Deep Neural Network and Predator Crow Optimization-Based Intelligent Healthcare System for Predicting Cardiac Diseases
Abstract
:1. Introduction
- The study focuses on designing a hybrid system for predicting cardiovascular diseases, which combines PCO (Predator Crow Optimization) with DNN (Deep Neural Networks) to create an intelligent healthcare solution.
- Initially, an ECG (Electrocardiogram) signal database is collected and used as input for the cardiovascular disease prediction system.
- The system employs a band-pass filter for data preprocessing and feature extraction. This step helps clean and prepare the data for further analysis.
- The core of the system is an integrated PCO-DNN framework, where DNN is responsible for predicting cardiovascular diseases, and PCO optimizes the DNN parameters to enhance prediction performance. PCO is a nature-inspired optimization algorithm inspired by the hunting behaviors of crows.
- The performance of the Predator Crow-DNN model is compared to that of conventional models, using metrics such as accuracy, precision, recall, and F-measure. This comparative analysis provides insights into the effectiveness of the proposed hybrid system in predicting cardiovascular diseases.
2. Literature Survey
Challenges
- Heartbeat and Pulse Rate Monitoring: The use of a 650 nm green LED as a light source for pulse rate monitoring is common, allowing light to penetrate various tissues. However, the output current from photosensitive elements is typically low, making them susceptible to external electromagnetic interference. Additionally, the electrical signal generated by photoelectric conversion may be weak, which can pose challenges in capturing accurate pulse information [8].
- Data Preprocessing and Feature Extraction: To ensure the quality of telemedicine data and avoid data duplication, extracting meaningful features from raw data using deep learning and machine learning algorithms is essential. This process helps filter out duplicate, noisy, and inaccurate data before storage in remote cloud data centers, thus optimizing resource utilization and avoiding potential negative health-related consequences [7].
- Real-Time Health Surveillance: Contemporary health surveillance systems rely on real-time analytics to provide critical information swiftly and improve response times. However, challenges may arise due to unstable network connections and inconsistent data flows from remote sensors, potentially affecting the efficiency of these systems [7].
- Deep Learning Model Complexity: Increasing the number of hidden units in a deep learning model can lead to improved accuracy in training and testing procedures. However, it also introduces challenges such as higher processing costs, increased model complexity, and the risk of vanishing gradient problems, which can hinder the training process [7].
- These points highlight some of the technical and practical considerations in health monitoring and data analysis, particularly in remote or telemedicine applications. Addressing these challenges is crucial for enhancing the accuracy and reliability of health-related systems and ensuring they deliver meaningful results.
3. Proposed PCO-DNN Approach for Cardiovascular Disease Prediction
3.1. Procedure for PCO-Tuned DNN
3.2. Proposed Predator Crow Algorithm in DNN
| Algorithm 1: Pseudocode of the proposed Predator Crow Optimization algorithm |
| 1. Input: |
| 2. Initialize the population of predator crow search agents |
| 3. Initialize maximum iteration |
| 4. Evaluate fitness function for all predator crow search agents |
| 5. Process states of raiding search agents |
| 6. High-velocity ratio |
| 7. If |
| 8. Unit velocity ratio |
| 9. Update position based on Equation (5) |
| 10. Else if |
| 11. Update position based on Equation (6) for the first half of the population |
| 12. Update position based on Equation (7) for the next half of the population |
| 13. Low-velocity ratio |
| 14. Else if |
| 15. Update position based on Equation (9) |
| 16. Update memory |
| 17. Update position based on Equation (11) |
| 18. Evaluate the fitness of all predator crow search agents |
| 19. If |
| 20. Replace the old solution with the new solution |
| 21. Return |
4. Results and Discussion
4.1. Experiment Setup
4.2. Database Description
Ethical Considerations
4.3. Training and Testing Performance
4.4. Evaluation Matrix
4.5. Performance Analysis
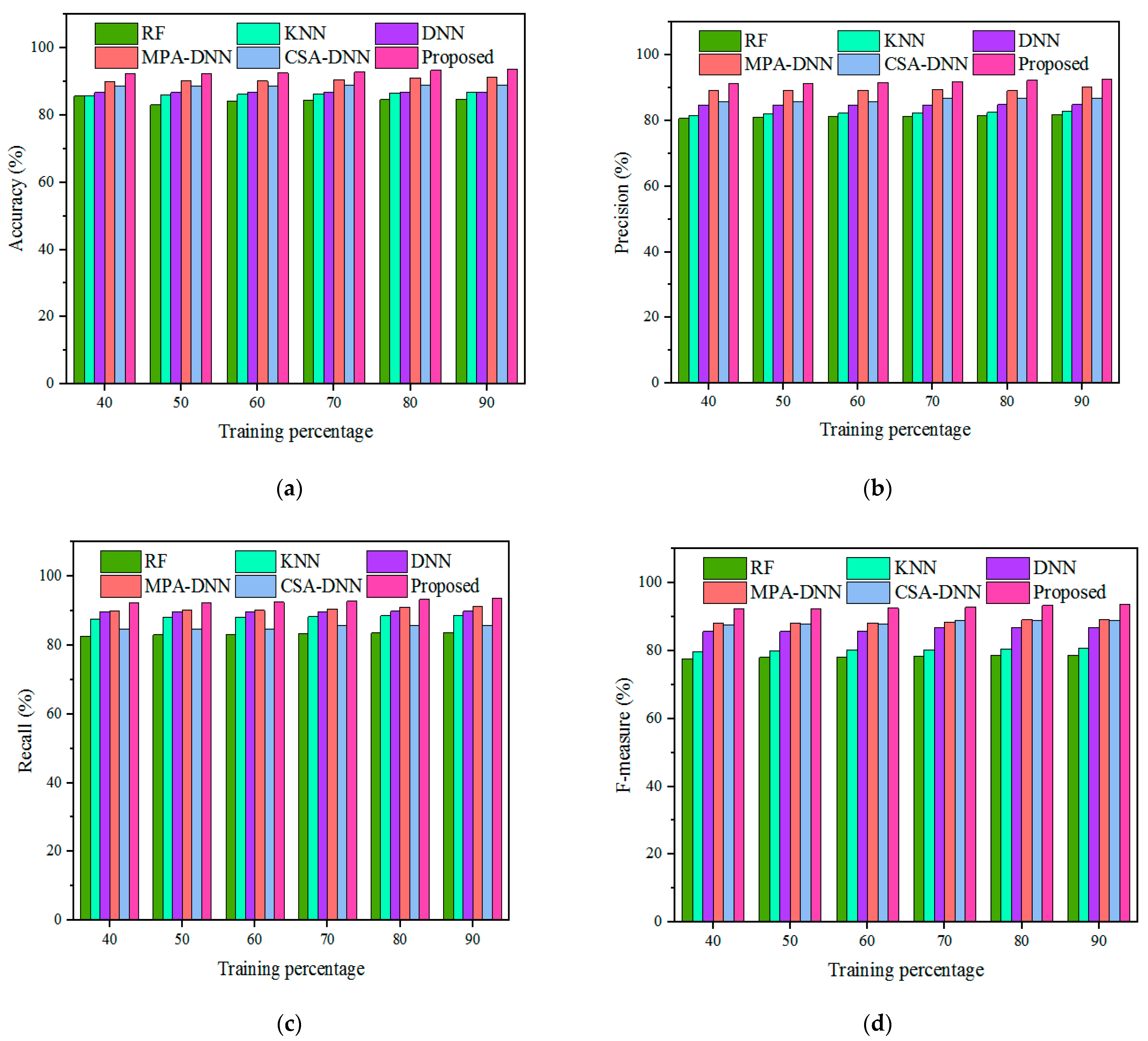
4.5.1. Performance Analysis in Terms of Training Percentages
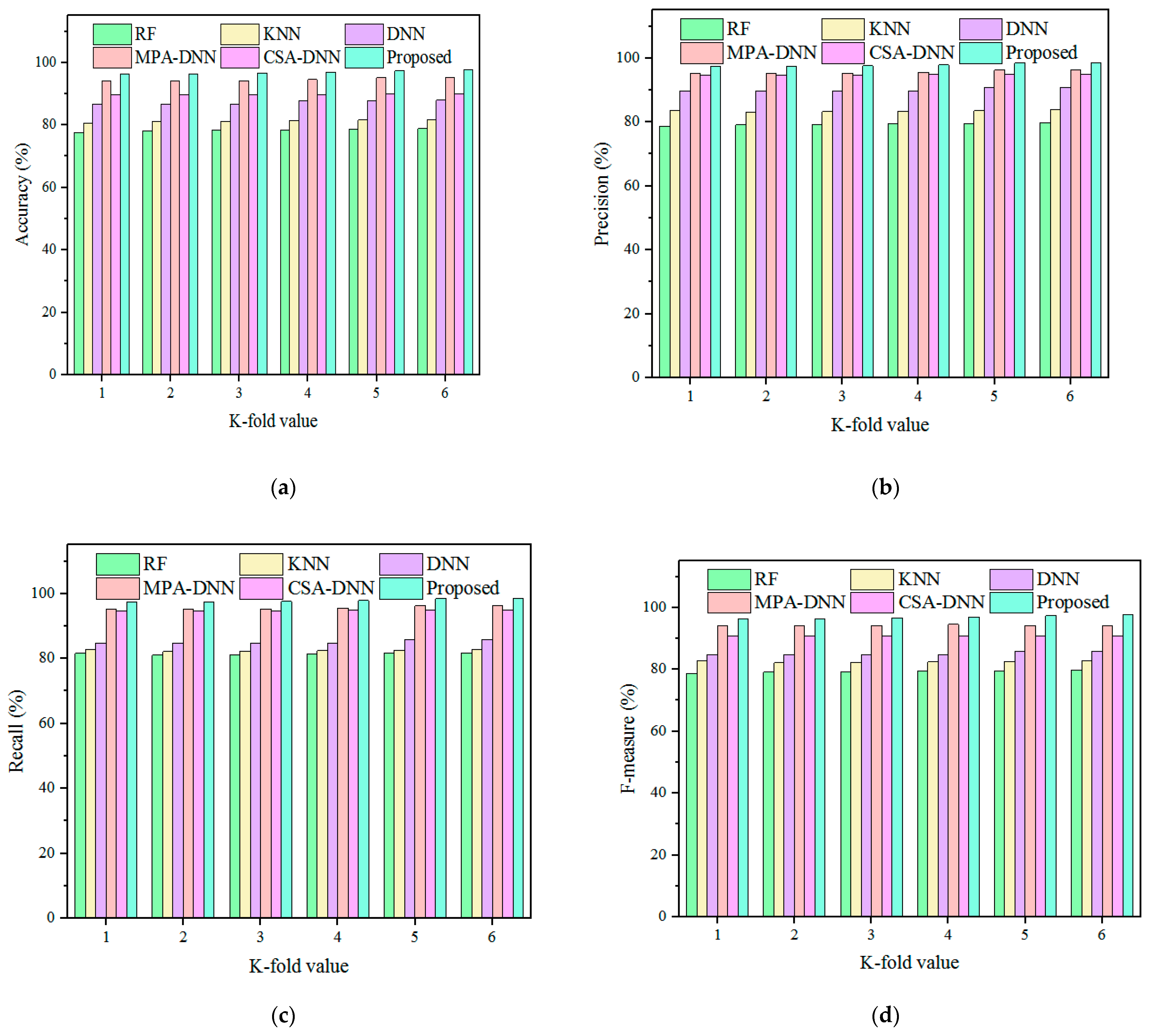
4.5.2. Performance Evaluation Based on the K-Fold Value
4.6. Performance Comparison
4.6.1. Performance Evaluation Based on Training Percentage
4.6.2. Performance Evaluation Based on K-Fold Value
4.7. Comparison of Model Performances with Existing Techniques
4.8. Comparison of Computational Time
4.9. Experimental Findings
4.10. Discussion
4.11. Limitation and Future Work
5. Conclusions
Author Contributions
Funding
Data Availability Statement
Acknowledgments
Conflicts of Interest
References
- Dami, S.; Yahaghizadeh, M. Predicting cardiovascular events with deep learning approach in the context of the internet of things. Neural. Comput. Appl. 2021, 33, 7979–7996. [Google Scholar] [CrossRef]
- Mohan, S.; Thirumalai, C.; Srivastava, G. Effective heart disease prediction using hybrid machine learning techniques. IEEE Access 2019, 7, 81542–81554. [Google Scholar] [CrossRef]
- Kumar, P.M.; Gandhi, U.D. A novel three-tier Internet of things architecture with machine learning algorithm for early detection of heart diseases. Comput. Electr. Eng. 2018, 65, 222–235. [Google Scholar] [CrossRef]
- Mansour, R.F.; El Amraoui, A.; Nouaouri, I.; Diaz, V.G.; Gupta, D.; Kumar, S. Artificial intelligence and Internet of things enabled disease diagnosis model for smart healthcare systems. IEEE Access 2021, 9, 45137–45146. [Google Scholar] [CrossRef]
- Basheer, S.; Alluhaidan, A.S.; Bivi, M.A. Real-time monitoring system for early prediction of heart disease using Internet of Things. Soft Comput. 2021, 1, 12145–12158. [Google Scholar] [CrossRef]
- Kaur, P.; Kumar, R.; Kumar, M. A healthcare monitoring system using random forest and Internet of Things (IoT). Multimed. Tools Appl. 2019, 78, 19905–19916. [Google Scholar] [CrossRef]
- Wu, X.; Liu, C.; Wang, L.; Bilal, M. Internet of things-enabled real-time health monitoring system using deep learning. Neural Comput. Appl. 2023, 35, 14565–14576. [Google Scholar] [CrossRef]
- Xiao, N.; Yu, W.; Han, X. Wearable heart rate monitoring intelligent sports bracelet based on Internet of things. Measurement 2020, 164, 108102. [Google Scholar] [CrossRef]
- Gokulnath, C.B.; Shantharajah, S.P. An optimized feature selection based on genetic approach and support vector machine for heart disease. Cluster Comput. 2019, 22, 14777–14787. [Google Scholar] [CrossRef]
- Lv, W.; Meng, F.; Zhang, C.; Lv, Y.; Cao, N.; Jiang, J. A general architecture of IoT system. In Proceedings of the International Conference on Computational Science and Engineering 2017, Guangzhou, China, 21–24 July 2017; Volume 1, pp. 659–664. [Google Scholar]
- Gong, F.F.; Sun, X.Z.; Lin, J.; Gu, X.D. Primary exploration in establishment of China’s intelligent medical treatment. Mod. Hosp. Manag. 2013, 11, 28–29. [Google Scholar]
- Tallapragada, V.V.; Kullayamma, I.; Kumar, G.V.; Venkatanaresh, M. Significance of Internet of Things (IoT) in health care with trending smart application. In Smart Systems: Innovations in Computing; Springer: Singapore, 2022; pp. 237–245. [Google Scholar]
- Taiwo, O.; Ezugwu, A.E. Smart healthcare support for remote patient monitoring during Covid-19 quarantine. Inform. Med. Unlocked 2020, 20, 100428. [Google Scholar] [CrossRef]
- Saleem, T.J.; Chishti, M.A. Deep learning for Internet of Things data analytics. Procedia Comput. Sci. 2019, 163, 381–390. [Google Scholar] [CrossRef]
- Abdel-Basset, M.; Manogaran, G.; Gamal, A.; Chang, V. A novel intelligent medical decision support model based on soft computing and IoT. IEEE Internet Things J. 2019, 7, 4160–4170. [Google Scholar] [CrossRef]
- Cenitta, D.; Arjunan, R.V.; Prema, K.V. Ischemic heart disease prediction using optimized squirrel search feature selection algorithm. IEEE Access 2022, 10, 122995–123006. [Google Scholar] [CrossRef]
- Reddy, K.V.V.; Elamvazuthi, I.; Aziz, A.A.; Paramasivam, S.; Chua, H.N.; Pranavanand, S. An efficient prediction system for coronary heart disease risk using selected principal components and hyperparameter optimization. Appl. Sci. 2023, 13, 118. [Google Scholar] [CrossRef]
- Nancy, A.A.; Ravindran, D.; Raj Vincent, P.M.D.; Srinivasan, K.; Gutierrez Reina, D. IoT-cloud-based smart healthcare monitoring system for heart disease prediction via deep learning. Electronics 2022, 11, 2292. [Google Scholar] [CrossRef]
- Dileep, P.; Rao, K.N.; Bodapati, P.; Gokuruboyina, S.; Peddi, R.; Grover, A.; Sheetal, A. An automatic heart disease prediction using cluster-based bi-directional LSTM (C-BiLSTM) algorithm. Neural Comput. Applic. 2023, 35, 7253–7266. [Google Scholar] [CrossRef]
- Sharma, A.; Pal, T.; Jaiswal, V. Heart disease prediction using convolutional neural network. In Cardiovascular and Coronary Artery Imaging; Academic Press: Cambridge, MA, USA, 2022; pp. 245–272. [Google Scholar]
- Almalawi, A.; Khan, A.I.; Alsolami, F.; Alkhathlan, A.; Fahad, A.; Irshad, K.; Alfakeeh, A.S.; Qaiyum, S. Arithmetic optimization algorithm with deep learning enabled airborne particle-bound metals size prediction model. Chemosphere 2022, 303, 134960. [Google Scholar] [CrossRef]
- Jabeen, F.; Maqsood, M.; Ghazanfar, M.A.; Aadil, F.; Khan, S.; Khan, M.F.; Mehmood, I. An IoT based efficient hybrid recommender system for cardiovascular disease. Peer Peer Netw. Appl. 2019, 12, 1263–1276. [Google Scholar] [CrossRef]
- Chatterjee, P.; Cymberknop, L.J.; Armentano, R.L. IoT-based decision support system for intelligent healthcare-applied to cardiovascular diseases. In Proceedings of the 7th International Conference on Communication Systems and Network Technologies 2017, Nagpur, India, 11–13 November 2017; pp. 362–366. [Google Scholar]
- Raju, K.B.; Dara, S.; Vidyarthi, A.; Gupta, V.M.; Khan, B. Smart heart disease prediction system with IoT and fog computing sectors enabled by cascaded deep learning model. Comput. Intell. Neurosci. 2022, 2022, 1070697. [Google Scholar] [CrossRef] [PubMed]
- Al-Shammari, N.K.; Alzamil, A.A.; Albadarn, M.; Ahmed, S.A.; Syed, M.B.; Alshammari, A.S.; Gabr, A.M. Cardiac stroke prediction framework using hybrid optimization algorithm under DNN. Eng. Appl. Sci. Res. 2021, 11, 7436–7441. [Google Scholar] [CrossRef]
- Krishnaiah, V.; Narsimha, G.; Chandra, N.S. Heart disease prediction system using data mining technique by fuzzy K-NN approach. In Proceedings of the 49th Annual Convention of the Computer Society of India 2015, Hyderabad, India, 11–15 December 2014; pp. 371–384. [Google Scholar]
- Kar, A.; Das, L. A technical review on statistical feature extraction of ECG signal. Int. J. Comput. Appl. 2011, 2, 35–40. [Google Scholar]
- Ramezani, M.; Danial, B.; Razmjooy, N. A new improved model of marine predator algorithm for optimization problems. Arab. J. Sci. Eng. 2021, 46, 8803–8826. [Google Scholar] [CrossRef]
- Kaggle: Heart Disease Classification. 2021. Available online: https://www.kaggle.com/competitions/heart-disease-uci/data (accessed on 20 June 2023).
- Polat, K.; Şahan, S.; Güneş, S. A new method to medical diagnosis: Artificial immune recognition system (AIRS) with fuzzy weighted pre-processing and application to ECG arrhythmia. Expert Syst. Appl. 2006, 31, 264–269. [Google Scholar] [CrossRef]
- Kaur, J.; Khan, A.I.; Abushark, Y.B.; Alam, M.; Khan, S.A.; Agrawal, A.; Kumar, R.; Khan, R.A. Security risk assessment of healthcare web application through adaptive neuro-fuzzy inference system: A design perspective. Risk Manag. Healthc. Policy 2020, 13, 355–371. [Google Scholar] [CrossRef] [PubMed]
- Yang, L.; Wu, H.; Jin, X.; Zheng, P.; Hu, S.; Xu, X.; Yu, W.; Yan, J. Study of cardiovascular disease prediction model based on random forest in eastern China. Sci. Rep. 2020, 10, 5245. [Google Scholar] [CrossRef]
- Khan, A.I.; Saad, A.; Alsolami, F.J.; Abushark, Y.B.; Almalawietal, A. Integrating blockchain technology into healthcare through an intelligent computing technique. Comput. Mater. Contin. 2022, 70, 2835–2860. [Google Scholar]
- Faramarzi, A.; Heidarinejad, M.; Mirjalili, S.; Gandomi, A.H. Marine predators algorithm: A nature-inspired metaheuristic. Expert Syst. Appl. 2020, 152, 113377. [Google Scholar] [CrossRef]
- Sarker, I.H.; Khan, A.I.; Abushark, Y.B.; Alsolami, F. Internet of Things (IoT) security intelligence: A comprehensive overview, machine learning solutions and research directions. Mob. Netw. Appl. 2023, 28, 296–312. [Google Scholar] [CrossRef]
- Khan, A.I.; Alsolami, F.; Alqurashi, F.; Abushark, Y.B.; Sarker, I.H. Novel energy management scheme in IoT enabled smart irrigation system using optimized intelligence methods. Eng. Appl. Artif. Intell. 2022, 114, 104996. [Google Scholar] [CrossRef]
- Ali, F.; El-Sappagh, S.; Islam, S.R.; Kwak, D.; Ali, A.; Imran, M.; Kwak, K.-S. A smart healthcare monitoring system for heart disease prediction based on ensemble deep learning and feature fusion. Inf. Fusion. 2020, 63, 208–222. [Google Scholar] [CrossRef]
- Pan, Y.; Fu, M.; Cheng, B.; Tao, X.; Guo, J. Enhanced deep learning assisted convolutional neural network for heart disease prediction on the Internet of medical things platform. IEEE Access 2020, 8, 189503–189512. [Google Scholar] [CrossRef]
- Askarzadeh, A. A novel metaheuristic method for solving constrained engineering optimization problems: Crow search algorithm. Comput Struct. 2016, 169, 1–12. [Google Scholar] [CrossRef]
- Faieq, A.K.; Mijwil, M.M. Prediction of heart diseases utilising support vector machine and artificial neural network. Indones. J. Electr. Eng. Comput. Sci. 2022, 26, 374–380. [Google Scholar] [CrossRef]
- Khan, M.U.; Samer, S.; Alshehri, M.D.; Baloch, N.K.; Khan, H.; Hussain, F.; Kim, S.W.; Bin Zikria, Y. Artificial neural network-based cardiovascular disease prediction using spectral features. Comput. Electr. Eng. 2022, 101, 108094. [Google Scholar] [CrossRef]
- Deepika, D.; Balaji, N. Effective heart disease prediction using novel MLP-EBMDA approach. Biomed. Signal Process. Control. 2022, 72, 103318. [Google Scholar] [CrossRef]
- Arroyo, J.C.T.; Delima, A.J.P. An optimized neural network using genetic algorithm for cardiovascular disease prediction. J. Adv. Inf. Technol. 2022, 13, 95–99. [Google Scholar] [CrossRef]
- El-Shafiey, M.G.; Hagag, A.; El-Dahshan, E.-S.A.; Ismail, M.A. A hybrid GA and PSO optimized approach for heart-disease prediction based on random forest. Multimed. Tools. Appl. 2022, 81, 18155–18179. [Google Scholar] [CrossRef]
- El-Hasnony, I.M.; Elzeki, O.M.; Alshehri, A.; Salem, H. Multi-label active learning-based machine learning model for heart disease prediction. Sensors 2022, 22, 1184. [Google Scholar] [CrossRef] [PubMed]
- Balamurugan, R.; Ratheesh, S.; Venila, Y.M. Classification of heart disease using adaptive Harris hawk optimization-based clustering algorithm and enhanced deep genetic algorithm. Soft Comput. 2022, 26, 2357–2373. [Google Scholar] [CrossRef]
- Budholiya, K.; Shrivastava, S.K.; Sharma, V. An optimized XGBoost based diagnostic system for effective prediction of heart disease. J. King Saud Univ.-Comput. Inf. 2022, 34, 4514–4523. [Google Scholar] [CrossRef]
- Munagala, N.K.; Langoju, L.R.R.; Rani, A.D.; Reddy, D.R.K. A smart IoT-enabled heart disease monitoring system using meta-heuristic-based Fuzzy-LSTM model. Biocybern Biomed. Eng. 2022, 42, 1183–1204. [Google Scholar] [CrossRef]













| Refs. | Technique | Findings | Advantages | Disadvantages |
|---|---|---|---|---|
| [1] | Long Short-Term Memory (LSTM) neural net | Mean accuracy | The accuracy is good | Non-continuous feasible monitoring |
| [2] | Revolutionary methods | Accuracy | The cost is low | Increases computational time |
| [3] | Scaled three-tier system | Sensitivity specificity | The technique is simple | Difficult to interrupt |
| [4] | Crow Search Optimization-based Cascaded Long Short-Term Memory (CSO–CLSTM) framework | Accuracy | High sensitivity | Low recall |
| [5] | Hybrid fuzzy-based tree-based method | Sensitivity, specificity, and accuracy | Recall is higher | When using large datasets, the training time is extended |
| [6] | Random Forest classifier | Maximum accuracy | F1-score is higher | Difficult to interrupt |
| [7] | Deep learning-based IoT | Precision and F1 | Decreases computational time | The weights of the variables are not constant |
| [8] | The smart sports wristband system | Accuracy | Higher accuracy | Low-dimensional data |
| [16] | MSSO with Random Forest model | Accuracy and efficiency | Greater accuracy, and high classification efficiency | Depends on the database’s quality |
| [17] | Correlation-based feature selection and hyperparameter optimization | Accuracy, AUC | Increased classification accuracy | Limitation to transferability, and generalizability |
| [18] | Smart healthcare system based on Bi-LSTM | Sensitivity, specificity, accuracy, and f-measure | Ability to control sequential healthcare database | High computational time and demands more resources |
| [19] | Cluster-based BiLSTM | F-measure, sensitivity, and accuracy | Robustness and transferability | Instability |
| [20] | Computational method based on CNN | Accuracy | Enhanced accuracy | Depends on the consistency and quality of the input images |
| Sl. No. | Attributes | Description |
|---|---|---|
| 1. | Sex | Gender (Female = 0, and male = 1) |
| 2. | Age | Patient age |
| 3. | Trestbps | Pressure of blood |
| 4. | Cp | Chest pain (Asymptotic = 4, non-anginal pain = 3, atypical angina = 2, and typical angina = 1) |
| 5. | Fbs | Blood sugar level (fasting = 1 > 120 mg/dL and otherwise = 0) |
| 6. | Chol | Cholesterol sample |
| 7. | Thalach | Utmost heart rate achieved |
| 8. | Restecg | ElectroCardioGraphic results (left ventricular hyperthropy = 2, ST-T wave abnormality = 1 and normal = 0) |
| 9. | Oldpeak | Depression |
| 10. | Exang | Induced angina during exercise (yes = 1 and no = 0) |
| 11 | Ca | Main vessels |
| 12. | Thal | Thalassemia (reversible defect = 7, fixed defect = 6 and normal = 3) |
| 13. | slope | Peak of exercise |
| 14. | Num | Heart disease diagnosis (Present = 1 to 4 and absence = 0) |
| Databases | Accuracy (%) | Precision (%) | Recall (%) | F-Measure (%) |
|---|---|---|---|---|
| Heart disease UCI | 96.12 | 96.43 | 95.59 | 95.96 |
| CDD | 92.47 | 92.32 | 93.42 | 93.17 |
| CCHD | 95.08 | 95.64 | 94.98 | 95.71 |
| HICHD | 93.13 | 93.90 | 94.78 | 94.45 |
| SHD | 94.29 | 94.25 | 94.01 | 93.70 |
| Average performance | 93.6738 | 92.2160 | 91.5012 | 93.5935 |
| Sl. No. | Evaluation Means | Metrics | Methods | |||||
|---|---|---|---|---|---|---|---|---|
| RF | K–NN | DNN | MPA–DNN | CSA–DNN | Proposed Predator Crow–DNN | |||
| 1 | Training percentage | Accuracy(%) | 85.3002 | 88.1145 | 89.2505 | 92.2818 | 89.8319 | 93.6738 |
| Precision(%) | 81.2108 | 82.9088 | 85.5113 | 89.0796 | 86.7082 | 92.2160 | ||
| Recall(%) | 83.7403 | 88.0766 | 89.2590 | 90.2271 | 89.3416 | 91.5012 | ||
| F1-measure(%) | 78.2058 | 80.8334 | 85.8663 | 89.8542 | 88.3338 | 93.5935 | ||
| 2 | K-fold value | Accuracy (%) | 79.2787 | 81.5035 | 87.5954 | 95.2882 | 90.4716 | 96.6665 |
| Precision (%) | 79.9980 | 84.6887 | 89.8256 | 96.7134 | 95.5438 | 97.5256 | ||
| Recall(%) | 82.1228 | 82.8578 | 84.1233 | 95.0752 | 95.0256 | 97.0953 | ||
| F1-measure %) | 78.7010 | 81.0823 | 85.7137 | 94.9078 | 90.0725 | 96.4242 | ||
| Tasks | Time (s) |
|---|---|
| Data pre-processing | 0.2 |
| Feature Engineering | 0.3 |
| Optimization | 0.4 |
| Classification | 0.1 |
| Total computational time | 1.0 |
| Methods | Performance Assessment with Key Metrics | |||
|---|---|---|---|---|
| Accuracy | Precision | Recall | F1-Measure | |
| RF | 85.3002 | 81.2108 | 83.7403 | 78.2058 |
| K–NN | 88.1145 | 82.9088 | 88.0766 | 80.8334 |
| DNN | 89.2505 | 85.5113 | 89.2590 | 85.8663 |
| MPA–DNN | 92.2818 | 89.0796 | 90.2271 | 89.8542 |
| CSA–DNN | 89.8319 | 86.7082 | 89.3416 | 88.3338 |
| LSTM [1] | 88.42 | 92.4 | 82.4 | 91.05 |
| Revolutionary methods [2] | 88.7 | 87.5 | 92.8 | 90 |
| Scaled three-tier system [3] | NE | 46.8 | 62.3 | NE |
| CSO–CLSTM [4] | 97.26 | NE | NE | NE |
| Hybrid fuzzy-based tree-based method [5] | 98.30 | NE | NE | NE |
| Random Forest classifier [6] | 97.26 | NE | NE | NE |
| Deep learning-based IoT [7] | NE | 72.65 | 72.6 | 62.4 |
| The smart sports wristband system [8] | 98.94 | NE | NE | NE |
| SVM-ANN | 87.16 | 88.05 | 86.23 | 87.5 |
| ANNbCDP | 85.23 | 84.35 | 85 | 84.72 |
| MLP-EBMDA | 89.32 | 90.07 | 90.54 | 90.23 |
| GAbNN | 86.98 | 87.46 | 87.01 | 86.92 |
| GA-PSO | 89.21 | 90.23 | 89.43 | 89.56 |
| MALbML | 79.98 | 80.34 | 80.54 | 79.31 |
| HHObCA | 85.98 | 87.12 | 86.09 | 87.05 |
| BObEGB | 85.49 | 84.37 | 84.95 | 84.42 |
| HHO-FbLSTM | 90.76 | 91.54 | 90.03 | 90.65 |
| Proposed PCO-DNN | 93.6738 | 92.2160 | 91.5012 | 93.5935 |
Disclaimer/Publisher’s Note: The statements, opinions and data contained in all publications are solely those of the individual author(s) and contributor(s) and not of MDPI and/or the editor(s). MDPI and/or the editor(s) disclaim responsibility for any injury to people or property resulting from any ideas, methods, instructions or products referred to in the content. |
© 2023 by the authors. Licensee MDPI, Basel, Switzerland. This article is an open access article distributed under the terms and conditions of the Creative Commons Attribution (CC BY) license (https://creativecommons.org/licenses/by/4.0/).
Share and Cite
Alqurashi, F.; Zafar, A.; Khan, A.I.; Almalawi, A.; Alam, M.M.; Azim, R. Deep Neural Network and Predator Crow Optimization-Based Intelligent Healthcare System for Predicting Cardiac Diseases. Mathematics 2023, 11, 4621. https://doi.org/10.3390/math11224621
Alqurashi F, Zafar A, Khan AI, Almalawi A, Alam MM, Azim R. Deep Neural Network and Predator Crow Optimization-Based Intelligent Healthcare System for Predicting Cardiac Diseases. Mathematics. 2023; 11(22):4621. https://doi.org/10.3390/math11224621
Chicago/Turabian StyleAlqurashi, Fahad, Aasim Zafar, Asif Irshad Khan, Abdulmohsen Almalawi, Md Mottahir Alam, and Rezaul Azim. 2023. "Deep Neural Network and Predator Crow Optimization-Based Intelligent Healthcare System for Predicting Cardiac Diseases" Mathematics 11, no. 22: 4621. https://doi.org/10.3390/math11224621
APA StyleAlqurashi, F., Zafar, A., Khan, A. I., Almalawi, A., Alam, M. M., & Azim, R. (2023). Deep Neural Network and Predator Crow Optimization-Based Intelligent Healthcare System for Predicting Cardiac Diseases. Mathematics, 11(22), 4621. https://doi.org/10.3390/math11224621

