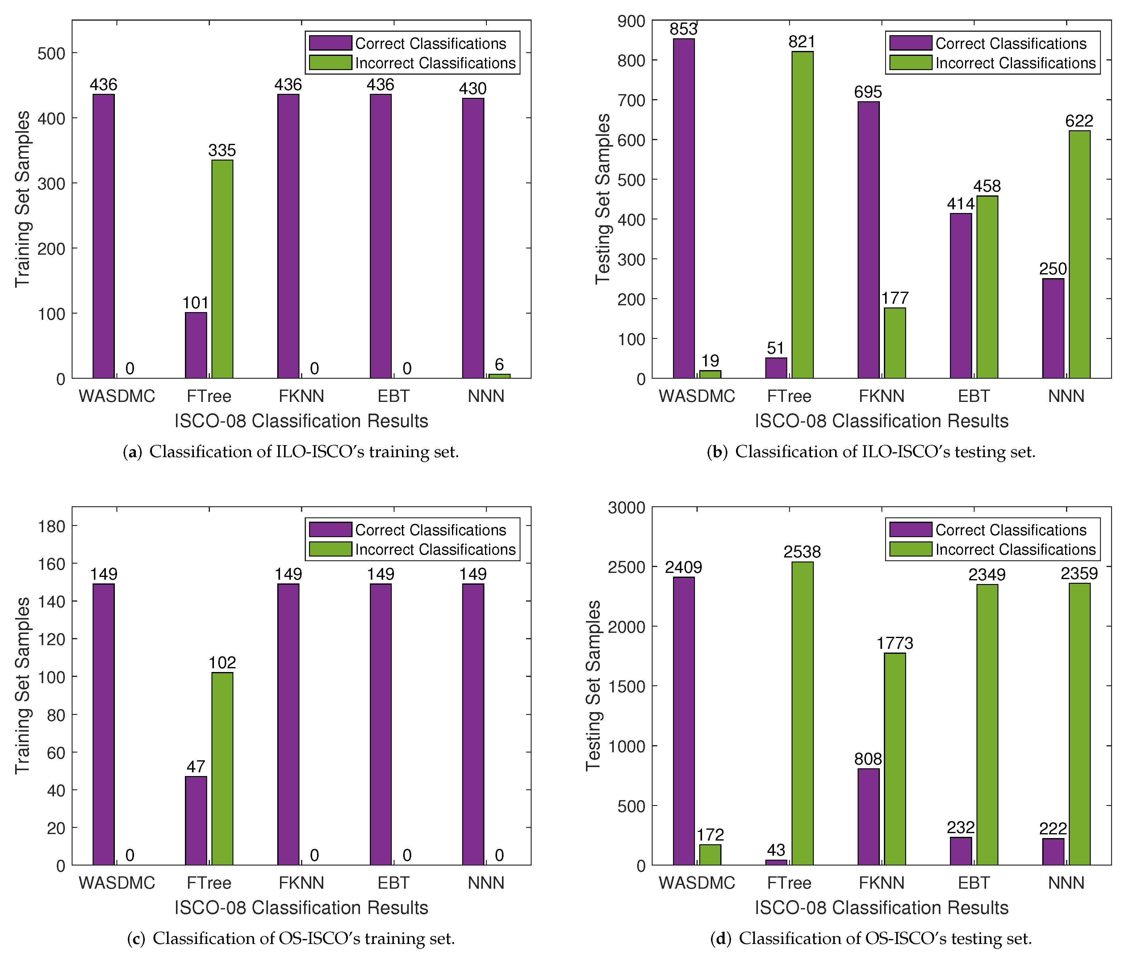
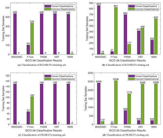
4. NNs Performance Assessment
5. Conclusions
- The availability of the data, which constrained the extent of our analysis, was a study limitation. That is, more testing could be done, more results would be obtained, and the conclusions would be strengthened even further if more ISCO classification datasets were made accessible to the public.
- Another option to assess and enhance the effectiveness and precision of a WASD algorithm is to incorporate a cluster validity method, comparable to the one used in conventional k-means clustering. With this method, a WASD algorithm can avoid identifying patterns in seemingly random data, which will enhance the performance of the WASD-based NN models.
- Applications in numerous scientific fields could show how the WASDMC-based NN model is more reliable than conventional NN models.
Author Contributions
Funding
Institutional Review Board Statement
Informed Consent Statement
Data Availability Statement
Conflicts of Interest
References
- Simos, T.E.; Katsikis, V.N.; Mourtas, S.D. A multi-input with multi-function activated weights and structure determination neuronet for classification problems and applications in firm fraud and loan approval. Appl. Soft Comput. 2022, 127, 109351. [Google Scholar] [CrossRef]
- Raj, R.J.S.; Shobana, S.J.; Pustokhina, I.V.; Pustokhin, D.A.; Gupta, D.; Shankar, K. Optimal feature selection-based medical image classification using deep learning model in internet of medical things. IEEE Access 2020, 8, 58006–58017. [Google Scholar] [CrossRef]
- Rahim, T.; Usman, M.A.; Shin, S.Y. A survey on contemporary computer-aided tumor, polyp, and ulcer detection methods in wireless capsule endoscopy imaging. Comput. Med. Imaging Graph. 2020, 85, 101767. [Google Scholar] [CrossRef] [PubMed]
- Bigdeli, B.; Pahlavani, P.; Amirkolaee, H.A. An ensemble deep learning method as data fusion system for remote sensing multisensor classification. Appl. Soft Comput. 2021, 110, 107563. [Google Scholar] [CrossRef]
- Rácz, A.; Bajusz, D.; Héberger, K. Effect of dataset size and train/test split ratios in QSAR/QSPR multiclass classification. Molecules 2021, 26, 1111. [Google Scholar] [CrossRef]
- Venkatesan, R.; Er, M.J. A novel progressive learning technique for multi-class classification. Neurocomputing 2016, 207, 310–321. [Google Scholar] [CrossRef]
- Mourtas, S.D.; Katsikis, V.N. Exploiting the Black-Litterman framework through error-correction neural networks. Neurocomputing 2022, 498, 43–58. [Google Scholar] [CrossRef]
- Mourtas, S.D. A weights direct determination neuronet for time-series with applications in the industrial indices of the federal reserve bank of St. Louis. J. Forecast. 2022, 14, 1512–1524. [Google Scholar] [CrossRef]
- Mourtas, S.D.; Katsikis, V.N.; Drakonakis, E.; Kotsios, S. Stabilization of stochastic exchange rate dynamics under central bank intervention using neuronets. Int. J. Inf. Technol. Decis. 2022, 1–29. [Google Scholar] [CrossRef]
- Simos, T.E.; Katsikis, V.N.; Mourtas, S.D. Multi-input bio-inspired weights and structure determination neuronet with applications in European Central Bank publications. Math. Comput. Simul. 2022, 193, 451–465. [Google Scholar] [CrossRef]
- Simos, T.E.; Katsikis, V.N.; Mourtas, S.D. A fuzzy WASD neuronet with application in breast cancer prediction. Neural Comput. Appl. 2021, 34, 3019–3031. [Google Scholar] [CrossRef]
- Daliri, M.R. A hybrid automatic system for the diagnosis of lung cancer based on genetic algorithm and fuzzy extreme learning machines. J. Med. Syst. 2012, 36, 1001–1005. [Google Scholar] [CrossRef]
- Chen, L.; Huang, Z.; Li, Y.; Zeng, N.; Liu, M.; Peng, A.; Jin, L. Weight and structure determination neural network aided with double pseudoinversion for diagnosis of flat foot. IEEE Access 2019, 7, 33001–33008. [Google Scholar] [CrossRef]
- Gayathri, S.; Krishna, A.K.; Gopi, V.P.; Palanisamy, P. Automated binary and multiclass classification of diabetic retinopathy using Haralick and multiresolution features. IEEE Access 2020, 8, 57497–57504. [Google Scholar] [CrossRef]
- Mourtas, S.; Katsikis, V.; Kasimis, C. Feedback control systems stabilization using a bio-inspired neural network. Eai Endorsed Trans. Robot. 2022, 1, 1–13. [Google Scholar] [CrossRef]
- Huang, H.; Fu, D.; Xiao, X.; Ning, Y.; Wang, H.; Jin, L.; Liao, S. Modified Newton integration neural algorithm for dynamic complex-valued matrix pseudoinversion applied to mobile object localization. IEEE Trans. Ind. Infor. 2020, 17, 2432–2442. [Google Scholar] [CrossRef]
- Premalatha, N.; Arasu, A.V. Prediction of solar radiation for solar systems by using ANN models with different back propagation algorithms. J. Appl. Res. Technol. 2016, 14, 206–214. [Google Scholar] [CrossRef]
- Huang, C.; Jia, X.; Zhang, Z. A modified back propagation artificial neural network model based on genetic algorithm to predict the flow behavior of 5754 aluminum alloy. Materials 2018, 11, 855. [Google Scholar] [CrossRef]
- Groes, F.; Kircher, P.; Manovskii, I. The U-shapes of occupational mobility. Rev. Econ. Stud. 2015, 82, 659–692. [Google Scholar] [CrossRef]
- Khalis, M.; Charbotel, B.; Fort, E.; Chajes, V.; Charaka, H.; Rhazi, K.E. Occupation and female breast cancer: A case-control study in Morocco. Rev. Épidémiol. Santé Publique 2018, 66, S302. [Google Scholar] [CrossRef]
- Heinesen, E.; Imai, S.; Maruyama, S. Employment, job skills and occupational mobility of cancer survivors. J. Health Econ. 2018, 58, 151–175. [Google Scholar] [CrossRef] [PubMed]
- Generalao, I.N. Measuring the telework potential of jobs: Evidence from the international standard classification of occupations. Philipp. Rev. Econ. 2021, 58, 92–127. [Google Scholar] [CrossRef]
- Choi, S.B.; Yoon, J.H.; Lee, W. The modified international standard classification of occupations defined by the clustering of occupational characteristics in the Korean working conditions survey. Ind. Health 2020, 58, 132–141. [Google Scholar] [CrossRef] [PubMed]
- Züll, C. The coding of occupations. In GESIS Survey Guidelines; GESIS–Leibniz Institute for the Social Sciences: Mannheim, Germany, 2016. [Google Scholar] [CrossRef]
- Marc, D.T.; Dua, P.; Fenton, S.H.; Lalani, K.; Butler-Henderson, K. The Health Information Workforce; Health Informatics; Chapter Occupational Classifications in the Health Information Disciplines; Springer: Cham, Switzerland, 2021; pp. 71–78. [Google Scholar] [CrossRef]
- Uter, W. Kanerva’s Occupational Dermatology; Chapter Classification of Occupations; Springer: Berlin/Heidelberg, Germany, 2012. [Google Scholar] [CrossRef]
- Aalto-Korte, K.; Koskela, K.; Pesonen, M. 12-year data on skin diseases in the Finnish register of occupational diseases II: Risk occupations with special reference to allergic contact dermatitis. Contact Dermat. 2020, 82, 343–349. [Google Scholar] [CrossRef]
- Trzaskawka, P. Names of music professions–a linguistic case study. Analele Univ. Ovidius Constanţa Ser. Filol. 2020, 31, 90–105. [Google Scholar]
- Kuodytė, V.; Petkevičius, L. Education-to-skill mapping using hierarchical classification and transformer neural network. Appl. Sci. 2021, 11, 5868. [Google Scholar] [CrossRef]
- Lovaglio, P.G.; Cesarini, M.; Mercorio, F.; Mezzanzanica, M. Skills in demand for ICT and statistical occupations: Evidence from web-based job vacancies. Stat. Anal. Data Min. 2018, 11, 78–91. [Google Scholar] [CrossRef]
- Liu, J.; Ng, Y.C.; Gui, Z.; Singhal, T.; Blessing, L.T.M.; Wood, K.L.; Lim, K.H. Title2Vec: A contextual job title embedding for occupational named entity recognition and other applications. J. Big Data 2022, 9, 99. [Google Scholar] [CrossRef]
- Matbouli, Y.T.; Alghamdi, S.M. Statistical machine learning regression models for salary prediction featuring economy wide activities and occupations. Information 2022, 13, 495. [Google Scholar] [CrossRef]
- Malandri, L.; Mercorio, F.; Mezzanzanica, M.; Nobani, N. MEET-LM: A method for embeddings evaluation for taxonomic data in the labour market. Comput. Ind. 2021, 124, 103341. [Google Scholar] [CrossRef]
- Zhang, Y.; Chen, D.; Ye, C. Deep Neural Networks: WASD Neuronet Models, Algorithms, and Applications; CRC Press: Boca Raton, FL, USA, 2019. [Google Scholar]
- Zhang, Y.; Yu, X.; Xiao, L.; Li, W.; Fan, Z.; Zhang, W. Weights and structure determination of articial neuronets. In Self-Organization: Theories and Methods; Nova Science: New York, NY, USA, 2013. [Google Scholar]
- Zhang, Y.; Yin, Y.; Guo, D.; Yu, X.; Xiao, L. Cross-validation based weights and structure determination of Chebyshev-polynomial neural networks for pattern classification. Pattern Recognit. 2014, 47, 3414–3428. [Google Scholar] [CrossRef]
- Zhang, Y.; Wang, R.; Lao, W.; Deng, J. Signum-function-activated WASD neuronet and its XOR application. Acta Sci. Nat. Univ. Sunyatseni 2014, 53, 1–7. [Google Scholar]
- Zhang, Y.; Guo, D.; Luo, Z.; Zhai, K.; Tan, H. CP-activated WASD neuronet approach to Asian population prediction with abundant experimental verification. Neurocomputing 2016, 198, 48–57. [Google Scholar] [CrossRef]
- Zeng, T.; Zhang, Y.; Li, Z.; Qiu, B.; Ye, C. Predictions of USA presidential parties from 2021 to 2037 using historical data through square wave-activated WASD neural network. IEEE Access 2020, 8, 56630–56640. [Google Scholar] [CrossRef]
- Zhang, Y.; Lao, W.; Jin, L.; Chen, T.; Liu, J. Growing-type WASD for power-activation neuronet to model and forecast monthly time series. In Proceedings of the 2013 10th IEEE International Conference on Control and Automation (ICCA), Hangzhou, China, 12–14 June 2013; pp. 1312–1317. [Google Scholar] [CrossRef]
- Goodfellow, I.J.; Warde-Farley, D.; Mirza, M.; Courville, A.; Bengio, Y. Maxout networks. arXiv 2013, arXiv:1302.4389. [Google Scholar]
- ISCO-08 Structure and Definitions. Available online: https://www.ilo.org/ilostat-files/ISCO/newdocs-08-2021/ISCO-08/ISCO-08\EN\Structure\and\definitions.xlsx (accessed on 18 December 2022).
- Varelas, G.; Lagios, D.; Ntouroukis, S.; Zervas, P.; Parsons, K.; Tzimas, G. Employing natural language processing techniques for online job vacancies classification. In Artificial Intelligence Applications and Innovations. AIAI 2022 IFIP WG 12.5 International Workshops. AIAI 2022; IFIP Advances in Information and Communication, Technology; Maglogiannis, I., Iliadis, L., Macintyre, J., Cortez, P., Eds.; Springer: Cham, Switzerland, 2022; Volume 652, pp. 333–344. [Google Scholar] [CrossRef]
- Davis, M.; Iancu, L. Unicode text segmentation. Unicode Stand. Annex. 2018, 29, 65. [Google Scholar]
- Gupta, A.K. Numerical Methods Using MATLAB; MATLAB Solutions Series, Berkley; Springer Press: New York, NY, USA, 2014. [Google Scholar]
- Kim, P. MATLAB Deep Learning: With Machine Learning, Neural Networks and Artificial Intelligence; Apress: Berkeley, CA, USA, 2017. [Google Scholar] [CrossRef]
- WASD-Based Neural Network for Multiclass Classification. Available online: https://github.com/SDMourtas/WASDMC (accessed on 21 December 2022).
- Tharwat, A. Classification assessment methods. Appl. Comput. Inf. 2020, 17, 168–192. [Google Scholar] [CrossRef]
- McHugh, M.L. Interrater reliability: The kappa statistic. Biochem. Med. 2012, 22, 276–282. [Google Scholar] [CrossRef]



| Neural Network Models | ||||||
|---|---|---|---|---|---|---|
| ILO-ISCO | WASDMC | WASDMC-PAF | FTree | FKNN | EBT | NNN |
| TC | 0.1882 s | 1.0407 s | 4.0399 s | 1.0738 s | 14.8563 s | 42.8813 s |
| MU | 4.6925 MB | 4.6925 MB | 7.5769 MB | 6.2226 MB | 92.3990 MB | 6.3485 MB |
| TA | 1 | 0.0229 | 0.2317 | 1 | 1 | 0.9794 |
| MAE | 1.2580 | 86.1238 | 162.0447 | 10.4610 | 31.7133 | 81.8543 |
| Accuracy | 0.9782 | 0.0229 | 0.0584 | 0.7970 | 0.4782 | 0.2637 |
| Sensitivity | 0.9858 | 0.4417 | 0.9160 | 0.9285 | 0.7833 | 0.6370 |
| Specificity | 0.9999 | 0.9977 | 0.9978 | 0.9995 | 0.9988 | 0.9983 |
| Precision | 0.9782 | 0.0229 | 0.0584 | 0.7970 | 0.4782 | 0.2637 |
| FPR | 0.0022 | 0.0021 | 0.0011 | 0.0016 | ||
| F-score | 0.9756 | 0.5678 | 0.0727 | 0.7892 | 0.4900 | 0.4103 |
| MCC | 0.9821 | 0.4462 | 0.9165 | 0.8942 | 0.7719 | 0.6568 |
| Cohen’s | 0.9782 | 0.0207 | 0.0563 | 0.7966 | 0.4770 | 0.2621 |
| Neural Network Models | ||||||
|---|---|---|---|---|---|---|
| OS-ISCO | WASDMC | WASDMC-PAF | FTree | FKNN | EBT | NNN |
| TC | 0.0138 s | 0.0846 s | 0.5327 s | 0.2275 s | 2.6160 s | 2.040 s |
| MU | 3.3539 MB | 3.3539 MB | 3.7661 MB | 3.5534 MB | 14.8418 MB | 3.6103 MB |
| TA | 1 | 0.0403 | 0.3154 | 1 | 1 | 0.9933 |
| MAE | 2.0987 | 68.7791 | 56.5947 | 19.5877 | 36.8442 | 38.7617 |
| Accuracy | 0.9333 | 0.0058 | 0.0166 | 0.3130 | 0.0840 | 0.0867 |
| Sensitivity | 0.9170 | 0.6779 | 0.7612 | 0.5792 | 0.3425 | 0.2863 |
| Specificity | 0.9995 | 0.9933 | 0.9934 | 0.9953 | 0.9938 | 0.9938 |
| Precision | 0.9633 | 0.0402 | 0.1556 | 0.7699 | 0.4661 | 0.3967 |
| FPR | 0.0067 | 0.0066 | 0.0046 | 0.0061 | 0.0061 | |
| F-score | 0.9222 | 0.3490 | 0.1143 | 0.5045 | 0.3281 | 0.4134 |
| MCC | 0.9293 | 0.6798 | 0.7796 | 0.5751 | 0.3347 | 0.3095 |
| Cohen’s | 0.9278 | 0.0023 | 0.0145 | 0.3094 | 0.0818 | 0.0810 |
Disclaimer/Publisher’s Note: The statements, opinions and data contained in all publications are solely those of the individual author(s) and contributor(s) and not of MDPI and/or the editor(s). MDPI and/or the editor(s) disclaim responsibility for any injury to people or property resulting from any ideas, methods, instructions or products referred to in the content. |
© 2023 by the authors. Licensee MDPI, Basel, Switzerland. This article is an open access article distributed under the terms and conditions of the Creative Commons Attribution (CC BY) license (https://creativecommons.org/licenses/by/4.0/).
Share and Cite
Lagios, D.; Mourtas, S.D.; Zervas, P.; Tzimas, G. A Weights Direct Determination Neural Network for International Standard Classification of Occupations. Mathematics 2023, 11, 629. https://doi.org/10.3390/math11030629
Lagios D, Mourtas SD, Zervas P, Tzimas G. A Weights Direct Determination Neural Network for International Standard Classification of Occupations. Mathematics. 2023; 11(3):629. https://doi.org/10.3390/math11030629
Chicago/Turabian StyleLagios, Dimitris, Spyridon D. Mourtas, Panagiotis Zervas, and Giannis Tzimas. 2023. "A Weights Direct Determination Neural Network for International Standard Classification of Occupations" Mathematics 11, no. 3: 629. https://doi.org/10.3390/math11030629
APA StyleLagios, D., Mourtas, S. D., Zervas, P., & Tzimas, G. (2023). A Weights Direct Determination Neural Network for International Standard Classification of Occupations. Mathematics, 11(3), 629. https://doi.org/10.3390/math11030629

