UDCO-SAGiMEC: Joint UAV Deployment and Computation Offloading for Space–Air–Ground Integrated Mobile Edge Computing
Abstract
:1. Introduction
2. Related Work
2.1. Mobile Edge Computing
2.2. Space–Air–Ground Integrated Network
3. System Model and Problem Formulation
3.1. System Model
3.1.1. Position Model
3.1.2. Task Model
3.1.3. Computing Model
- Local Computing Mode
- Edge Computing Mode
- Cloud Computing Mode
3.2. Problem Formulation
4. Approach
4.1. Problem Analysis
- The joint optimization problem involves both continuous variables and discrete variables . It is a typical mixed decision variable optimization problem which is difficult to be solved directly by traditional PSO.
- In the joint optimization problem, there is the non-linear couplings among the optimization variables. On the one hand, since the UAVs can only provide edge computing services to the GDs within their respective coverage areas, the access between the GDs and the UAVs depends on the UAV deployment. On the other hand, the UAV deployment needs to be adjusted according to the computation task offloading to get the best system performance.
- Traditional PSO is prone to fall into local optimality and cannot obtain optimal or near-optimal solutions to the joint optimization problem.
4.2. Algorithm Design
4.2.1. Outer: UAVs Deployment Optimization
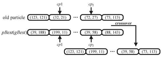
- Problem Encoding
- Fitness Function
- Population Update
- Parameter Settings
- Algorithm Flowchart
| Algorithm 1 PSO-GA |
|
4.2.2. Inner: GDs Access and Computation Offloading Optimization
- 1.
- The GDs not within the coverage area of any one UAV and the set of such GDs is defined by ;
- 2.
- The GDs within the coverage area of only one UAV and the set of such GDs is defined by ;
- 3.
- The GDs within the coverage area of multiple UAVs and the set of such GDs is denoted by .
- 1.
- For , they do not have access to UAVs.
- 2.
- For , they are accessed to the nearest UAV. If there are currently GD accessed by a UAV, the access of this UAV with its accessed GD with the highest transmission latency is canceled, and the computation offloading for this GD is adjusted.
- 3.
- For , they always try to access the nearest UAV. If GDs are currently accessed by this UAV, select the GD in that is already accessed by this UAV and has the highest transmission latency, and access it to other UAVs that are nearest. If the original access cannot be changed, the GD in relinquishes access to the UAV and adjusts the computation offloading.
| Algorithm 2 Greedy |
|
5. Performance Evaluation
5.1. Simulation Settings
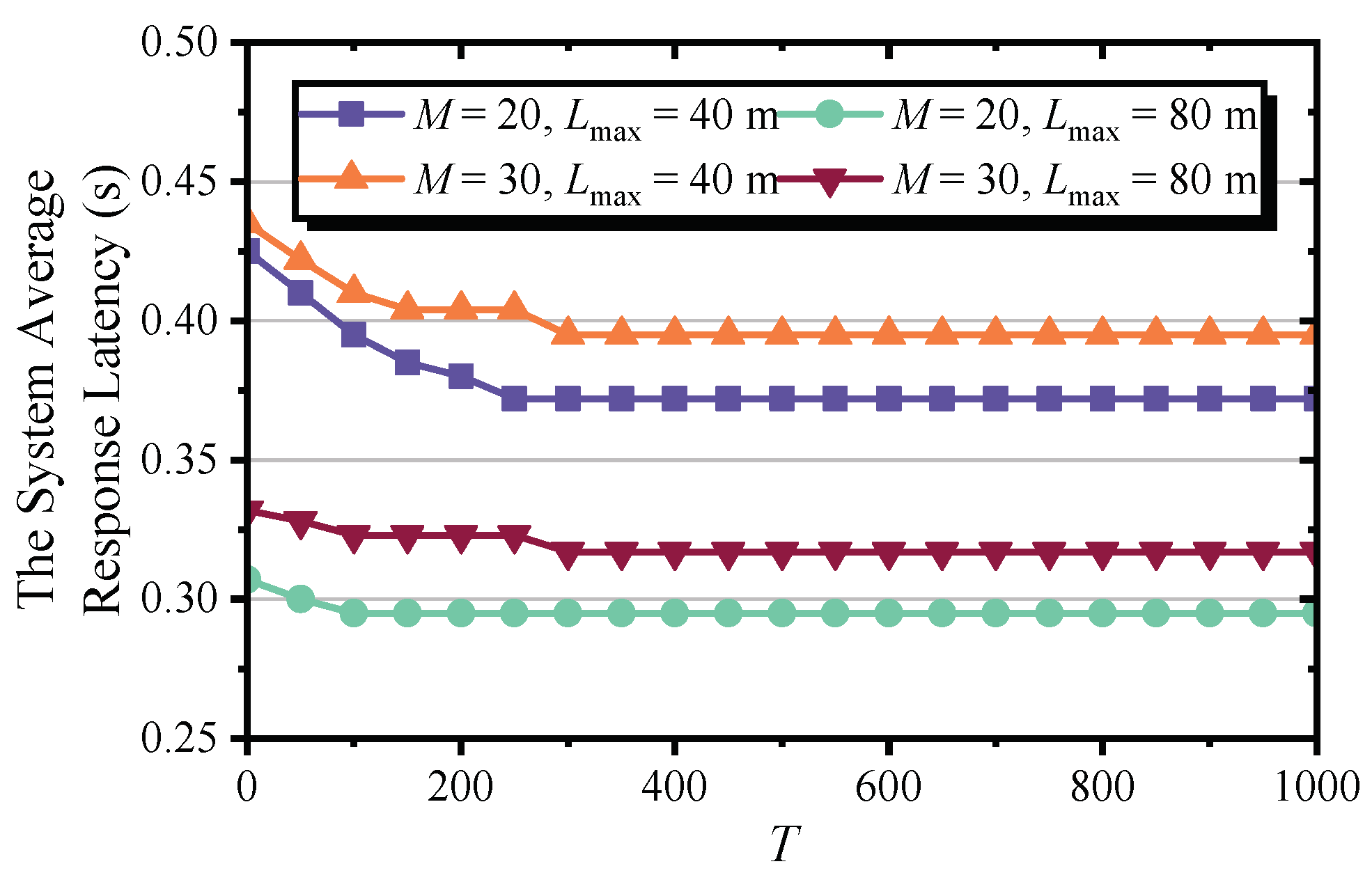
5.2. Numerical Results Analysis
- (Result#1) Discussion of the convergence of PSO&GS
- (Result#2) Analysis of the effectiveness of PSO&GS outer PSO-GA
- RanDep: In this algorithm, a random algorithm is used to replace PSO&GS outer PSO-GA as the UAV deployment optimization approach, and the proposed Greedy is employed to optimize computation offloading. The average result of 1000 repetitions was used as the final result.
- DeDep: In this algorithm, the differential evolutionary algorithm is employed as the UAV deployment optimization approach, and the inner adopts the proposed Greedy to optimize computation offloading.
- (Result#3) Analysis of the effectiveness of PSO&GS inner Greedy
- RanOff: In this algorithm, the outer employs an approach consistent with PSO&GS for UAV deployment, while the inner adopts a random approach for computation offloading.
- ProAve: In this algorithm, the outer applies the same approach as PSO&GS for UAV deployment. At the same time, the inner uses the proximity principle to access GDs to UAVs and distributes the computation tasks on average to each end.
6. Conclusions
Author Contributions
Funding
Data Availability Statement
Conflicts of Interest
References
- Cheng, N.; Lyu, F.; Quan, W.; Zhou, C.; He, H.; Shi, W.; Shen, X. Space/Aerial-Assisted Computing Offloading for IoT Applications: A Learning-Based Approach. IEEE J. Sel. Areas Commun. 2019, 37, 1117–1129. [Google Scholar] [CrossRef]
- Shafi, M.; Molisch, A.F.; Smith, P.J.; Haustein, T.; Zhu, P.; De Silva, P.; Tufvesson, F.; Benjebbour, A.; Wunder, G. 5G: A Tutorial Overview of Standards, Trials, Challenges, Deployment, and Practice. IEEE J. Sel. Areas Commun. 2017, 35, 1201–1221. [Google Scholar] [CrossRef]
- Xiao, H.; Hu, Z.; Yang, K.; Du, Y.; Chen, D. An Energy-Aware Joint Routing and Task Allocation Algorithm in MEC Systems Assisted by Multiple UAVs. In Proceedings of the International Wireless Communications and Mobile Computing (IWCMC), Limassol, Cyprus, 15–19 June 2020. [Google Scholar]
- Chen, X.; Huang, Q.; Wang, P.; Liu, H.; Chen, Y.; Zhang, D.; Zhou, H.; Wu, C. MTP: Avoiding Control Plane Overload with Measurement Task Placement. In Proceedings of the IEEE Conference on Computer Communications (INFOCOM), Vancouver, BC, Canada, 10–13 May 2021. [Google Scholar]
- Chen, X.; Huang, Q.; Wang, P.; Meng, Z.; Liu, H.; Chen, Y.; Zhang, D.; Zhou, H.; Zhou, B.; Wu, C. LightNF: Simplifying Network Function Offloading in Programmable Networks. In Proceedings of the IEEE/ACM 29th International Symposium on Quality of Service (IWQOS), Tokyo, Japan, 25–28 June 2021. [Google Scholar]
- Liu, J.; Shi, Y.; Fadlullah, Z.M.; Kato, N. Space–Air–Ground Integrated Network: A Survey. IEEE Commun. Surv. Tutor. 2018, 20, 2714–2741. [Google Scholar] [CrossRef]
- Hu, Y.; Li, V. Satellite-based Internet: A tutorial. IEEE Commun. Mag. 2001, 39, 154–162. [Google Scholar]
- Patel, M.; Naughton, B.; Chan, C.; Sprecher, N.; Abeta, S.; Neal, A. Mobile-edge computing introductory technical white paper. White Pap. Mob.-Edge Comput. (MEC) Ind. Initiat. 2014, 29, 854–864. [Google Scholar]
- Mach, P.; Becvar, Z. Mobile Edge Computing: A Survey on Architecture and Computation Offloading. IEEE Commun. Surv. Tutor. 2017, 19, 1628–1656. [Google Scholar] [CrossRef]
- Flores, H.; Hui, P.; Tarkoma, S.; Li, Y.; Srirama, S.; Buyya, R. Mobile code offloading: From concept to practice and beyond. IEEE Commun. Mag. 2015, 53, 80–88. [Google Scholar] [CrossRef]
- Pan, Y.; Chen, M.; Yang, Z.; Huang, N.; Shikh-Bahaei, M. Energy-Efficient NOMA-Based Mobile Edge Computing Offloading. IEEE Commun. Lett. 2019, 23, 310–313. [Google Scholar] [CrossRef]
- Yang, G.; Hou, L.; He, X.; He, D.; Chan, S.; Guizani, M. Offloading Time Optimization via Markov Decision Process in Mobile-Edge Computing. IEEE Internet Things J. 2021, 8, 2483–2493. [Google Scholar] [CrossRef]
- Zhang, J.; Hu, X.; Ning, Z.; Ngai, E.C.H.; Zhou, L.; Wei, J.; Cheng, J.; Hu, B. Energy-Latency Tradeoff for Energy-Aware Offloading in Mobile Edge Computing Networks. IEEE Internet Things J. 2018, 5, 2633–2645. [Google Scholar] [CrossRef]
- Bi, S.; Zhang, Y.J. Computation Rate Maximization for Wireless Powered Mobile-Edge Computing With Binary Computation Offloading. IEEE Trans. Wirel. Commun. 2018, 17, 4177–4190. [Google Scholar] [CrossRef]
- Huang, L.; Bi, S.; Zhang, Y.J.A. Deep Reinforcement Learning for Online Computation Offloading in Wireless Powered Mobile-Edge Computing Networks. IEEE Trans. Mob. Comput. 2020, 19, 2581–2593. [Google Scholar] [CrossRef]
- Gheisari, M.; Ebrahimzadeh, F.; Rahimi, M.; Moazzamigodarzi, M.; Liu, Y.; Dutta Pramanik, P.K.; Heravi, M.A.; Mehbodniya, A.; Ghaderzadeh, M.; Feylizadeh, M.R.; et al. Deep learning: Applications, architectures, models, tools, and frameworks: A comprehensive survey. CAAI Trans. Intell. Technol. 2023, 8, 581–606. [Google Scholar] [CrossRef]
- Chouhan, S. Energy Optimal Partial Computation Offloading Framework for Mobile Devices in Multi-access Edge Computing. In Proceedings of the International Conference on Software, Telecommunications and Computer Networks (SoftCOM), Split, Croatia, 19–21 September 2019. [Google Scholar]
- Ning, Z.; Dong, P.; Kong, X.; Xia, F. A Cooperative Partial Computation Offloading Scheme for Mobile Edge Computing Enabled Internet of Things. IEEE Internet Things J. 2019, 6, 4804–4814. [Google Scholar] [CrossRef]
- You, C.; Huang, K.; Chae, H.; Kim, B.H. Energy-Efficient Resource Allocation for Mobile-Edge Computation Offloading. IEEE Trans. Wirel. Commun. 2017, 16, 1397–1411. [Google Scholar] [CrossRef]
- Wu, Y.; Qian, L.P.; Mao, H.; Yang, X.; Zhou, H.; Tan, X.; Tsang, D.H.K. Secrecy-Driven Resource Management for Vehicular Computation Offloading Networks. IEEE Netw. 2018, 32, 84–91. [Google Scholar] [CrossRef]
- Pang, Y.; Wang, D.; Wang, D.; Guan, L.; Zhang, C.; Zhang, M. A Space–Air–Ground Integrated Network Assisted Maritime Communication Network Based on Mobile Edge Computing. In Proceedings of the IEEE World Congress on Services (SERVICES), Beijing, China, 18–24 October 2020. [Google Scholar]
- Niu, Z.; Shen, X.S.; Zhang, Q.; Tang, Y. Space-air-ground integrated vehicular network for connected and automated vehicles: Challenges and solutions. Intell. Converg. Netw. 2020, 1, 142–169. [Google Scholar] [CrossRef]
- Chen, Q.; Meng, W.; Han, S.; Li, C. Service-Oriented Fair Resource Allocation and Auction for Civil Aircrafts Augmented Space–Air–Ground Integrated Networks. IEEE Trans. Veh. Technol. 2020, 69, 13658–13672. [Google Scholar] [CrossRef]
- Wang, Z.; Yu, H.; Zhu, S.; Yang, B. Curriculum Reinforcement Learning-Based Computation Offloading Approach in Space–Air–Ground Integrated Network. In Proceedings of the International Conference on Wireless Communications and Signal Processing (WCSP), Hunan, China, 20–22 October 2021. [Google Scholar]
- Zhou, C.; Wu, W.; He, H.; Yang, P.; Lyu, F.; Cheng, N.; Shen, X. Delay-Aware IoT Task Scheduling in Space–Air–Ground Integrated Network. In Proceedings of the IEEE Global Communications Conference (GLOBECOM), Waikoloa, HI, USA, 9–13 December 2019. [Google Scholar]
- Zhou, C.; Wu, W.; He, H.; Yang, P.; Lyu, F.; Cheng, N.; Shen, X. Deep Reinforcement Learning for Delay-Oriented IoT Task Scheduling in SAGIN. IEEE Trans. Wirel. Commun. 2021, 20, 911–925. [Google Scholar] [CrossRef]
- Tang, F.; Hofner, H.; Kato, N.; Kaneko, K.; Yamashita, Y.; Hangai, M. A Deep Reinforcement Learning-Based Dynamic Traffic Offloading in Space–Air–Ground Integrated Networks (SAGIN). IEEE J. Sel. Areas Commun. 2022, 40, 276–289. [Google Scholar] [CrossRef]
- Mao, S.; He, S.; Wu, J. Joint UAV Position Optimization and Resource Scheduling in Space–Air–Ground Integrated Networks With Mixed Cloud-Edge Computing. IEEE Syst. J. 2021, 15, 3992–4002. [Google Scholar] [CrossRef]
- Chen, X.; Zhang, J.; Lin, B.; Chen, Z.; Wolter, K.; Min, G. Energy-Efficient Offloading for DNN-Based Smart IoT Systems in Cloud-Edge Environments. IEEE Trans. Parallel Distrib. Syst. 2022, 33, 683–697. [Google Scholar] [CrossRef]
- Liu, Y.; Jiang, L.; Qi, Q.; Xie, S. Energy-Efficient Space–Air–Ground Integrated Edge Computing for Internet of Remote Things: A Federated DRL Approach. IEEE Internet Things J. 2023, 10, 4845–4856. [Google Scholar] [CrossRef]
- Qualcomm, L. Unmanned Aircraft Systems—Trial Report, 2017. Available online: https://www.qualcomm.com/news/onq/2017/05/qualcomm-technologies-releases-lte-drone-trial-results (accessed on 19 September 2023).
- He, L.; Li, J.; Wang, Y.; Zheng, J.; He, L. Balancing Total Energy Consumption and Mean Makespan in Data Offloading for Space–Air–Ground Integrated Networks. IEEE Trans. Mob. Comput. 2022, 1–14. [Google Scholar] [CrossRef]
- Gong, Y.; Yao, H.; Wu, D.; Yuan, W.; Dong, T.; Yu, F.R. Computation Offloading for Rechargeable Users in Space–Air–Ground Networks. IEEE Trans. Veh. Technol. 2023, 72, 3805–3818. [Google Scholar] [CrossRef]
- Sadoughi, F.; Ghaderzadeh, M. A hybrid particle swarm and neural network approach for detection of prostate cancer from benign hyperplasia of prostate. In e-Health–For Continuity of Care; IOS Press: Amsterdam, The Netherland, 2014; pp. 481–485. [Google Scholar]
- Sadoughi, F.; Ghaderzadeh, M.; Solimany, M.; Fein, R. An intelligent system based on back propagation neural network and particle swarm optimization for detection of prostate cancer from benign hyperplasia of prostate. J. Health Med. Inform. 2014, 5, 3. [Google Scholar]
- Zhang, J.; Zheng, H.; Chen, Z.; Chen, X.; Min, G. Device Access, Sub-Channel Division, and Transmission Power Allocation for NOMA-Enabled IoT Systems. IEEE Internet Things J. 2023. [Google Scholar] [CrossRef]






| Reference | Off-Mode | UAV | Constraint | Object | |||||
|---|---|---|---|---|---|---|---|---|---|
| All | Partial | Single | Multiple | Energy | Deadline | Time | Energy | Other | |
| Our work | - | + | - | + | - | + | + | - | - |
| [24] | - | + | + | - | + | - | - | + | - |
| [25] | - | + | + | - | + | - | - | + | - |
| [26] | - | + | + | - | - | + | - | - | + |
| [27] | - | + | + | - | + | - | + | - | + |
| [28] | + | - | + | - | - | + | - | + | + |
| Notation | Definition |
|---|---|
| The set of the GDs in the ground layer | |
| The set of the UAVs in the air layer | |
| The coordinate of GD | |
| The coordinate of UAV | |
| The computation task of GD | |
| The computational task-input data size of | |
| The computational complexity of | |
| The computation result size of | |
| The maximum tolerable latency of | |
| The local processing ratio of | |
| The ratio of offloaded to the UAVs | |
| The ratio of offloaded to the LEO satellite | |
| The CPU-cycle frequency of GD | |
| The local processing latency of | |
| The wireless channel gain between GD m and UAV n | |
| The spatial distance between GD and UAV | |
| The wireless channel gain at a reference distance | |
| The wireless channel transmission rate between GD and UAV | |
| B | The bandwidth between the GDs and the UAVs |
| The transmission power of GD | |
| The additive white Gaussian noise | |
| The access between the GDs and the UAVs | |
| The maximum parallel tasks number of UAVs | |
| The maximum service distance of the UAVs | |
| The edge processing latency of | |
| The CPU-cycle frequency of UAV when it computes the input data of | |
| The transmission rate between the GDs and the LEO satellite | |
| The CPU-cycle frequency of the LEO satellite when it computes the input data of | |
| The cloud processing latency of | |
| The processing delay of | |
| The system average response latency |
| Parameter | Value |
|---|---|
| H | 40 m |
| B | 10 MHz |
| P | 1 W |
| −130 dBm | |
| −30 dB | |
| M | 20, 30, 40 |
| 8 | |
| {40, 80} m |
Disclaimer/Publisher’s Note: The statements, opinions and data contained in all publications are solely those of the individual author(s) and contributor(s) and not of MDPI and/or the editor(s). MDPI and/or the editor(s) disclaim responsibility for any injury to people or property resulting from any ideas, methods, instructions or products referred to in the content. |
© 2023 by the authors. Licensee MDPI, Basel, Switzerland. This article is an open access article distributed under the terms and conditions of the Creative Commons Attribution (CC BY) license (https://creativecommons.org/licenses/by/4.0/).
Share and Cite
Xu, Y.; Deng, F.; Zhang, J. UDCO-SAGiMEC: Joint UAV Deployment and Computation Offloading for Space–Air–Ground Integrated Mobile Edge Computing. Mathematics 2023, 11, 4014. https://doi.org/10.3390/math11184014
Xu Y, Deng F, Zhang J. UDCO-SAGiMEC: Joint UAV Deployment and Computation Offloading for Space–Air–Ground Integrated Mobile Edge Computing. Mathematics. 2023; 11(18):4014. https://doi.org/10.3390/math11184014
Chicago/Turabian StyleXu, Yinghao, Fukang Deng, and Jianshan Zhang. 2023. "UDCO-SAGiMEC: Joint UAV Deployment and Computation Offloading for Space–Air–Ground Integrated Mobile Edge Computing" Mathematics 11, no. 18: 4014. https://doi.org/10.3390/math11184014
APA StyleXu, Y., Deng, F., & Zhang, J. (2023). UDCO-SAGiMEC: Joint UAV Deployment and Computation Offloading for Space–Air–Ground Integrated Mobile Edge Computing. Mathematics, 11(18), 4014. https://doi.org/10.3390/math11184014

