Next Article in Journal
Non-Stationary Helical Flows for Incompressible Couple Stress Fluid
Previous Article in Journal
Characterization of the Mean First-Passage Time Function Subject to Advection in Annular-like Domains
 
 
Font Type:
Arial Georgia Verdana
Font Size:
Aa Aa Aa
Line Spacing:
Column Width:
Background:
Article

Approximation Properties of Parametric Kantorovich-Type Operators on Half-Bounded Intervals

1
School of Mathematical Sciences, Hebei Normal University, Shijiazhuang 050024, China
2
Hebei Key Laboratory of Computational Mathematics and Applications, Shijiazhuang 050024, China
*
Author to whom correspondence should be addressed.
Mathematics 2023, 11(24), 4997; https://doi.org/10.3390/math11244997
Submission received: 14 November 2023 / Revised: 12 December 2023 / Accepted: 14 December 2023 / Published: 18 December 2023

Abstract

The main purpose of this paper is to introduce a new family of parametric Kantorovichtype operators on the half-bounded interval. The convergence properties of these new operators are investigated. The Voronovskaja-type weak inverse theorem and the rate of uniform convergence are obtained. Furthermore, we obtain some shape preserving properties of these operators, including monotonicity, convexity, starshapeness, and semi-additivity preserving properties. Finally, some numerical illustrative examples show that these new operators have a better approximation performance than the classical ones.

1. Introduction

In approximation theory, constructing Kantorovich-type operators to reduce errors is a well known method. The Kantorovich-type operators and their approximation properties have attracted a lot of attention since the 1990s. Since then, different types of Kantorovich operators were constructed [1,2]. Taking the classical Szász operator as an example, it is usually used to approximate continuous functions, while Szász–Kantorovich operator can be utilized to approximate a broad class of functions, such as integrable ones. Later, in order to improve the approximation rate, various new operators were constructed, which preserve the test functions that emerged in this field and a lot of advancements have been made regarding this subject to acquire better approximation. In [3], King introduced a sequence of positive linear operators, which approximate each continuous function on [ 0 , 1 ] while preserving the function x 2 , and gave quantitative estimates. Different King-type operators were constructed and had been achieved [3,4,5,6,7]. For some recent studies on linear positive operators preserving exponential functions, we refer the readers to [8,9,10,11,12,13,14]. Following the idea of King, and the further developed in references [3,4,6,7], we introduced a kind of King-type of Szász–Kantorovich operators [5],
S n * * ( f ; x ) = n k = 0 s n , k ( τ n ( x ) ) k n k + 1 n f ( t ) d t ,
where
s n , k ( τ n ( x ) ) = e n τ n ( x ) ( n τ n ( x ) ) k k ! , τ n ( x ) = 1 + n 2 x 2 + 2 3 n , x 3 3 .
In [5], we presented the direct and converse estimate of S n * * ( f ; x ) . In [15], we introduced other kinds of Szász operators S n , μ ( f ; x ) , which preserve constants and e μ x ( μ > 0 ) . The operators S n , μ ( f ; x ) are given by the following: for μ > 0 ,
S n , μ ( f ; x ) = k = 0 s n , k ( x ) f ( k n ) , x [ 0 , ) ,
where
s n , k ( x ) = e n α n ( x ) ( n α n ( x ) ) k k ! ; α n ( x ) = μ x n ( 1 e μ n ) .
Remark 1.
lim n α n ( x ) = x .
The rate of convergence and the Voronovskaja asymptotic relationship of Szász operators (1) in the sense of uniform convergence on the [ 0 , ) interval were obtained [15]. A natural question is: what happens if we combine the idea of function extension with that of integral averaging? In this paper, we construct new Kantorovich operators corresponding to S n , μ ( f ; x ) as follows: for μ > 0 ,
S n , μ * ( f ; x ) = k = 0 s n , k ( x ) n k n k + 1 n f ( t ) d t ,
where the definition of s n , k ( x ) can be found in (1).
In this study, we will give some fundamental properties, which play a significant role in the uniform approximation, we obtain the uniform approximation results of S n , μ * ( f ; x ) on C * [ 0 , ) space. At the same time, operator plays important role in computer-aided geometric design, which deals with computational aspects of geometric objects in mathematical developments of curves and surfaces. Inspired by the ideas of Zhang Chungou and others [16,17,18,19,20,21,22,23,24], some shape-preserving properties of these operators are obtained.
Remark 2.
Throughout this paper, C [ 0 , ) represents the space of continuous functions on the [ 0 , ) interval; C B [ 0 , ) represents the space of continuous bounded functions on the [ 0 , ) interval; C * [ 0 , ) : = { f C [ 0 , ) : lim n f ( x ) exists and is limited }, f : = sup x [ 0 , ) | f ( x ) | .
The complete structure of the manuscript constitutes six sections. The remaining part of this paper is organized as follows. In Section 2, we give some basic properties of the operators, such as the moments for proving the convergence theorems. In Section 3, we establish the approximation theorems of the positive theorem and the Voronovskaja-type weak inverse theorem for continuous functions. In Section 4, we present some new shape preserving properties of these operators (2). In Section 5, we will demonstrate some numerical experiments which verify the validity of the theoretical results and the potential superiority of these new operators. Finally, in Section 6, some conclusions are provided.

2. Definitions and Lemmas

Definition 1
([1]). For h > 0 , r N , the rth forward differences are given by
Δ h 1 f ( x ) = Δ h f ( x ) = f ( x + h ) f ( x ) , Δ h r f ( x ) = Δ h ( Δ h r 1 f ( x ) ) ,
or equivalently by
Δ h r f ( x ) = k = 0 r ( 1 ) k r k f ( x + ( r k ) h ) .
Definition 2
([1]). For δ > 0 , the continuous modulus is defined as:
ω ( f ; δ ) = s u p { | f ( x ) f ( y ) | : | x y | δ , x , y [ 0 , ) } .
Definition 3
([16,17]). Let f be continuous on [ 0 , ) , the average function of f is defined as follows: for all x 0 ,
A f ( x ) = 1 x 0 x f ( t ) d t , x ( 0 , ) ; 0 , x = 0 .
Definition 4
([16]). If function f ( x ) is continuous and x 1 f ( x ) is increasing (or decreasing) on ( 0 , ) , then f ( x ) said to be starshaped with respect to the origin. Alternatively, it can be defined by the following: for each α, 0 α 1 , f ( α x ) α f ( x ) (or f ( α x ) α f ( x ) ).
Definition 5
([16]). x 1 , x 2 [ 0 , ) , if f ( x 1 + x 2 ) f ( x 1 ) + f ( x 2 ) , then f ( x ) is called semi-additivity; if f ( x 1 + x 2 ) f ( x 1 ) + f ( x 2 ) , then f ( x ) is called super-additivity.
For the Szász–Mirakjan operators, the following lemmas are known (see, for instance, [16]).
Lemma 1
([15] Lemma 2.1). Let x [ 0 , ) , μ > 0 , we have
( 1 ) S n , μ ( 1 ; x ) = 1 ;
( 2 ) S n , μ ( e μ t ; x ) = e μ x ;
( 3 ) S n , μ ( e 2 μ t ; x ) = e μ x ( e μ n + 1 ) .
Lemma 2
([15] Lemma 2.2). Let x [ 0 , ) , μ > 0 , it holds that
( 1 ) S n , μ ( t ; x ) = e n α n ( x ) k = 0 ( n α n ( x ) ) k k ! k n = α n ( x ) ;
( 2 ) S n , μ ( t 2 ; x ) = e n α n ( x ) k = 0 ( n α n ( x ) ) k k ! k 2 n 2 = α n 2 ( x ) + α n ( x ) n ;
( 3 ) S n , μ ( t 3 ; x ) = e n α n ( x ) k = 0 ( n α n ( x ) ) k k ! k 3 n 3 = α n 3 ( x ) + 3 α n 2 ( x ) n + α n ( x ) n 2 ;
( 4 ) S n , μ ( t 4 ; x ) = e n α n ( x ) k = 0 ( n α n ( x ) ) k k ! k 4 n 4 = α n 4 ( x ) + 6 α n 3 ( x ) n + 7 α n 2 ( x ) n 2 + α n ( x ) n 3 .
Lemma 3
([15] Lemma 2.3). Let x [ 0 , ) , μ > 0 , then one has
( 1 ) lim n n ( α n ( x ) x ) = μ x 2 ;
( 2 ) lim n n [ α n 2 ( x ) + α n ( x ) n 2 x α n ( x ) + x 2 ] = x ;
( 3 ) lim n { n 2 [ α n 4 ( x ) 4 x α n 3 ( x ) + 6 x 2 α n 2 ( x ) 4 x 3 α n ( x ) + x 4 ] + n [ 6 α n 3 ( x ) 12 x α n 2 ( x ) + 6 x 2 α n ( x ) ] + [ 7 α n 2 ( x ) 4 x α n ( x ) ] + α n ( x ) n } = 3 x 2 .
Lemma 4.
Let x [ 0 , ) , μ > 0 , then we have
( 1 ) S n , μ * ( 1 ; x ) = 1 ;
( 2 ) S n , μ * ( e μ t ; x ) = e μ x ( 1 e μ n ) n μ ;
( 3 ) S n , μ * ( e 2 μ t ; x ) = e μ x ( e μ n + 1 ) ( 1 e 2 μ n ) n 2 μ .
Proof. 
Using the definition of the operators S n , μ * ( f ; x ) (2), combining Lemma 1 (1)–(3), by directly calculating, the result is satisfied. We only take (3) as an example to prove, as (1) and (2) are similar.
S n , μ * ( e 2 μ t ; x ) = k = 0 e n α n ( x ) ( n α n ( x ) ) k k ! n k n k + 1 n e 2 μ t d t = k = 0 e n α n ( x ) ( n α n ( x ) ) k k ! e 2 μ k n ( 1 e 2 μ n ) n 2 μ = e μ x ( e μ n + 1 ) ( 1 e 2 μ n ) n 2 μ .
Remark 3.
lim n e μ x ( 1 e μ n ) n μ = e μ x .
Remark 4.
lim n e μ x ( e μ n + 1 ) ( 1 e 2 μ n ) n 2 μ = e 2 μ x .
We need also a well-known result (see Ref. [25]).
Lemma 5
([25]). Let { A n } be a sequence of linear positive operators from C * [ 0 , ) to C * [ 0 , ) , satisfying lim n A n ( e k t ; x ) = e k x , k = 0 , 1 , 2 , and the above convergence is uniform if and only if lim n A n ( f ; x ) = f ( x ) uniformly in [ 0 , ) for all f C * [ 0 , ) .
Lemma 6.
Let x [ 0 , ) , μ > 0 , then we have
( 1 ) S n , μ * ( t ; x ) = α n ( x ) + 1 2 n ;
( 2 ) S n , μ * ( t 2 ; x ) = α n 2 ( x ) + 2 α n ( x ) n + 1 3 n 2 ;
( 3 ) S n , μ * ( t 3 ; x ) = α n 3 ( x ) + 9 α n 2 ( x ) 2 n + 7 α n ( x ) 2 n 2 + 1 4 n 3 ;
( 4 ) S n , μ * ( t 4 ; x ) = α n 4 ( x ) + 8 α n 3 ( x ) n + 15 α n 2 ( x ) n 2 + 6 α n ( x ) n 3 + 1 5 n 4 .
Proof. 
Indeed, utilizing the definition of S n , μ * ( f ; x ) (2), noting Lemma 2 (1)–(4), after some simple calculations, the assertion is true. We only take (4) as an example to prove, as (1)–(3) are similar.
S n , μ * ( t 4 ; x ) = k = 0 e n α n ( x ) ( n α n ( x ) ) k k ! n k n k + 1 n t 4 d t = k = 0 e n α n ( x ) ( n α n ( x ) ) k k ! · k 4 n 4 + 2 n k = 0 e n α n ( x ) ( n α n ( x ) ) k k ! · k 3 n 3 + 2 n 2 k = 0 e n α n ( x ) ( n α n ( x ) ) k k ! · k 2 n 2 + 1 n 3 k = 0 e n α n ( x ) ( n α n ( x ) ) k k ! · k n + 1 5 n 4 k = 0 e n α n ( x ) ( n α n ( x ) ) k k ! = α n 4 ( x ) + 8 α n 3 ( x ) n + 15 α n 2 ( x ) n 2 + 6 α n ( x ) n 3 + 1 5 n 4 .
Remark 5.
lim n S n , μ * ( t ; x ) = x .
Remark 6.
lim n S n , μ * ( t 2 ; x ) = x 2 .
With the help of Lemma 6, the limit values for the central moments can be obtained.
Lemma 7.
Let x [ 0 , ) , μ > 0 , then we have
( 1 ) lim n n S n , μ * ( ( t x ) ; x ) = μ x + 1 2 ;
( 2 ) lim n n S n , μ * ( ( t x ) 2 ; x ) = x ;
( 3 ) lim n n 2 S n , μ * ( ( t x ) 4 ; x ) = 3 x 2 .
Proof. 
By the definition of S n , μ * ( f ; x ) (2), utilizing the results of Lemmas 3 and 6, (1) and (2) are satisfied. For the proof of ( 3 ) , it follows from definition of S n , μ * ( f ; x ) , Lemma 3 ( 3 ) and Lemma 6 (1)–(3) that
lim n n 2 S n , μ * ( ( t x ) 4 ; x ) = lim n n 2 k = 0 e n α n ( x ) ( n α n ( x ) ) k k ! n k n k + 1 n ( t x ) 4 d t = lim n n 2 [ S n , μ * ( t 4 ; x ) 4 x S n , μ * ( t 3 ; x ) + 6 x 2 S n , μ * ( t 2 ; x ) 4 x 3 S n , μ * ( t ; x ) + x 4 S n , μ * ( 1 ; x ) ] = lim n n 2 { x 4 μ 4 n 4 ( 1 e μ n ) 4 4 μ 3 n 3 ( 1 e μ n ) 3 + 6 μ 2 n 2 ( 1 e μ n ) 2 4 μ n ( 1 e μ n ) + 1 + x 3 8 μ 3 n 4 ( 1 e μ n ) 3 18 μ 2 n 3 ( 1 e μ n ) 2 + 12 μ n 2 ( 1 e μ n ) 2 n + x 2 15 μ 2 n 4 ( 1 e μ n ) 2 14 μ n 3 ( 1 e μ n ) + 2 n 2 + x 6 μ n 4 ( 1 e μ n ) 1 n 3 + 1 5 n 4 } = lim n { n 2 [ α n 4 ( x ) 4 x α n 3 ( x ) + 6 x 2 α n 2 ( x ) 4 x 3 α n ( x ) + x 4 ] + n [ 6 α n 3 ( x ) 12 x α n 2 ( x ) + 6 x 2 α n ( x ) ] + [ 7 α n 2 ( x ) 4 x α n ( x ) ] + α n ( x ) n } + lim n { n [ 2 α n 3 ( x ) 6 x α n 2 ( x ) + 6 x 2 α n ( x ) 2 x 3 ] + [ 8 α n 2 ( x ) 10 x α n ( x ) + 2 x 2 ] + 1 n [ 5 α n ( x ) x ] + 1 5 n 2 } = 3 x 2 ,
and here, we use the fact that
lim n n [ 2 α n 3 ( x ) 6 x α n 2 ( x ) + 6 x 2 α n ( x ) 2 x 3 ] = 0 ,
lim n [ 8 α n 2 ( x ) 10 x α n ( x ) + 2 x 2 ] = 0 ,
lim n 1 n [ 5 α n ( x ) x ] + 1 5 n 2 = 0 .
Lemma 8
([2]). For any continuous ω ( t ) (not identical to 0), there exists a concave continuous modulus ω ˜ ( t ) such that for t > 0 , one has ω ( t ) ω ˜ ( t ) 2 ω ( t ) , where the constant 2 can not be any smaller and ω ( t ) is defined as follows: if ω ( t ) is continuous, non-decreasing, semi-additive, and lim t 0 + ω ( t ) = ω ( 0 ) = 0 , then ω ( t ) is said to be a modules of continuity.
Lemma 9
([23]). The function f ( x ) is convex (or concave) on [ 0 , ) equivalent to for any h > 0 , a h ( f ; x ) is convex (or concave) on [ 0 , ) , where a h ( f ; x ) = x x + h f ( t ) d t .
Holhos [26] proposed the concept of modulus ω * ( f ; δ ) : for any δ > 0 and f C * [ 0 , + ) ,
ω * ( f ; δ ) = sup x , t 0 , | e x e t | δ | f ( x ) f ( t ) | .
The relationship between the above modulus and the classical modulus is [26]: ω * ( f ; δ ) = ω ( f * ; δ ) , where
f * ( x ) = f ( ln x ) , x 0 ; lim t f ( t ) , x = 0 .
Lemma 10
([26]). The A s : C * [ 0 , ) C * [ 0 , ) are positive linear operators, and let
A s ( 1 ) 1 = α s ,
A s ( e t ) e x = β s ,
A s ( e 2 t ) e 2 x = γ s .
If all the α s , β s , γ s vanish at infinity, then for any f C * [ 0 , ) , we have the following conclusion:
A s ( f ) f = f α s + ( 2 + α s ) ω * ( f ; α s + 2 β s + γ s ) .

3. Theorem of Approximation

Theorem 1
(Korovkin-type theorem). Let μ > 0 , for any f ( x ) C * [ 0 , ) , the sequence of positive operators { S n , μ * ( f ; x ) } converges to f ( x ) as n uniformly in [ 0 , + ) .
Proof. 
Let f k = e k x , k = 0 , 1 , 2 , from Lemma 4, we write
sup x [ 0 , ) S n , μ * ( 1 ; x ) 1 = 0 ,
With the help of Mathematica software (Version 12.0), we can write the expansion as
S n , μ * ( e t ; x ) e x = n ( 1 e 1 n ) e n α n ( x ) [ 1 e 1 n ] e x n ( 1 e 1 n ) e n α n ( x ) [ 1 e 1 n ] n ( 1 e 1 n ) e x + n ( 1 e 1 n ) e x e x = n ( 1 e 1 n ) e n α n ( x ) [ 1 n 1 2 n 2 + 1 6 n 3 + O ( n 3 ) ] n ( 1 e 1 n ) e x + n ( 1 e 1 n ) 1 n ( 1 e 1 n ) e x μ n ( 1 e μ n ) + μ 2 n 2 ( 1 e μ n ) + μ 6 n 3 ( 1 e μ n ) + O ( n 3 ) n ( 1 e 1 n ) e x + 1 2 n = n ( 1 e 1 n ) e x e ( μ 1 ) x 2 n + O ( n 2 ) n ( 1 e 1 n ) e x + 1 2 n = n ( 1 e 1 n ) e x ( μ 1 ) x 2 n + n ( 1 e 1 n ) e x ( μ 1 ) 2 x 2 8 n 2 + O ( n 2 ) + 1 2 n 1 2 n + n ( 1 e 1 n ) | μ 1 | 2 n · 1 e + n ( 1 e 1 n ) ( μ 1 ) 2 n 2 · 1 2 e 2 + O ( n 2 ) : = β n ,
Finally, by similar manner, we also obtain that
S n , μ * ( e 2 t ; x ) e 2 x = n 2 ( 1 e 2 n ) e n α n ( x ) [ 1 e 2 n ] e 2 x n 2 ( 1 e 2 n ) e n α n ( x ) [ 1 e 2 n ] n 2 ( 1 e 2 n ) e 2 x + n 2 ( 1 e 2 n ) e 2 x e 2 x = n 2 ( 1 e 2 n ) e n α n ( x ) [ 2 n 4 2 n 2 + 8 6 n 3 + O ( n 3 ) ] n 2 ( 1 e 2 n ) e 2 x + n 2 ( 1 e 2 n ) 1 n 2 ( 1 e 2 n ) e 2 x μ n ( 1 e μ n ) + μ n 2 ( 1 e μ n ) + 4 μ 6 n 3 ( 1 e μ n ) + O ( n 3 ) n 2 ( 1 e 2 n ) e 2 x + 1 n = n 2 ( 1 e 2 n ) e 2 x e ( μ 2 ) x 2 n + O ( n 2 ) n 2 ( 1 e 2 n ) e 2 x + 1 n = n 2 ( 1 e 2 n ) e 2 x ( μ 2 ) x n + n 2 ( 1 e 2 n ) e 2 x ( μ 2 ) 2 x 2 2 n 2 + O ( n 2 ) + 1 n 1 n + n 2 ( 1 e 2 n ) | μ 2 | n · 1 2 e + n 2 ( 1 e 2 n ) ( μ 2 ) 2 n 2 · 1 2 e 2 + O ( n 2 ) : = γ n ,
Letting n , β n and γ n tend to zero uniformly on [ 0 , ) . Combining Lemma 5, the proof of Theorem 1 can be completed. □
According to Lemma 10 and the results of (3)–(5), we can obtain the following positive theorem.
Theorem 2
(Positive theorem). Let f C * [ 0 , ) , then
S n , μ * ( f ; x ) f ( x ) 2 ω * ( f ; 2 β n + γ n ) ,
where
S n , μ * ( e t ; x ) e x : = β n ;
S n , μ * ( e 2 t ; x ) e 2 x : = γ n .
Theorem 3
(Voronovskaja-type weak inverse theorem). Let f C B [ 0 , ) , then
lim n n [ S n , μ * ( f ; x ) f ( x ) ] = μ x + 1 2 f ( x ) + x 2 f ( x ) .
Proof. 
According to Taylor expansion, it can be written as
f ( t ) = f ( x ) + f ( x ) ( t x ) + 1 2 f ( x ) ( t x ) 2 + h ( t , x ) ( t x ) 2 ,
where h ( t , x ) = 1 2 [ f ( ξ ) f ( x ) ] , ξ is between x and t. Applying the operator S n , μ * (2) on both sides of the above expansion, we obtain
S n , μ * ( f ; x ) f ( x ) = f ( x ) S n , μ * ( ( t x ) ; x ) + f ( x ) 2 S n , μ * ( ( t x ) 2 ; x ) + S n , μ * ( h ( t , x ) ( t x ) 2 ; x ) .
Let δ > 0 , form the definition of ω ( f ; δ ) , we know that
| f ( t ) f ( x ) | ( 1 + | t x | δ ) ω ( f ; δ ) ,
and also
| h ( t , x ) | 1 2 ( 1 + | t x | δ ) ω ( f ; δ ) .
By the linearity of the operator S n , μ * and the above inequality, we can write
S n , μ * ( | h ( t , x ) | ( t x ) 2 ; x ) ω ( f ; δ ) S n , μ * ( ( t x ) 2 ; x ) + 1 δ ω ( f ; δ ) S n , μ * ( | t x | 3 ; x ) .
Taking δ = 1 n , we apply Cauchy–Schwartz inequality, and then in view of Lemma 7,
lim n n S n , μ * ( h ( t , x ) ( t x ) 2 ; x ) = lim n ω ( f ; δ ) n S n , μ * ( ( t x ) 2 ; x ) + lim n ω ( f ; δ ) n 3 2 S n , μ * ( | t x | 3 ; x ) lim n ω ( f ; δ ) lim n n S n , μ * ( ( t x ) 2 ; x ) · lim n n 2 S n , μ * ( ( t x ) 4 ; x ) = 0 .
Combining with Lemma 7, we conclude that
lim n n [ S n , μ * ( f ; x ) f ( x ) ] = μ x + 1 2 f ( x ) + x 2 f ( x ) .

4. Shape Preservation

For f C * [ 0 , ) , the operators can also be expressed in the form
S n , μ * ( f ; x ) = n ( 1 e μ n ) μ d d x S n , μ ( F ; x ) = n k = 0 Δ 1 n F ( k n ) e n α n ( x ) ( n α n ( x ) ) k k ! ,
where
F ( x ) = 0 x f ( t ) d t .
Theorem 4
(Monotonicity). Let f ( x ) be monotonically increasing (or decreasing) on C * [ 0 , ) , for n N , so are all the operators S n , μ * ( f ; x ) .
Proof. 
If f ( x ) is monotonically increasing on C * [ 0 , ) , then F ( x ) is also monotonically increasing, i.e., F ( x ) is convex. If S n , μ ( f ; x ) have convexity preserving property [24], then S n , μ ( F ; x ) are convex,
d d x S n , μ * ( f ; x ) = n ( 1 e μ n ) μ d 2 d x 2 S n , μ ( F ; x ) 0 ,
which implies S n , μ * ( f ; x ) are monotonically increasing.
Similarly, we see that if f ( x ) is monotonically decreasing on C * [ 0 , ) , so are the operators S n , μ * ( f ; x ) . □
Theorem 5
(Convexity). Let f ( x ) be convex (or concave) on C * [ 0 , ) , so are all the operators S n , μ * ( f ; x ) .
Proof. 
We shall use the representation
d d x S n , μ * ( f ; x ) = μ n 1 e μ n k = 0 k + 1 n k + 2 n f ( t ) d t k n k + 1 n f ( t ) d t e n α n ( x ) ( n α n ( x ) ) k k ! = μ n 1 e μ n k = 0 Δ 1 n a 1 n ( f ; k n ) e n α n ( x ) ( n α n ( x ) ) k k ! ,
d 2 d x 2 S n , μ * ( f ; x ) = μ 2 n ( 1 e μ n ) 2 k = 0 k + 2 n k + 3 n f ( t ) d t 2 k + 1 n k + 2 n f ( t ) d t + k n k + 1 n f ( t ) d t e n α n ( x ) ( n α n ( x ) ) k k ! = μ 2 n ( 1 e μ n ) 2 k = 0 Δ 1 n 2 a 1 n ( f ; k n ) e n α n ( x ) ( n α n ( x ) ) k k ! .
If f ( x ) is convex, from Lemma 9 it is known that a h ( f ; x ) is also convex, and we have Δ 1 n 2 a 1 n ( f ; k n ) 0 , i.e., d 2 d x 2 S n , μ * ( f ; x ) 0 . So, S n , μ * ( f ; x ) are also convex.
Similarly, we see that if f ( x ) is concave on C * [ 0 , ) , so are the operators S n , μ * ( f ; x ) . □
Theorem 6
(Starshapeness). Let f ( x ) be non-negative on C * [ 0 , ) , f ( 0 ) = 0 , x 1 f ( x ) be decreasing on ( 0 , ) ; then, for n N , so are all the operators x 1 S n , μ * ( f ; x ) . But in general, if x 1 f ( x ) is increasing on ( 0 , ) , x 1 S n , μ * ( f ; x ) are no longer increasing.
Proof. 
For the first part of the Theorem, if f ( x ) is non-negative on C * [ 0 , ) , f ( 0 ) = 0 , x 1 f ( x ) is decreasing on ( 0 , ) , and combining with Definition 4, we have the following:
When k n < t < k + 1 n , k = 1 , 2 , , choosing α = k n t , 0 < α < 1 , we obtain f ( t ) α 1 f ( α t ) = n t k f ( k n ) ;
When k 1 n < t < k n , k = 1 , 2 , , choosing α = n t k , 0 < α < 1 , we obtain f ( t ) = f ( n t k k n ) n t k f ( k n ) , by (7), we know
d d x S n , μ * ( f ; x ) x = x 2 [ x d d x S n , μ * ( f ; x ) S n , μ * ( f ; x ) ] = x 2 n k = 1 ( k 1 ) k n k + 1 n f ( t ) d t k k 1 n k n f ( t ) d t S n , k ( α n ( x ) ) x 2 n 0 1 n f ( t ) d t e n α n ( x ) x 2 k = 1 f ( k n ) 2 k S n , k ( α n ( x ) ) x 2 n 0 1 n f ( t ) d t e n α n ( x ) 0 ,
therefore, x 1 S n , μ * ( f ; x ) is decreasing on ( 0 , ) .
Second, setting f ( t ) = t 2 , from Lemma 6, it is known that
S n , μ * ( t 2 ; x ) = μ 2 n 2 ( 1 e μ n ) 2 x 2 + 2 μ n 2 ( 1 e μ n ) x + 1 3 n 2 ,
d d x S n , μ * ( t 2 ; x ) x = 3 μ 2 x 2 ( 1 e μ n ) 2 3 n 2 ( 1 e μ n ) 2 x 2 .
It follows easily that, for x > 1 e μ n 3 μ , S n , μ * ( t 2 ; x ) are increasing. For 0 < x < 1 e μ n 3 μ , S n , μ * ( t 2 ; x ) are decreasing. So, if x 1 f ( x ) are increasing on ( 0 , ) , S n , μ * ( f ; x ) are no longer increasing. □
Theorem 7
(Semi-additivity). Let f ( x ) be non-negative, f ( 0 ) = 0 , semi-additive and increasing on C * [ 0 , ) , then for n N , so are all the operators S n , μ * ( f ; x ) . But in general, if f ( x ) is super-additive and decreasing on C * [ 0 , ) , S n , μ * ( f ; x ) are no longer super-additive.
Proof. 
First for all x , y [ 0 , ) , n N
S n , μ * ( f ; x + y ) = k = 0 n k n k + 1 n f ( t ) d t e n α n ( x + y ) ( n α n ( x + y ) ) k k ! = k = 0 n k n k + 1 n f ( t ) d t e n α n ( x + y ) ( μ 1 e μ n ) k k ! j = 0 k k j x j y k j = j = 0 k = j n k n k + 1 n f ( t ) d t e n α n ( x + y ) ( μ 1 e μ n ) k x j y k j j ! ( k j ) ! ,
let K = k j , then k = K + j , it can be written that
S n , μ * ( f ; x + y ) = j = 0 K = 0 n K n K + 1 n f ( t + j n ) d t e μ x 1 e μ n · e μ y 1 e μ n · μ x 1 e μ n j j ! · μ y 1 e μ n K K ! .
If f ( x ) is semi-additive on C * [ 0 , ) , then,
S n , μ * ( f ; x + y ) j = 0 K = 0 n K n K + 1 n f ( t ) d t · e μ x 1 e μ n · e μ y 1 e μ n · μ x 1 e μ n j j ! · μ y 1 e μ n K K ! + j = 0 K = 0 n K n K + 1 n f ( j n ) d t · e μ x 1 e μ n · e μ y 1 e μ n · μ x 1 e μ n j j ! · μ y 1 e μ n K K ! = S n , μ ( f ; x ) + S n , μ * ( f ; y ) .
In addition, if f ( x ) is increasing on C * [ 0 , ) , for h > 0 , a ¯ h = a h ( f ; x ) h = x x + h f ( t ) d t h f ( x ) , then for any h > 0 ,
S n , μ * ( f ; x ) = S n , μ ( a ¯ 1 n ; x ) S n , μ ( f ; x ) .
and therefore
S n , μ * ( f ; x + y ) S n , μ * ( f ; x ) + S n , μ * ( f ; y ) .
On the other hand, setting g ( t ) = t 2 , then g ( x + y ) g ( x ) + g ( y ) . In fact, by Lemma 6 and direct calculation gives that for the case x y ( 1 e μ n ) 2 6 μ 2 , one has
S n , μ * ( g ; x + y ) S n , μ * ( g ; x ) + S n , μ * ( g ; y ) ,
that means S n , μ * ( g ; x ) are no longer super-additive for x [ 0 , ) .
Theorem 8
(Average convexity). Let f ( x ) be non-negative on C * [ 0 , ) , f ( 0 ) = 0 , if A f ( x ) is convex (or concave), so are all the operators A S n , μ * ( x ) .
Proof. 
Now, let us take the second order derivative of S n , μ ( F ; x ) . It follows from Formula (6) that
d 2 d x 2 S n , μ ( F ; x ) = ( μ 1 e μ n ) 2 k = 0 Δ 1 n 2 F ( k n ) e n α n ( x ) ( n α n ( x ) ) k k ! .
Thus
d d x A S n , μ * ( x ) = d d x 0 x S n , μ * ( f ; t ) d t x = n ( 1 e μ n ) μ · x d d x S n ( F ; x ) S n ( F ; x ) x 2 .
It follows that
d 2 d x 2 A S n , μ * ( x ) = n ( 1 e μ n ) μ x 3 [ x 2 d 2 d x 2 S n , μ ( F ; x ) 2 x d d x S n , μ ( F ; x ) + 2 S n , μ ( F ; x ) ] = n ( 1 e μ n ) μ x 3 [ x 2 μ 1 e μ n 2 k = 0 Δ 1 n 2 F ( k n ) e n α n ( x ) ( n α n ( x ) ) k k ! 2 x μ 1 e μ n k = 0 Δ 1 n F ( k n ) e n α n ( x ) ( n α n ( x ) ) k k ! + 2 k = 0 F ( k n ) e n α n ( x ) ( n α n ( x ) ) k k ! ] = n ( 1 e μ n ) μ x 3 k = 2 Δ 1 n 2 F ( k 2 n ) k ( k 1 ) 2 Δ 1 n F ( k 1 n ) k + 2 F ( k n ) e n α n ( x ) ( n α n ( x ) ) k k ! = n ( 1 e μ n ) μ x 3 k = 3 k ( k 1 ) ( k 2 ) n Δ 1 n 2 A f ( k 2 n ) e n α n ( x ) ( n α n ( x ) ) k k ! .
If A f are convex, for k 3 , Δ 1 n 2 A f ( k 2 n ) 0 , thus d 2 d x 2 A S n , μ * ( x ) 0 , i.e., A S n , μ * (x) are convex. Similarly, we see that if A f ( x ) are concave on [ 0 , ) , so are the operators A S n , μ * ( x ) . □
Theorem 9
(Average starshapeness). Let f ( x ) be non-negative on C * ( 0 , ) , f ( 0 ) = 0 , x 1 A f ( x ) be decreasing on ( 0 , ) , then for n N , so are all the operators x 1 A S n , μ * ( x ) . But if x 1 A f ( x ) is increasing on ( 0 , ) , x 1 A S n , μ * ( x ) are no longer increasing.
Proof. 
First, for x 1 A f ( x ) is decreasing on ( 0 , ) ,
( k n ) 1 A f ( k n ) ( k 1 n ) 1 A f ( k 1 n ) , k 2 ,
noting Relation (6), we write
d d x x 1 A S n , μ * ( x ) = x 3 n ( 1 e μ n ) μ [ x d d x S n , μ ( F ; x ) 2 S n , μ ( F ; x ) ] = x 3 n ( 1 e μ n ) μ x μ 1 e μ n k = 0 Δ 1 n F ( k n ) e n α n ( x ) ( n α n ( x ) ) k k ! 2 k = 0 F ( k n ) e n α n ( x ) ( n α n ( x ) ) k k ! = x 3 n ( 1 e μ n ) μ k = 1 Δ 1 n F ( k 1 n ) k 2 F ( k n ) e n α n ( x ) ( n α n ( x ) ) k k ! = x 3 n ( 1 e μ n ) μ k = 2 k 2 ( k 2 ) n 2 ( k n ) 1 A f ( k n ) k ( k 1 ) 2 n 2 ( k 1 n ) 1 A f ( k 1 n ) e n α n ( x ) ( n α n ( x ) ) k k ! x 3 n ( 1 e μ n ) μ F ( 1 n ) e n α n ( x ) n α n ( x ) 0 .
So, x 1 A S n , μ * ( x ) is decreasing.
Second, choosing f ( t ) = t 2 , from Lemma 6, it is known that
S n , μ * ( t 2 ; x ) = μ 2 n 2 ( 1 e μ n ) 2 x 2 + 2 μ n 2 ( 1 e μ n ) x + 1 3 n 2 ,
A S n , μ * ( x ) x = μ 2 3 n 2 ( 1 e μ n ) 2 x + μ n 2 ( 1 e μ n ) + 1 3 n 2 1 x ,
d d x A S n , μ * ( x ) x = μ 2 3 n 2 ( 1 e μ n ) 2 1 3 n 2 1 x 2 .
It is known that, for x 1 e μ n μ , x 1 A S n , μ * ( x ) are increasing; for 0 < x < 1 e μ n μ , x 1 A S n , μ * ( x ) are decreasing. x 1 A S n , μ * ( x ) are no longer increasing. □
Theorem 10.
Let f ( x ) be non-negative, f ( 0 ) = 0 and increasing on C * [ 0 , ) , n N , for h > 0 , one has ω ( S n , μ * ; h ) S n , μ * ( ω ; h ) .
Proof. 
Since
e μ h 1 e μ n j = 0 μ h 1 e μ n j j ! = 1 ; e μ x 1 e μ n k = 0 μ x 1 e μ n k k ! = 1 ,
for h > 0 , from Formulas (8) and (9), we write
S n , μ * ( f ; x + h ) S n , μ * ( f ; x ) j = 0 k = 0 n k n k + 1 n f ( t + j n ) f ( t ) d t · e μ ( x + h ) 1 e μ n · μ h 1 e μ n j j ! · μ x 1 e μ n k k ! = j = 0 k = 0 n k n k + 1 n ω ( f ; j n ) d t · e μ ( x + h ) 1 e μ n · μ h 1 e μ n j j ! · μ x 1 e μ n k k ! = S n , μ ( ω ; h ) S n , μ * ( ω ; h ) .

5. Illustrative Examples

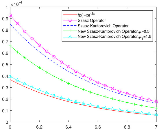
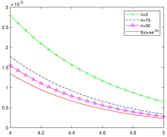
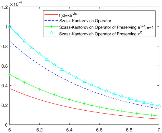
In order to visually test the effect of approximation, in this section, the image of the new Szász–Kantorovich operator with different values for variables μ and n is drawn with the help of Matlab software (Version 2020b). In addition, the images of the approximation effect of several types of operators acting on the same function are compared. In Figure 1, we want to test how Szász–Kantorovich operators will perform for different μ values. In Figure 2, we plot the graphs for different values of n. Figure 3 and Figure 4 show that the new family of Szász–Kantorovich operators presents better performance in comparison with the classic Szász operators, the classic Szász–Kantorovich operators and the Szász–Kantorovich operators of preserving x 2 for given values. At the same time, the root mean square errors of their approximation are calculated as show in Table 1 and Table 2.

6. Conclusions

In this paper, we present a type of Szász–Kantorovich operators using the following ideas: (1) integral averaging leads to Kantorovich-type operators; (2) a function extension improves the approximation abilities; (3) the introduction of a parameter μ can be fine tune the approximation ability of the operators.
All these features combined provide a better approximation procedure. We further investigate the convergence of these operators, as well as attain the quantitative estimates, some shape preserving properties, while some important approximation tools, such as the forward differences, the modulus of continuity and the concave continuous modulus, are utilized. Numerical examples are used to verify the validity of our Szász–Kantorovich operators.
However, in this paper, we only considered the direct theorems of the Szász–Kantorovich operators, the functions are univariate. The converse results and higher dimensional case will be investigated in our future work.

Author Contributions

Conceptualization, writing—review and editing, visualization, H.D.; Conceptualization, formal analysis, writing—review and editing, Q.Q. All authors have read and agreed to the published version of the manuscript.

Funding

This research was funded by the Science and Technology Project of Hebei Education Department (No. ZD2019053) and Postgraduate Innovation Funding Project of Hebei Province (CXZZSS2024046).

Data Availability Statement

Data is contained within the article.

Acknowledgments

The authors are grateful to the responsible Editor and the anonymous reviewers for their valuable comments and suggestions, which have greatly improved this paper.

Conflicts of Interest

The authors declare no conflict of interest.

References

  1. Ditzian, Z.; Totik, V. Moduli of Smoothness; Springer: New York, NY, USA, 1987. [Google Scholar]
  2. DeVore, R.A.; Lorentz, G.G. Constructive Approximation, 1st ed.; Springer: Berlin/Heidelberg, Germany, 1987. [Google Scholar]
  3. King, J.P. Positive linear operators which preserve x2. Acta Math. Hung. 2003, 99, 203–208. [Google Scholar] [CrossRef]
  4. Acar, T.; Aral, A.; Rasa, I. Positive linear operators preserving τ and τ2. Constr. Math. Anal. 2019, 2, 98–102. [Google Scholar]
  5. Qi, Q.L.; Yang, G. Modified Kantorovich operators providing a better error estimation. J. Math. Syst. Sci. 2015, 5, 286–288. [Google Scholar] [CrossRef]
  6. Duman, O.; Özarslan, M.A. Szász-Mirakyan type operators providing a better error estimation. Appl. Math. Lett. 2007, 20, 1184–1188. [Google Scholar] [CrossRef]
  7. Duman, O.; Özarslan, M.A.; Vecchia, B.D. Modified Szász-Mirakyan-Kantorovich operators preserving linear functions. Turk. J. Math. 2009, 33, 151–158. [Google Scholar]
  8. Acar, T.; Montano, M.C.; Garrancho, P.; Leonessa, V. On Bernstein-Chlodovsky operators preserving e2x. Bull. Belg. Math. Soc. Simon Stevin 2019, 26, 681–698. [Google Scholar] [CrossRef]
  9. Acar, T.; Aral, A.; Gonska, H. On Szász-Mirakyan operators preserving e2ax, a > 0. Mediterr. J. Math. 2017, 14, 1–14. [Google Scholar] [CrossRef]
  10. Gupta, V.; Malik, N. Approximation with certain Szász-Mirakyan operators. Khayyam J. Math. 2017, 3, 90–97. [Google Scholar]
  11. Acu, A.M.; Tachev, G. Yet another new variant of Szász-Mirakyan operator. Symmetry 2021, 12, 2018. [Google Scholar] [CrossRef]
  12. Aral, A.; Ulusoy, G.; Deniz, E. A new construction of Szász-Mirakyan operators. Numer. Algor. 2018, 77, 313–326. [Google Scholar] [CrossRef]
  13. Aral, A.; Cardenas-Morales, D.; Garrancho, P. Bernstein-type operators that reproduce exponential functions. J. Math. Inequalities 2018, 12, 861–872. [Google Scholar] [CrossRef]
  14. Acar, T.; Montano, M.C.; Garrancho, P.; Leonessa, V. Voronovskaya type results for Bernstein-Chlodovsky operators preserving e2x. J. Math. Anal. Appl. 2020, 491. [Google Scholar] [CrossRef]
  15. Huang, J.Y.; Qi, Q.L.; Yang, G. Approximation properties of a class of modified Szász type operators. Pure Math. 2022, 12, 803–813. [Google Scholar] [CrossRef]
  16. Bruckner, A.M.; Ostrow, E. Some function classes related to the class of convex functions. Mathematics 1962, 12, 1203–1215. [Google Scholar] [CrossRef]
  17. Boehme, T.K.; Bruckner, A.M. Functions with convex means. Pac. J. Math. 1964, 14, 1137–1149. [Google Scholar] [CrossRef]
  18. Khan, M.K.; Vecchia, B.D.; Fassih, A. On the monotonicity of positive linear operators. J. Approx. Theory 1998, 92, 22–37. [Google Scholar] [CrossRef][Green Version]
  19. Carbone, I. Shape proserving properties of some positive linear operators on unbounded intervals. J. Approx. Theory 1998, 93, 140–156. [Google Scholar] [CrossRef]
  20. Adell, J.A.; Palomares, A.P. Best constants in preservation inequalities concerning the first modulus and Lipschitz classes for Bernstein-type operators. J. Approx. Theory 1998, 93, 128–139. [Google Scholar] [CrossRef]
  21. Cal, J.D.L.; Cácomo, J. On certain best constants for Bernstein-type operators. J. Approx. Theory 2001, 113, 189–206. [Google Scholar] [CrossRef]
  22. Li, Z.K. Bernstein ploynomials and modulus of continuity. J. Approx. Theory 2000, 102, 171–174. [Google Scholar] [CrossRef][Green Version]
  23. Zhang, C.G. Shape preserving properties of a class of Szász–Kantorovich operators. Acta Math. Appl. Sin. 2005, 28, 497–505. [Google Scholar]
  24. Dong, H.; Qi, Q.L. Shape preserving properties of parametric Szász type operators on unbounded intervals. Symmetry 2023, 15, 1755. [Google Scholar] [CrossRef]
  25. Boyanov, B.D.; Veselinov, V.M. A note on the approximation of functions in an infinite interval by linear positive operators. Bull. Math. Soc. Des. Sci. Math. Roum. 1970, 14, 9–13. [Google Scholar]
  26. Holhos, A. The rate of convergence of positive linear operators in weighted spaces. Autom. Comput. Appl. Math. 2008, 17, 239–246. [Google Scholar]
Figure 1. The approximation of the new Szász–Kantorovich operators to the function f ( x ) = x e 2 x , where μ = 0.5 , 0.9 , 1.5 , n = 5 .
Figure 1. The approximation of the new Szász–Kantorovich operators to the function f ( x ) = x e 2 x , where μ = 0.5 , 0.9 , 1.5 , n = 5 .
Mathematics 11 04997 g001
Figure 2. The approximation of the new Szász–Kantorovich operators to the function f ( x ) = x e 2 x , where n = 5 , 15 , 30 , μ = 0.2 .
Figure 2. The approximation of the new Szász–Kantorovich operators to the function f ( x ) = x e 2 x , where n = 5 , 15 , 30 , μ = 0.2 .
Mathematics 11 04997 g002
Figure 3. The approximation of the classic Szász operator, Szász–Kantorovich operator and the new Szász–Kantorovich operator to the function f ( x ) = x e 2 x , where n = 10 , μ = 0.5 , μ 1 = 1.5 .
Figure 3. The approximation of the classic Szász operator, Szász–Kantorovich operator and the new Szász–Kantorovich operator to the function f ( x ) = x e 2 x , where n = 10 , μ = 0.5 , μ 1 = 1.5 .
Mathematics 11 04997 g003
Figure 4. The approximation of the Szász–Kantorovich operator, the Szász–Kantorovich operator of preserving e μ x , μ = 1 and the Szász–Kantorovich operator of preserving x 2 to the function f ( x ) = x e 2 x , where n = 10 .
Figure 4. The approximation of the Szász–Kantorovich operator, the Szász–Kantorovich operator of preserving e μ x , μ = 1 and the Szász–Kantorovich operator of preserving x 2 to the function f ( x ) = x e 2 x , where n = 10 .
Mathematics 11 04997 g004
Table 1. Root mean square errors of approximation of four classes of operators to the function f ( x ) = x e 2 x .
Table 1. Root mean square errors of approximation of four classes of operators to the function f ( x ) = x e 2 x .
nSzász OperatorsSzász–Kantorovich OperatorsNew Szász–Kantorovich Operators with μ = 0.5 New Szász–Kantorovich Operators with μ 1 = 1.5
5 9.7571 × 10 5 7.9165 × 10 5 4.1841 × 10 5 3.0618 × 10 6
15 1.82370 × 10 5 1.6047 × 10 5 1.0227 × 10 5 1.1653 × 10 6
30 7.8565 × 10 6 7.0426 × 10 6 4.7050 × 10 6 5.9893 × 10 7
Table 2. Root mean square errors of approximation of three classes of Kantorovich-type operators to the function f ( x ) = x e 2 x .
Table 2. Root mean square errors of approximation of three classes of Kantorovich-type operators to the function f ( x ) = x e 2 x .
nSzász–Kantorovich OperatorsSzász–Kantorovich Operators of Preserving e μ x , μ = 1 Szász–Kantorovich Operators of Preserving x 2
5 7.9165 × 10 5 1.8002 × 10 5 1.1293 × 10 4
15 1.6047 × 10 5 5.3095 × 10 6 2.0315 × 10 5
30 7.0426 × 10 6 2.5618 × 10 6 8.6504 × 10 6
Disclaimer/Publisher’s Note: The statements, opinions and data contained in all publications are solely those of the individual author(s) and contributor(s) and not of MDPI and/or the editor(s). MDPI and/or the editor(s) disclaim responsibility for any injury to people or property resulting from any ideas, methods, instructions or products referred to in the content.

Share and Cite

MDPI and ACS Style

Dong, H.; Qi, Q. Approximation Properties of Parametric Kantorovich-Type Operators on Half-Bounded Intervals. Mathematics 2023, 11, 4997. https://doi.org/10.3390/math11244997

AMA Style

Dong H, Qi Q. Approximation Properties of Parametric Kantorovich-Type Operators on Half-Bounded Intervals. Mathematics. 2023; 11(24):4997. https://doi.org/10.3390/math11244997

Chicago/Turabian Style

Dong, Hui, and Qiulan Qi. 2023. "Approximation Properties of Parametric Kantorovich-Type Operators on Half-Bounded Intervals" Mathematics 11, no. 24: 4997. https://doi.org/10.3390/math11244997

APA Style

Dong, H., & Qi, Q. (2023). Approximation Properties of Parametric Kantorovich-Type Operators on Half-Bounded Intervals. Mathematics, 11(24), 4997. https://doi.org/10.3390/math11244997

Note that from the first issue of 2016, this journal uses article numbers instead of page numbers. See further details here.

Article Metrics

Back to TopTop