Queueing System with Potential for Recruiting Secondary Servers
Abstract
1. Introduction
2. Mathematical Model
3. Approach to the Steady State Analysis
3.1. Description of the Process Governing the System and Its Generator
- •
- is the number of customers in the system,
- •
- is the number of customers in service at the secondary server, ; (note that when , the system does not have a secondary server);
- •
- is the state of the underlying process of the describing the arrivals of the customers,
- •
- O and I are, respectively, zero and identity matrices of appropriate dimensions as indicated in the suffix;
- •
- •
- is a matrix of dimension with and all other entries are zero;
- •
- is a square matrix of dimension with and all other entries are zero;
- •
- is a square matrix of dimension with and all other entries are zero;
- •
- is a square matrix of dimension with , and all other entries are zero;
- •
- is a matrix of dimension with and all other entries are zero;
- •
- is the matrix of dimension with and all other entries are zero;
- •
- is the matrix of dimension with and all other entries are zero;
- •
- is the matrix of dimension with and all other entries are zero.
3.2. Ergodicity Condition of the Process
3.3. Computation of the Stationary Distribution of the Process
3.4. Computation of the Performance Measures of the System
- The probability that the system is idle at an arbitrary time is computed as
- The probability that the system is idle at an arrival epoch is computed as
- The probability that the main server is idle at an arbitrary time is computed as
- The probability that the main server is idle at an arrival epoch is computed as
- The probability that the secondary server is not presenting in the system at an arbitrary time is computed as
- The probability that the main server is busy while the secondary is idle at an arbitrary time is computed as
- The probability that the secondary server is present in the system while the main server is idle at an arbitrary time is computed as
- The mean number of customers in the system at an arbitrary time is computed as
- The mean number of customers in the buffer and with the main server at an arbitrary time is computed as
- The mean number of customers with the secondary server at an arbitrary time is computed as
- The rate of customers departing from the system via the main server is computed as
- The rate of customers departing from the system via the secondary server is computed as
- The fraction of customers served by the main server, , is computed as
- The fraction of customers served by the secondary server, , is computed as
- The rate of dissatisfied customers (returning to the main server from the secondary server) is computed as
- For the steady state vector given in Equation (12), it should be clear that
- The following relationship between various rates should hold good
4. Approach
- Suppose that is the invariant vector of . Then, the vector is explicitly obtained as
- The stability condition, , reduces to the inequality given in Equation (5).
- Suppose R denotes the rate matrix. Then R satisfies the nonlinear matrix equation given byUsing the probabilistic interpretation of the rate matrix (or using the structure of the coefficient matrices), it is easy to verify that R is lower triangular. This fact, along with the structure of the coefficient matrices, can be exploited in computing R.
- Denoting to be the steady state probability vector of the generator as given in Equation (Section 4), we get the classic matrix-geometric solution here. That is, we havewhere is obtained by solving the following system of linear equations:One can develop the system performance measures for this approach similar to the one done for the approach. The details are omitted. It should be pointed out that we used this approach to validate the numerical results obtained using the approach as another accuracy check.
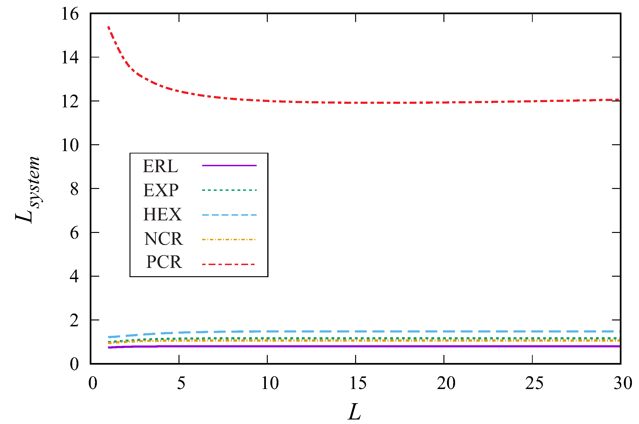
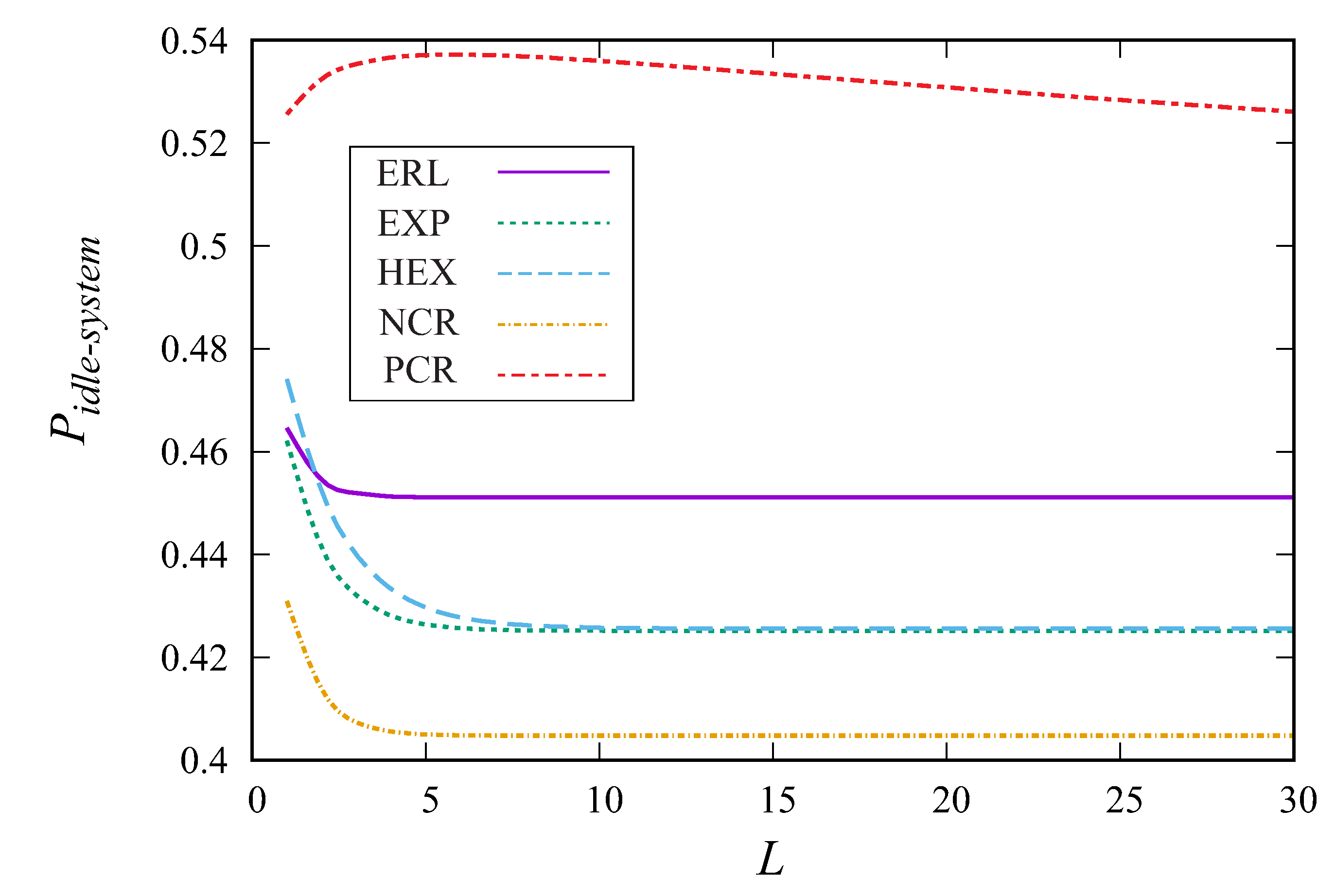
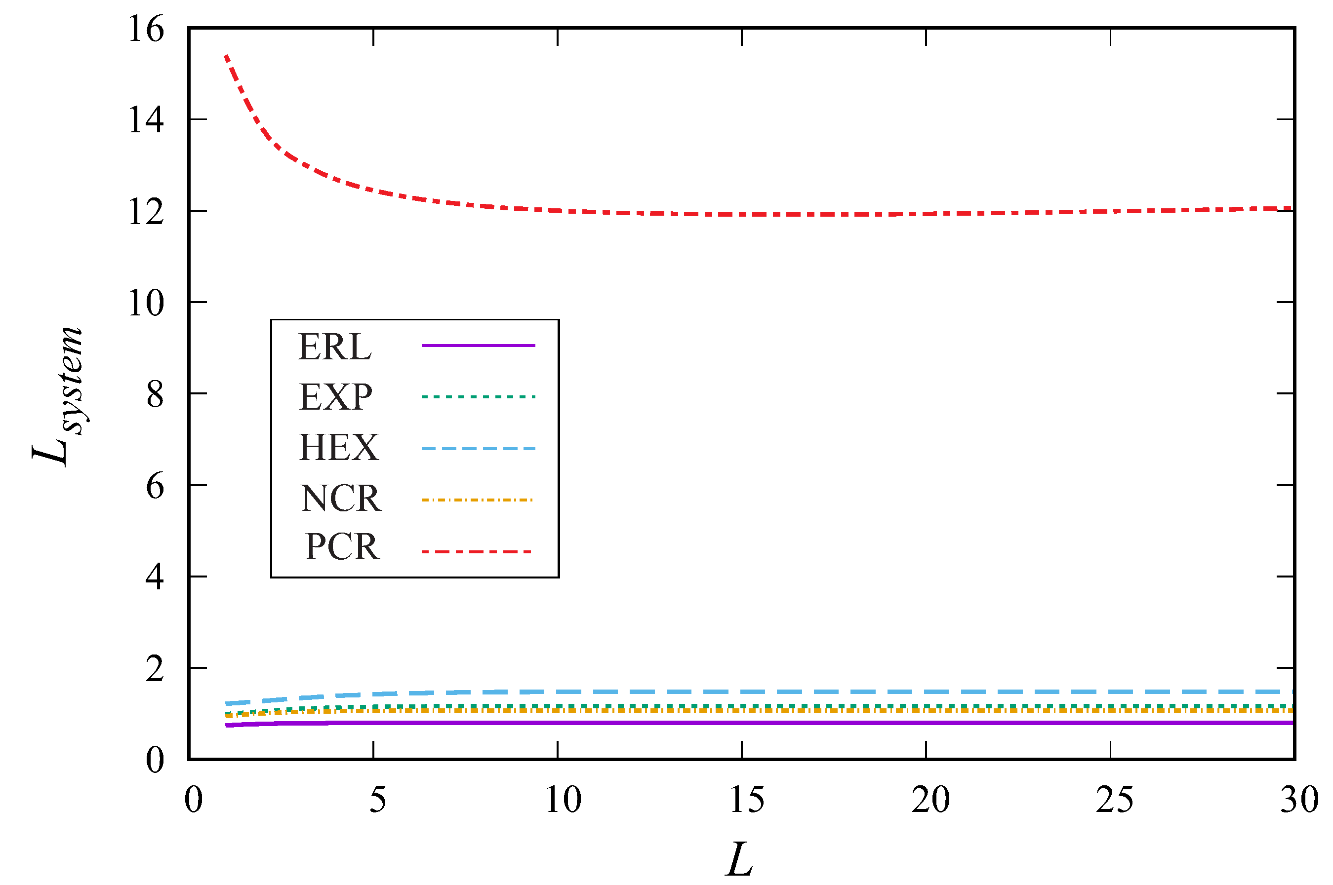
5. Numerical Examples
6. Conclusions
Author Contributions
Funding
Data Availability Statement
Acknowledgments
Conflicts of Interest
References
- Chaurasia, N.; Kumar, M.; Chaudhry, R.; Verma, O.P. Comprehensive survey on energy-aware server consolidation techniques in cloud computing. J. Supercomput. 2021, 77, 11682–11737. [Google Scholar] [CrossRef]
- Maccio, V.J.; Down, D.G. Structural properties and exact analysis of energy-aware multiserver queueing systems with setup times. Perform. Eval. 2018, 121, 48–66. [Google Scholar] [CrossRef]
- Mitrani, I. Trading power consumption against performance by reserving blocks of servers. In Computer Performance Engineering; Springer: Berlin/Heidelberg, Germany, 2013; pp. 1–15. [Google Scholar]
- Mitrani, I. Managing performance and power consumption in a server farm. Ann. Oper. Reasearch 2013, 202, 121–134. [Google Scholar] [CrossRef]
- Mitrani, I. Service center trade-offs between customers impatience and power consumation. Perform. Eval. 2011, 68, 1222–1231. [Google Scholar] [CrossRef]
- Lui, J.C.S.; Golubchik, L. Stochastic complement analysis of multi-server threshold queues with hysteresis. Perform. Eval. 1999, 35, 19–48. [Google Scholar] [CrossRef]
- Gortsev, A.M.; Nazarov, A.A.; Terpugov, A.F. Control and Adaptation in Queueing Systems; Tomsk University Press: Tomsk, Russia, 1978. (In Russian) [Google Scholar]
- Rykov, V.; Efrosinin, D. Optimal Control of Queueing Systems with Heterogeneous Servers. Queueing Syst. 2004, 46, 389–407. [Google Scholar] [CrossRef]
- Ibe, O.C.; Keilson, J. Multi-server threshold queues with hysteresis. Perform. Eval. 1995, 21, 185–213. [Google Scholar] [CrossRef]
- Li, H.; Yang, T. Queues with a variable number of servers. Eur. J. Oper. Res. 2000, 124, 615–628. [Google Scholar] [CrossRef]
- Chou, C.F.; Golubchik, L.; Lui, J.C.S. Multiclass Multiserver Threshold-Based Systems: A Study of Noninstantaneous Server Activation. IEEE Trans. Parallel Distrib. Syst. 2007, 18, 96–110. [Google Scholar] [CrossRef]
- Kitaev, M.Y.; Rykov, V.V. Controlled Queueing Systems; CRC Press: New York, NY, USA, 1995. [Google Scholar]
- Rykov, V.V. Monotone Control of Queueing Systems with Heterogeneous Servers. Queueing Syst. 2001, 37, 391–403. [Google Scholar]
- Efrosinin, D.; Breuer, L. Threshold policies for controlled retrial queues with heterogeneous servers. Ann. Oper. Res. 2006, 141, 139–162. [Google Scholar] [CrossRef]
- Nobel, R.D.; Tijms, H.C. Optimal control of a queueing system with heterogeneous servers and setup costs. IEEE Trans. Autom. Control 2000, 45, 780–784. [Google Scholar] [CrossRef]
- Nobel, R. A retrial queueing system with a variable number of active servers: Dynamic manpower planning in a call center. In International Conference on Queueing Theory and Network Applications; Springer: Cham, Switzerland, 2018; pp. 33–47. [Google Scholar]
- Lin, W.; Kumar, P. Optimal control of a queueing system with two heterogeneous servers. IEEE Trans. Autom. Control 1984, 29, 696–703. [Google Scholar] [CrossRef]
- Walrand, J. A note on “Optimal control of a queuing system with two heterogeneous servers”. Syst. Control Lett. 1984, 4, 131–134. [Google Scholar] [CrossRef]
- Schwartz, C.; Pries, R.; Tran-Gia, P. A queuing analysis of an energy-saving mechanism in data centers. In Proceedings of the International Conference on Information Network, Bali, Indonesia, 1–3 February 2012; pp. 70–75. [Google Scholar]
- Ivaneshkin, A.I. Optimizing a multiserver queuing system with a variable number of servers. Cybern. Syst. Anal. 2007, 43, 542–548. [Google Scholar] [CrossRef]
- Efrosinin, D.; Sztrik, J. An algorithmic approach to analysing the reliability of a controllable unreliable queue with two heterogeneous servers. Eur. J. Oper. Res. 2018, 271, 934–952. [Google Scholar] [CrossRef]
- Efrosinin, D.; Stepanova, N. Estimation of the optimal threshold policy in a queue with heterogeneous servers using a heuristic solution and artificial neural networks. Mathematics 2021, 9, 1267. [Google Scholar] [CrossRef]
- Klimenok, V.; Dudin, A.; Samouylov, K. Analysis of the BMAP/PH/N queueing system with backup servers. Appl. Math. Model. 2018, 57, 64–84. [Google Scholar] [CrossRef]
- Dudin, A.; Dudina, O.; Dudin, S.; Gaidamaka, Y. Self-service system with rating dependent arrivals. Mathematics 2022, 10, 297. [Google Scholar] [CrossRef]
- Artalejo, J.R.; Gomez-Correl, A.; He, Q.M. Markovian arrivals in stochastic modelling: A survey and some new results. SORT-Stat. Oper. Res. Trans. 2010, 34, 101–144. [Google Scholar]
- Bladt, M.; Nielsen, B.F. Matrix-Exponential Distributions in Applied Probability; Springer: Boston, MA, USA, 2017. [Google Scholar]
- Chakravarthy, S.R. The Batch Markovian Arrival Process: A Review and Future Work. Adv. Probab. Theory Stoch. Process. 2001, 1, 21–49. [Google Scholar]
- Chakravarthy, S.R. Markovian Arrival Processes. In Wiley Encyclopedia of Operations Research and Management Science; Wiley: Hoboken, NJ, USA, 2010. [Google Scholar]
- Chakravarthy, S.R. Introduction to Matrix-Analytic Methods in Queues 1: Analytical and Simulation Approach—Basics; ISTE Ltd.: London, UK; John Wiley and Sons: New York, NY, USA, 2022. [Google Scholar]
- Chakravarthy, S.R. Introduction to Matrix-Analytic Methods in Queues 2: Analytical and Simulation Approach—Queues and Simulation; ISTE Ltd.: London, UK; John Wiley and Sons: New York, NY, USA, 2022. [Google Scholar]
- Dudin, A.N.; Klimenok, V.I.; Vishnevsky, V.M. The Theory of Queuing Systems with Correlated Flows; Springer Nature: Berlin/Heidelberg, Germany, 2020. [Google Scholar]
- He, Q.-M. Fundamentals of Matrix-Analytic Methods; Springer: New York, NY, USA, 2014. [Google Scholar]
- Latouche, G.; Ramaswami, V. Introduction to Matrix Analytic Methods in Stochastic Modeling; SIAM: Philadelphia, PA, USA, 1999. [Google Scholar]
- Lucantoni, D.; Meier-Hellstern, K.S.; Neuts, M.F. A single-server queue with server vacations and a class of nonrenewal arrival processes. Adv. Appl. Probab. 1990, 22, 676–705. [Google Scholar] [CrossRef]
- Lucantoni, D. New results on the single server queue with a batch Markovian arrival process. Stoch. Model. 1991, 7, 1–46. [Google Scholar] [CrossRef]
- Neuts, M.F. A versatile Markovian point process. J. Appl. Probab. 1979, 16, 764–779. [Google Scholar] [CrossRef]
- Neuts, M.F. Matrix-Geometric Solutions in Stochastic Models; The Johns Hopkins University Press: Baltimore, MD, USA, 1981. [Google Scholar]
- Neuts, M.F. Structured Stochastic Matrices of M/G/1 Type and Their Applications; Marcel Dekker: New York, NY, USA, 1989. [Google Scholar]
- Neuts, M.F. Models based on the Markovian arrival processes. IEICE Trans. Commun. 1992, E75-B, 1255–1265. [Google Scholar]
- Naumov, V.; Gaidamaka, Y.; Yarkina, N.; Samouylov, K. Matrix and Analytical Methods for Performance Analysis of Telecommunication Systems; Springer Nature: Berlin/Heidelberg, Germany, 2021. [Google Scholar]
- Chakravarthy, S.R. A Multi-server Queueing Model with Markovian Arrivals and Multiple Thresholds. Asia-Pac. J. Oper. Res. 2007, 24, 223–243. [Google Scholar] [CrossRef]
- Chakravarthy, S.R.; Agnihothri, S.R. A Server Backup Model with Markovian Arrivals and Phase Type Services (with). Eur. J. Oper. Res. 2008, 184, 584–609. [Google Scholar] [CrossRef]
- Chakravarthy, S.R. A stochastic model for a dynamic service facility with threshold and lead time. In Proceedings of the Second International Conference on Stochastic Modelling and Simulation, Tamil Nadu, India, 17–19 December 2012; pp. 3–22. [Google Scholar]
- Chakravarthy, S.R.; Kulshrestha, R. A queueing model with server breakdowns, repairs, vacations, and backup server. Oper. Res. Perspect. 2020, 7, 100131. [Google Scholar] [CrossRef]
- Kim, C.S.; Dudin, A.; Dudin, S.; Dudina, O. Hysteresis control by the number of active servers in queueing system with priority service. Perform. Eval. 2016, 101, 20–33. [Google Scholar] [CrossRef]
- Chakravarthy, S.R.; Dudin, A.N. A Queueing Model for Crowdsourcing. J. Oper. Res. Soc. 2017, 68, 221–236. [Google Scholar] [CrossRef]
- Arslan, A.M.; Agatz, N.; Kroon, L.; Zuidwijk, R. Crowdsourced delivery—A dynamic pickup and delivery problem with ad hoc drivers. Transp. Sci. 2019, 53, 222–235. [Google Scholar] [CrossRef]
- Savelsbergh, M.W.; Ulmer, M.W. Challenges and opportunities in crowdsourced delivery planning and operations. 4OR 2022, 20, 1–21. [Google Scholar] [CrossRef]
- Sun, L.; Yang, Q.; Chen, X.; Chen, Z. RC-chain: Reputation-based crowdsourcing blockchain for vehicular networks. J. Netw. Comput. Appl. 2021, 176, 102956. [Google Scholar] [CrossRef]
- Fatehi, S.; Wagner, M.R. Crowdsourcing last-mile deliveries. Manuf. Serv. Oper. Manag. 2022, 24, 791–809. [Google Scholar] [CrossRef]
- Graham, A. Kronecker Products and Matrix Calculus with Applications; Ellis Horwood: Cichester, UK, 1981. [Google Scholar]
- Steeb, W.-H.; Hardy, Y. Matrix Calculus and Kronecker Product; World Scientific Publishing: Singapore, 2011. [Google Scholar]
- Horn, R.A.; Johnson, C.R. Topics in Matrix Analysis; Cambridge University Press: Cambridge, UK, 1991. [Google Scholar]
- Zhang, H.; Ding, F. On the Kronecker products and their applications. J. Appl. Math. 2013, 2013, 296185. [Google Scholar] [CrossRef]
- Gantmacher, F.R. Theory of Matrices, 1st ed.; Science USSR: Moscow, Russia, 1967. [Google Scholar]



















Disclaimer/Publisher’s Note: The statements, opinions and data contained in all publications are solely those of the individual author(s) and contributor(s) and not of MDPI and/or the editor(s). MDPI and/or the editor(s) disclaim responsibility for any injury to people or property resulting from any ideas, methods, instructions or products referred to in the content. |
© 2023 by the authors. Licensee MDPI, Basel, Switzerland. This article is an open access article distributed under the terms and conditions of the Creative Commons Attribution (CC BY) license (https://creativecommons.org/licenses/by/4.0/).
Share and Cite
Chakravarthy, S.R.; Dudin, A.N.; Dudin, S.A.; Dudina, O.S. Queueing System with Potential for Recruiting Secondary Servers. Mathematics 2023, 11, 624. https://doi.org/10.3390/math11030624
Chakravarthy SR, Dudin AN, Dudin SA, Dudina OS. Queueing System with Potential for Recruiting Secondary Servers. Mathematics. 2023; 11(3):624. https://doi.org/10.3390/math11030624
Chicago/Turabian StyleChakravarthy, Srinivas R., Alexander N. Dudin, Sergey A. Dudin, and Olga S. Dudina. 2023. "Queueing System with Potential for Recruiting Secondary Servers" Mathematics 11, no. 3: 624. https://doi.org/10.3390/math11030624
APA StyleChakravarthy, S. R., Dudin, A. N., Dudin, S. A., & Dudina, O. S. (2023). Queueing System with Potential for Recruiting Secondary Servers. Mathematics, 11(3), 624. https://doi.org/10.3390/math11030624

