A Hybrid Large Eddy Simulation Algorithm Based on the Implicit Domain Decomposition
Abstract
1. Introduction
2. Near-Wall Model
2.1. Slip Boundary Conditions
2.2. Turbulent Viscosity Estimation
3. Implicit Near-Wall Domain Decomposition
3.1. Algorithm
- Initialize the coarse grid for LES.
- Initialize the interface boundary and a sub-grid for RANS.
- Initialize the flow fields for both the unresolved LES grid and RANS sub-grid.
- Compute the turbulent viscosity.
- Compute and (Equation (3)) based on the chosen turbulent viscosity model of Section 2.2.
- Compute the coefficients and (Equation (5)) to impose the slip boundary condition at the wall.
- Solve the LES governing equations on the coarse grid with the slip boundary condition (Equation (4)).
- Transfer the LES streamwise velocity and turbulent kinetic energy at (i.e., and ) to the embedded RANS model.
- Compute the wall shear stress in the inner region using value (Equation (6)).
- Compute the RANS velocity solution in the inner region (Equation (7)) with the updated .
- Compute the turbulent kinetic energy (Equation (14)), if needed.
- Repeat the procedure from step 4.
3.2. Discussion
4. Test Cases
4.1. Setup
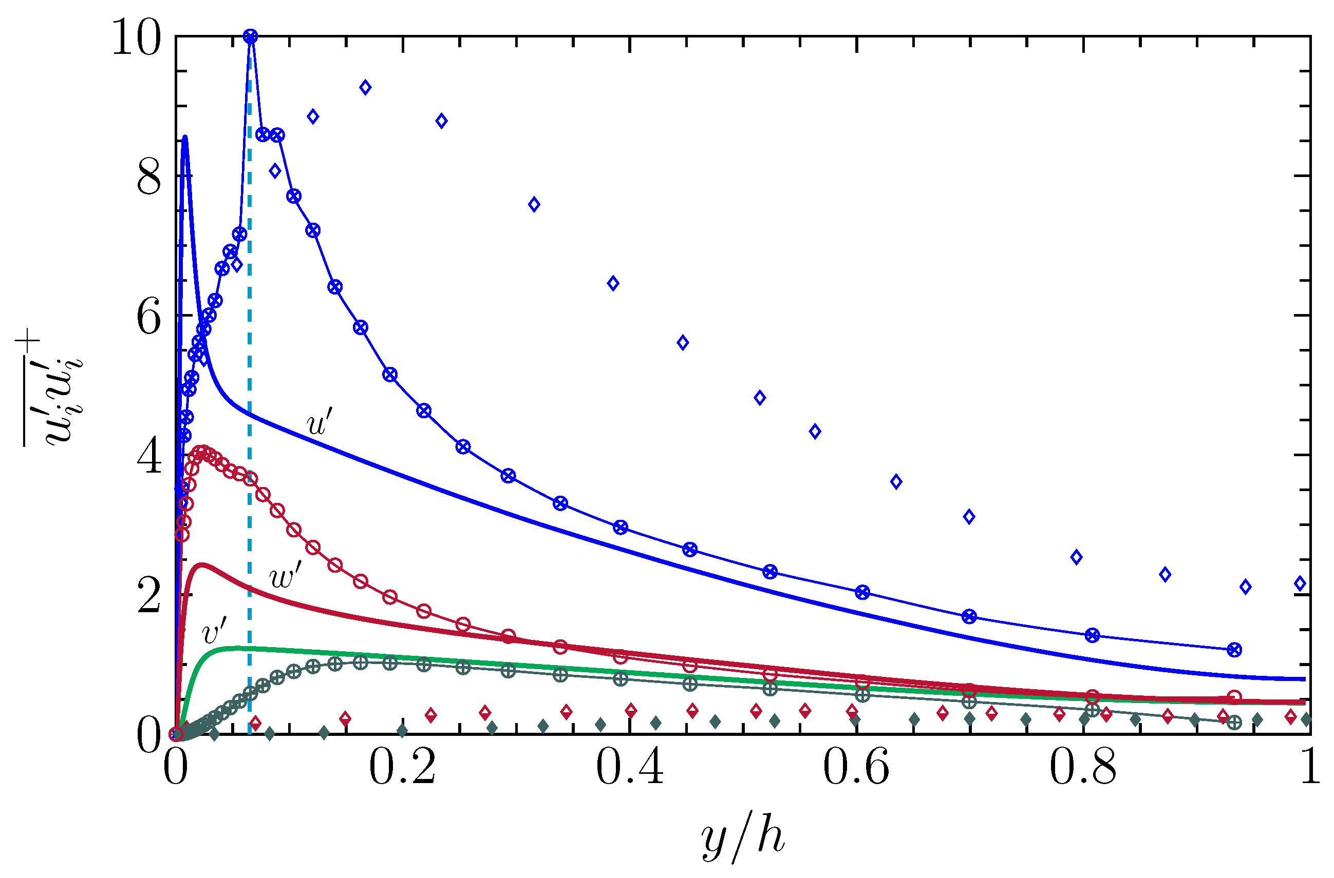
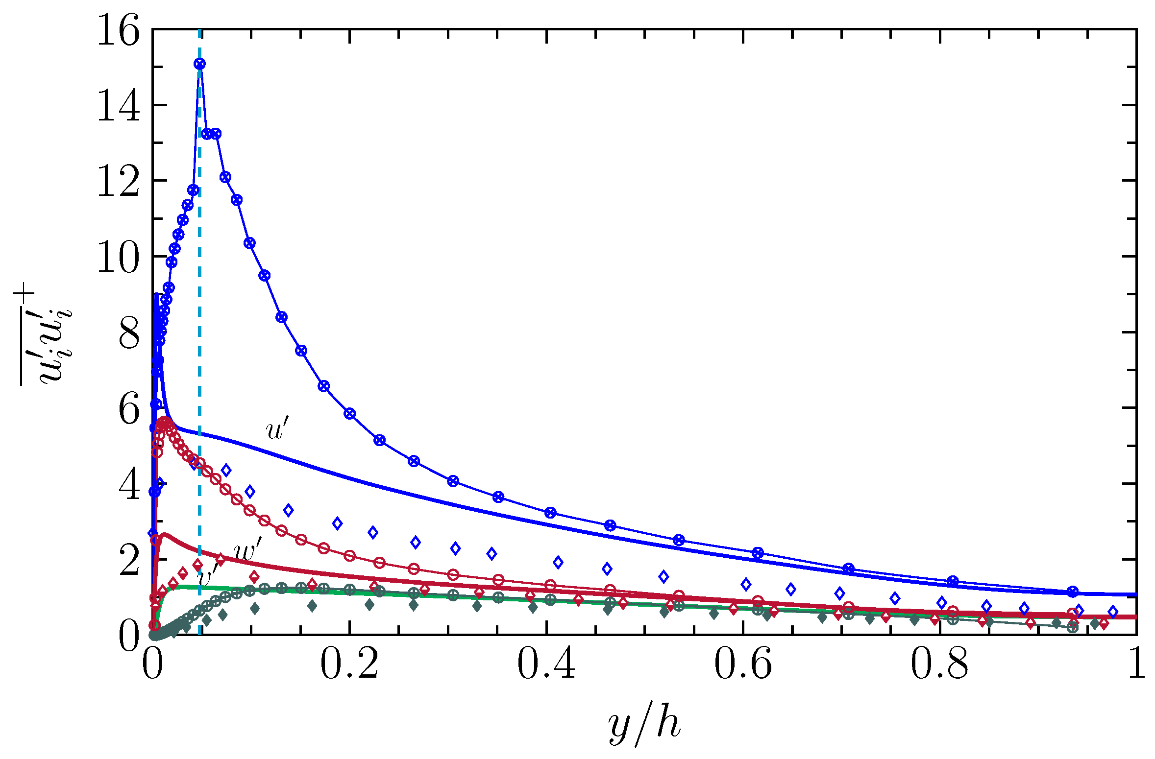
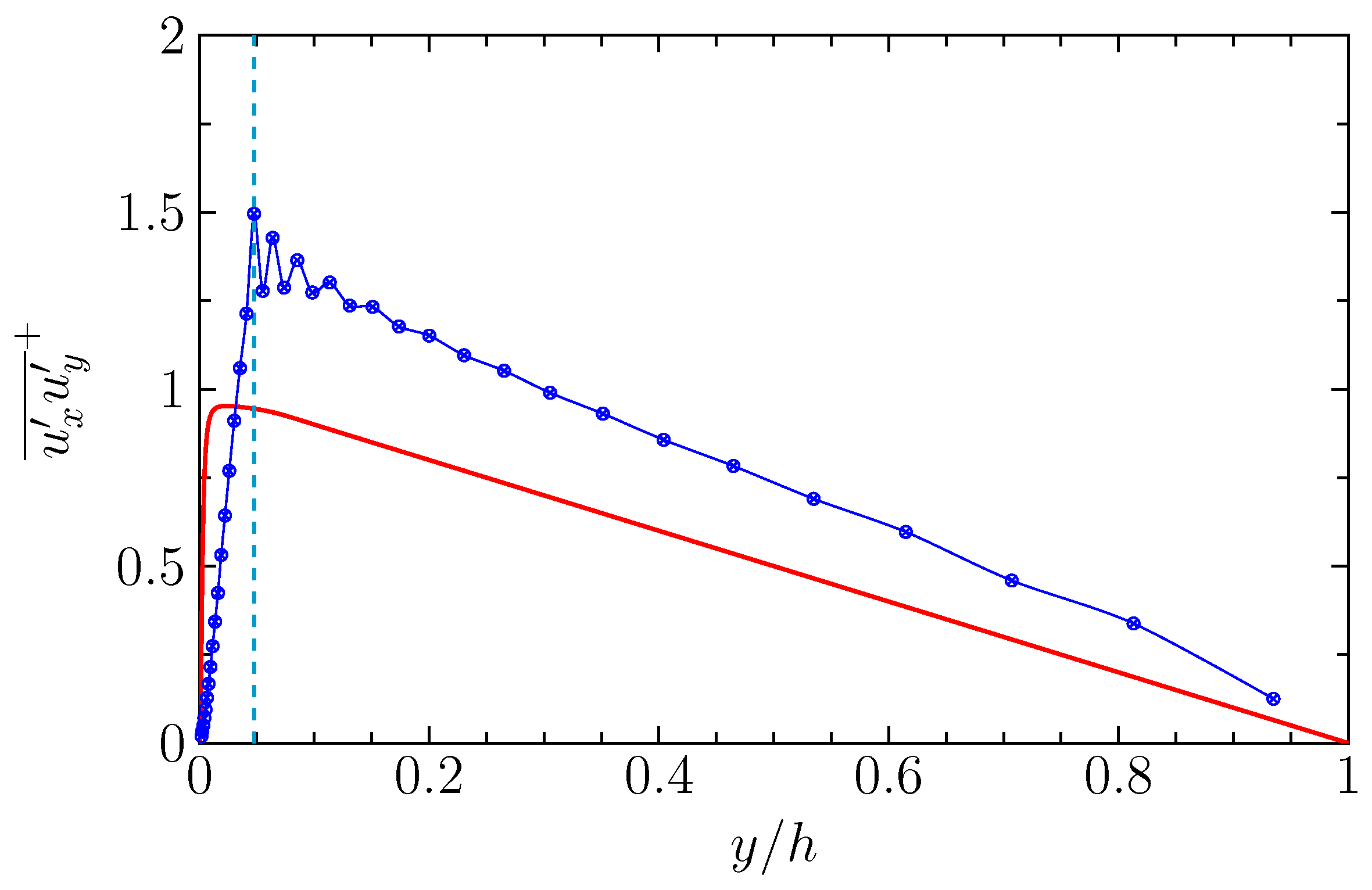
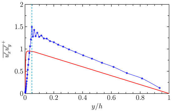
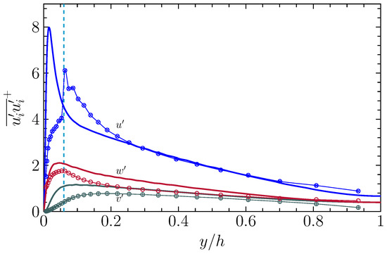
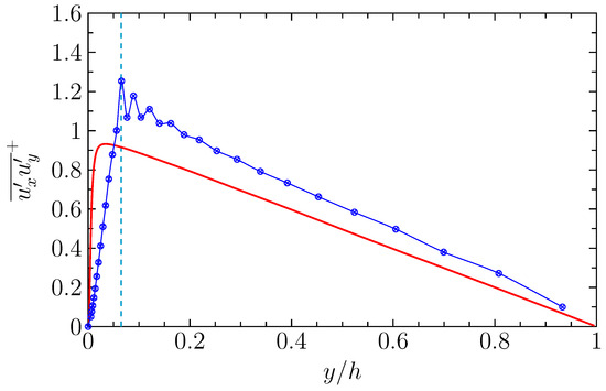
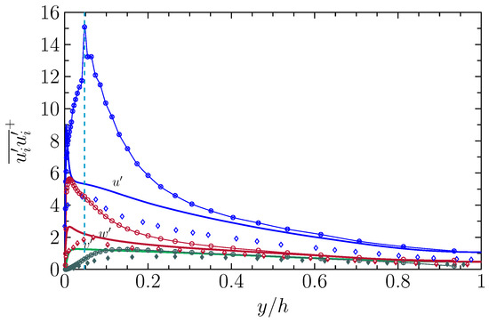
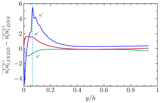
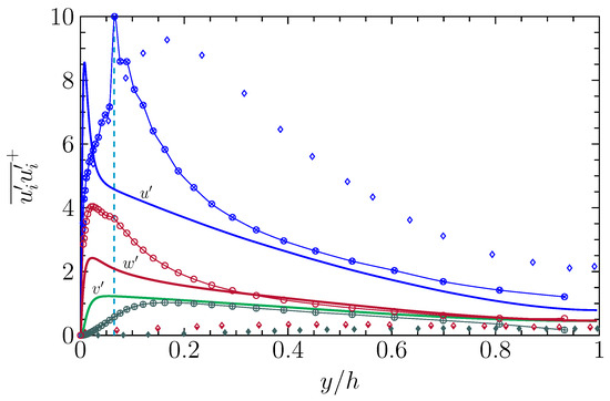
4.2. Simulation Results
4.3. Effect of Eddy Viscosity Model
5. Conclusions
Author Contributions
Funding
Data Availability Statement
Acknowledgments
Conflicts of Interest
Nomenclature
| Roman symbols | |
| t | time (s) | 
| friction velocity (m/s) | |
| k | turbulent kinetic energy (m2/s2) | 
| Reynolds number (-) | |
| u | flow velocity (m/s) | 
| model constant = 0.09 (-) | |
| x | streamwise direction (-) | 
| y | wall-normal direction (-) | 
| z | spanwise direction (-) | 
| D | damping function (-) | 
| P | turbulence production term | 
| Greek symbols | |
| wall shear stress (N/m2) | |
| density (kg/m3) | |
| dynamic viscosity (Pa·s) | |
| kinematic viscosity (Pa·s) | |
| turbulent kinetic energy dissipation (m2/s3) | |
| specific dissipation rate (1/s) | |
| model constant (-) | |
| model constant (-) | |
| model constant (-) | |
| Subscripts and superscripts | |
| res | resolved | 
| sgs | subgrid scale | 
| u | velocity | 
| l | laminar | 
| T | turbulent | 
| int | interface | 
| * | interface location | 
| w | wall | 
| friction-related parameter | |
| Abbreviations | |
| LES | large eddy simulation | 
| WMLES | wall-modeled LES | 
| DNS | direct numerical simulation | 
| TBLE | thin boundary layer equation | 
| RANS | Reynolds-averaged Navier–Stokes | 
| WSM | wall-stress model | 
| LLM | log–layer mismatch | 
| DES | detached eddy simulation | 
| NDD | near-wall domain decomposition | 
| BC | boundary condition | 
| IBC | interface boundary condition | 
References
- Heinz, S. A Mathematical Solution to the Computational Fluid Dynamics (CFD) Dilemma. Mathematics 2023, 11, 3199. [Google Scholar] [CrossRef]
- Choi, H.; Moin, P. Grid-point requirements for large eddy simulation: Chapman’s estimates revisited. Phys. Fluids 2012, 24, 011702. [Google Scholar] [CrossRef]
- Chapman, D.R. Computational aerodynamics development and outlook. AIAA J. 1979, 17, 1293–1313. [Google Scholar] [CrossRef]
- Sagaut, P. Large Eddy Simulation for Incompressible Flows; Springer: Berlin/Heidelberg, Germany, 2006. [Google Scholar]
- Larsson, J.; Lien, F.; Yee, E. The artificial buffer layer and the effects of forcing in hybrid LES/RANS. Int. J. Heat Fluid Flow 2007, 28, 1443–1459. [Google Scholar] [CrossRef]
- Temmerman, L.; Hadžiabdić, M.; Leschziner, M.; Hanjalić, K. A hybrid two-layer URANS–LES approach for large eddy simulation at high Reynolds numbers. Int. J. Heat Fluid Flow 2005, 26, 173–190. [Google Scholar] [CrossRef]
- Piomelli, U. Wall-layer models for large-eddy simulations. Prog. Aerosp. Sci. 2008, 44, 437–446. [Google Scholar] [CrossRef]
- Larsson, J.; Kawai, S.; Bodart, J.; Bermejo-Moreno, I. Large eddy simulation with modeled wall-stress: Recent progress and future directions. Mech. Eng. Rev. 2016, 3, 15-00418. [Google Scholar] [CrossRef]
- Deardorff, J.W. A numerical study of three-dimensional turbulent channel flow at large Reynolds numbers. J. Fluid Mech. 1970, 41, 453–480. [Google Scholar] [CrossRef]
- Schumann, U. Subgrid scale model for finite difference simulations of turbulent flows in plane channels and annuli. J. Comput. Phys. 1975, 18, 376–404. [Google Scholar] [CrossRef]
- Temmerman, L.; Leschziner, M.A.; Mellen, C.P.; Fröhlich, J. Investigation of wall-function approximations and subgrid-scale models in large eddy simulation of separated flow in a channel with streamwise periodic constrictions. Int. J. Heat Fluid Flow 2003, 24, 157–180. [Google Scholar] [CrossRef]
- Balaras, E.; Benocci, C. Subgrid-scale models in finite-difference simulations of complex wall bounded flows. In Proceedings of the 74th Fluid Dynamics Symposium on “Application of Direct and Large Eddy Simulation to Transition and Turbulence”, Chania, Greece, 18–21 April 1994. [Google Scholar]
- Balaras, E.; Benocci, C.; Piomelli, U. Two-layer approximate boundary conditions for large-eddy simulations. AIAA J. 1996, 34, 1111–1119. [Google Scholar] [CrossRef]
- Cabot, W.; Moin, P. Approximate wall boundary conditions in the large-eddy simulation of high Reynolds number flow. Flow Turbul. Combust. 2000, 63, 269–291. [Google Scholar] [CrossRef]
- Wang, M.; Moin, P. Dynamic wall modeling for large-eddy simulation of complex turbulent flows. Phys. Fluids 2002, 14, 2043–2051. [Google Scholar] [CrossRef]
- Moin, P.; Bodart, J.; Bose, S.; Park, G.I. Wall-modeling in complex turbulent flows. In Advances in Fluid-Structure Interaction: Updated Contributions Reflecting New Findings, Presented at the ERCOFTAC Symposium on Unsteady Separation in Fluid-Structure Interaction, St John Resort, Mykonos, Greece, 17–21 June 2013; Springer International Publishing: Cham, Switzerland, 2016; pp. 207–219. [Google Scholar]
- Bose, S.T.; Park, G.I. Wall-modeled large-eddy simulation for complex turbulent flows. Annu. Rev. Fluid Mech. 2018, 50, 535–561. [Google Scholar] [CrossRef] [PubMed]
- Heinz, S. A review of hybrid RANS-LES methods for turbulent flows: Concepts and applications. Prog. Aerosp. Sci. 2020, 114, 100597. [Google Scholar] [CrossRef]
- Drikakis, D.; Geurts, B. Turbulent Flow Computation; Kluwer Academic Publishers: Dordrecht, The Netherlands, 2002. [Google Scholar]
- Hamba, F. An approach to hybrid RANS/LES calculation of channel flows. In Engineering Turbulence Modelling and Experiments 5; Elsevier: Amsterdam, The Netherlands, 2002; pp. 297–305. [Google Scholar]
- Spalart, P.R. Comments on the Feasibility of LES for Wings and on the Hybrid RANS/LES Approach. In Proceedings of the First AFOSR International Conference on DNS/LES, Ruston, LA, USA, 4–8 August 1997; pp. 137–147. [Google Scholar]
- Nikitin, N.; Nicoud, F.; Wasistho, B.; Squires, K.; Spalart, P.R. An approach to wall modeling in large-eddy simulations. Phys. Fluids 2000, 12, 1629–1632. [Google Scholar] [CrossRef]
- Spalart, P.R. Detached-eddy simulation. Annu. Rev. Fluid Mech. 2009, 41, 181–202. [Google Scholar] [CrossRef]
- Temmerman, L.; Leschziner, M.; Hanjalic, K. A-priori studies of a near-wall RANS model within a hybrid LES/RANS scheme. In Engineering Turbulence Modelling and Experiments 5; Elsevier: Amsterdam, The Netherlands, 2002; pp. 317–326. [Google Scholar]
- Davidson, L.; Peng, S.H. Hybrid LES-RANS modelling: A one-equation SGS model combined with a k−ω model for predicting recirculating flows. Int. J. Numer. Methods Fluids 2003, 43, 1003–1018. [Google Scholar] [CrossRef]
- Davidson, L.; Billson, M. Hybrid LES-RANS using synthesized turbulent fluctuations for forcing in the interface region. Int. J. Heat Fluid Flow 2006, 27, 1028–1042. [Google Scholar] [CrossRef]
- Quómóró, P.; Sagaut, P. Zonal multi-domain RANS–LES simulations of turbulent flows. Int. J. Numer. Methods Fluids 2002, 40, 903–925. [Google Scholar]
- Piomelli, U.; Balaras, E.; Pasinato, H.; Squires, K.D.; Spalart, P.R. The inner–outer layer interface in large-eddy simulations with wall-layer models. Int. J. Heat Fluid Flow 2003, 24, 538–550. [Google Scholar] [CrossRef]
- Tessicini, F.; Temmerman, L.; Leschziner, M. Approximate near-wall treatments based on zonal and hybrid RANS–LES methods for LES at high Reynolds numbers. Int. J. Heat Fluid Flow 2006, 27, 789–799. [Google Scholar] [CrossRef]
- Keating, A.; Piomelli, U. A dynamic stochastic forcing method as a wall-layer model for large-eddy simulation. J. Turbul. 2006, 7, N12. [Google Scholar] [CrossRef]
- Zhong, B.; Tucker, P.G. k-l based hybrid LES/RANS approach and its application to heat transfer simulation. Int. J. Numer. Methods Fluids 2004, 46, 983–1005. [Google Scholar] [CrossRef]
- Davidson, L.; Dahlström, S. Hybrid LES-RANS: An approach to make LES applicable at high Reynolds number. Int. J. Comput. Fluid Dyn. 2005, 19, 415–427. [Google Scholar] [CrossRef]
- Kawai, S.; Larsson, J. Wall-modeling in large eddy simulation: Length scales, grid resolution, and accuracy. Phys. Fluids 2012, 24, 015105. [Google Scholar] [CrossRef]
- Jimenez, J.; Moser, R.D. Large-eddy simulations: Where are we and what can we expect? AIAA J. 2000, 38, 605–612. [Google Scholar] [CrossRef]
- Utyuzhnikov, S. The method of boundary condition transfer in application to modeling near-wall turbulent flows. Comput. Fluids 2006, 35, 1193–1204. [Google Scholar] [CrossRef][Green Version]
- Utyuzhnikov, S. Robin-type wall functions and their numerical implementation. Appl. Numer. Math. 2008, 58, 1521–1533. [Google Scholar] [CrossRef]
- Utyuzhnikov, S. Domain decomposition for near-wall turbulent flows. Comput. Fluids 2009, 38, 1710–1717. [Google Scholar] [CrossRef]
- Jones, A.; Utyuzhnikov, S. A near-wall domain decomposition approach in application to turbulent flow in a diffuser. Appl. Math. Model. 2016, 40, 329–342. [Google Scholar] [CrossRef]
- Petrov, M.; Utyuzhnikov, S.; Chikitkin, A.; Titarev, V. On extension of near-wall domain decomposition to turbulent compressible flows. Comput. Fluids 2016, 210, 104629. [Google Scholar] [CrossRef]
- Lyu, S.; Utyuzhnikov, S. A computational slip boundary condition for near-wall turbulence modelling. Comput. Fluids 2022, 246, 105628. [Google Scholar] [CrossRef]
- Davidson, L. An Introduction to Turbulence Models; Chalmers University of Technology: Gothenburg, Sweden, 2022. [Google Scholar]
- Breuer, M.; Jaffrézic, B.; Arora, K. Hybrid LES–RANS technique based on a one-equation near-wall model. Theor. Comput. Fluid Dyn. 2016, 22, 157–187. [Google Scholar] [CrossRef]
- Cabot, W. Large-Eddy Simulations with Wall Models. Center for Turbulence Research Annual Research Briefs. 1995. Available online: https://ntrs.nasa.gov/citations/19960022297 (accessed on 13 October 2023).
- Wilcox, D.C. Reassessment of the scale-determining equation for advanced turbulence models. AIAA J. 1988, 26, 1299–1310. [Google Scholar] [CrossRef]
- Wolfshtein, M. The velocity and temperature distribution in one-dimensional flow with turbulence augmentation and pressure gradient. Int. J. Heat Mass Transf. 1969, 12, 301–318. [Google Scholar] [CrossRef]
- OpenFOAM 10. Available online: https://openfoam.org/version/10/ (accessed on 13 October 2023).
- Nicoud, F.; Ducros, F. Subgrid-scale stress modelling based on the square of the velocity gradient tensor. Flow Turbul. Combust. 1999, 62, 183–200. [Google Scholar] [CrossRef]
- Hoyas, S.; Jiménez, J. Scaling of the velocity fluctuations in turbulent channels up to Reτ = 2003. Phys. Fluids 2006, 18, 011702. [Google Scholar] [CrossRef]
- Hamba, F. A Hybrid RANS/LES Simulation of Turbulent Channel Flow. Theor. Comput. Fluid Dyn. 2003, 16, 387–403. [Google Scholar] [CrossRef]
- Lozano-Durán, A.; Jiménez, J. Effect of the computational domain on direct simulations of turbulent channels up to Reτ = 4200. Phys. Fluids 2014, 26, 011702. [Google Scholar] [CrossRef]
- Baggett, J.S. On the Feasibility of Merging LES with RANS for the Near-Wall Region of Attached Turbulent Flows. Annual Research Briefs. 1998; pp. 267–277. Available online: https://ntrs.nasa.gov/api/citations/19990068442/downloads/19990068442.pdf#page=271 (accessed on 13 October 2023).














| Case | Resolution | ||||||||
|---|---|---|---|---|---|---|---|---|---|
| C950 | 950 | 148 | 83 | 1.15 | 0.063 | 60 | |||
| C2000 | 2000 | 312 | 174 | 1.15 | 0.065 | 129 | |||
| C4200 | 4200 | 659 | 314 | 1.15 | 0.0476 | 200 | 
| Disclaimer/Publisher’s Note: The statements, opinions and data contained in all publications are solely those of the individual author(s) and contributor(s) and not of MDPI and/or the editor(s). MDPI and/or the editor(s) disclaim responsibility for any injury to people or property resulting from any ideas, methods, instructions or products referred to in the content. | 
© 2023 by the authors. Licensee MDPI, Basel, Switzerland. This article is an open access article distributed under the terms and conditions of the Creative Commons Attribution (CC BY) license (https://creativecommons.org/licenses/by/4.0/).
Share and Cite
E. Fard, A.; Utyuzhnikov, S. A Hybrid Large Eddy Simulation Algorithm Based on the Implicit Domain Decomposition. Mathematics 2023, 11, 4340. https://doi.org/10.3390/math11204340
E. Fard A, Utyuzhnikov S. A Hybrid Large Eddy Simulation Algorithm Based on the Implicit Domain Decomposition. Mathematics. 2023; 11(20):4340. https://doi.org/10.3390/math11204340
Chicago/Turabian StyleE. Fard, Amir, and Sergey Utyuzhnikov. 2023. "A Hybrid Large Eddy Simulation Algorithm Based on the Implicit Domain Decomposition" Mathematics 11, no. 20: 4340. https://doi.org/10.3390/math11204340
APA StyleE. Fard, A., & Utyuzhnikov, S. (2023). A Hybrid Large Eddy Simulation Algorithm Based on the Implicit Domain Decomposition. Mathematics, 11(20), 4340. https://doi.org/10.3390/math11204340
 
        



 
       