Next Article in Journal
Preface to the Special Issue “Abstract Fractional Integro-Differential Equations and Fixed Point Theory with Applications”
Previous Article in Journal
Almost Nonlinear Contractions under Locally Finitely Transitive Relations with Applications to Integral Equations
 
 
Font Type:
Arial Georgia Verdana
Font Size:
Aa Aa Aa
Line Spacing:
Column Width:
Background:
Article

A Three-Party Decision Evolution Game Analysis of Coal Companies and Miners under China’s Government Safety Special Rectification Action

1
School of Management, Xi’an University of Science and Technology, Xi’an 710054, China
2
College of Safety Science and Engineering, Xi’an University of Science and Technology, Xi’an 710054, China
*
Author to whom correspondence should be addressed.
Mathematics 2023, 11(23), 4750; https://doi.org/10.3390/math11234750
Submission received: 12 October 2023 / Revised: 21 November 2023 / Accepted: 22 November 2023 / Published: 24 November 2023

Abstract

:
Research on the behavior of coal companies and miners under the government’s safety special rectification action is significant for maintaining social stability. In this paper, we constructed a dynamic evolutionary game model involving the government, coal companies, and miners. We analyzed the asymptotic stability conditions of the behavioral strategies of the participants in the game through phase diagrams and conducted a simulation analysis using Matlab R2021b to explore the impact of the key parameters in the model on the strategic choices of the game participants. The research findings indicated: (1) intricate interactive dynamics exist among the three stakeholders in safety rectification endeavors, with diverse intervention strategies manifesting varying impacts on participants’ conduct and outcomes; (2) setting reasonable reward and punishment mechanisms for safety behaviors by the government toward coal companies and miners helps to increase the probability of both choosing proactive safety behaviors. Coal companies that set reasonable reward and punishment mechanisms for the safety behaviors of miners can promote miners’ willingness to cooperate. Additionally, reducing safety rectification costs and enhancing the social reputation benefits of safety rectification can facilitate the optimal strategic choices of the three parties; and (3) the simulation analysis results corroborate the conclusions on the stability of strategies across all stakeholders, affirming the validity of the research outcomes and furnishing pertinent recommendations for enhancing the safety rectification framework.

1. Introduction

Safety concerns in coal mines are intricately tied to the welfare of miners, the financial viability of businesses, and the continued progress of society. The paramount emphasis in coal mining has persistently centered on ensuring the well-being and security of workers. However, in China, coal mine accidents have occurred frequently [1]. The preceding observations underscore several concerns pertaining to coal mine safety in China, including inadequate governmental oversight, subpar corporate governance structures, and a lack of sufficient safety awareness among miners. In response to the problems caused by coal mine safety accidents, the Chinese government officially launched the “Three-Year Action Plan for National Safety Production Special Rectification” in April 2020, which concluded in December 2022. Over the three-year safety rectification period, the incidence of coal mine accidents in China has decreased, yet safety concerns persist. In 2021, for instance, there were 91 accidents resulting in 178 fatalities, and in 2022, a total of 168 accidents occurred, resulting in 245 fatalities. These figures underscore persistent challenges encountered by the government and enterprises throughout safety rectification efforts. In the course of safety rectification, governmental decisions are influenced by factors such as economic development, leading to a relaxation of regulatory oversight on coal mine safety production. This emphasis on the production situation of coal enterprises can result in regulatory lapses and precipitate a “trust crisis” within the rectification process. Coal enterprises strive to optimize their corporate value, simultaneously embracing government oversight and assuming accountability for miners’ safety. Within China’s coal mine safety regulatory framework, collaboration and joint efforts between government regulatory bodies and coal enterprises are imperative for effective safety rectification initiatives.

2. Literature Review

An expedient approach to tackling coal mine safety concerns involves leveraging the advanced experiences of developed nations. This approach facilitates the swift enhancement of China’s coal mine safety production standards [2]. After the State Council of China passed the “Implementation Plan for the Reform of Coal Mine Safety Supervision System” in 1999, China established an independent coal mine safety regulatory agency, the State Administration of Coal Mine Safety. However, this agency is often constrained by other departments, making it difficult to achieve true independent law enforcement [3]. In contrast, developed nations established autonomous regulatory bodies earlier in their development. For instance, the United States established the Mine Safety and Health Administration (MSHA) in 1977, the United Kingdom founded the Health and Safety Executive (HSE) in 1952, Australia instituted the Coal Mining Safety and Health Advisory Committee in the early 20th century, and Japan formed JCOAL in 1979. These entities are distinguished by their heightened independence. The Mine Safety and Health Administration in the United States, for instance, adopted a “national supervision-enterprise responsibility” model, bolstering administrative efficiency. Furthermore, China’s coal mine safety regulation lacks external oversight mechanisms, leading to unreliable checks and balances [4]. Compared to miners in developed countries, Chinese miners often have limited awareness of their rights, and their involvement in mine safety regulation is often passive [5]. There is a need to raise miners’ demands for safety interests. In contrast, the United States has powerful unions, such as the United Mine Workers of America (UMWA), advocating for miners’ safety interests, significantly bolstering the force of social oversight [6]. Regarding safety training for miners, China’s safety training often remains superficial and disconnected from actual needs, lacking proper post-training assessment [7]. In the United States, safety training is even incorporated into federal law, emphasizing the outcomes of training [8]. Lastly, as coal mine safety in developed countries like the United States has reached high levels, the focus of relevant agencies has shifted to “miner occupational health” [9]. In contrast, China continues to experience a high occurrence of coal mine safety accidents, with issues such as coal dust and other occupational hazards not receiving sufficient attention [10]. Compared to developed countries, there are still some weak links in China’s coal mine safety system (see Table 1). Therefore, we need to improve the current state of coal mine safety production in China and reduce the accident rate.
The frequency of coal mine accidents is impacted by various aspects, including the weakness of the coal mining industry’s safety regulatory system [11,12], the level of safety investments made by coal enterprises [13], and the unsafe behaviors of miners [14]. Today, China has established a complex legal system to regulate the coal mining industry and has achieved significant results [15]. Nevertheless, China’s safety regulation system continues to exhibit certain shortcomings [12,16]. Different levels of government departments often face conflicts of interest in safety governance. Scholars have conducted extensive research on such situations. Liu employed a multivariate statistical analysis model to ascertain the factors influencing the efficacy of coal mine safety oversight. The findings indicated that local supervision exerted the most significant influence, followed by national supervision and social supervision. The presence of government control exerted a notable and favorable influence on the safety practices exhibited by firms [17]. Chen simulated and analyzed rent-seeking behavior in safety regulation, suggesting that higher-level regulatory departments could better reduce the negative impact of rent-seeking behavior [18]. Furthermore, Fisman emphasized that appropriate government regulation before safety accidents occur is more conducive to reducing accident rates and their associated costs [19]. Liu conducted a comparative analysis of the regulatory frameworks governing the coal industry in China and Australia. The study revealed that Australia’s regulatory system is founded upon the principles of duty of care, risk management, and labor representation. In contrast, China’s regulatory legislation is characterized by normative uniformity, which has resulted in several challenges within Chinese regulatory departments [16].
Feng et al. analyzed the enduring relationship between coal output and safety investment in the United States and China, utilizing the Cobb–Douglas production function as their analytical framework. The authors claimed that there is room for development in China’s coal mining technology [20]. Safety investments made by coal companies play a pivotal role in influencing the frequency of coal mine accidents. Elevating safety investment not only empowers miners to utilize safer mining techniques and equipment, but also facilitates the refinement of management systems within the mining industry. This includes establishing suitable incentive and penalty mechanisms and augmenting miners’ safety awareness education, all contributing to the mitigation of coal mine accidents [21,22,23]. Wang et al. combined DEMATEL and ISM to establish a hierarchical model for analyzing the factors and mechanisms affecting mine safety. They concluded that safety investment is one of the direct factors leading to coal mine accidents [24]. Chu et al. analyzed the safety production in Chinese coal mines during the period from 2001 to 2010 and found a positive correlation between technological development, financial safety investment, and coal mine safety in China [25]. Tong et al. conducted a simulation analysis using actual data from a coal mine in Shanxi, revealing that the implementation of proactive safety investments during the early stages can significantly mitigate the costs associated with accidents [26].
In recent years, the Chinese government has consistently heightened safety supervision, and enterprises have augmented safety investments. Despite these efforts, coal mine accidents persist, impacting even state-owned mines with advanced safety management systems and high-quality equipment. Scholarly research underscores that miners’ unsafe behavior significantly contributes to the ongoing high incidence of coal mine accidents. To tackle this issue, it is crucial to institute tailored incentive and penalty mechanisms while simultaneously strengthening safety education initiatives [12,23,27]. Analyzing data on Chinese coal mine accidents over the past decade, human factors account for 94% of the causes of coal mine accidents, with intentional violations and poor management being the primary reasons [28,29]. The primary labor force in Chinese coal mines consists of rural migrant workers, and township coal mines often lack emphasis on safety training for miners. Miners lack comprehensive safety education and awareness, which contributes to the higher accident rates in township coal mines [30,31]. Conversely, miners employed in crucial state-owned coal mines are mandated to undergo a minimum of three months of safety education and training. Recognizing the inherent unpredictability of accidents in coal mines, instituting a comprehensive safety education program for employees, and addressing miners’ risky behavior stands out as the most economically efficient strategy for mitigating the incidence of coal mine accidents [32].
In recent years, numerous scholars have conducted research on safety concerns within the framework of traditional game theory. However, it is worth noting that traditional game theory operates under the assumption that all parties involved possess flawless rationality, a premise that does not align with real-world circumstances [33,34,35,36]. After Smith introduced the concept of Evolutionary Stable Strategy (ESS) into traditional game theory, the field of evolutionary game theory emerged [37]. In evolutionary game models, game participants are not entirely rational, as they continuously learn and adjust their strategies during the evolutionary process. Compared to traditional game theory, evolutionary game theory is more aligned with real-world situations. Consequently, evolutionary game theory has been widely applied in the study of various fields, including biological evolution [38], international strategic cooperation [39], cooperative social networks [40], resource allocation [41,42], and more. Of course, many scholars have also conducted research on coal mine safety issues based on evolutionary game theory. He and others incorporated the factor of a company’s gambling mentality into the evolutionary game model between government regulatory departments and coal companies, suggesting that improving a company’s risk recognition ability can effectively promote proactive safety improvements [43]. Xie and collaborators employed an evolutionary game model to investigate the intrinsic link between safety investment by coal companies and the safety behavior of employees. Their findings suggest that when the cost of safety investment surpasses the returns, the strategic choices regarding employee safety behavior profoundly impact a company’s decisions on safety investment. Conversely, when the safety investment returns outweigh the costs, a company’s safety investment decisions remain uninfluenced by strategies related to employee safety behavior [44]. Shi and colleagues, focusing on post-disaster management, researched an evolutionary game model between local government regulatory departments and coal companies. They believed that establishing an efficient information-sharing mechanism is an effective means for improving post-disaster emergency management [45]. Lu and others constructed an evolutionary game model within the miner community, considering the influence of managers as an external factor. The results indicated a positive correlation between workers’ income and the safety of group behavior, with safety performance effectively enhancing the level of group safety behavior [23]. As the study of evolutionary game theory in the safety field continues to advance, some scholars have introduced system dynamics into the analysis of coal mine safety’s evolutionary game, aiding in the analysis of complex dynamic structures [46,47]. Additionally, some scholars have argued that the parameters used in the two-player evolutionary game models are too few, and the factors considered are overly simplistic. Consequently, they have developed multi-party evolutionary game models for further improvement [48,49,50]. In recent years, some scholars have integrated prospect theory and mental accounting theory into evolutionary games, improving the traditional payoff matrix to a perception-based payoff matrix and applying it to safety management [51,52].
Reviewing the existing research outcomes, scholars have conducted comprehensive analyses of the necessity for government regulation of coal mine safety issues and the need for rational safety investments by coal enterprises. The application of evolutionary game theory has been instrumental in scrutinizing the intricate interactions between government regulatory departments and coal businesses, yielding promising outcomes. However, it is crucial to recognize the limited research focused on the interplay between the interest dynamics of coal miners and coal firms in the context of safety improvement efforts. Furthermore, there is a notable lack of studies focusing on the tripartite interest relationship among miners, coal companies, and the government within the domain of safety rectification. Furthermore, previous research on government strategies only examined whether the government chose an active regulatory strategy. However, in this safety rectification campaign, the government not only acts as a regulator, but also plays a role in guiding coal companies and miners to adopt safety behaviors. Considering these considerations, this paper, based on evolutionary game theory, constructs a three-party game model involving miners, coal companies, and the government. The primary objectives of this paper are twofold: firstly, to enhance the research accomplishments of evolutionary game theory and assess its relevance in the realm of coal mine safety management; secondly, to employ the evolutionary game model in scrutinizing the underlying interest dynamics among the three involved parties, analyzing pivotal factors influencing participants’ decisions, and exploring dynamic equilibrium strategies within the tripartite game. These aims aim to furnish theoretical frameworks for government and coal companies in their safety rectification endeavors.

3. The Three-Party Evolutionary Game Model

The existing literature reveals that, despite notable strides in China’s coal mine safety regulation since the inception of regulatory departments in 1999, the fatality rate in coal production remains disproportionately high compared to other leading coal-producing nations. It is evident that reinforcing safety supervision plays a crucial role in mitigating the fatality rate per million tons of coal production and the frequency of safety accidents. To curtail accidents and optimize their interests, coal enterprises must bolster safety infrastructure and elevate safety management capabilities, necessitating augmented safety investments.
Traditional game theory exhibits several limitations in analyzing the three-party game involving the government, coal enterprises, and miners, because it assumes perfect rationality among game participants, necessitating them to achieve a “consensus”. However, achieving such a consensus in real-world situations is challenging. Therefore, this study opts for evolutionary game theory to analyze the interests of these three parties. The advantages of evolutionary game theory include: firstly, it enables analysis under the condition of limited rationality among game participants; secondly, evolutionary games do not demand a “consensus”. Throughout the process of evolutionary games, participants continually adapt their strategy choices based on changes in the external environment to attain equilibrium; thirdly, the process of finding equilibrium in evolutionary games is dynamic, facilitating the observation of dynamic decision changes among participants.

3.1. Game Rules and Participants

The three elements of the game refer to game rules, participants, and payoffs. The participants in this game model are the government, coal enterprises, and miners. China’s safety supervision system and regulations are established by the State Council, which has set up coal mine safety regulatory agencies. It implements vertical management and tiered supervision of coal enterprises, creating a working pattern of “national supervision, local regulation, and corporate responsibility”. During the supervision process, there exists a principal–agent relationship between government regulatory departments and coal enterprises. The government acts as the principal for supervision, while coal enterprises act as agents responsible for establishing safety production systems that comply with government requirements. The establishment of safety production systems directly impacts the work and life safety of miners. While coal enterprises and miners act as followers of safety rectification policies, they also serve as a social oversight force to constrain government decisions to safeguard their interests.
The government, to ensure the safety of people’s property, can adopt an active safety rectification strategy, such as imposing fines or strengthening supervision. However, due to fiscal constraints, it may sometimes choose a passive safety rectification strategy. Coal enterprises, aiming to maximize profits, may choose a passive safety investment strategy. At the same time, in response to national policies and social responsibilities, they may also choose an active safety investment strategy. Miners can actively cooperate with safety rectification, adhere to safety production rules, or choose to comply superficially. The relationships among these three parties are illustrated in Figure 1. Based on the information above, the set of participants is denoted as P = {1, 2, 3} = {government, coal enterprises, miners}, the government’s strategy set is S1 = {active safety rectification, passive safety rectification}, the coal enterprises’ strategy set is S2 = {active safety investment, passive safety investment}, and the miners’ strategy set is S3 = {active cooperation, passive cooperation}.

3.2. Establishment of the Evolutionary Game Model

Based on the actual interests of the participants and the theory of evolutionary game theory, the following assumptions are made (assuming that all parameters in the assumptions are greater than 0).
Hypothesis 1 (H1):
The participants in the game include the government, coal enterprises, and miners, all characterized by bounded rationality and subject to information asymmetry. Simultaneously, the assumption is made that these three entities form a comprehensive system, neglecting the potential influence of other decision makers in the real-world scenario on this gaming system. Throughout the game, all participants adhere to the assumption of bounded rationality, facing rational constraints as they iteratively adjust their strategic choices to maximize self-interest in response to shifts in the external environment.
Hypothesis 2 (H2):
Let  x  (0 ≤  x  ≤ 1) be the probability of the government choosing an active safety regulation strategy, denoted as S, and the probability of choosing a passive safety regulation strategy as 1 −  x , denoted as  S ¯ ; let  y  (0 ≤  y  ≤ 1) be the probability of coal companies choosing an active safety investment strategy, denoted as I, and the probability of choosing a passive safety investment strategy as 1 −  y , denoted as  I ¯ ; let  z  (0 ≤  z  ≤ 1) be the probability of miners choosing an active cooperation strategy, denoted as L, and the probability of choosing a passive cooperation strategy as 1 − z , denoted as  L ¯ . The values of  x ,  y , and  z  change over time  t . Therefore, there are a total of eight strategy combinations for the game among these three parties: { S ,   I ,   L }, { S , I ¯ ,   L }, { S ,   I ,   L ¯ }, { S ,   I ¯ ,   L ¯ }, { S ¯ ,   I ,   L }, { S ¯ ,   I ,   L ¯ }, { S ¯ ,   I ¯ ,   L }, and { S ¯ ,   I ¯ ,   L ¯ }.
Hypothesis 3 (H3):
When a coal company chooses an active safety investment strategy, the cost of safety investment for the company is  C 1  and the resulting benefit is  R 1 ; when the company chooses a passive safety investment strategy, as the company’s funds are not used for safety investment, the resulting benefit is different and is denoted as  R 3 . In addition, the active safety investment by coal companies demonstrates their concern for the safety of employees and the community, as well as their active fulfillment of social responsibilities, which brings an additional social reputation denoted as  E 3 .
Hypothesis 4 (H4):
Coal companies and miners are the primary participants in coal mining operations, and deviations in the behavior of any party can potentially lead to coal mine safety accidents. When a company engages in active safety investment or when miners cooperate actively, the implementation of special safety rectification activities can generate benefits, thereby enhancing the government’s social credibility. The social benefits brought to the government by a company’s active safety investment or a miner’s active cooperation are denoted as  E 1  and  E 2 , respectively.
Hypothesis 5 (H5):
When the government chooses an active safety regulation strategy, the implementation cost is  C 3 . Active safety regulation is an expression of the government’s concern for the safety and well-being of the public, which helps build trust and reputation for the government in the eyes of the public. It also enables the government to establish a positive image in the international community, resulting in additional reputation gains denoted as  E 4 .
Hypothesis 6 (H6):
When the government actively enforces safety regulation, it engages in active supervision of coal companies and miners, thereby offering appropriate rewards and penalties for their strategic choices: if a company engages in active safety investment, it receives a government reward  A 1 ; if a company adopts a passive safety investment strategy, it incurs a government fine  F 1 . If miners actively cooperate, they receive a government reward  A 2 ; if miners passively cooperate, they incur a government fine  F 2 . When the government is influenced by factors such as regulatory costs and adopts lenient regulation, it becomes difficult to predict the strategic choices of coal companies and miners. Therefore, the government may not provide appropriate rewards and penalties.
Similarly, when a company chooses an active safety investment strategy, it engages in the active supervision of miners, thereby offering appropriate rewards and penalties for their strategic choices: if miners actively cooperate, they receive a company reward A 3 ; if miners adopt a passive cooperation strategy, they incur a company fine F 3 . When coal companies choose to adopt passive safety investment, it is difficult to predict what strategy choices miners will make. Therefore, coal companies have not implemented appropriate rewards and penalties.
Hypothesis 7 (H7):
When miners actively cooperate, they need to strictly adhere to relevant regulations and rules. This not only imposes certain restrictions on personal freedom and comfort, but also creates some psychological pressure on miners. Therefore, an additional cost denoted as  C 2  is associated with miners choosing the active cooperation strategy. However, when miners choose to actively cooperate, it helps reduce the costs and losses resulting from accidents, bringing positive utility to the company denoted as  R 4 . When miners choose a passive cooperation strategy, they gain additional benefits denoted as  R 2 .
The parameters are organized as shown in Table 2.
It can be seen that the interests of the three participants in the game are highly complex. Given this, we establish a payoff matrix and replicator dynamics equations to facilitate a visual analysis of how various parameters affect the decisions of the three participants.
Based on the parameter settings of H1 to H6, the profit matrices for the government security regulatory department, coal enterprises, and miners under the eight decision scenarios are calculated, as shown in Table 3.

4. Analysis of Evolutionary Game Models

Drawing from current research findings, the safety rectification policies implemented by the government, safety investments made by coal mining companies, and the unsafe behaviors exhibited by miners are all pivotal factors with a direct impact on the occurrence rate of coal mining accidents. Consequently, the probabilities x , y , and z represent the likelihood of the government, coal companies, and miners to adopt pertinent active safety behaviors that are intricately linked to the accident occurrence rate. We computed the replicator dynamic equations F x , F y , and F z for the government, coal companies, and miners, illustrating how risk influences their strategic decisions.

4.1. Stability Analysis of Government’s Strategies

If the government chooses “active security management”, the expected benefit is denoted as U 11 , while choosing “passive security management” yields an expected benefit of U 12 . The average expected benefit is represented as U 1 :
The government’s strategy selection replicates the dynamic equation as follows:
U 11 = C 3 + E 4 + F 1 + F 2 + z ( E 2 A 2 F 2 ) + y ( E 1 A 1 F 1 )
U 12 = y E 1 + z E 2
U 1 = x U 11 + 1 x U 12
The replicator dynamics equation for the strategy selection of government is as follows:
F x = d x d t = x U 11 U 1 = x ( 1 x ) ( E 4 + F 1   +   F 2 C 3 z A 2 z F 2 y A 1 y F 1 )  
The first-order derivatives of x and the specified G ( z ) are, respectively:
d ( F x ) / d x = ( 1 2 x ) ( E 4 + F 1   +   F 2 C 3 z A 2 z F 2 y A 1 y F 1 )
G ( z ) = E 4 + F 1   +   F 2 C 3 z A 2 z F 2 y A 1 y F 1  
By the requirements of stable points in evolutionary game theory, that is, when the proportional relationship deviates from these stable points represented by x , the replicator dynamics will still bring it back to these levels. Specifically, for the government’s choice of active security management to be in a stable state, it needs to satisfy: F x = 0 and d ( F x ) / d x < 0 . Clearly, G ( z ) / z < 0 , so G ( z ) is a decreasing function to z. When z = E 4 + F 1 + F 2 y A 1 y F 1 C 3 A 2 + F 2 = z , G ( z ) = 0 , d ( F x ) / d x 0 . At this point, regardless of the government’s strategy choice, it belongs to an equilibrium strategy, and it does not change over time.
(a)
When z > z , G ( z ) < 0 , and at this point, d ( F ( x ) ) / d x | x = 0 < 0 , where x = 0 represents the government’s stable evolutionary strategy, meaning that the government choosing passive safety regulation is the only evolutionarily stable strategy.
(b)
When z < z , G ( z ) > 0 , and at this point, d ( F ( x ) ) / d x | x = 1 < 0 , where x = 1 represents the government’s stable evolutionary strategy, indicating that the government choosing active safety regulation is the only evolutionarily stable strategy.
Based on the above process, using Matlab R2021b (MathWorks, Natick, MA, USA) for plotting, the government’s decision dynamics are shown in Figure 2.
Figure 2 illustrates that the probability of the government choosing an active control strategy can be represented by the volume V 1 of the region in the plane z < z . The calculation yields:
V 1 = 0 1 0 1 E 4 + F 1 + F 2 y A 1 y F 1 C 3 A 2 + F 2 d x d y = 2 ( E 4 + F 2 C 3 ) + ( F 1 + A 1 ) 2 ( A 2 + F 2 )
Corollary 1.
The probability of the government choosing an active security management strategy is positively correlated with government reputation benefit  E 4  and the strength of rewards and punishments  ( F 1 + A 1 )  towards enterprises and negatively correlated with government security management cost  C 3 .
Proof. 
Based on the expression for the probability V 1 of the government choosing an active security management strategy, taking the partial derivatives of various factors, we have: V 1 / E 4 > 0 , V 1 / ( F 1 + A 1 ) > 0 , V 1 / C 3 < 0 . It can be proved that an increase in E 4   ,   ( F 1 + A 1 ) or a decrease in C 3 can all increase the probability of the government choosing an active security management strategy. □
Corollary 1 implies ensuring the government’s reputation benefit has a promoting effect on government security management. The government can not only strengthen rewards and punishments for enterprises, but also compress security management costs by adjusting investment structures and optimizing management methods, thereby increasing the government’s willingness to choose active security management.
Corollary 2.
During the evolutionary process, the probability of the government choosing an active security management strategy decreases as the probability of active security investment by coal enterprises and the willingness of miners to actively cooperate increase.
Proof. 
As per the government strategy stability analysis, it can be determined that when z > z , G ( z ) < 0 . At this point, d ( F ( x ) / d x | x = 0 < 0 , and x = 0 represents the government’s stable evolutionary strategy. Conversely, x = 1 is an ESS. The closer the value of z is to 1, the higher the probability that the government chooses active security management. Therefore, as y and z decrease, the government’s stable strategy transitions from x = 0 (choosing passive security management) to x = 1 (choosing active security management). □
Corollary 2 indicates that the government’s willingness to choose active security management is influenced by the strategic choices of coal enterprises and miners. When coal enterprises have a higher willingness to invest in active security or miners have a higher willingness to cooperate actively, the government is more likely to reduce the probability of active management, which can lead to regulatory deficiencies.

4.2. Stability Analysis of Coal Enterprises’ Strategies

Let the expected benefit of coal enterprises choosing “active security management” be denoted as U 21 , and the expected benefit of choosing “passive security management” be denoted as U 22 . The average expected benefit is represented as U 2 :
U 21 = C 1 + x A 1 z A 3 + R 1 + E 3 + F 3 z F 3  
U 22 = x F 1 + z R 4 + R 3
U 2 = y U 21 + 1 y U 22
The replicator dynamics equation for the strategy selection of coal enterprises is as follows:
F y = d y d t = y ( 1 y ) ( x A 1 z A 3 + R 1 + E 3 + F 3 z F 3 + x F 1 z R 4 R 3 C 1 )
The first-order derivatives of y and the specified J(z) are, respectively:
d ( F ( y ) ) / d y = ( 1 2 y ) ( x A 1 z A 3 + R 1 + E 3 + F 3 z F 3 + x F 1 z R 4 R 3 C 1 )
J ( z ) = x A 1 z A 3 + R 1 + E 3 + F 3 z F 3 + x F 1 z R 4 R 3 C 1  
According to the requirements for stable points in evolutionary game theory, when the proportion deviates from these stable points denoted as x , the replicator dynamics will still bring it back to these levels. Specifically, for the probability of coal enterprises choosing active security management to be in a stable state, it needs to satisfy: F y = 0 and d ( F ( y ) ) / d y < 0 . Clearly, J ( z ) / z > 0 , so J ( z ) is an increasing function to z . When z = x F 1 + A 1 + R 1 + E 3 + F 3 R 3 C 1 A 3 + F 3 + R 4 = z , J ( z ) = 0 , d ( F ( y ) ) / d y 0 . At this point, regardless of the coal enterprises’ strategy choice, it belongs to an equilibrium strategy, and it does not change over time.
(a)
When z > z , J ( z )   < 0, and at this point, d ( F ( y ) ) / d y | y = 0 < 0 , where y = 0 represents the coal enterprise’s stable evolutionary strategy, meaning that choosing passive safety investment is the only evolutionarily stable strategy for coal enterprises.
(b)
When z < z , J ( z ) > 0, and at this point, d ( F ( y ) ) / d y | y = 1 < 0 , where y = 1 represents the coal enterprise’s stable evolutionary strategy, indicating that choosing active safety investment is the only evolutionarily stable strategy for coal enterprises.
Based on the above process, using Matlab R2021b for plotting, the decision dynamics of coal enterprises are shown in Figure 3.
Figure 3 shows that the probability of coal enterprises choosing the active security investment strategy can be represented by the volume V 2 of the region in the plane z < z , calculated as:
V 2 = 0 1 0 1 x F 1 + A 1 + R 1 + E 3 + F 3 R 3 C 1 A 3 + F 3 + R 4 d x d y = 2 ( R 1 R 3 + E 3 + F 3 C 1 ) + ( F 1 + A 1 ) 2 ( A 3 + F 3 + R 4 )
Corollary 3.
The probability of coal enterprises choosing the active security investment strategy is positively correlated with enterprise reputation benefit  E 3 , the government’s rewards and punishments  ( F 1 + A 1 )  towards coal enterprises, the profit difference between choosing active security investment and passive security investment  ( R 1 R 3 ) , and negatively correlated with enterprise security management cost  C 1 .
Proof. 
According to the expression for the probability V 2 of coal enterprises choosing active security investment, taking the partial derivatives of various factors, we have: V 2 / E 3 > 0 , V 2 / ( F 1 + A 1 ) > 0 , V 2 / ( R 1 R 3 ) > 0 , V 2 / C 1 < 0 . It can be proved that an increase in E 3 , ( F 1 + A 1 ) , ( R 1 R 3 ) , or a decrease in C 1 all increase the probability of coal enterprises choosing active security investment. □
Corollary 3 indicates that coal enterprises can not only reduce costs by optimizing management and improving the utility of capital investment, but also increase profits after choosing active security investment through intensified media promotion and attracting financing, thereby enhancing their willingness to invest actively in security. Furthermore, the government can encourage coal enterprises to increase security investment by strengthening rewards and punishments.
Corollary 4.
During the evolutionary process, the probability of coal enterprises’ active security investment decreases with the government’s increasing probability of choosing active security management or a decrease in miners’ willingness to cooperate actively.
Proof. 
According to the government strategy stability analysis, it can be determined that when z > z , J ( z ) < 0 . At this point, d ( F ( y ) ) / d y | y = 0 < 0 , and y = 0 represents the stable evolutionary strategy of coal enterprises. Conversely, x = 1 is an ESS. The closer the value of z is to 1, the greater the probability of active security investment by coal enterprises. Therefore, as x increases or z decreases, the stable strategy of coal enterprises transitions from y = 0 (choosing passive security investment) to y = 1 (choosing active security investment). □
Corollary 4 suggests that the willingness of coal enterprises to choose active security investment is influenced by the strategies of both the government and miners. The government can choose to increase its willingness to implement active security management to ensure a higher probability of active security investment by coal enterprises. However, when miners have a higher willingness to cooperate actively, the probability of coal enterprises choosing active security investment decreases, leading to a phenomenon of reduced investment in safety technology.

4.3. Stability Analysis of Miners’ Strategies

Let the expected benefit of miners choosing “active cooperation” be denoted as U 31 , and the expected benefit of choosing “passive cooperation” be denoted as U 32 . The average expected benefit is represented as U 3 :
U 31 = x A 2 + y A 3 C 2
U 32 = x F 2 + R 2 y F 3
U 3 = z U 21 + 1 z U 22
The replicator dynamics equations are as follows:
F z = d z d t = z 1 z ( x A 2 + y A 3 C 2 + x F 2 R 2 + y F 3 )  
The first-order derivatives of z and the specified H ( x ) are, respectively:
d ( F ( z ) ) / d z = ( 1 2 z ) ( x A 2 + y A 3 C 2 + x F 2 R 2 + y F 3 )
H ( x ) = x A 2 + y A 3 C 2 + x F 2 R 2 + y F 3
According to the requirements for stable points in evolutionary game theory, that is, when the proportion deviates from these stable points denoted as x , the replicator dynamics will still bring it back to these levels. Specifically, for the probability of coal enterprises choosing active security management to be in a stable state, it needs to satisfy: F z = 0 and d ( F ( y ) ) / d y < 0 . Clearly, H ( x ) / x > 0 , so H ( x ) is an increasing function to z . When x = C 2 + R 2 y ( A 3 + F 3 ) A 2 + F 2 = x , H ( x ) = 0 , d ( F ( z ) ) / d z 0 . At this point, regardless of the coal enterprises’ strategy choice, it belongs to an equilibrium strategy, and it does not change over time.
(a)
When x > x , H ( x ) > 0 , and at this point, d ( F ( z ) ) / d z | z = 1 < 0 , where z = 1 represents the miner’s stable evolutionary strategy (ESS), meaning that miners taking active cooperation is the only evolutionarily stable strategy.
(b)
When x < x , H ( x ) < 0 , and at this point, d ( F ( z ) ) / d z | z = 0 < 0 , where z = 0 represents the miner’s stable evolutionary strategy (ESS), indicating that miners taking passive cooperation is the only evolutionarily stable strategy.
Based on the above process, using Matlab R2021b for plotting, the decision dynamics of the miner group are shown in Figure 4.
Figure 4 shows that the probability of miners choosing the “active cooperation” strategy can be represented by the volume V 3 of the region in the plane x > x , calculated as:
V 3 = 1 0 1 0 1 C 2 + R 2 y ( A 3 + F 3 ) A 2 + F 2 d y d z = 1 2 ( C 2 + R 2 ) ( A 3 + F 3 ) 2 ( A 2 + F 2 )
Corollary 5.
The probability of miners choosing the “active cooperation” strategy is positively correlated with the government’s rewards and punishments towards miners  ( A 2 + F 2 )  and the enterprise’s rewards and punishments towards miners  ( A 3 + F 3 ) , and negatively correlated with the cost of active cooperation for miners  C 2  and the benefits brought about by passive cooperation  R 2 .
Proof. 
According to the expression for the probability V 3 of miners choosing “active cooperation”, we calculate the first-order partial derivatives of various elements and obtain: V 3 / ( A 2 + F 2 ) > 0 , V 3 / ( A 3 + F 3 ) > 0 , V 3 / C 2 < 0 , V 3 / R 2 < 0 . Therefore, it can be proven that an increase in ( A 2 + F 2 ) , ( A 3 + F 3 ) or a decrease in C 2 or R 2 all lead to an increase in the probability of miners choosing “active cooperation”. □
Corollary 5 indicates that both the government and coal enterprises can guide miners to actively cooperate with safety management by strengthening rewards and punishments for miners. Additionally, reducing the cost of miner cooperation and the benefits of passive cooperation have a promoting effect on miners choosing the “active cooperation” strategy.
Corollary 6.
During the evolution process, the probability of miners actively cooperating decreases as the government’s probability of choosing active safety management or coal enterprises’ willingness to invest in active safety decreases.
Proof. 
From the stability analysis of miners’ strategies, it is known that when x > x , H ( x ) > 0 . In this case, d ( F ( z ) ) / d z < 0 , and z = 1 represents the stable evolutionary strategy for coal enterprises. Conversely, z = 0 is an ESS. The closer the value of x is to 0, the greater the probability of miners choosing “active cooperation”. Therefore, as x increases or y decreases, the stable strategy for miners shifts from z = 0 (choosing “passive cooperation”) to z = 1 (choosing “active cooperation”). □
Corollary 6 suggests that the willingness of coal enterprises to invest in active safety is influenced by the strategies chosen by the government and miners. The government can choose to increase its willingness to engage in active safety management to ensure a higher probability of coal enterprises investing in active safety. However, when miners have a higher willingness to cooperate actively, the probability of coal enterprises investing in active safety decreases, leading to a phenomenon of reduced safety investments.

4.4. Evolutionary Stability Analysis

By simultaneously solving Equations (10)–(12), we obtain the replicator dynamics systems for the government, coal enterprises, and miners as follows:
F x = x 1 x E 4 + F 1   +   F 2 C 3 z A 2 z F 2 y A 1 y F 1 F y = y 1 y x A 1 z A 3 + R 1 + E 3 + F 3 z F 3 + x F 1 z R 4 R 3 C 1 F z = z U 31 U 3 = z 1 z x A 2 + y A 3 C 2 + x F 2 R 2 + y F 3
According to the method proposed by Fridman, a stability analysis of the equilibrium points (ESS) is conducted using the Jacobian matrix [53]. From the equation above, we obtain the Jacobian matrix as follows:
J = F x x F x y F x z F y x F y y F y z F z x F z y F z z  
Based on Equation (16), we can solve for a total of 15 equilibrium points. According to the research results of Selten, ESS in multi-population evolutionary games must be pure-strategy Nash equilibria [54]. This means that, among the 15 equilibrium points obtained, the mixed-strategy equilibria are not ESS. Therefore, it is only necessary to analyze the following eight pure strategy equilibrium points.
E 1 = 0 0 0 , E 2 = 0 0 1 , E 3 = 0 1 0 , E 4 = 1 0 0 ,
E 5 = 1 1 0 , E 6 = 1 0 1 , E 7 = 0 1 1 , E 8 = 1 1 1
According to the Lyapunov stability criterion: when all the eigenvalues of the Jacobian matrix are negative, it indicates that the equilibrium point is a stable equilibrium point. If there are positive eigenvalues, the equilibrium point is considered to be unstable. When there is an eigenvalue of 0 and all other eigenvalues are negative, the equilibrium point is classified as a critical equilibrium point [55]. The computed eigenvalues for equilibrium points E 1 to E 8 are shown in Table 4, as follows:
Observing the eigenvalues obtained under different strategies in Table 3, it is not possible to directly determine the positive or negative status of the corresponding eigenvalues, and thus, Lyapunov’s theorem cannot be used to assess the stability of equilibrium points. This complexity arises due to the myriad factors influencing the decision making of participants in the developmental stages of evolutionary game events. These influencing factors are represented by various parameters in the table, impacting the positive or negative status of the eigenvalues and, consequently, the stability of equilibrium points. Any alteration in a specific factor affects the decisions of at least one game participant, thereby initiating mutual influences among the three participants. As a consequence, their decisions continually replicate, learn, and evolve in response to variations in parameters.
The “Three-Year Action Plan for National Safety Production Special Rectification” issued by the State Council Safety Committee makes a series of requirements for the government, enterprises, and enterprise personnel. For the government, it is required to strengthen the implementation of the safety production responsibility system and the construction of safety supervision cadres. For enterprises and their employees, it is required to establish a safety production responsibility system, implement full staff safety production responsibility, and promote the social governance of enterprise safety production. The requirements of the “Action Plan” align with the long-term development of the three parties in the game, namely, the strategies {active safety rectification, active safety investment, active cooperation}, which are the best strategies set for the government, coal enterprises, and miners. Equilibrium point E 8 represents the optimal state beneficial to all three parties, according to the Lyapunov theorem, to achieve a stable state at equilibrium point E 8 , the condition is (1) E 4 + C 3 + A 1 + A 2 < 0 , (2) A 1 + A 3 R 1 E 3 + R 4 + R 3 + C 1 F 1 + F 3 < 0 , (3) A 3 A 2 + C 2 + R 2 F 3 F 2 < 0 .

5. Simulation Analysis

To intuitively examine the influence of diverse factors on the decision making processes of the government, coal enterprises, and miners, an analysis of the phase diagram was performed. Key factors, such as government rewards, government penalties, cost-based incentives and disincentives for the adoption of proactive strategies by enterprises, and social reputation, were chosen for this analysis. Employing the Matlab R2021b algorithm, a data simulation analysis of the trajectory of strategy evolution was carried out over a specified period (t). Furthermore, as analyzed in the preceding sections, the optimal strategy selection for the three parties in the bounded rationality game is {active safety rectification, active safety rectification, active cooperation}. To investigate the influence of various factors on the game outcomes, and consider the real-world situation along with the stability conditions (1)–(3) of the equilibrium point, values are assigned to the model for a simulation analysis of this evolutionary game. Initial simulation data are set as shown in Table 5. Through the verification of conditions (1)–(3), it is determined that at this initial state, E 8 , is in a critical stable state.
In the theory of evolutionary game theory, each participant dynamically adjusts their decisions through learning, imitation, and other behaviors. The equilibrium outcomes are not only influenced by external factors, but also depend on the initial state of the game. Below is a specific analysis of how changes in various parameters affect strategy selection, aiming to promote the achievement of the desired strategy {active safety rectification, active safety rectification, active cooperation}.

5.1. Change in Government Incentives

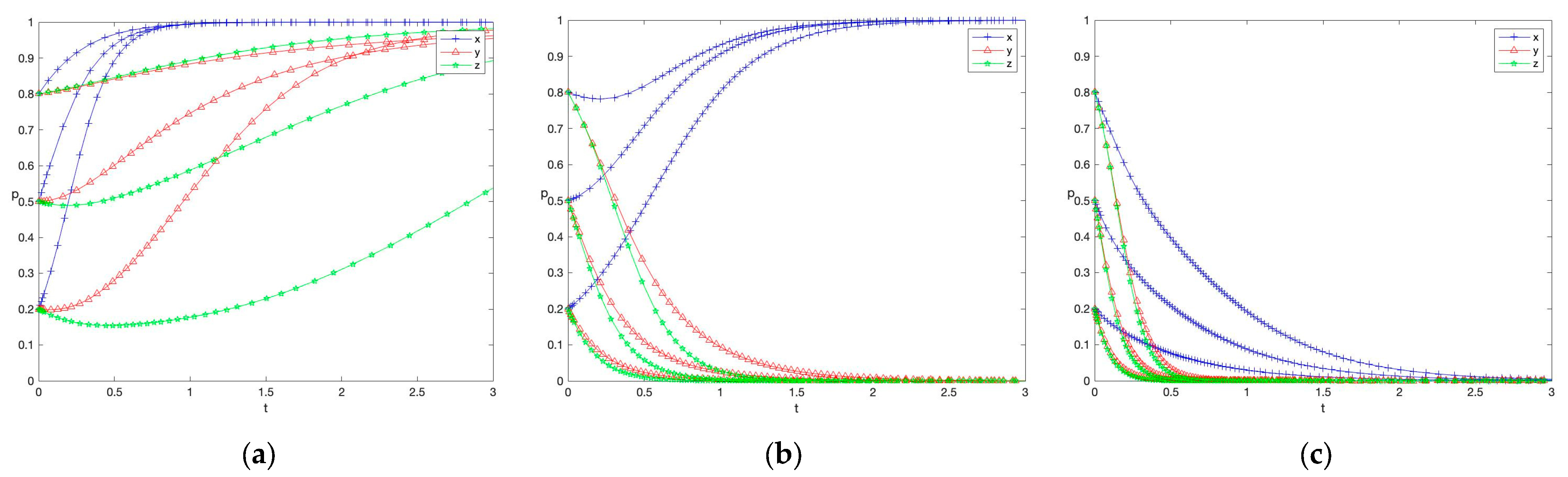
Specific parameter changes are as follows: A 1 = 1 ,   2 ,   4 ;   A 2 = 1 ,   2 ,   4 . That is, after a change in the amount of government incentives, the evolutionary dynamics of strategies for the government, coal enterprises, and miners are shown in Figure 5.
From Figure 5, it can be observed that, as the rewards for coal enterprises and miners for actively cooperating with safety rectification increase, coal enterprises and miners tend to cooperate more rapidly with safety rectification, as shown in Figure 5b. However, when government incentives are excessively high, as illustrated in Figure 5c, the associated policy costs become burdensome, prompting the government to lean towards a passive safety rectification strategy. Moreover, different initial probabilities have a significant impact on the decision evolution of game participants. From the graph, it can be seen that, when the initial probability of miners choosing active cooperation is different, the speed at which they tend toward x = 1 varies, and they may even tend toward a passive cooperation strategy. Additionally, the assignment in Figure 5b satisfies conditions (1)–(3) and complies with the Lyapunov theorem, indicating that equilibrium point E 8 is in a stable state. In contrast, the assignment in Figure 5c does not satisfy condition (1), and, in this case, equilibrium point E 8 is in an unstable state.
Examining the influence of alterations in government incentives on the evolution of strategies for the three parties reveals that the government can foster cooperation in safety rectification by judiciously enhancing incentives for coal enterprises and miners. However, it is crucial to emphasize that the magnitude of rewards should not be excessively high to prevent imposing a financial burden on the government.

5.2. Change in Government Penalties

Specific parameter changes are as follows: F 1 = 1 ,     2 ,     4 ;   F 2 = 1 ,     2 ,     4 . That is, after a change in the amount of government penalties, the evolutionary dynamics of strategies for the government, coal enterprises, and miners are shown in Figure 6.
From Figure 6, it can be observed that, as the government’s penalties for coal enterprises and miners for passive cooperation with safety rectification increase, coal enterprises and miners tend to cooperate more rapidly with safety rectification. Moreover, different initial probabilities have a significant impact on the decision evolution of game participants. From the graph, it can be seen that, when the initial probability of miners choosing active cooperation is different, the speed at which they tend toward x = 1 varies. Additionally, the assignments in Figure 6b,c satisfy conditions (1)–(3) and comply with the Lyapunov theorem, indicating that equilibrium point E8 is in a stable state.
Examining the influence of alterations in government penalties on the evolution of strategies for the three parties reveals that the government can foster cooperation in safety rectification by enhancing penalties for coal enterprises and miners. This, in turn, facilitates the achievement of a stable state E8 for all three parties. In contrast to the government intensifying reward incentives, excessively high government penalties, especially when they do not impact the cost of government safety rectification, do not incline the government toward a passive safety rectification strategy. Such a strategy could otherwise influence the decisions of coal enterprises and miners.

5.3. Changes in the Costs of the Three Parties

Specific parameter changes are as follows: C 1 = 3 ,     8 ,     13 ;   C 2 = 1 ,     6 ,     11 ;   C 3 = 1 ,     6 ,     11 . That is, after changes in the costs associated with active safety rectification by the three parties, the evolutionary dynamics of strategies for the government, coal enterprises, and miners are shown in Figure 7.
From Figure 7, it can be observed that, the greater the cost of safety rectification for the government, coal enterprises, and miners, the more rapidly the three participating parties tend toward passive safety rectification. Figure 7b shows that, after a slight increase in costs, the decisions of coal enterprises and miners quickly tend toward passive safety rectification, while the government still tends toward active safety rectification. This may be because, compared to coal enterprises and miners, the government has a much larger economic scale and has to appropriately disregard certain financial gains and losses when facing issues related to the safety of people’s lives and property. Additionally, neither the assignments in Figure 7b,c satisfy conditions (1)–(3), and, in these cases, equilibrium point E 8 is in an unstable state.
Observing the impact of changes in the costs of the three parties on the evolution of their strategies, it is evident that cost is a factor that has a significant negative impact on the safety rectification efforts of the government, coal enterprises, and miners. To achieve the desired strategy {active safety rectification, active safety rectification, active cooperation}, the government and coal enterprises can compress the cost of safety rectification by adjusting their investment structure and optimizing management. Moreover, the government and coal enterprises should proactively assume a leadership role in easing the impact of work reforms on miners. This entails providing technical support and training, establishing communication channels to promptly understand miners’ needs, and more.

5.4. Enterprise Rewards and Penalties

Specific parameter changes are as follows: A 3 = 0.5 ,     0.25 ,     0 ;   F 3 = 0.5 ,     0.25 ,     0 . That is, after changes in the rewards and penalties that enterprises apply to miners, the evolutionary dynamics of strategies for the government, coal enterprises, and miners are shown in Figure 8.
From Figure 8, it can be observed that, the greater the extent of rewards and penalties that coal enterprises apply to miners, the more rapidly the three participating parties tend toward active safety rectification. Furthermore, the parameter of enterprise rewards and penalties is not directly related to the government, but when this parameter changes, the convergence speed of government decisions also changes. This is because the strategic choices of the three parties in the game mutually influence each other. Similarly, different initial probabilities have a significant impact on the decision evolution of game participants. From the graph, it can be seen that, when the initial probability of miners choosing active cooperation is different, the speed at which they tend toward x = 1 varies. Additionally, the assignment in Figure 8b satisfies conditions (1)–(3) and complies with the Lyapunov theorem, indicating that equilibrium point E 8 is in a stable state. In contrast, the assignment in Figure 8c does not satisfy condition (3), and in this case, equilibrium point E 8 is in an unstable state.
Observing the impact of changes in enterprise rewards and penalties on the evolution of strategies for the three parties, it is evident that coal enterprises can promote the attainment of the stable ideal strategy {active safety rectification, active safety rectification, active cooperation} by implementing a reasonable rewards and penalties mechanism. This includes setting appropriate reward and penalty amounts, recognizing safety production behaviors, and increasing the enforcement of penalties for violations.

5.5. Social Reputation

Specific parameter changes are as follows: E 1 = 1 ,     3 ,     6 ;   E 2 = 3 ,     6 ,     9 ;   E 3 = 3 ,     6 ,     9 ;   E 4 = 6 ,     9 ,     12 . That is, after changes in the degree of influence on the social reputation of the three parties when choosing safety rectification strategies, the evolutionary dynamics of strategies for the government, coal enterprises, and miners are shown in Figure 9.
From Figure 9, it can be observed that, the greater the reputation benefits for the government and coal enterprises after safety rectification, the more rapidly the government and coal enterprises tend toward active safety rectification. Furthermore, from the decision evolution process of miners in the lower graph, it can be seen that the improvement in reputation benefits for the government and coal enterprises after choosing active safety rectification accelerates the rate at which miners tend to choose active strategies. Additionally, both the assignments in Figure 9b,c satisfy conditions (1)–(3) and comply with the Lyapunov theorem, indicating that equilibrium point E 8 is in a stable state.
Examining how changes in social reputation benefits influence the evolution of strategies for the three parties reveals that enhancing social reputation benefits constitutes a distinct form of incentive mechanism. The government can utilize heightened media exposure to promote an increased emphasis on safety rectification efforts for itself and coal enterprises. Additionally, for miners, beyond employing direct rewards and penalties as incentives, the government or coal enterprises can set an example through their proactive safety rectification activities, thereby motivating miners to actively participate in safety rectification efforts.

6. Conclusions

6.1. Research Conclusions

Firstly, the construction of evolutionary games helps to clarify the complex and intertwined interests of the government, coal enterprises, and miners in safety rectification actions. In the model, the strategic choices of the three parties in the game are shown to mutually influence each other and constantly evolve.
Secondly, a simulation analysis of the evolutionary trends of the strategies of game subjects under different parameter changes was conducted using Matlab 2021b. Specifically, setting fines for unsafe behavior, reducing the cost of safety rectification, and increasing the social reputation benefits of safety rectification have a single promoting effect on the three parties’ achievement of the optimal strategy. However, the government setting reasonable reward amounts for enterprises and miners, along with enterprises’ reward and penalty amounts for miners, contributes to promoting safe production behavior. Excessively high reward amounts may not be conducive to the safety rectification behavior of the reward provider.
Thirdly, the initial willingness of the game participants affects the evolution process of decisions. The greater the initial probability, the faster they reach the strategy set {active safety rectification, active safety rectification, active cooperation}, and the convergence speed of the decision making of the game participants decreases over time.

6.2. Theoretical Implications

The strategy choices of each game entity are influenced by multiple external variables. When certain conditions are met for the relevant parameters of each game entity, they may eventually reach corresponding stable equilibrium points. The calculation of the payoff matrix and analysis of the simulation model reveals the potential existence of eight evolutionary stable states in the three-party safety special rectification game model. Only when the equilibrium point E 8 (1,1,1) reaches an Evolutionarily Stable Strategy (ESS), meaning the government chooses active safety regulation, coal enterprises opt for active safety investment, and miners choose active cooperation, can an ideal state that benefits all three parties be achieved. Due to the potential for short-term profit maximization driving the participants to choose passive behavior during the natural development of the market, the occurrence of coal mine accidents may not improve, leading to serious societal issues. During the government’s implementation of special safety rectification actions, measures should be taken to prevent the occurrence of the other seven evolutionary stable equilibrium states.
In addition, through a series of simulation experiments in Section 5, we found that, under the conditions (1)–(3), the system has a stable point E 8 (1,1,1), which means the government chooses active safety regulation, coal enterprises choose active safety investment, and miners choose active cooperation. This simulation analysis corroborates the stability of the various parties’ strategies, thereby enhancing the body of research in evolutionary game theory and validating its applicability in coal mine safety management.

6.3. Managerial Implications

(1)
Since the launch of the National Special Campaign on Safe Production in Coal Mines, the overall situation of safe production in the country has been stable. Over the past three years, both the frequency of safety incidents and fatalities in coal mines have shown a year-on-year decline. The occurrences of major and extremely serious accidents have notably diminished. However, incidents involving risk and relatively significant accidents still occur, and safety production is still in a challenging phase. In the process of safety rectification, the government should play the role of a regulator, strengthen the construction of safety supervision cadres, improve laws and regulations related to coal mine safety production, adhere to “cracking down on non-compliance”, and urge coal enterprises to establish disaster management organizations by regulations. The government should offer guidance and implement a balanced system of rewards and penalties. By incentivizing safety-conscious behavior among coal enterprises and miners while penalizing unsafe practices, active involvement in safety rectification initiatives can be fostered. Additionally, government rewards for safety behavior may result in its own financial burden, affecting decision trends. Therefore, government rewards can be transformed into social reputation rewards. For example, honor titles can be given to coal enterprises that excel in safety rectification.
(2)
Any measures for safety rectification must ultimately be implemented by enterprises. Therefore, this campaign separately addresses the safety production responsibility of enterprises and puts forward specific requirements. Throughout this initiative, coal enterprises are required to establish a robust safety production responsibility system, designate key accountable individuals, enhance safety education and training, institute a mechanism for safety risk prevention and control, and upgrade infrastructure. At the same time, the government should provide enterprises with reasonable technical and financial support, and enterprises themselves need to further improve their industrial structure, reduce the cost of safety rectification, enhance the effectiveness of safety investment, and promote industrial structure upgrading. Additionally, enterprises must institute a judicious system of rewards and penalties to incentivize miners to actively engage in safety rectification efforts.
(3)
Miners work on the front lines of production, and their production behavior directly affects the accident rate in coal mines. Throughout the safety rectification campaign, enterprises, being the direct overseers of miners, must institute a comprehensive safety production responsibility system for all employees. They should encourage strict adherence by front-line employees to safety production responsibilities, maintain adherence to safety operation protocols, and institute a multi-tiered safety production framework. Furthermore, miners should fully utilize their capacity for social governance, promote public opinion supervision and internal supervision within enterprises, establish a reporting rewards and penalties system, and urge the government and enterprises to fully implement safety rectification actions.

6.4. Limitations of the Study

Although the evolutionary game model rectifies the assumption of fully rational participants in traditional game theory, it maintains certain limitations, necessitating further exploration in future research. Firstly, in the model, the government is treated as a single participant. However, the government operates at different levels, with the central government responsible for formulating relevant laws and regulations, local governments directly interacting with coal enterprises and miners, and often conflicting interests occurring between central and local governments when taking action. The model presented in this paper does not take this factor into consideration.
Secondly, the benefit matrix used in this study primarily focuses on actual financial interests and overlooks the psychological factors of participants. In real gaming scenarios, the psychological factors of participants frequently wield a substantial influence on game outcomes. Consequently, further research is warranted to explore the facets of coal mine safety rectification from varied perspectives.

Author Contributions

Writing—original draft, C.X.; writing—review & editing, H.L. and L.C. All authors have read and agreed to the published version of the manuscript.

Funding

This study was supported by the National Natural Science Foundation of China (Grant Numbers 51874237, U1904210) and the National Social Science Fund of China (Grant Number 20XGL025). The authors deeply appreciate the support.

Data Availability Statement

Data are contained within the article and at the following link: https://github.com/linktoxc/three-party-evolutionary-game.git, accessed on 12 October 2023.

Conflicts of Interest

The authors declare no conflict of interest.

Nomenclature

SymbolMeaningSymbolMeaning
ESSEvolutionary Stable Strategy L choose an active cooperation strategy
Pthe set of participants L ¯ choosing a passive cooperation strategy
S 1 the government’s strategy setUexpected benefit
S 2 coal enterprises’ strategy setF(x)/F(y)/F(z)the replicator dynamics equation
S 3 the miners’ strategy set V 1 ~ V 3 Volume of Probability Magnitude
S choose active safety regulation strategy J Jacobian matrix
S ¯ choose a passive safety regulation strategy E 1 ~ E 8 pure strategy equilibrium points
I choose an active safety investment strategy   λ Eigenvalues of the Jacobian matrix
I ¯ choose a passive safety investment strategyParameters related to payoff matrix are shown in Table 1

References

  1. Qiu, Z.; Liu, Q.; Li, X.; Zhang, J.; Zhang, Y. Construction and analysis of a coal mine accident causation network based on text mining. Process Saf. Environ. Prot. 2021, 153, 320–328. [Google Scholar] [CrossRef]
  2. Li, X. A Comparative Study of the Coal Mine Safety Management Systems in China and the United States. Ph.D. Thesis, China University of Mining and Technology, Beijing, China, 2011. [Google Scholar]
  3. Zhang, B. Research on Administrative Supervision of Coal Mine Safety in China. Master’s Thesis, China University of Political Science and Law, Beijing, China, 2007. [Google Scholar]
  4. Liu, S.; Yu, X. In-depth Issues and Solutions for Coal Mine Safety Regulation in China. Coal Econ. Res. 2009, 02, 71–73. [Google Scholar]
  5. Hu, W.; Wu, D.; Li, L. Research on the Management System of China’s Coal Industry. Coal Econ. Res. 2007, 06, 25–28. [Google Scholar]
  6. Morantz, A.D. Coal Mine Safety: Do Unions Make a Difference? ILR Rev. 2013, 66, 88–116. [Google Scholar] [CrossRef]
  7. Chen, M. A Brief Analysis of the Current Status and Existing Problems of China’s Coal Mine Safety Training Management System. Inn. Mong. Coal Econ. 2022, 15, 107–109. [Google Scholar] [CrossRef]
  8. Mutter, B. Development of a Web Based Course in Miner Safety Training. In Proceedings of the 2009 Annual Conference & Exposition Proceedings, ASEE Conferences, Austin, TX, USA, 14–17 June 2009; pp. 14.474.1–14.474.11. [Google Scholar]
  9. Walters, D.; Quinlan, M.; Johnstone, R.; Wadsworth, E. Representing miners in arrangements for health and safety in coalmines: A study of current practice. Econ. Ind. Democr. 2019, 40, 976–996. [Google Scholar] [CrossRef]
  10. Meng, Q.; Cheng, L. A Quantitative Study of Coal Miners’ Preventive Behaviors against Occupational Hazards. Coal Mine Saf. 2021, 52, 261–264. [Google Scholar] [CrossRef]
  11. Tkacheva, O.; Batashova, A.; Zhukova, I.; Smakhtina, A.; Topchienko, L. Strategic Management of Coal Mining Industry Efficiency. Asian Soc. Sci. 2015, 11, 104. [Google Scholar] [CrossRef]
  12. Wang, Y.; Fu, G.; Lyu, Q.; Wu, Y.; Jia, Q.; Yang, X.; Li, X. Reform and development of coal mine safety in China: An analysis from government supervision, technical equipment, and miner education. Resour. Policy 2022, 77, 102777. [Google Scholar] [CrossRef]
  13. Jiang, F.; Lai, E.; Shan, Y.; Tang, F.; Li, H. A set theory-based model for safety investment and accident control in coal mines. Process Saf. Environ. Prot. 2020, 136, 253–258. [Google Scholar] [CrossRef]
  14. Li, W.; Zhou, L.; Hao, J.; Yu, K.; Chen, J.; Liu, P.; Feng, R. Dynamic simulation and control strategy exploration of the unsafe behavior of coal mine employees. Resour. Policy 2023, 86, 104067. [Google Scholar] [CrossRef]
  15. Wu, B.; Wang, J.; Qu, B.; Qi, P.; Meng, Y. Development, effectiveness, and deficiency of China’s Coal Mine Safety Supervision System. Resour. Policy 2023, 82, 103524. [Google Scholar] [CrossRef]
  16. Liu, Q.; Li, X.; Hassall, M. Regulatory regime on coal Mine Safety in China and Australia: Comparative analysis and overall findings. Resour. Policy 2021, 74, 101454. [Google Scholar] [CrossRef]
  17. Liu, Q.; Wang, J.; Qiu, Z. Data as evidence: Research on the influencing factors and mechanisms of coal mine safety supervision effect in China. Resour. Policy 2023, 81, 103298. [Google Scholar] [CrossRef]
  18. Chen, H.; Feng, Q.; Zhu, D.; Han, S.; Long, R. Impact of rent-seeking on productivity in Chinese coal mine safety supervision: A simulation study. Energy Policy 2016, 93, 315–329. [Google Scholar] [CrossRef]
  19. Fisman, R.; Wang, Y. The Mortality Cost of Political Connections. Rev. Econ. Stud. 2015, 82, 1346–1382. [Google Scholar] [CrossRef]
  20. Feng, Q.; Chen, H. The safety-level gap between China and the US in view of the interaction between coal production and safety management. Saf. Sci. 2013, 54, 80–86. [Google Scholar] [CrossRef]
  21. Li, S.; You, M.; Li, D.; Liu, J. Identifying coal mine safety production risk factors by employing text mining and Bayesian network techniques. Process Saf. Environ. Prot. 2022, 162, 1067–1081. [Google Scholar] [CrossRef]
  22. Galy, B.; Giraud, L. Risk mitigation strategies for automated current and future mine hoists. Saf. Sci. 2023, 167, 106267. [Google Scholar] [CrossRef]
  23. Lu, J.; Liu, W.; Yu, K.; Zhou, L. The Dynamic Evolution Law of Coal Mine Workers’ Behavior Risk Based on Game Theory. Sustainability 2022, 14, 4015. [Google Scholar] [CrossRef]
  24. Wang, L.; Cao, Q.; Zhou, L. Research on the influencing factors in coal mine production safety based on the combination of DEMATEL and ISM. Saf. Sci. 2018, 103, 51–61. [Google Scholar] [CrossRef]
  25. Chu, C.; Jain, R.; Muradian, N.; Zhang, G. Statistical analysis of coal mining safety in China with reference to the impact of technology. J. S. Afr. Inst. Min. Metall. 2016, 116. [Google Scholar] [CrossRef]
  26. Tong, L.; Dou, Y. Simulation study of coal mine safety investment based on system dynamics. Int. J. Min. Sci. Technol. 2014, 24, 201–205. [Google Scholar] [CrossRef]
  27. Chen, L.; Li, H.; Zhao, L.; Tian, F.; Tian, S.; Shao, J. The effect of job satisfaction regulating workload on miners’ unsafe state. Sci. Rep. 2022, 12, 16375. [Google Scholar] [CrossRef] [PubMed]
  28. Chen, H.; Qi, H.; Long, R.; Zhang, M. Research on 10-year tendency of China coal mine accidents and the characteristics of human factors. Saf. Sci. 2012, 50, 745–750. [Google Scholar] [CrossRef]
  29. Yin, W.; Fu, G.; Yang, C.; Jiang, Z.; Zhu, K.; Gao, Y. Fatal gas explosion accidents on Chinese coal mines and the characteristics of unsafe behaviors: 2000–2014. Saf. Sci. 2017, 92, 173–179. [Google Scholar] [CrossRef]
  30. Song, X.; Mu, X. The safety regulation of small-scale coal mines in China: Analysing the interests and influences of stakeholders. Energy Policy 2013, 52, 472–481. [Google Scholar] [CrossRef]
  31. Liu, Q.; Li, X.; Qiao, W.; Meng, X.; Li, X.; Shi, T. Analysis of embedded non-safety regulation games in China’s two types of coal mines through safety performance disparity, 1980–2014. Resour. Policy 2017, 51, 265–271. [Google Scholar] [CrossRef]
  32. Abdelhamid, T.S. Identifying Root Causes of Construction Accidents. J. Constr. Eng. Manag. 2000, 126, 52–60. [Google Scholar] [CrossRef]
  33. Keiser, K.R. The new regulation of health and safety. Political Sci. Q. 1980, 95, 479–491. [Google Scholar] [CrossRef]
  34. Palmini, D. Uncertainty, risk aversion, and the game theoretic foundations of the safe minimum standard: A reassessment. Ecol. Econ. 1999, 29, 463–472. [Google Scholar] [CrossRef]
  35. Reniers, G.; Soudan, K. A game-theoretical approach for reciprocal security-related prevention investment decisions. Reliab. Eng. Syst. Saf. 2010, 95, 1–9. [Google Scholar] [CrossRef]
  36. Klanac, A.; Varsta, P. Design of marine structures with improved safety for environment. Reliab. Eng. Syst. Saf. 2011, 96, 75–90. [Google Scholar] [CrossRef]
  37. Smith, J.M.; Price, G.R. The logic of animal conflict. Nature 1973, 246, 15–18. [Google Scholar] [CrossRef]
  38. Maciejewski, W.; Fu, F.; Hauert, C. Evolutionary Game Dynamics in Populations with Heterogenous Structures. PLoS Comput. Biol. 2014, 10, e1003567. [Google Scholar] [CrossRef] [PubMed]
  39. Wang, D.; Dou, W. Research on the synergy mechanism of multiple subjects in global climate governance: Based on the perspective of the evolutionary game of carbon neutral strategy between China, the US, and the EU. J. Clean. Prod. 2023, 419, 138306. [Google Scholar] [CrossRef]
  40. Wei, G.; Zhu, P.; Vasilakos, A.V.; Mao, Y.; Luo, J.; Ling, Y. Cooperation Dynamics on Collaborative Social Networks of Heterogeneous Population. IEEE J. Select. Areas Commun. 2013, 31, 1135–1146. [Google Scholar] [CrossRef]
  41. Han, J.; Tan, Q.; Ji, Q.; Li, Y.; Liu, Y.; Wang, Y. Simulating the CCUS technology diffusion in thermal power plants: An agent-based evolutionary game model in complex networks. J. Clean. Prod. 2023, 421, 138515. [Google Scholar] [CrossRef]
  42. Yunan, X.; Weixin, L.; Yujie, Y.; Hui, W. Evolutionary game for the stakeholders in livestock pollution control based on circular economy. J. Clean. Prod. 2021, 282, 125403. [Google Scholar] [CrossRef]
  43. Yinnan, H.; Ruxiang, Q. Autonomous rectification behavior of coal mine safety hazards under a gambling mind: From an evolutionary game perspective. Process Saf. Environ. Prot. 2023, 169, 840–849. [Google Scholar] [CrossRef]
  44. Xie, Y.; Lu, G.; Lai, D.; Tao, M. Game analysis of enterprise safety investment and employee safety behavior strategy evolution in high-risk industries. Heliyon 2023, 9, e15081. [Google Scholar] [CrossRef] [PubMed]
  45. Shi, P.; Hao, Y.; Sun, C.; Zhang, L. Evolutionary game and simulation analysis on management synergy in China’s coal emergency coordination. Front. Environ. Sci. 2023, 11, 1062770. [Google Scholar] [CrossRef]
  46. Yu, K.; Zhou, L.; Cao, Q.; Li, Z. Evolutionary game research on symmetry of workers’ behavior in coal mine enterprises. Symmetry 2019, 11, 156. [Google Scholar] [CrossRef]
  47. Ma, L.; Liu, Q.; Qiu, Z.; Peng, Y. Evolutionary game analysis of state inspection behaviour for coal enterprise safety based on system dynamics. Sustain. Comput. Inform. Syst. 2020, 28, 100430. [Google Scholar] [CrossRef]
  48. Zhou, K.; Wang, Q.; Tang, J. Tripartite evolutionary game and simulation analysis of coal mining safe production supervision under the chinese central government’s reward and punishment mechanism. Math. Probl. Eng. 2021, 2021, 1–17. [Google Scholar] [CrossRef]
  49. Wang, X.; Lu, R.; Yu, H.; Li, D. Stability of the Evolutionary Game System and Control Strategies of Behavior Instability in Coal Mine Safety Management. Complexity 2019, 2019, 1–14. [Google Scholar] [CrossRef]
  50. Liu, J.; Li, S.; Bao, W.; Xu, K. Could the Management System of Safety Partnership Change Miners’ Unsafe Behavior? Sustainability 2022, 14, 13618. [Google Scholar] [CrossRef]
  51. Wang, D.; Jia, Q.; Zhang, R. Evolutionary Game and Simulation of Subject Risk Management Behavior in Construction Stage of Engineering Project Based on Strong Reciprocity and Prospect Theory. IEEE Access 2021, 9, 74789–74801. [Google Scholar] [CrossRef]
  52. Wan, A.; Huang, Q.; Elahi, E.; Peng, B. Evolution and simulation of drug safety regulations: Construction of a game model for capture event. Kybernetes 2023. [Google Scholar] [CrossRef]
  53. Friedman, D. On economic applications of evolutionary game theory. J. Evol. Econ. 1998, 8, 15–43. [Google Scholar] [CrossRef]
  54. Selten, R. A note on evolutionarily stable strategies in asymmetric animal conflicts. Asymmetric Anim. Confl. 1979, 84, 93–101. [Google Scholar]
  55. Lyapunov, A.M. The general problem of the stability of motion. Int. J. Control 1992, 55, 531–534. [Google Scholar] [CrossRef]
Figure 1. Game relationship of the three participants.
Figure 1. Game relationship of the three participants.
Mathematics 11 04750 g001
Figure 2. Phase diagram of the dynamic evolution of government decision making.
Figure 2. Phase diagram of the dynamic evolution of government decision making.
Mathematics 11 04750 g002
Figure 3. Phase diagram of the dynamic evolution of coal mining enterprise decision-making.
Figure 3. Phase diagram of the dynamic evolution of coal mining enterprise decision-making.
Mathematics 11 04750 g003
Figure 4. Phase diagram of the dynamic evolution of miners’ decision-making.
Figure 4. Phase diagram of the dynamic evolution of miners’ decision-making.
Mathematics 11 04750 g004
Figure 5. The impact of government reward changes on the tripartite strategy evolution. ( a )   A 1 = 1 , A 2 = 1 . ( b )   A 1 = 2 , A 2 = 2 .   ( c )   A 1 = 4 , A 2 = 4 .
Figure 5. The impact of government reward changes on the tripartite strategy evolution. ( a )   A 1 = 1 , A 2 = 1 . ( b )   A 1 = 2 , A 2 = 2 .   ( c )   A 1 = 4 , A 2 = 4 .
Mathematics 11 04750 g005
Figure 6. The impact of government punishment changes on the tripartite strategy evolution. ( a )   F 1 = 2 , F 2 = 1 . ( b )   F 1 = 4 , F 2 = 2 . ( c )   F 1 = 6 , F 2 = 4 .
Figure 6. The impact of government punishment changes on the tripartite strategy evolution. ( a )   F 1 = 2 , F 2 = 1 . ( b )   F 1 = 4 , F 2 = 2 . ( c )   F 1 = 6 , F 2 = 4 .
Mathematics 11 04750 g006
Figure 7. The impact of cost changes on the tripartite strategy evolution. ( a )   C 1 = 1 , C 2 = 1 ,   C 3 = 1 . ( b )   C 1 = 8 , C 2 = 6 ,   C 3 = 6 . ( c )   C 1 = 13 , C 2 = 11 ,   C 3 = 11 .
Figure 7. The impact of cost changes on the tripartite strategy evolution. ( a )   C 1 = 1 , C 2 = 1 ,   C 3 = 1 . ( b )   C 1 = 8 , C 2 = 6 ,   C 3 = 6 . ( c )   C 1 = 13 , C 2 = 11 ,   C 3 = 11 .
Mathematics 11 04750 g007
Figure 8. The impact of corporate reward and punishment changes on the tripartite strategy evolution. ( a )   A 3 = 0.5 , F 3 = 0.5 . ( b )   A 3 = 2 , F 3 = 0.5 . ( c )   A 3 = 0.5 , F 3 = 2 .
Figure 8. The impact of corporate reward and punishment changes on the tripartite strategy evolution. ( a )   A 3 = 0.5 , F 3 = 0.5 . ( b )   A 3 = 2 , F 3 = 0.5 . ( c )   A 3 = 0.5 , F 3 = 2 .
Mathematics 11 04750 g008
Figure 9. The impact of changes in social reputation benefits on the tripartite strategy evolution. ( a )   E 1 = 1 , E 2 = 3 ,   E 3 = 3 , E 4 = 6 . ( b )   E 1 = 3 , E 2 = 6 ,   E 3 = 6 , E 4 = 9 . ( c )   E 1 = 6 , E 2 = 9 ,   E 3 = 9 , E 4 = 12 .
Figure 9. The impact of changes in social reputation benefits on the tripartite strategy evolution. ( a )   E 1 = 1 , E 2 = 3 ,   E 3 = 3 , E 4 = 6 . ( b )   E 1 = 3 , E 2 = 6 ,   E 3 = 6 , E 4 = 9 . ( c )   E 1 = 6 , E 2 = 9 ,   E 3 = 9 , E 4 = 12 .
Mathematics 11 04750 g009
Table 1. Comparison of coal mine management systems in China and the United States.
Table 1. Comparison of coal mine management systems in China and the United States.
Legislative TimeRegulatorSocial SurveillanceSafety TrainingFocus of Work
China1999Lack of independent
enforcement
Passive participationSuperficial
Lack of effectiveness evaluation
Reduce coal mine accident rates
USA1977Relatively strong independenceUnions conduct social oversightWritten into federal law
Emphasize outcomes
Occupational health
Table 2. Gaming-related parameters.
Table 2. Gaming-related parameters.
VariablesDescription
x Probability of choosing active safety rectification
y Probability of choosing active safety investment
z Probability of choosing active cooperation
R 1 Benefits obtained when coal companies choose proactive safety investments
R 2 Benefits obtained when miners choose passive cooperation
R 3 Benefits obtained when coal companies choose passive safety investments
R 4 Benefits brought to companies by miners choosing active cooperation
C 1 Costs of coal companies choosing proactive safety investments
C 2 Costs of miners choosing active cooperation
C 3 Costs of the government choosing proactive safety regulation
E 1 Social benefits brought to the government when companies invest actively and miners cooperate passively
E 2 Social benefits brought to the government when miners cooperate actively and companies invest passively
E 3 Social reputation gained by coal companies through proactive safety investments
E 4 Social reputation gained by the government through proactive safety regulation
A 1 Companies receiving rewards during proactive safety regulation by both the government and companies
A 2 Miners receiving government rewards during proactive safety regulation by cooperating actively
A 3 Miners receiving company rewards when they cooperate actively with companies investing in safety
F 1 Companies being fined during proactive safety regulation when they invest passively in safety
F 2 Miners being fined by the government during proactive safety regulation when they cooperate passively
F 3 Miners being fined by companies when they cooperate passively while companies invest actively in safety
Table 3. Income table of the three parties of the game.
Table 3. Income table of the three parties of the game.
StrategyProbabilityGovernmentCoal EnterprisesMiners
{ S , I , L } ( x , y , z ) C 3 + E 1 + E 2 + E 4 A 1 A 2 R 1 + R 4 C 1 + E 3 + A 1 A 3 C 2 + A 2 + A 3
{ S , I ¯ , L } ( x , 1 y , z ) C 3 + E 2 + E 4 A 2 + F 1 R 3 + R 4 F 1 C 2 + A 2
{ S , I , L ¯ } ( x , y , 1 z ) C 3 + E 1 + E 4 A 1 + F 2 R 1 C 1 + E 3 + A 1 + F 3 R 2 F 2 F 3
{ S , I ¯ , L ¯ } ( x , 1 y , 1 z ) C 3 + E 4 + F 1 + F 2 R 3 F 1 R 2 F 2
{ S ¯ , I , L } ( 1 x , y , z ) E 1 + E 2 R 1 + R 4 + E 3 A 3 C 1 C 2 + A 3
{ S ¯ , I , L ¯ } ( 1 x , y , 1 z ) E 1 R 1 + E 3 + F 3 C 1 R 2 F 3
{ S ¯ , I ¯ , L } ( 1 x , 1 y , z ) E 2 R 3 + R 4 C 2
{ S ¯ , I ¯ , L ¯ } ( 1 x , 1 y , 1 z ) 0 R 3 R 2
Table 4. Solving for eigenvalues of a matrix.
Table 4. Solving for eigenvalues of a matrix.
Equilibrium Points λ 1 λ 2 λ 3
E 1 E 4 + F 1   +   F 2 C 3 R 1 + E 3 + F 3 R 3 C 1 C 2 R 2
E 2 E 4 + F 1 C 3 A 2 A 3 + R 1 + E 3 R 4 R 3 C 1 C 2 + R 2
E 3 E 4 + F 1 C 3 A 1 R 1 E 3 F 3 + R 3 + C 1 A 3 C 2 R 2 + F 3
E 4 E 4 F 1 F 2 + C 3 A 1 + R 1 + E 3 + F 3 + F 1 R 3 C 1 A 2 C 2 R 2 + F 2
E 5 E 4 2 F 1 F 2 + C 3 A 1 R 1 E 3 F 3 F 1 + R 3 + C 1 A 3 + A 2 C 2 R 2 + F 2 + F 3
E 6 E 4 F 1 2 F 2 + C 3 A 2 A 1 A 3 + R 1 + E 3 R 4 R 3 C 1 + F 1 A 2 + C 2 + R 2 F 2
E 7 E 4 C 3 A 1 A 2 A 3 R 1 E 3 + R 3 + R 4 + C 1 A 3 + C 2 + R 2 F 3
E 8 E 4 + C 3 + A 1 + A 2 A 1 + A 3 R 1 E 3 + R 4 + R 3 + C 1 F 1 + F 3 A 3 A 2 + C 2 + R 2 F 3 F 2
Table 5. Parameter initial setting.
Table 5. Parameter initial setting.
Parameter R 1 R 2 R 3 R 4 C 1 C 2 C 3 E 1 E 2 E 3 E 4 A 1 A 2 A 3 F 1 F 2 F 3
Case 031413111336110.5210.5
Disclaimer/Publisher’s Note: The statements, opinions and data contained in all publications are solely those of the individual author(s) and contributor(s) and not of MDPI and/or the editor(s). MDPI and/or the editor(s) disclaim responsibility for any injury to people or property resulting from any ideas, methods, instructions or products referred to in the content.

Share and Cite

MDPI and ACS Style

Xie, C.; Li, H.; Chen, L. A Three-Party Decision Evolution Game Analysis of Coal Companies and Miners under China’s Government Safety Special Rectification Action. Mathematics 2023, 11, 4750. https://doi.org/10.3390/math11234750

AMA Style

Xie C, Li H, Chen L. A Three-Party Decision Evolution Game Analysis of Coal Companies and Miners under China’s Government Safety Special Rectification Action. Mathematics. 2023; 11(23):4750. https://doi.org/10.3390/math11234750

Chicago/Turabian Style

Xie, Can, Hongxia Li, and Lei Chen. 2023. "A Three-Party Decision Evolution Game Analysis of Coal Companies and Miners under China’s Government Safety Special Rectification Action" Mathematics 11, no. 23: 4750. https://doi.org/10.3390/math11234750

APA Style

Xie, C., Li, H., & Chen, L. (2023). A Three-Party Decision Evolution Game Analysis of Coal Companies and Miners under China’s Government Safety Special Rectification Action. Mathematics, 11(23), 4750. https://doi.org/10.3390/math11234750

Note that from the first issue of 2016, this journal uses article numbers instead of page numbers. See further details here.

Article Metrics

Back to TopTop