Convex Fault Diagnosis of a Three-Degree-of-Freedom Mechanical Crane
Abstract
:1. Introduction
2. Mathematical Model
Convex Linear Parameter Varying Model
3. Stabilizing Controller
4. Proportional Integral Fault Estimation LPV Observer
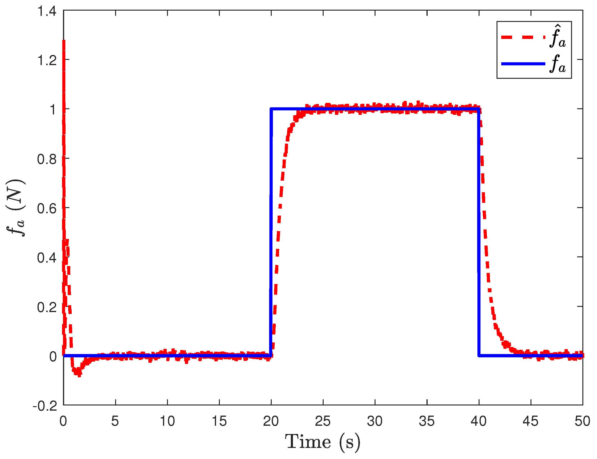
5. Numerical Results
6. Conclusions
Author Contributions
Funding
Data Availability Statement
Conflicts of Interest
References
- Smoczek, J.; Szpytko, J. Evolutionary algorithm-based design of a fuzzy TBF predictive model and TSK fuzzy anti-sway crane control system. Eng. Appl. Artif. Intell. 2014, 28, 190–200. [Google Scholar] [CrossRef]
- Kim, G.H.; Pham, P.T.; Ngo, Q.H.; Nguyen, Q.C. Neural network-based robust anti-sway control of an industrial crane subjected to hoisting dynamics and uncertain hydrodynamic forces. Int. J. Control Autom. Syst. 2021, 19, 1953–1961. [Google Scholar] [CrossRef]
- Qian, Y.; Hu, D.; Chen, Y.; Fang, Y.; Hu, Y. Adaptive neural network-based tracking control of underactuated offshore ship-to-ship crane systems subject to unknown wave motions disturbances. IEEE Trans. Syst. Man Cybern. Syst. 2021, 52, 3626–3637. [Google Scholar] [CrossRef]
- Sun, Z.; Ling, Y.; Qu, H.; Xiang, F.; Sun, Z.; Wu, F. An adaptive DE algorithm based fuzzy logic anti-swing controller for overhead crane systems. Int. J. Fuzzy Syst. 2020, 22, 1905–1921. [Google Scholar] [CrossRef]
- Naskar, I.; Pal, A.; Jana, N.K. Tuning of Fuzzy Controller by Variable Clustered Fuzzy Rules and Its Application to Overhead Crane. In Proceedings of the 2023 International Conference on Intelligent and Innovative Technologies in Computing, Electrical and Electronics (IITCEE), Bengaluru, India, 27–28 January 2023; pp. 119–124. [Google Scholar]
- Smoczek, J.; Hyla, P.; Kusznir, T. Machine learning based approach to a crane load estimation. J. KONBiN 2021, 51, 1–10. [Google Scholar] [CrossRef]
- Li, Q.; Fan, W.; Huang, M.; Jin, H.; Zhang, J.; Ma, J. Machine Learning-Based Prediction of Dynamic Responses of a Tower Crane under Strong Coastal Winds. J. Mar. Sci. Eng. 2023, 11, 803. [Google Scholar] [CrossRef]
- Hyun, H.; Park, M.; Lee, D.; Lee, J. Tower crane location optimization for heavy unit lifting in high-rise modular construction. Buildings 2021, 11, 121. [Google Scholar] [CrossRef]
- López-Estrada, F.R.; Theilliol, D.; Astorga-Zaragoza, C.M.; Ponsart, J.C.; Valencia-Palomo, G.; Camas-Anzueto, J. Fault diagnosis observer for descriptor Takagi-Sugeno systems. Neurocomputing 2019, 331, 10–17. [Google Scholar] [CrossRef]
- López-Estrada, F.R.; Santos-Estudillo, O.; Valencia-Palomo, G.; Gómez-Peñate, S.; Hernández-Gutiérrez, C. Robust qLPV tracking fault-tolerant control of a 3 DOF mechanical crane. Math. Comput. Appl. 2020, 25, 48. [Google Scholar] [CrossRef]
- López-Estrada, F.R.; Astorga-Zaragoza, C.M.; Theilliol, D.; Ponsart, J.C.; Valencia-Palomo, G.; Torres, L. Observer synthesis for a class of Takagi–Sugeno descriptor system with unmeasurable premise variable. Application to fault diagnosis. Int. J. Syst. Sci. 2017, 48, 3419–3430. [Google Scholar] [CrossRef]
- Liu, K.; Wang, R.; Wang, X.; Wang, X. Anti-saturation adaptive finite-time neural network based fault-tolerant tracking control for a quadrotor UAV with external disturbances. Aerosp. Sci. Technol. 2021, 115, 106790. [Google Scholar] [CrossRef]
- Liu, K.; Yang, P.; Wang, R.; Jiao, L.; Li, T.; Zhang, J. Observer-Based Adaptive Fuzzy Finite-Time Attitude Control for Quadrotor UAVs. IEEE Trans. Aerosp. Electron. Syst. 2023. [Google Scholar] [CrossRef]
- Abdel-Rahman, E.M.; Nayfeh, A.H.; Masoud, Z.N. Dynamics and control of cranes: A review. J. Vib. Control 2003, 9, 863–908. [Google Scholar] [CrossRef]
- Mota, G.B.; Guevara, E. Modelado y control de una grúa móvil con tres grados de libertad. J. Cienc. Ing. 2020, 12, 127–137. [Google Scholar] [CrossRef]
- Johns, B.; Abdi, E.; Arashpour, M. Dynamical modelling of boom tower crane rigging systems: Model selection for construction. Arch. Civ. Mech. Eng. 2023, 23, 162. [Google Scholar] [CrossRef]
- Li, Y.; Zhou, S.; Zhu, H. A backstepping controller design for underactuated crane system. In Proceedings of the 2018 Chinese Control And Decision Conference (CCDC), Shenyang, China, 9–11 June 2018; pp. 2895–2899. [Google Scholar]
- d’Andréa Novel, B.; Coron, J.M. Exponential stabilization of an overhead crane with flexible cable via a back-stepping approach. Automatica 2000, 36, 587–593. [Google Scholar] [CrossRef]
- Rigatos, G.; Siano, P.; Abbaszadeh, M. Nonlinear H-infinity control for 4-DOF underactuated overhead cranes. Trans. Inst. Meas. Control 2018, 40, 2364–2377. [Google Scholar] [CrossRef]
- Shah, I.; Rehman, F.U. Smooth second order sliding mode control of a class of underactuated mechanical systems. IEEE Access 2018, 6, 7759–7771. [Google Scholar] [CrossRef]
- Idrees, M. Control of a Double-Pendulum Overhead Crane System Based on Hierarchical Sliding Mode Control Techniques. Biophys. Rev. Lett. 2023, 1–16. [Google Scholar] [CrossRef]
- Wu, X.; He, X. Nonlinear energy-based regulation control of three-dimensional overhead cranes. IEEE Trans. Autom. Sci. Eng. 2016, 14, 1297–1308. [Google Scholar] [CrossRef]
- Wu, X.; Xu, K.; He, X. Disturbance-observer-based nonlinear control for overhead cranes subject to uncertain disturbances. Mech. Syst. Signal Process. 2020, 139, 106631. [Google Scholar] [CrossRef]
- López-Estrada, F.R.; Rotondo, D.; Valencia-Palomo, G. A Review of Convex Approaches for Control, Observation and Safety of Linear Parameter Varying and Takagi-Sugeno Systems. Processes 2019, 7, 814. [Google Scholar] [CrossRef]
- Gonzalez, A.M.; Hoffmann, C.; Radisch, C.; Werner, H. LPV observer design and damping control of container crane load swing. In Proceedings of the 2013 European Control Conference (ECC), Zurich, Switzerland, 17–19 July 2013; pp. 1848–1853. [Google Scholar]
- Aktas, A.; Bruggeman, K.; Yazici, H.; Sever, M. Anti-Sway Control of a Gantry Crane with LMI Based Robust Pole Placement: Experimental Verification for Acceleration Control Approach. In Proceedings of the 2018 6th International Conference on Control Engineering & Information Technology (CEIT), Istanbul, Turkey, 25–27 October 2018; pp. 1–6. [Google Scholar]
- Chen, W.; Saif, M. Actuator fault diagnosis for a class of nonlinear systems and its application to a laboratory 3D crane. Automatica 2011, 47, 1435–1442. [Google Scholar] [CrossRef]
- Zheng, Y.; Zhao, F.; Wang, Z. Fault diagnosis system of bridge crane equipment based on fault tree and Bayesian network. Int. J. Adv. Manuf. Technol. 2019, 105, 3605–3618. [Google Scholar] [CrossRef]
- Sjöberg, I. Modelling and Fault Detection of an Overhead Travelling Crane System. Master’s Thesis, Linköping University, Linköping, Sweden, 2018. [Google Scholar]
- Almutairi, N.B.; Zribi, M. Sliding mode control of a three-dimensional overhead crane. J. Vib. Control 2009, 15, 1679–1730. [Google Scholar] [CrossRef]
- Busawon, K.K.; Kabore, P. Disturbance attenuation using proportional integral observers. Int. J. Control 2001, 74, 618–627. [Google Scholar] [CrossRef]
- Chadli, M.; Aouaouda, S.; Karimi, H.R.; Shi, P. Robust fault tolerant tracking controller design for a VTOL aircraft. J. Frankl. Inst. 2013, 350, 2627–2645. [Google Scholar] [CrossRef]
- Farrera, B.; López-Estrada, F.R.; Chadli, M.; Valencia-Palomo, G.; Gómez-Peñate, S. Distributed fault estimation of multi–agent systems using a proportional–integral observer: A leader–following application. Int. J. Appl. Math. Comput. Sci. 2020, 30, 551–560. [Google Scholar]
- Wang, H.O.; Tanaka, K.; Griffin, M.F. An approach to fuzzy control of nonlinear systems: Stability and design issues. IEEE Trans. Fuzzy Syst. 1996, 4, 14–23. [Google Scholar] [CrossRef]
- Tuan, H.D.; Apkarian, P.; Narikiyo, T.; Yamamoto, Y. Parameterized linear matrix inequality techniques in fuzzy control system design. IEEE Trans. Fuzzy Syst. 2001, 9, 324–332. [Google Scholar] [CrossRef]
- Boyd, S.; El Ghaoui, L.; Feron, E.; Balakrishnan, V. Linear Matrix Inequalities in System and Control Theory; SIAM: Philadelphia, PA, USA, 1994. [Google Scholar]
- Bernal, M.; Sala, D.A.; Lendek, Z.; Guerra, T.M. Analysis and Synthesis of Nonlinear Control Systems: A Convex Optimisation Approach; Springer: Cham, Switzerland, 2022; Volume 408. [Google Scholar]
- Sturm, J.F. Using SeDuMi 1.02, a MATLAB toolbox for optimization over symmetric cones. Optim. Methods Softw. 1999, 11, 625–653. [Google Scholar] [CrossRef]
- Lofberg, J. YALMIP: A toolbox for modeling and optimization in MATLAB. In Proceedings of the 2004 IEEE International Conference on Robotics and Automation (IEEE Cat. No. 04CH37508), New Orleans, LA, USA, 26 April–1 May 2004; pp. 284–289. [Google Scholar]
- Guzmán-Rabasa, J.A.; López-Estrada, F.R.; González-Contreras, B.M.; Valencia-Palomo, G.; Chadli, M.; Perez-Patricio, M. Actuator fault detection and isolation on a quadrotor unmanned aerial vehicle modeled as a linear parameter-varying system. Meas. Control 2019, 52, 1228–1239. [Google Scholar] [CrossRef]





| Symbol | Value |
|---|---|
| g | 9.81 m/s |
| m | 1 kg |
| 3.49 kg | |
| 1 kg | |
| 100 Ns/m | |
| 82 Ns/m |
Disclaimer/Publisher’s Note: The statements, opinions and data contained in all publications are solely those of the individual author(s) and contributor(s) and not of MDPI and/or the editor(s). MDPI and/or the editor(s) disclaim responsibility for any injury to people or property resulting from any ideas, methods, instructions or products referred to in the content. |
© 2023 by the authors. Licensee MDPI, Basel, Switzerland. This article is an open access article distributed under the terms and conditions of the Creative Commons Attribution (CC BY) license (https://creativecommons.org/licenses/by/4.0/).
Share and Cite
Guzmán-Rabasa, J.; Rodríguez, F.; Valencia-Palomo, G.; Santos-Ruiz, I.; Gómez-Peñate, S.; López-Estrada, F.-R. Convex Fault Diagnosis of a Three-Degree-of-Freedom Mechanical Crane. Mathematics 2023, 11, 4258. https://doi.org/10.3390/math11204258
Guzmán-Rabasa J, Rodríguez F, Valencia-Palomo G, Santos-Ruiz I, Gómez-Peñate S, López-Estrada F-R. Convex Fault Diagnosis of a Three-Degree-of-Freedom Mechanical Crane. Mathematics. 2023; 11(20):4258. https://doi.org/10.3390/math11204258
Chicago/Turabian StyleGuzmán-Rabasa, Julio, Francisco Rodríguez, Guillermo Valencia-Palomo, Ildeberto Santos-Ruiz, Samuel Gómez-Peñate, and Francisco-Ronay López-Estrada. 2023. "Convex Fault Diagnosis of a Three-Degree-of-Freedom Mechanical Crane" Mathematics 11, no. 20: 4258. https://doi.org/10.3390/math11204258
APA StyleGuzmán-Rabasa, J., Rodríguez, F., Valencia-Palomo, G., Santos-Ruiz, I., Gómez-Peñate, S., & López-Estrada, F.-R. (2023). Convex Fault Diagnosis of a Three-Degree-of-Freedom Mechanical Crane. Mathematics, 11(20), 4258. https://doi.org/10.3390/math11204258

