Abstract
This work is intended as an attempt to explore the use of optimal control techniques for designing green spaces and for dealing with the environmental problems related to urban heat islands appearing in cities. A three-dimensional model is established for numerical studies of the effects of urban anthropogenic heat and wind velocity in urban and rural regions. The transport mechanism of fluid in the cities is governed by the Navier–Stokes–Forschheimer porous media system. We introduce the penalty approximation method to overcome the difficulty induced by the incompressibility constraint. The partial differential equation optimal control problem is solved by using a Spectral Projected Gradient algorithm. To validate the method, we implement a numerical scheme, based on a finite element method, employing the free software FreeFem++ 14.3. We show the results for the optimized and non-optimized situations to compare the two cases.
MSC:
76D55; 49010; 35093; 65K10
1. Introduction
Urban territories, being dense in infrastructure with limited vegetation cover, are subject to solar radiation, which accumulates heat and creates special thermal conditions called Urban Heat Islands (UHIs). This meteorological phenomenon describes the temperature disparities between urban areas and their surrounding rural environments. This phenomenon is primarily caused by human activities and the unique characteristics of urban landscapes. UHIs are a climatic physical phenomenon that affects human health and energy consumption. In addition, UHIs increase the temperature of cities, which leads to an increase in the concentration of ozone in the air due to photochemical reactions, resulting in an undesirable greenhouse effect. Urban Heat Islands influence not only the quality of the air but also the properties and quantity of the water. UHIs are likely to become more significant with climate change, as rising global temperatures exacerbate local heat effects [1].
Several factors favor the formation of urban heat islands: the density of the population in cities, which leads to the formation of anthropogenic heat and pollution [2]; the rise in humidity in the air; and the lack of wind, which can develop from the sensation of heat produced by the UHI, causing a phase change from water to steam, which allows a transfer of energy [3]. Air conditioning and industrial activity account for of all anthropogenic heat [4]. There are also other factors influencing UHIs such as thermal mass of buildings and coatings [5]. Denser urban coatings allow shorter waves from solar radiation to be absorbed.
There are several strategies to mitigate UHIs, including urban planning measures like promoting reflective or cooling roofing materials and implementing heat-resilient urban design. These efforts aim to reduce heat absorption and improve urban cooling. We can also increase the number of green spaces. Indeed, to treat the loss of green spaces caused by urbanization, ref. [6] showed the utility of these green spaces to reduce urban heat islands. Authors of work [7] have also shown the importance of vegetation and water surfaces in the regulation of urban climate and in the prevention of UHIs. Beyond aesthetic value and landscape function, the use of trees makes it possible to modify the local climate. Individually, trees act as solar masks and windbreaks, altering radiation fields and airflow around buildings.
In recent years, much attention has been paid to study the the phenomenon of Urban Heat Islands [8,9] and deal with problems related to the optimal location of green zones in metropolitan areas to mitigate the Urban Heat Island effect.
Several methods exist for modeling the physics of UHI phenomena. Among the numerical modeling methods, we find that Weather Research and Forecasting (WRF) and Computational Fluid Dynamics (CFD) have been used to solve the problem at the meso- and micro-scale. It has already been shown in the literature that mineralization and anthropogenic heat have a greater impact on the distribution of surface temperature. Lots of studies deal with urban climate issues with numerical simulations at the meso-scale and micro-scale. Some of them can predict the urban thermal environment. For example, in Yushkov et al. [10], they solved the meso-scale WRF model, among others, to simulate and analyze mixing processes and diffusion in the atmospheric boundary layer. They concluded that the main features of UHIs could not be properly captured by this model. They showed that their regional model accurately reproduced the general synoptic-scale picture of temperature changes, but deviations between the model and observations can be important. It was not possible to reproduce these details. The main features are connected to the description of the components in the heat balance, especially the ratio of the fluxes of obvious (turbulence) and latent (evaporation) heat from the urban area, as well as man-made sources.
Meso-scale models are typically used in CFD simulations for urban heat process description. Indeed, they are useful for capturing large-scale atmospheric phenomena and general weather patterns. However, some problems exist, such as limited horizontal accuracy (typically within several kilometers). This limitation makes them less suitable for detailed urban simulations. Furthermore, it is hard to to describe the airflow and heat exchanges in the urban canopy. In contrast, micro-scale models can produce a more accurate depiction of geometric features and architectural details of a city. Of course, these are crucial for understanding local effects. However, computing these micro-scale models is a big challenge due to the computational requirements. It remains extremely challenging to apply a micro-scale model to an entire city. Meso-scale models are often coupled with CFD models to address some of the limitations. Even with this coupling, a challenge arises when dealing with the multitude of buildings in an urban environment, requiring an enormous number of grids. Thousands of buildings in urban environments require billions of grids, which cannot be handled by conventional models [11].
Porous systems are used in lots of studies to model cities (see [11]). The concept of cities being analogous to porous media has been explored in urban studies and fluid dynamics. In this context, a porous medium is defined as a solid material with small gaps or void spaces separated by densely spaced pores. This definition is commonly used in fluid dynamics and heat transfer studies to describe materials through which fluids can flow. The analogy between urban spatial structure and porous media suggests that cities can be viewed as secondary porous media. The idea is that the arrangement of buildings and open spaces in a city is reminiscent of the structure within a porous medium. This concept has been used to model and analyze various urban phenomena. For example, ref. [12] approximates urban space as a porous medium. They consider the solid buildings as the solid component and the spaces between the buildings as the porous component. They used a volume-averaging method. This is employed as a technique to characterize the overall properties of this urban porous medium. This approach allows for the development of simplified, macroscopic models that capture the essential features of urban dynamics while considering the complex geometry of buildings and open spaces.
It is clear that the use of a three-dimensional turbulent porous medium model in studying the Urban Heat Island (UHI) effect represents an advancement and a challenge, considering that earlier studies often relied on two-dimensional models. Ref. [13] applied a three-dimensional turbulent porous media model to investigate airflow in Fengxi New City. This approach is crucial for capturing the complex three-dimensional nature of urban environments, which is especially important given the impact of the urban spatial form on the UHI effect. They provide a methodological framework, references, and a theoretical basis for using similar models to study UHI effects in other urban settings.
Based on [13], we use CFD to model the hydrodynamics inside a porous medium and optimal control for thermal effects. This concept is aimed towards the notion of thermal comfort, i.e., that it is possible to properly define the criteria for optimizing the temperature in cities with high urban density to ensure the comfort of their inhabitants. More precisely, the problem is formulated using fluid mechanics coupled with the effects of thermal convection based on Boussinesq’s equations. Based on [8,14], ref. [15] have built an extended model algorithm written in the Boussinesq approximation by adding the linear Darcy term and the nonlinear Forchheimer term without taking into consideration radiative heat exchange. Optimal control techniques are used for the location of green spaces and to deal with environmental problems associated with UHIs. A two-dimensional climate model is established to study the effects of anthropogenic urban heat and airflow in urban areas. The transport mechanism in porous media is governed by the Navier–Stokes–Forschheimer system.
In this study, we take into account the radiative fluxes for modeling the radiative heat transfer between buildings and the close environment (foliage, soil) for different surfaces (roof, wall). Contrary to [16], the CFD model has constant porosity. An applied non-stationary CFD model is used to compute the Darcy–Forchheimer/Navier–Stokes system coupled with a heat-transfer model via the heat equation. To sum up, we use CFD methods to model the hydrodynamics inside a porous medium. We define the objective function for the optimal control problem formulation based on thermal effects.
2. Governing Equations in a Porous City
As previously said, cities are considered as porous media in our model. Flow in porous media refers to a solid space that is filled with fluid. We consider here high mass flow (considered as turbulent flow). It is known that there are recirculations at the pore scale. They produce an additional drop in pressure. For high Reynolds numbers, it has been shown that the classical Darcy’s law can be corrected by a quadratic function (depending on the velocity) named as the Forchheimer term [17]. Moreover, the Navier–Stokes–Forchheimer (extended Darcy model) can be used in various areas, such as industries and engineering applications in the nuclear, geological, and environmental fields [18,19].
Furthermore, when the permeability of the medium is large, the viscous shear forces within the fluid can be the same order of magnitude as the resistance induced by the porous matrix. The introduction of a term representing viscous stresses (shear forces) was proposed by Brinkman [20]. This term is neglected in our model.
Precisely, the drag force of buildings and ground surface can be represented by the Darcy and extended by the Forchheimer term in the momentum equation. Based on these assumptions, the Navier–Stokes–Forchheimer (for the fluid dynamics) equation is coupled with the heat equation.
2.1. Navier–Stokes–Forchheimer Equation
The Navier–Stokes–Forchheimer with gravity and buoyancy terms (matching the Boussinesq approximation) equation to model the flow inside the urban canopy (for details, see [11,21,22]) is given by
where u is the fluid velocity, p is the pressure, T is the temperature, is the air density, is the viscosity, is the porosity, is the thermal expansion coefficient, and g is the gravitational acceleration. K and are permeability and the Forchheimer coefficient, respectively, which are calculated as follows:
The governing Equation (1) is general and valid for forced convection in variable-porosity media. To analyze the convection in packed beds, some constitutive equations have to be supplied for the Forchheimer inertia coefficient C and the permeability K. These constitutive equations are obtained from experimental results in Ergun (1952) [23]. The constitutive equations are related to the porosity and height of roughness element h. It is convenient to use these coefficients here for describing the forced convection in the urban canopy. The equations may be expressed in the following form:
In the case of a study in real cities, varies from to (see [24]).
2.2. Energy Equation
Urban structures emit anthropogenic heat. Furthermore, the effect of solar radiation acts as a source of energy. Also, we have to consider the radiative flux exchanges. We assume here that local thermal equilibrium is hard to obtain for our model. As a consequence, the energy equation must be replaced by a model with two non-local thermal equilibrium equations, one for the solid phase and the other for the fluid phase. However, as we are interested in the temperature of the flow outside the buildings, we can write the energy equation for the fluid phase as
After adding the unsteady term and by employing the time-averaging method to the energy relationship, the heat transfer equation in a porous city can be obtained as follows:
The value of is close to the value for the clear flow, which is equal to 1. Fixing the quantity of heat provided by the vegetation—for more detail on the vegetation model, the equation becomes
where is the number of the green spaces, represents the green spaces, is the foliage temperature, and is the characteristic function—
The intensity of the heat source in a city is always based on the area of the soil surface. Urban heat sources are mainly composed of the heat released from buildings absorbed by the effect of radiation and the heat released from the ground surface. The two spatial locations of the two heat sources are different and their effects on the urban thermal environment are also different. Some numerical studies of all heat sources have shown a uniform distribution over the entire urban area [25]. The thermal flux of the heat source is related to the density of buildings, and the density of buildings varies in the vertical direction:
In the context of this paper, the porosity is treated as a constant value throughout various regions within the porous medium; thus,
where is the intensity of building heat source per unit area of ground surface, is the volume of buildings per unit area of ground surface, and H is the height of the urban canopy.
2.3. Radiative Heat Transfer
To complete the energy model comprehensively, it is essential to incorporate the effect of radiative heat transfer affecting different solid boundaries surfaces, including, but not limited to, soil, walls, and roofs. Therefore, in this study, radiation refers to an energy source.
As we are interested in simulating the temperature dynamics for our urban–rural domain, (nevertheless, with a specific focus on urban areas), we consider four temperatures for describing the radiative transfer: wall, roof, foliage, and soil, with solar radiation as their energy source. Of course, we have to consider the exchanges between all these temperatures and the air temperature. This is fundamental for quantifying the UHI intensity and is strongly influenced by the wind flow field. It is clear that the surface acts as a screen for the solar radiation, reflecting a fraction of it and absorbing its complement. To simplify the problem, we do not consider all these features. Meanwhile, soil temperature depends only on the energy interchange with the surface. Lastly, we do not consider the albedo phenomenon, but we assign an emissivity coefficient for all the subsystems. To simplify the problem, we take the same emissivity values.
Furthermore, we need to add that there is an equilibrium between total radiation, heat flux (heat exchange between building surface and air), heat soil flux (heat exchange between soil surface and air), and latent heat flux (depending on evapotranspiration, predominantly from plants). We know that sensitive heat flux and latent heat flux play the role of thermal regulators for the air layer temperature. However, we have made the choice of not considering these effects. We only consider the Stefan–Boltzman law for all the surfaces concerned by radiative heat exchanges. We solve the radiative transfer equation for gray non-diffusive media with isotropic radiation:
where is the Stefan–Boltzmann constant; are the radiation temperature of the soil, walls, roofs, and foliage, respectively; and are the emissivity of the soil, walls, roofs, and foliage, respectively.
Consequently, we model the radiative heat exchange as Neumann conditions in the problem.
2.4. Computer Fluid Dynamics and Heat Transfer Model
Finally, the system for heat transfer in a porous city can be summarized as follows:
where .
3. Thermal Comfort Problem
In this section, the model and methodology to solve environmental problems in cities are explained. We consider a domain (with or 3), corresponding to the air layer over a city, with boundary .
The approach is based on the development and application of a methodology that employs optimization to seek the locations of the green zones, for the purpose of influencing the temperature in the city to ensure the comfort of the pedestrian traffic and to provide planners with a systematic overview of their decision space. For this aim, we introduce the objective function regarding the environmental implications defined by
The constraints related to the geometry of the green space are described by the two points which represents the design in term of these variables. We suppose that the two points are inside the rectangles:
To avoid a distance of zero between two ends of the green space, we set
To eliminate complex geometry shapes such as the trapezoidal shape, the height variation is fixed:
4. Numerical Discretization
In this section, we present the numerical resolution of the state system (12), which is a step prior to finding the optimal locations of the green zones by minimizing the objective function.
4.1. Variational Formulation
For the mathematical setting of the conduction–convection problem, we give the following function spaces:
where and is the completion of under the . We also introduce , the completion of under the norm , and , the completion of under the norm . The spaces and are the dual of and , respectively. The norm corresponding to or is denoted as for . In particular, we use and to denote the inner product and norm in or . The spaces X and W are equipped with their usual scalar product and norm , . Let , , , and be verified; then, the problem (12) is equivalent to the variational formulation: find , , and such that
Concerning the incompressible Navier–Stokes–Forchheimer Fourier system, the notion of a weak solution is used (for more detail, see [26]). The triple is defined as the weak solution of the Navier–Stokes–Forchheimer system if it satifies
4.2. Time Semi-Discretization
In order to set the time semi-discretization for the interval , we choose a number and we define the time step . Then, a set of discrete times is given by , for . We consider the material derivative of a generic scalar
Using the characteristic line
we can write
Thus, the material derivative can be approximated in the following way:
where represents the position of the particle. Let be the time step; then, the total derivatives for the Navier–Stokes–Forchheimer energy equation and the artificial compressibility term are discretized according to the method of characteristics. The nonlinear term is approximated using a semi-implicit formula, while the other linear terms are discretized implicitly:
for and
A no-slip wall boundary condition was used at the ground surface, and a normal zero-gradient boundary condition was adopted at the domain outlet boundary and the domain top boundary.
4.3. Space Discretization
To complete the discretization, we use the Finite Element formalism for spatial discretization. We consider as the mesh of and
Let us denote , , and as the test functions associated with the finite element spaces , , and , respectively. We define the following finite spaces. The problem is to find such that
4.4. Gradient Project Algorithm
The control problem is solved by an iterative method with an initial boundary condition for the variable . At each step, we solve the state equations, then we compute the value of the cost functional and solve the adjoint equations. Once is available, the cost functional derivative can be determined by applying the suitable stopping criteria. If these criteria are not satisfied, we employ an optimization iteration on the control function ; for example, a steepest-descent method (see [27]) is used:
where is a relaxation parameter that can be determined by analyzing the mathematical properties of a control problem.
The optimization problem can be defined as follows:
Problem (): To find the optimal location of the green spaces in the domain , find a vector where ) where the constraints given in (14)–(16) are satisfied in such a way that T given by the coupled Navier–Stokes–Forchheimer and Fourier equation system (17)–(19) minimize the objective function defined by (13).
We denote by the closed and convex subset of consisting of all the points satisfying the constraints (14)–(16), that is, defining , , , and , the admissible is given by
To sum up the shape optimization formulation, we can write
In order to evaluate the objective function J, we solve the state problem (17)–(19) defined in (13). The numerical approximation of the objective function is given by
To solve the shape optimization, we use the projected gradient algorithm (Algorithm 1). This method can be summarized in the following steps:
| Algorithm 1 The projected gradient algorithm |
|
In this algorithm, the value of can be directly obtained from expression (35). We propose to approximate the gradient of J by a finite difference approach:
For fixed , the gradient can be approximated, for small enough, by
5. Numerical Results
A regular triangulation of the domain is used, depending on a positive parameter , made up of triangles , and we choose to adopt a piecewise continuous finite element for the velocity, the pressure, and the temperature in the 2D case.
In this section, the numerical results of the optimal shape deduced are presented. These come from the optimal position of green spaces in high-density urban cities obtained by using the approach of the spectral project gradient algorithm in the case of solving a system previously defined for the 2D domain, as shown in Figure 1.
Figure 1.
2D schematic representation.
5.1. Effects of Numerical and Physical Parameters
5.1.1. Computational Domain and Grid Structure
We have chosen a rectangular area measuring 165 m in length and 60 m in height for our study. Within this area, we created a structural representation of a city, incorporating randomly placed green spaces. To facilitate comparison and illustrate the temperature distribution in both urban scenarios before and after implementing the optimal design, we focused our analysis on two buildings. These buildings have heights of 20 m and 25 m, with the green space in need of optimization located between them.
For the overall computation time, we have chosen s with a time step of s. A total of elements, for a regular triangulation in the space discretization, are used. We implement the numerical scheme (31)–(33) in FreeFem++ [28], which is used to solve partial differential equations using the finite element method.
5.1.2. Boundary Conditions
The initial conditions for the velocity, temperature, pressure, and simulation parameters are as follows:
- 1.
- Inlet velocity [12] uses a power law as the vertical profile of the wind speed at the domain inlet:
- 2.
- The vertical profiles of the temperature at the domain inlet are given bywhere is the vertical decrease rate of temperature;
- 3.
- The pressure is
We present here an example for a realistic problem with a step size , a spectral parameter , and tolerance . The value of is in an interval ; in our example, we take . In the numerical tests, we have used the following radiation temperatures: K, K, and K. The emissivity Frac. For all physical parameters used in the simulation, the inlet velocity = 2 m·s and the inlet temperature K. The density, dynamic viscosity, and kinetic viscosity are, respectively, = 1.184 kg·m, = 1.184 × 10 kg·m·s, and = 0.01 m·s. To account for the effects of turbulence in the city, the turbulence viscosity Pa·s (in the case of this simulation, we have assumed that turbulent viscosity is constant). The intensity of building heat source = 80 W·m, with the height of building m and the reference height m. The heat transfer coefficient h = 25 W·m·K, the thermal expansion coefficient , and specific heat = 1006 J·g·K. For the other parameters, the vertical decrease rate of temperature , the Prandtl number , and the Von Karman constant . For all tests, we take the penalty parameter . Applying the spectral project gradient algorithm, after 2000 iterations, from the initial location of the green spaces corresponding to the points , shown in Figure 2, the best location, corresponding to the optimal design variables , , is shown in Figure 3.

Figure 2.
(a) Mesh of the domain. (b) Temperature and air distribution profiles for non-optimal green locations. (c) Temperature distribution profiles for non-optimal green locations. (d) Wind distribution profiles for non-optimal green locations.

Figure 3.
(a) Mesh of the domain. (b) Temperature and air distribution profiles for optimal green locations. (c) Temperature distribution profiles for optimal green locations. (d) Wind distribution profiles for optimal green locations.
Radiative heat transfer has to be investigated properly. Consequently, we decided to focus the results on the fields of temperature and wind velocity. In Figure 2 and Figure 3, the two scenarios under study are compared: the location of green spaces in the optimal and non-optimal case, as well as all the fields associated therewith. These fields are calculated a long time after calculation. As they are stationary, we can see the global distribution.
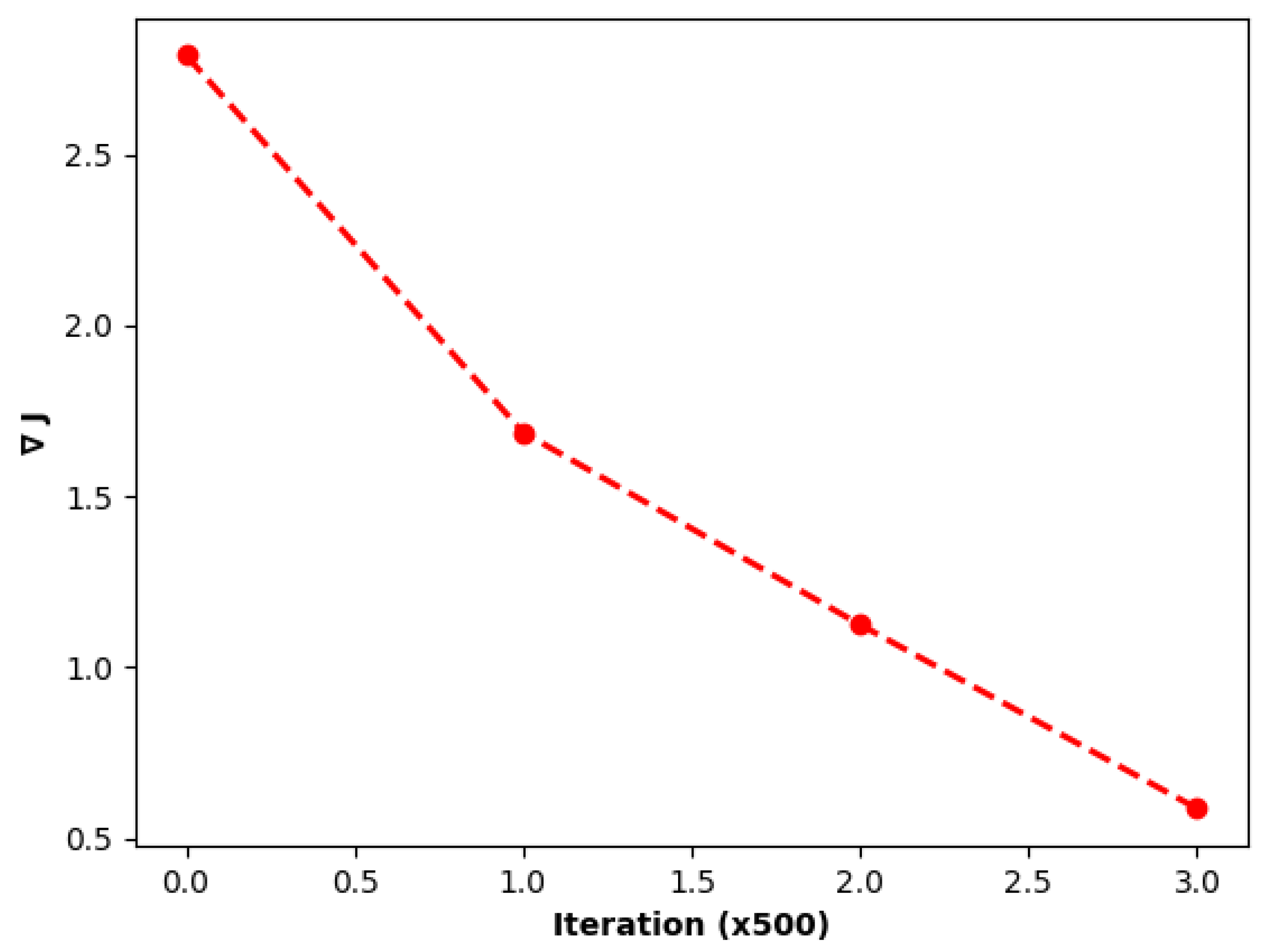
The convergence history of the cost function is shown in Figure 4, from initial cost J of the initial location of the green spaces to the minimum cost J corresponding to the optimal location of the green spaces.
Figure 4.
Decreasing cost function.
6. Discussion
Numerical results illustrate the main features of the developped approach. We have chosen a case of urban area composed by two close buildings with a small gap. In this situation, temperature distribution is complex to define and radiative heat transfer is intense. From Figure 2 and Figure 3, we can compare the optimized shape of the green space and its consequence on the temperature mitigation. We observe a stronger tendency towards temperature homogenization between the buildings. We qualitatively conclude that the contribution of vegetal ecosystem in the city is certainly one of the most interesting solutions to reduce the effects of Urban Heat Islands. Furthermore, as expected, to have fresh air and lower temperatures, it would be better to be close to the surface of the green space.
We notice the difference in the temperature, which is on the order of K before and after the optimization. We take a case where there is a narrow gap between two buildings in order to maximize the radiative heat transfer and study its impact. This is also a complex flow, as the boundary layers play a key role in the fluid dynamics.
We make the calculation for a building with typical height of 2 m (see [29]). It is proven that ceiling influences thermal comfort. Ref. [30] showed that there is an optimum around 2 m for a tropical climate with high radiance. This is why we examined the temperature fluctuation at a specific location. Measuring the temperature difference from the ground up to an elevation of 2 m between the two buildings, the temperature drops from 302,215 K to , as shown in Figure 5. The relationship between a 2 m height and thermal comfort is essential to understand how temperature can significantly vary in an urban environment or between nearby structures. Additionally, the thermal confinement effect plays a crucial role. Buildings restrict the flow of air, creating an area where air can be relatively stagnant. This can lead to the accumulation of heat near the ground, which may be perceived as a temperature increase. However, at 2 m above the ground, the air tends to be less confined, allowing for better dissipation of accumulated heat.
Figure 5.
Overlay of optimal location and non-optimal location with respect to height.
The distribution of the wind flow shows coherent structures between the two buildings. This corresponds to vortices at different scales. However, we observe a difference between the non-optimal and optimal cases. In the optimized case, we observe these structures at a certain height far from the ground. This means that the optimized situation also impacts the wind dynamics.
7. Conclusions
In this work, an optimal control problem based on numerical study of the Urban Heat Island phenomenon has been developed using key contributions and pertinent results concerning the shape of green space. The Darcy–Forchheimer–Navier–Stokes equation, coupled to the heat equation and radiative heat transfer terms (taken as Neumann conditions), was developed in order to analyze the mitigation of the Urban Heat Island effect. The focus was on presenting the applicability and relevance of a better combination between optimization techniques and optimal control theory of partial differential equations to ensure comfort in urban areas.
With respect to expanding our work, we assume that our model would be able to simulate the effects of the strategies in order to mitigate the intensity of the UHI by green space shape optimization. The methods based on optimal control can provide city planners with viable strategies to address the issue of green space locations, which play a key role in reducing UHI, creating cooling, and providing thermal comfort for citizens.
Lots of perspectives can be explored from this work such as a sensitivity analysis of the influence of the model parameters on the numerical outputs. For example, we could take a fluid dynamics model with porosity-dependent forcing, like in [16]. We could base the study on another turbulence model. We could also define a data-based model by using boundary conditions in an urban layout.
Author Contributions
Conceptualization, M.L.; Methodology, N.S., W.M. and H.M.; Investigation, M.L.; Writing—original draft, N.S., W.M. and H.M.; Writing—review & editing, M.L., W.M. and H.M. All authors have read and agreed to the published version of the manuscript.
Funding
This research received no external funding.
Data Availability Statement
The data presented in this study are available on request from the corresponding author. The data are not publicly available due to confidentiality.
Conflicts of Interest
The authors declare that the research was conducted in the absence of any commercial or financial relationships that could be construed as a potential conflict of interest.
References
- Shen, C.; Hou, H.; Zheng, Y.; Murayama, Y.; Wang, R.; Hu, T. Prediction of the future urban heat island intensity and distribution based on landscape composition and configuration: A case study in Hangzhou. Sustain. Cities Soc. 2022, 83, 103992. [Google Scholar] [CrossRef]
- Liu, R.; Han, Z. The effects of anthropogenic heat release on urban meteorology and implication for haze pollution in the Beijing-Tianjin-Hebei region, Hindawi Publishing Corporation. Adavances Meteorol. 2016, 2016, 6178308. [Google Scholar]
- Stewart, I.D.; Oke, T.R. Local climate zones for urban temperature studies. Bull. Am. Meteorol. Soc. 2012, 93, 1879–1900. [Google Scholar] [CrossRef]
- Sailor, D.J.; Lu, L. A top-down methodology for developing diurnal and seasonal anthropogenic heating profiles for urban areas. Atmos. Environ. 2004, 38, 2737–2748. [Google Scholar] [CrossRef]
- Solecki, W.D.; Rosenzweig, C.; Parshall, L.; Pope, G.; Clark, M.; Cox, J.; Wiencke, M. Mitigation of the heat island effect in urban New Jersey. Glob. Environ. Chang. Part B Environ. Hazards 2005, 6, 39–49. [Google Scholar] [CrossRef]
- Aparna, D.; Buddhiraju, K.M. Impact of green roof on micro climate to reduce urban heat island. Remote Sens. Appl. Soc. Environ. 2018, 10, 56–69. [Google Scholar]
- Theeuwes, N.E.; Steeneveld, G.J.; Ronda, R.J.; Heusinkveld, B.G.; Holstag, A.A.M. Mitigation of the Urban Heat Island Effect Using Vegetation and Water Bodies. In Proceedings of the International Conference of Urban Climates, Dublin, Ireland, 6–10 August 2012. [Google Scholar]
- Fernandez, F.J.; Alvarez-Vasquez, L.J.; Garcia-Chan, N.; Martinez, A.; Vasquez-Mendez, M.E. Optimal location of green zones in metropolitan areas to control the urban heat island. J. Comput. Appl. Math. 2015, 289, 412–425. [Google Scholar] [CrossRef]
- Mohajerani, A.; Bakaric, J.; Jeffrey-Bailey, T. The urban heat island effect, its causes, and mitigation, with reference to the propreties as asphalt concrete. J. Environ. Manag. 2017, 197, 522–538. [Google Scholar] [CrossRef]
- Yushkov, V.P.; Kurbatova, M.M.; Varentsov, M.I.; Lezina, E.A.; Kurbatov, G.A.; Miller, E.A.; Repina, I.A.; Artamonov, A.Y.; Kallistratova, M.A. Modeling an Urban Heat Island during Extreme Frost in Moscow in January 2017. Izv. Atmos. Ocean. Phys. 2019, 55, 389–406. [Google Scholar] [CrossRef]
- Ming, T.; Lian, S.; Wu, Y.; Shi, T.; Peng, C.; Fang, Y.; de Richter, R.; Wong, N.H. Numerical investigation on the Urban Heat Island effetct by using a porous media model. Energies 2021, 14, 4681. [Google Scholar] [CrossRef]
- Hang, J.; Li, Y. Wind conditions in idealized buildning clusters: Macroscopic simulations using a porous turbulence model. Bound.-Layer Meteorol. 2010, 136, 129–159. [Google Scholar] [CrossRef]
- Gu, Z.L.; Zhang, Y.W. Large Eddy Simulation Methods and Application for Building and Urban wind Environment Simulation; Science Press: Beijing, China, 2014; Volume 64, pp. 47–81. [Google Scholar]
- Sellila, N.; Louaked, M.; Mechkour, H. Optimal Control and Application to Reduction of Uhi Intensity in Porous City; Elsevier: Amsterdam, The Netherlands, 2023. [Google Scholar]
- Sellila, N. Optimal Control and Applications to the Environment: Mathematical Analysis and Numerical Approximation. Ph.D. Dissertation, University of Caen, Caen, France, 2021. [Google Scholar]
- García-Chan, N.; Licea-Salazar, J.A.; Gutierrez-Ibarra, L.G. Urban Heat Island Dynamics in an Urban–Rural Domain with Variable Porosity: Numerical Methodology and Simulation. Mathematics 2023, 11, 1140. [Google Scholar] [CrossRef]
- Ward, J.C. Turbulent flow in porous media. J. Hydraul. Div. 1964, 90, 1–12. [Google Scholar] [CrossRef]
- Vafai, K.; Tien, C.L. Boundary and inertia effects on flow and heat transfer in porous media. Int. J. Heat Mass Transf. 1981, 24, 195–203. [Google Scholar] [CrossRef]
- Hu, Z.; Yu, B.; Chen, Z.; Li, T.; Liu, M. Numerical investigation on the urban heat island in an entire city with an urban porous media model. Atmos. Environ. 2012, 47, 509–518. [Google Scholar] [CrossRef]
- Brinkman, H.C. Calculations on the flow of heterogeneous mixtures through porous media. Flow Turbu-Lence Combust. 1949, 1, 333–346. [Google Scholar] [CrossRef]
- Rodionov, A.V. On the use of Boussinesq approximation in turbulent supersonic jet modeling. Int. J. Heat Mass Transf. 2010, 53, 889–901. [Google Scholar] [CrossRef]
- Amiri, A.; Vafai, K. Analyse of dispersion effects and non-thermal equilibrium, non Darcian, variable porosity incompressible flow through porous media. Int. J. Heat Mass Transf. 1997, 40, 3013–3024. [Google Scholar]
- Ergun, S. Fluid flow through packed columns. Chem. Eng. Prog. 1952, 48, 89–94. [Google Scholar]
- Grimmond, C.S.B.; Oke, T.R. Aerodynamic properties of urban areas derived from analysis of surface form. J. Appl. Meteorol. 1999, 38, 1262–1292. [Google Scholar] [CrossRef]
- Fan, H.; David Sailor, J. Modeling the impacts of anthropogenic heating on the urban climate of Philadelphia: A comparison of implementations in two PBL schemes. Atmos. Environ. 2005, 39, 73–84. [Google Scholar] [CrossRef]
- Lions, P.L. Mathematical Topics in Fluid Dynamics, Incompressible Models; Oxford Science Pubblications; Claredon Press: Oxford, UK, 1996. [Google Scholar]
- Birgin, G.; Martinez, J.M.; Raydan, M. Nonmonotone spectral projected gradient methods on convex sets. SIAM J. Optim. 2000, 10, 1196–1211. [Google Scholar] [CrossRef]
- Hecht, F.; Pironneau, O.; Le Hyaric, A.; Ohtsuka, K. Freefem++ Manual. 2012. Available online: https://freefem.org/ (accessed on 1 October 2023).
- Walther, E.; Goestchel, Q. The P.E.T. comfort index: Questioning the model, Building and Environment. Build. Environ. 2018, 137, 1–10. [Google Scholar] [CrossRef]
- Guimaraes, R.; Carvalho, M.; Santos, F.A. The influence of ceiling height in thermal comfort of buildings: A case study in belo horizonate, Brazil. Int. J. Hous. Sci. 2013, 37, 75–86. [Google Scholar]
Disclaimer/Publisher’s Note: The statements, opinions and data contained in all publications are solely those of the individual author(s) and contributor(s) and not of MDPI and/or the editor(s). MDPI and/or the editor(s) disclaim responsibility for any injury to people or property resulting from any ideas, methods, instructions or products referred to in the content. |
© 2023 by the authors. Licensee MDPI, Basel, Switzerland. This article is an open access article distributed under the terms and conditions of the Creative Commons Attribution (CC BY) license (https://creativecommons.org/licenses/by/4.0/).