Next Article in Journal
Dimensionality Reduction with Variational Encoders Based on Subsystem Purification
Next Article in Special Issue
Global Dynamics in an Alcoholism Epidemic Model with Saturation Incidence Rate and Two Distributed Delays
Previous Article in Journal
Analyzing Employee Attrition Using Explainable AI for Strategic HR Decision-Making
Previous Article in Special Issue
Mathematical Modeling of Toxoplasmosis in Cats with Two Time Delays under Environmental Effects
 
 
Font Type:
Arial Georgia Verdana
Font Size:
Aa Aa Aa
Line Spacing:
Column Width:
Background:
Article

Analysis of Excitement Caused by Colored Noise in a Thermokinetic Model

Institute of Natural Sciences and Mathematics, Ural Federal University, Lenina 51, 620000 Ekaterinburg, Russia
Mathematics 2023, 11(22), 4676; https://doi.org/10.3390/math11224676
Submission received: 16 October 2023 / Revised: 11 November 2023 / Accepted: 16 November 2023 / Published: 17 November 2023
(This article belongs to the Special Issue Applied Mathematical Modelling and Dynamical Systems, 2nd Edition)

Abstract

:
In this paper, a thermokinetic model forced by colored noise is studied. We analyze the mechanisms of stochastic excitement of equilibrium modes under variation of correlation time and noise intensity. It is shown that the phenomenon of colored-noise-induced excitement is accompanied by stochastic P-bifurcations. The region of the correlation parameter in which resonance occurs is localized. To study the phenomenon of colored-noise-induced excitement, we develop the probabilistic analysis based on the confidence domains method.

1. Introduction

The constructive role of noise in processes related to various branches of natural science attracts the attention of many researchers. In mathematical models with strong nonlinearity, even small noise can cause qualitative changes in dynamic behavior [1]. Here, one can note such phenomena as noise-induced transitions [2,3], stochastic bifurcations [4], noise-induced order-chaos transformations [5,6], stochastic complexity [7], stochastic and coherence resonance [8,9,10]. Among such phenomena, stochastic excitability [11] occupies a special place. This phenomenon is associated with a sharp increase in the amplitude of deviation from the equilibrium when a certain threshold level of noise intensity is reached. Stochastic excitability has been actively studied in models of neural activity, electronic generators, population and climate dynamics [9,11,12,13,14]. This article is devoted to the study of this phenomenon in the processes of thermochemical kinetics.
The case when random disturbances are modeled by Gaussian white noise has been the subject of many investigations. Thermokinetic processes, where the Gaussian white noise models random fluctuations of temperature and concentration of reagents in the reactor, were studied in [15,16]. However, it is known that uncorrelated white noise being an idealization of real disturbances is not always realistic. To take into account temporal correlation of random forcing, one should use a model of colored noise where the characteristic time defines the decay of the correlation function [17]. It should be noted that specific stochastic effects caused by colored noise have been found and investigated in different branches of natural science (see, e.g., [18,19,20,21,22,23]). This paper aims to study a specific role of colored noise for stochastic excitement in thermochemical processes. The novelty of this paper is related to the study of how the phenomenon of stochastic excitement is associated with the correlation time parameter of colored noise. To find resonances, we use the new mathematical tool associated with the technique of stochastic sensitivity and the geometric apparatus of confidence domains [24].
In Section 2, we briefly discuss bifurcations and variety of dynamic regimes in the initial deterministic model. In Section 3, we study a stochastic variant of this model with colored parametric noise in the temperature of the reactor. Here, the phenomenon of noise-induced excitement is studied by means of stochastic bifurcations, interspike intervals, and exit probability. Possible resonances under variation of correlation time are discussed. To analyze the colored-noise-induced excitement, we apply stochastic sensitivity technique in Section 4.

2. Deterministic Model

In this paper, as an initial deterministic skeleton, we consider a dimensionless model of the first-order thermochemical reaction in a continuous stirred tank reactor [25]:
x ˙ = l x + D φ ( x , y ) , y ˙ = l y + D B φ ( x , y ) β y .
Here, x and y are dimensionless reactant concentration and reactor temperature. In Model (1), function
φ ( x , y ) = ( 1 x ) exp y
characterizes the nonlinear interaction of system variables. Positive parameters of the model define recycling (l), heat of reaction (B), and heat transfer ( β ). In (1), parameter D is the Damköhler number. Following [25,26], we fix l = 0.5 , B = 14 , D = 0.044 and consider β as the bifurcation parameter.
Even small variation of β causes qualitative changes in System (1) dynamic behavior. These changes are well seen in the bifurcation diagram (see Figure 1a) where extrema of x- and y-coordinates of System (1) attractors are plotted. Here, bifurcation values arBe β 1 = 0.816 , β 2 = 0.864 . In the bifurcation diagram, attractors with the higher temperature (hot attractors) are shown in red and attractors with the lower temperature (cold attractors) are plotted in blue.
For β < β 2 , the hot attractor is a stable equilibrium, and for β > β 2 this is a stable limit cycle. The cold attractor exists only in the equilibrium form for β > β 1 . Therefore, for β < β 1 , the system exhibits the hot equilibrium only. An example of the phase portrait for β = 0.8 < β 1 is shown in Figure 1b. Here, two types of transient processes are observed. Indeed, if the trajectory starts in the subthreshold zone, the solution of System (1) immediately tends to equilibrium. The superthreshold zone in the phase plane corresponds to the initial data of solutions with large-amplitude outbreaks: the trajectory first moves away from the stable equilibrium and, before approaching it, shows a fragment of the phase trajectory that is very far from the equilibrium.
From the deterministic point of view, oscillatory modes, associated with limit cycles, exist only for β > β 2 . It is well known that oscillations induced by noise can be observed in the bistability zone β 1 < β < β 2 where the deterministic system possesses two coexisting stable equilibria. Such large-amplitude stochastic oscillations are caused by noise-induced transitions between basins of these equilibria. However, in the monostability zone β < β 1 , where System (1) possesses the only stable equilibrium H, noise-induced large-amplitude oscillations also can occur. This paper aims to study this effect of stochastic excitement and elucidate its underlying mechanisms.

3. Noise-Induced Excitement, Stochastic Bifurcations, and Resonance

As a stochastic version of Model (1), we consider the following system:
x ˙ = l x + D φ ( x , y ) , y ˙ = l y + D B φ ( x , y ) ( β + ε s ) y .
Here, we study an impact of random fluctuations in parameter β . The stochastic forcing η ( t ) = ε s ( t ) of intensity ε is modeled by colored noise s ( t ) with characteristics
E [ s ( t ) ] = 0 , E [ s ( t ) s ( t ) ] = exp a | t t | ,
where parameter a = 1 / τ is defined by the correlation time τ . Here and further, E [ · ] denotes a mean value.
In our paper, we model such colored noise s ( t ) by the following stochastic equation:
s ˙ = a s + 2 a ξ ( t ) ,
where ξ ( t ) is the standard uncorrelated Gaussian white noise with parameters E [ ξ ( t ) ] = 0 , E [ ξ ( t ) ξ ( t ) ] = δ ( t t ) (here, δ is the δ -function). Therefore, the stochastic term η ( t ) in System (2) has the stationary variation E [ η 2 ( t ) ] = ε 2 . As a result, the study of two-dimensional System (2) with colored noise η ( t ) comes down to the investigation of extended three-dimensional Systems (2), (3) with Gaussian white noise ξ ( t ) .
We consider how the colored noise can change the equilibrium regime of the thermochemical system under consideration. In our study, we investigate the stochastic response of Systems (2), (3) on the variation of noise intensity ε and parameter a of colored noise. In numerical simulations of System (2), (3) solutions, we use the Euler–Maruyama scheme with time step 0.001.
First, let us fix β = 0.8 , a = 1 and change parameter ε . In Figure 2, phase trajectories and time series of System (2) solutions starting at the stable equilibrium H are plotted. For weak noise ε = 0.03 , these solutions (blue) reside in the small vicinity of equilibrium H. For larger noise, dispersion of random solutions grows, and System (2) begins to demonstrate large-amplitude stochastic oscillations (see green curves in Figure 2 for ε = 0.1 ). We note that these oscillations have a spike shape: concentration x of the reagent sharply falls down, and temperature y deviates both up and down. These spikes alternate with the small-amplitude fluctuations near H. Therefore, the system demonstrates mixed-mode stochastic oscillations.
Details of the transformation of random states dispersion with increase in noise intensity ε are shown in Figure 3. Here, an abrupt transition from small- to large-amplitude oscillations is well seen. Such a transition can be explained by geometrical peculiarities of the phase portrait of deterministic Model (1) (see Figure 1b). Indeed, for small deviation of the initial state from equilibrium H (the subthreshold zone in the phase plane), a deterministic solution immediately tends to H. If the deviation exceeds some threshold, the solution falls into the superthreshold zone, demonstrates a large-amplitude loop far from H, and only after this excursion approaches equilibrium H. The abrupt jump in dispersion mentioned above can be explained by the fact that the stochastic solutions transit from the sub- to the superthreshold zone. Therefore, here, with increase in noise intensity ε , a phenomenon of the noise-induced excitement is observed.
We consider now how this stochastic phenomenon depends on the correlation properties of the colored noise defined by parameter a. Let us fix β = 0.8 , ε = 0.2 and change the correlation parameter a of the colored noise.
In Figure 4, we plot phase trajectories and time series of System (2) solutions starting at stable equilibrium H for two values of parameter a. For a = 1 , the noise-induced excitement of large-amplitude stochastic oscillations is observed (see green curves). For a = 100 , colored noise with the same intensity ε = 0.2 does not cause large-amplitude spikes, and solutions (blue) are located near equilibrium H.
Details of the dependence of the random state dispersion on parameter a are shown in Figure 5. In Figure 5a, random states of solutions starting at equilibrium H are plotted for ε = 0.07 in the range 10 4 < a < 10 2 . Here, the a-zone of the stochastic excitement with large-amplitude oscillations is well localized. This a-parameter zone can be interpreted as a resonance zone. It should be noted that with the change in a, the transition from small-amplitude noisy oscillations near equilibrium H to large-amplitude oscillations similar to stochastic cycle is rather sharp.
With increasing noise, the parametric zone of colored-noise-excitement is expanded (compare Figure 5a for ε = 0.07 and Figure 5b for ε = 0.2 ).
Results of the statistical analysis of the changes in the random state dispersion are presented in Figure 5c where plots of mean values x of reagent concentration x are shown versus correlation parameter a for three values of noise intensity. It should be noted that the minima of x correspond to the a values at which the thermokinetic system is the most sensitive to colored noise.
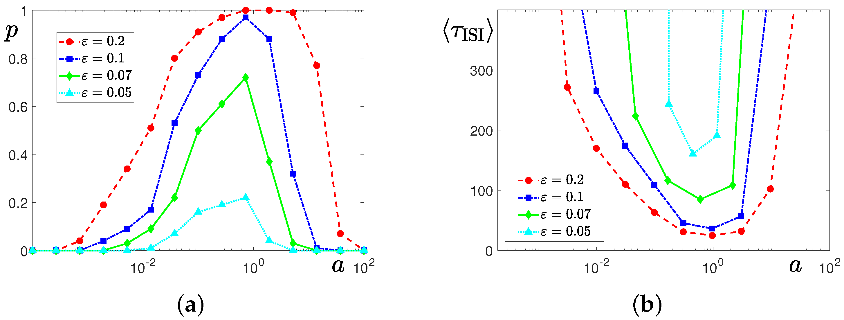
Additional useful statistical information about the strong dependence of the phenomenon of stochastic excitation on correlation parameter a and noise intensity ε can be extracted from Figure 6 and Figure 7. In Figure 6a, for solutions starting at equilibrium H, we show plots of function p ( a ) which determines the exit probability from the subcritical zone during time T = 500 . As a threshold, we use x = 0.5 . As can be seen, for considered values of noise intensity ε , there are a-zones where this exit probability is not zero. Moreover, with increase of ε , peaks of function p ( a ) grow, and for ε = 0.2 become close to one.
As one can see, the phenomenon of noise-induced excitement is accompanied by the formation of large-amplitude oscillations of a spike type. In the analysis of spiking, statistics on interspike intervals τ ISI are key characteristics. Results of the frequency analysis of spike oscillations are shown in Figure 6b. Here, mean values τ ISI of interspike intervals τ ISI are plotted versus parameter a for different noise intensities. For quite small and large a, spikes are extremely rare, but there exists an active a-zone where spikes appear and interspike time becomes rather small.
Along with the frequency characteristics of noise-induced excitement, it is interesting to consider spatial deformations of amplitudes of mixed-mode oscillations. As seen in Figure 2 and Figure 4, in the mode without excitement, random trajectories are concentrated near the equilibrium, while in the excitement mode an additional zone of concentration of trajectories appears. This zone corresponds to the spike oscillations of large amplitudes.
Let us fix β = 0.8 , ε = 0.2 and consider intersection points of stochastic System (2) solutions with line y = y ¯ = 5.00256 . Here, y ¯ is the coordinate of deterministic equilibrium H ( x ¯ , y ¯ ) . We let ρ ( x ) be the probability density of distribution of x-coordinates of these random points. Details of the qualitative transformation of density ρ ( x ) with a change in parameter a are shown in Figure 7. Here, plots ρ ( x ) are shown for values a = 0.0001 , a = 0.001 , a = 1 , and a = 100 of the parameter of correlation time. For a = 0.0001 , function ρ ( x ) has a narrow and high peak localized near the stable equilibrium (no excitement). For a = 0.001 , an additional small peak is seen. This new peak reflects the appearance of large-amplitude loops. These two peaks are clearly seen at a = 1 . At a = 100 , the left peak disappears, leaving only the high right peak above the stable equilibrium.
Thus, with increase in a, randomly forced System (2) undergoes stochastic P-bifurcations [4] with the qualitative transformation of the shape of ρ ( x ) : one-peak→two-peak→one-peak. It should be noted that these results of the analysis of stochastic bifurcations well complement the statistical description of the excitement phenomenon in Figure 5 and Figure 6.
In the next Section, we show how the phenomenon of colored-noise-induced excitement can be studied by the analytical stochastic sensitivity function technique and the confidence domain method. Mathematical details of this approach are briefly presented in Appendix A.

4. Stochastic Sensitivity Analysis

Let us consider how the stochastic sensitivity of equilibrium H depends on parameter a. In Figure 8, eigenvalues λ 1 , λ 2 ( λ 1 > λ 2 ) of the stochastic sensitivity matrix W of equilibrium H in System (2) are shown versus parameter a for several values of β . As can be seen, λ 1 is significantly larger than λ 2 . In the behavior of λ 1 , λ 2 , one important feature should be underlined. The stochastic sensitivity essentially depends on a: there is an a-zone where values λ 1 , λ 2 , characterizing sensitivity, are high. With further increase in a, stochastic sensitivity of equilibrium H sharply decreases.
Variation in the stochastic sensitivity implies changes in the dispersion of random states. To describe the dispersion, we use the method of confidence ellipses. Eigenvalues λ 1 and λ 2 of the stochastic sensitivity matrix W are key parameters of the confidence ellipse (see Formula (A5)).
In Figure 9, for fixed values of β = 0.8 and ε = 0.001 , random states of System (2) solutions are plotted by grey dots for different a. Corresponding confidence ellipses are shown by blue dashed curves. As can be seen, these ellipses well describe the geometrical arrangement of the random states with the change in parameter a. We note that the large eccentricity of the ellipses is explained by the significant difference in the values of λ 1 and λ 2 , which determine the size of their main axes.
We consider now how the confidence ellipses can be used in the parametric analysis of the phenomenon of noise-induced excitement. In Figure 10, by grey, we show phase trajectories of deterministic System (1) with β = 0.8 , and confidence ellipses for stochastic System (2) with ε = 0.2 and two values of a: for a = 1 (green) and a = 100 (blue). Such a difference in the size of ellipses is explained by the difference in stochastic sensitivity. Value a = 1 lies in a parameter zone of high sensitivity, and a = 100 corresponds to the low sensitivity (see eigenvalues in Figure 8).
For a = 100 , the small confidence ellipse lies entirely in the subthreshold zone, where deterministic solutions immediately tend to the equilibrium. Such an arrangement of the ellipse predicts the small-amplitude oscillations near equilibrium H. For a = 1 , the large confidence ellipse partially occupies the superthreshold zone corresponding to the large-amplitude outbreaks of the deterministic trajectories. For the stochastic system, this location means the onset of noise-induced excitement.
We note that such a prognosis extracted from the confidence ellipses method well agrees with the results of direct numerical simulation (see Figure 4). Thus, using this method in combination with the analysis of arrangement of sub- and superthreshold zones in the phase plane, one can estimate the critical values of noise intensity ε and correlation parameter a corresponding to onset of stochastic excitement.

5. Conclusions

In this paper, a problem of analyzing mechanisms of stochastic excitement of equilibrium modes in the thermochemical processes due to the impact of colored noise is considered. Our study shoes that the determining factors in the phenomenon of stochastic excitement are not only noise intensity, but also the correlation time of colored noise. A change in the values of the correlation parameter can significantly affect the generation of large-amplitude spike oscillations, causing related stochastic P-bifurcations. It was found that the correlation parameter impacts the stochastic sensitivity of equilibrium. Corresponding resonance zones are described. An efficiency of the stochastic sensitivity technique and the confidence domains method in the parametric analysis of colored-noise-induced excitement is demonstrated.
Thus, the study sheds light on the dependence of the physicochemical processes occurring in the continuous stirred tank reactor on the nature of the inevitably present random disturbances. The work shows the important role of the correlation characteristics of the operating noise. The zone of the correlation parameter is localized, in which the equilibrium mode of the continuous stirred tank reactor is destroyed, and the temperature and concentration of the reagent begin to exhibit large-amplitude spike oscillations. Such excitation caused by colored noise can lead to undesirable consequences from an engineering point of view and must be taken into account when designing stable operating reactors.

Funding

The work was supported by Russian Science Foundation (N 23-21-00042).

Data Availability Statement

The data presented in this study are available on request from the corresponding author.

Conflicts of Interest

The author declares no conflict of interest.

Appendix A

The stochastic sensitivity function technique was initially elaborated for systems driven by Gaussian white noise (see, e.g., [27,28]). For the case of colored noise, this technique is briefly described as follows.
We consider a general n-dimensional nonlinear dynamical system
x ˙ = f ( x , η )
with scalar parameter η of colored random disturbances. Colored noise η ( t ) = ε s ( t ) of noise intensity ε is modeled by stochastic Equation (3).
We let equilibrium x ¯ of the unforced deterministic system be exponentially stable. For asymptotics z ( t ) = lim ε 0 x ε ( t ) x ¯ ε of deviations of solution x ε ( t ) of stochastic System (A1), (3) from equilibrium x ¯ , we can write the closed stochastic linear system:
z ˙ = F z + g s , s ˙ = a s + 2 a ξ ( t ) , F = f x ( x ¯ , 0 ) , g = f η ( x ¯ , 0 ) .
For matrix V = E [ v v ] of second moments for the extended ( n + 1 ) -dimensional vector v = z s , we can write the following system [24]:
V ˙ = Φ V + V Φ + G , Φ = F g O a , G = O O O 2 a .
Here, symbol O denotes the matrices of the corresponding dimensions with zero elements.
For stable x ¯ and positive a, System (A2) has a unique stable stationary solution Z satisfying the following matrix equation:
Φ Z + Z Φ + G = 0 .
For blocks W = E [ z z ] , m = E [ z s ] , b = E [ s 2 ] of matrix Z = W m m b , we can write the following system:
F W + W F + g m + m g = 0 F m + b g a m = 0 2 a b + 2 a = 0 .
Excluding b = 1 and m = [ F a I ] 1 g , we have the following equation:
F W + W F = g g [ F a I ] 1 + [ F a I ] 1 g g .
Matrix W characterizes the stochastic sensitivity of equilibrium x ¯ :
cov ( x ε ( t ) , x ε ( t ) ) ε 2 W .
Using eigenvalues λ 1 , λ 2 and normalized eigenvectors w 1 , w 2 of stochastic sensitivity matrix W, we can describe a distribution of the random states around equilibrium x ¯ in a form of confidence ellipse
α 1 2 λ 1 + α 2 2 λ 2 = 2 ε 2 ln ( 1 P ) .
Here, α 1 = ( x x ¯ , w 1 ) , α 2 = ( x x ¯ , w 2 ) are coordinates of the ellipse in the basis of w 1 , w 2 and P is a fiducial probability. Therefore, eigenvalues λ 1 and λ 2 of stochastic sensitivity matrix W define a size of the confidence ellipse in the directions of eigenvectors, w 1 , w 2 .

References

  1. Moss, F.; McClintock, P.V.E. Noise in Nonlinear Dynamical Systems; Cambridge University Press: Cambridge, UK, 1989; Volumes 1–3, p. 372. [Google Scholar]
  2. Horsthemke, W.; Lefever, R. Noise-Induced Transitions; Springer: Berlin, Germany, 1984; p. 338. [Google Scholar]
  3. Anishchenko, V.S.; Astakhov, V.V.; Neiman, A.B.; Vadivasova, T.E.; Schimansky-Geier, L. Nonlinear Dynamics of Chaotic and Stochastic Systems. Tutorial and Modern Development; Springer: Berlin/Heidelberg, Germany, 2007; p. 535. [Google Scholar]
  4. Arnold, L. Random Dynamical Systems; Springer: Berlin, Germany, 1998; p. 600. [Google Scholar]
  5. Gao, J.B.; Hwang, S.K.; Liu, J.M. When can noise induce chaos? Phys. Rev. Lett. 1999, 82, 1132–1135. [Google Scholar] [CrossRef]
  6. Lai, Y.C.; Tel, T. Transient Chaos. Complex Dynamics on Finite Time Scales; Springer: New York, NY, USA, 2011; p. 502. [Google Scholar]
  7. Zaks, M.A.; Sailer, X.; Schimansky-Geier, L.; Neiman, A.B. Noise induced complexity: From subthreshold oscillations to spiking in coupled excitable systems. Chaos 2005, 15, 026117. [Google Scholar] [CrossRef] [PubMed]
  8. McDonnell, M.D.; Stocks, N.G.; Pearce, C.E.M.; Abbott, D. Stochastic Resonance: From Suprathreshold Stochastic Resonance to Stochastic Signal Quantization; Cambridge University Press: Cambridge, UK, 2008; p. 446. [Google Scholar]
  9. Pikovsky, A.S.; Kurths, J. Coherence resonance in a noise-driven excitable system. Phys. Rev. Lett. 1997, 78, 775–778. [Google Scholar] [CrossRef]
  10. Xu, Y.; Ma, J.; Wang, H.; Li, Y.; Kurths, J. Effects of combined harmonic and random excitations on a Brusselator model. Eur. Phys. J. B 2017, 90, 194. [Google Scholar] [CrossRef]
  11. Lindner, B.; Garcia-Ojalvo, J.; Neiman, A.; Schimansky-Geier, L. Effects of noise in excitable systems. Phys. Rep. 2004, 392, 321–424. [Google Scholar] [CrossRef]
  12. Yamakou, M.; Tran, T.; Duc, L.; Jost, J. The stochastic Fitzhugh–Nagumo neuron model in the excitable regime embeds a leaky integrate-and-fire model. J. Math. Biol. 2019, 79, 509–532. [Google Scholar] [CrossRef] [PubMed]
  13. Franović, I.; Yanchuk, S.; Eydam, S.; Bačić, I.; Wolfrum, M. Dynamics of a stochastic excitable system with slowly adapting feedback. Chaos 2020, 30, 083109. [Google Scholar] [CrossRef] [PubMed]
  14. Alexandrov, D.V.; Bashkirtseva, I.A.; Crucifix, M.; Ryashko, L.B. Nonlinear climate dynamics: From deterministic behaviour to stochastic excitability and chaos. Phys. Rep. 2021, 902, 1–60. [Google Scholar] [CrossRef]
  15. Nowakowski, B.; Kawczyński, A.L. Stochastic transitions through unstable limit cycles in a model of bistable thermochemical system. Phys. Chem. Chem. Phys. 2008, 10, 289–296. [Google Scholar]
  16. Kolbus, A.; Nowakowski, B.; Kawczyński, A.L. Distributions of first passage times in a bistable thermochemical system with a low temperature stationary state. Eur. Phys. J. B 2013, 86, 262. [Google Scholar] [CrossRef]
  17. Hänggi, P.; Jung, P. Colored noise in dynamical systems. Adv. Chem. Phys. 1995, 89, 239–326. [Google Scholar] [CrossRef]
  18. Sarkar, P. The linear response of a glycolytic oscillator, driven by a multiplicative colored noise. J. Stat. Mech. Theory Exp. 2016, 2016, 123202. [Google Scholar] [CrossRef]
  19. Spanio, T.; Hidalgo, J.; Muñoz, M.A. Impact of environmental colored noise in single-species population dynamics. Phys. Rev. E 2017, 96, 042301. [Google Scholar] [CrossRef] [PubMed]
  20. Xu, Y.; Gu, R.; Zhang, H.; Xu, W.; Duan, J. Stochastic bifurcations in a bistable Duffing–Van der Pol oscillator with colored noise. Phys. Rev. E 2011, 83, 056215. [Google Scholar] [CrossRef] [PubMed]
  21. Lei, Y.M.; Hua, M.J.; Du, L. Onset of colored-noise-induced chaos in the generalized Duffing system. Nonlinear Dyn. 2017, 89, 1371–1383. [Google Scholar] [CrossRef]
  22. Marano, S.; Edwards, B.; Ferrari, G.; Faeh, D. Fitting earthquake spectra: Colored noise and incomplete data. Bull. Seismol. Soc. Amer. 2017, 107, 276–291. [Google Scholar] [CrossRef]
  23. Ma, Y.; Yu, X. Stationary probability density analysis for the randomly forced phytoplankton-zooplankton model with correlated colored noises. Mathematics 2022, 10, 2383. [Google Scholar] [CrossRef]
  24. Bashkirtseva, I. Stochastic sensitivity of systems driven by colored noise. Phys. A 2018, 505, 729–736. [Google Scholar] [CrossRef]
  25. Uppal, A.; Ray, W.H.; Poore, A.B. On the dynamic behavior of continuous stirred tank reactors. Chem. Eng. Sci. 1974, 29, 967–985. [Google Scholar] [CrossRef]
  26. Holodniok, M.; Klíč, A.; Kubíček, M.; Marek, M. Metody Analýzy Nelineárních Dynamických Modelů; Academia: Praha, Czech Republic, 1986. [Google Scholar]
  27. Bashkirtseva, I.; Ryashko, L. Sensitivity analysis of the stochastically and periodically forced Brusselator. Phys. A 2000, 278, 126–139. [Google Scholar] [CrossRef]
  28. Bashkirtseva, I.; Neiman, A.B.; Ryashko, L. Stochastic sensitivity analysis of noise-induced suppression of firing and giant variability of spiking in a Hodgkin-Huxley neuron model. Phys. Rev. E 2015, 91, 052920. [Google Scholar] [CrossRef] [PubMed]
Figure 1. Deterministic model (1): (a) Bifurcation diagram. Here, bifurcation points are β 1 = 0.816 , β 2 = 0.864 . Extrema of x- and y-coordinates of the hot attractors are shown in red, and for cold attractors they are shown in blue. (b) Phase portrait for β = 0.8 . Here, all solutions tend to the hot equilibrium H.
Figure 1. Deterministic model (1): (a) Bifurcation diagram. Here, bifurcation points are β 1 = 0.816 , β 2 = 0.864 . Extrema of x- and y-coordinates of the hot attractors are shown in red, and for cold attractors they are shown in blue. (b) Phase portrait for β = 0.8 . Here, all solutions tend to the hot equilibrium H.
Mathematics 11 04676 g001
Figure 2. Noise-induced excitement: random trajectories and time series of stochastic System (2) with β = 0.8 , a = 1 for two values of noise intensity: for ε = 0.03 (blue) and ε = 0.1 (green).
Figure 2. Noise-induced excitement: random trajectories and time series of stochastic System (2) with β = 0.8 , a = 1 for two values of noise intensity: for ε = 0.03 (blue) and ε = 0.1 (green).
Mathematics 11 04676 g002
Figure 3. Random states of stochastic System (2) with β = 0.8 , a = 1 starting at equilibrium H.
Figure 3. Random states of stochastic System (2) with β = 0.8 , a = 1 starting at equilibrium H.
Mathematics 11 04676 g003
Figure 4. Noise-induced excitement: random trajectories and time series of stochastic System (2) with β = 0.8 , ε = 0.2 for two values of parameter a: for a = 1 (green) and a = 100 (blue).
Figure 4. Noise-induced excitement: random trajectories and time series of stochastic System (2) with β = 0.8 , ε = 0.2 for two values of parameter a: for a = 1 (green) and a = 100 (blue).
Mathematics 11 04676 g004
Figure 5. Stochastic System (2) with β = 0.8 : random states of solutions starting at equilibrium H for (a) ε = 0.07 , (b) ε = 0.2 versus parameter a; (c) mean values of x-coordinates for different noise intensities.
Figure 5. Stochastic System (2) with β = 0.8 : random states of solutions starting at equilibrium H for (a) ε = 0.07 , (b) ε = 0.2 versus parameter a; (c) mean values of x-coordinates for different noise intensities.
Mathematics 11 04676 g005
Figure 6. Stochastic system with β = 0.8 : (a) exit probability; (b) mean values of interspike intervals.
Figure 6. Stochastic system with β = 0.8 : (a) exit probability; (b) mean values of interspike intervals.
Mathematics 11 04676 g006
Figure 7. Probability density functions ρ ( x ) for x-coordinates of intersection points with line y = y ¯ = 5.00256 for stochastic System (2) with β = 0.8 , ε = 0.2 .
Figure 7. Probability density functions ρ ( x ) for x-coordinates of intersection points with line y = y ¯ = 5.00256 for stochastic System (2) with β = 0.8 , ε = 0.2 .
Mathematics 11 04676 g007
Figure 8. Eigenvalues λ 1 > λ 2 > 0 of the stochastic sensitivity matrix W of the equilibrium H for System (2) with β = 0.815 (red), β = 0.8 (blue), β = 0.75 (green) versus parameter a.
Figure 8. Eigenvalues λ 1 > λ 2 > 0 of the stochastic sensitivity matrix W of the equilibrium H for System (2) with β = 0.815 (red), β = 0.8 (blue), β = 0.75 (green) versus parameter a.
Mathematics 11 04676 g008
Figure 9. Confidence ellipses and random states of System (2) with β = 0.8 , ε = 0.001 : (a) for a = 0.1 , (b) for a = 1 , (c) for a = 10 , (d) for a = 100 . Here, fiducial probability P = 0.995 . .
Figure 9. Confidence ellipses and random states of System (2) with β = 0.8 , ε = 0.001 : (a) for a = 0.1 , (b) for a = 1 , (c) for a = 10 , (d) for a = 100 . Here, fiducial probability P = 0.995 . .
Mathematics 11 04676 g009
Figure 10. Confidence ellipses for System (2) with β = 0.8 , ε = 0.2 for a = 1 (green), a = 100 (blue). Here, phase trajectories of deterministic System (1) are shown in dark grey.
Figure 10. Confidence ellipses for System (2) with β = 0.8 , ε = 0.2 for a = 1 (green), a = 100 (blue). Here, phase trajectories of deterministic System (1) are shown in dark grey.
Mathematics 11 04676 g010
Disclaimer/Publisher’s Note: The statements, opinions and data contained in all publications are solely those of the individual author(s) and contributor(s) and not of MDPI and/or the editor(s). MDPI and/or the editor(s) disclaim responsibility for any injury to people or property resulting from any ideas, methods, instructions or products referred to in the content.

Share and Cite

MDPI and ACS Style

Ryashko, L. Analysis of Excitement Caused by Colored Noise in a Thermokinetic Model. Mathematics 2023, 11, 4676. https://doi.org/10.3390/math11224676

AMA Style

Ryashko L. Analysis of Excitement Caused by Colored Noise in a Thermokinetic Model. Mathematics. 2023; 11(22):4676. https://doi.org/10.3390/math11224676

Chicago/Turabian Style

Ryashko, Lev. 2023. "Analysis of Excitement Caused by Colored Noise in a Thermokinetic Model" Mathematics 11, no. 22: 4676. https://doi.org/10.3390/math11224676

APA Style

Ryashko, L. (2023). Analysis of Excitement Caused by Colored Noise in a Thermokinetic Model. Mathematics, 11(22), 4676. https://doi.org/10.3390/math11224676

Note that from the first issue of 2016, this journal uses article numbers instead of page numbers. See further details here.

Article Metrics

Back to TopTop