Short-Term Prediction of Time-Varying Passenger Flow for Intercity High-Speed Railways: A Neural Network Model Based on Multi-Source Data
Abstract
1. Introduction
2. Related Literature Review
- (1)
- Prediction models have become more complicated, such as hybrid models, deep learning models, and neural network architectures. These models are more suitable for passenger flow prediction with non-linear and more complex data. The potential information features in the data are extracted and used to improve the prediction accuracy.
- (2)
- The prediction methods mainly focus on predicting the passenger flow of stations and few predict the passenger flow of O-D pairs. Single data are often used in the methods and multi-source data need more attention.
3. Characteristic Analysis of Passenger Flow Based on Multi-Source Data
3.1. Impact Factor Analysis
- (1)
- Temporal factors
- (2)
- Spatial factors
- (3)
- Weather factors
3.2. Characteristic Expression
- (1)
- Cyclical characteristics
- (2)
- Spatial and temporal fusion characteristics
- (3)
- Weather characteristics
4. Methodology
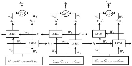
4.1. Bi-LSTM Model
4.2. FCN Model
5. Experiments and Results
5.1. Sample Setting
5.2. Experimental Results
- (1)
- Baseline models in the first group: Replace the Bi-LSTM model in the second module of the NN-MSD model with the LSTM model [55], the GRU model [56], and the MLP model [57], respectively, and then obtain the baseline models, named, respectively, the NN-MSD-LSTM model, the NN-MSD-GRU model, and the NN-MSD-MLP model. The other parts of the baseline models in the first group are the same as the NN-MSD model.
- (2)
- Baseline models in the second group: Remove the input data , , and from the NN-MSD model separately, and then obtain the baseline models, named, respectively, the NN-MSD-1 model, the NN-MSD-2 model, and the NN-MSD-3 model. The other parts of the baseline models in the second group are the same as the NN-MSD model.
- (3)
- Baseline models in the third group: Take the LSTM model, the GRU model, the MLP model, and the ARIMA model as the baseline models in the third group. Only time series data are input into the models and the related parameters are the same as the NN-MSD model.
| Experiment | Input Data | Model | RMSE | MAE | MAPE |
|---|---|---|---|---|---|
| The first group | Multi-source data | NN-MSD | 47.4 | 24.5 | 0.06 |
| NN-MSD-LSTM | 49.1 | 23.4 | 0.07 | ||
| NN-MSD-GRU | 47.1 | 25.4 | 0.07 | ||
| NN-MSD-MLP | 43.4 | 23.6 | 0.07 | ||
| The second group | Remove from the multi-source data | NN-MSD-1 | 50.0 | 29.5 | 0.08 |
| Remove from the multi-source data | NN-MSD-2 | 49.1 | 29.1 | 0.08 | |
| Remove from the multi-source data | NN-MSD-3 | 50.1 | 24.1 | 0.07 | |
| The third group | Only {} | LSTM | 61.5 | 29.2 | 0.09 |
| GRU | 71.6 | 32.2 | 0.10 | ||
| MLP | 52.0 | 28.6 | 0.09 | ||
| ARIMA | 93.4 | 69.8 | 0.35 |
- (1)
- The proposed NN-MSD model outperforms the baseline models. The MAPE error is 6%, obviously lower than the others, and the RMSE and MAE errors are also quite low, which show that the proposed NN-MSD model achieves a high prediction accuracy with multi-source data.
- (2)
- In the second group, the prediction errors increase markedly, and are higher than those of the first group. These verify that the characteristics , , and greatly influence the prediction accuracy. What is more, removing characteristics and results in higher errors than those when removing characteristics , which shows that the cyclical characteristics and the spatial and temporal fusion characteristics have a greater influence on the prediction accuracy.
- (3)
- The prediction errors in the third group are higher than those in the first and second groups, which verifies that using only a single data source yields a low prediction accuracy.
6. Conclusions
- (1)
- The proposed NN-MSD model can predict the time-varying passenger flow of many O-D pairs for intercity high-speed railways with a high and stable accuracy. The MAPE errors under multiple prediction time steps are between 6% and 8%.
- (2)
- Compared with the baseline models, the prediction accuracy of the NN-MSD model is higher and is influenced greatly by the cyclical characteristics, spatial-temporal fusion characteristics, and weather characteristics. If one of these characteristics is removed from the model, the MAPE error increases markedly.
- (3)
- The MAPE errors of the baseline models with a single data source are between 9% and 10%, significantly higher than that of the NN-MSD model, which shows that the proposed model achieves a high prediction accuracy due to its use of multi-source data.
Author Contributions
Funding
Data Availability Statement
Conflicts of Interest
References
- National Development and Reform Commission. Expert Interpretation of the “14th Five Year Plan for the Implementation of New Urbanization” Series III: Optimizing the Spatial Layout and Form of Urbanization to Promote the High Quality Development of New Urbanization in the 14th Five Year Plan [EB/OL]. Available online: https://www.ndrc.gov.cn/xxgk/jd/jd/202207/t20220728_1332352.html?code=&state=123 (accessed on 28 July 2022).
- Cao, W.X.; Sun, S.L.; Li, H.T. A new forecasting system for high-speed railway passenger demand based on residual component disposing. Measurement 2021, 183, 109762. [Google Scholar] [CrossRef]
- Milenkovic, M.; Svadlenka, L.; Melichar, V.; Bojovic, N.; Avramovic, Z. SARIMA modelling approach for railway passenger flow forecasting. Transport 2018, 33, 1113–1120. [Google Scholar] [CrossRef]
- Wang, H.; Wang, Y.H.; Wu, D.D. A new seasonal cycle GM (1,1) model and its application in railway passenger volume forecasting. Grey Syst. Theory Appl. 2022, 12, 293–317. [Google Scholar] [CrossRef]
- Su, H.Y.; Peng, S.T.; Mo, S.L.; Wu, K.X. Neural Network-Based Hybrid Forecasting Models for Time-Varying Passenger Flow of Intercity High-Speed Railways. Mathematics 2022, 10, 4554. [Google Scholar] [CrossRef]
- Wang, Y.G.; Qin, Y.; Guo, J.Y.; Cao, Z.W.; Jia, L.M. Multi-point short-term prediction of station passenger flow based on temporal multi-graph convolutional network. Physica A 2022, 604, 127959. [Google Scholar] [CrossRef]
- Tsai, T.H.; Lee, C.K.; Wei, C.H. Neural network based temporal feature models for short-term railway passenger demand forecasting. Expert Syst. Appl. 2009, 36, 3728–3736. [Google Scholar] [CrossRef]
- Ke, J.T.; Zheng, H.Y.; Yang, H.; Chen, X.Q. Short-term forecasting of passenger demand under on-demand ride services: A spatio-temporal deep learning approach. Transp. Res. Part C 2017, 85, 591–608. [Google Scholar] [CrossRef]
- Ahmed, M.S.; Cook, A.R. Analysis of Freeway Traffic Time-Series Data by Using Box-Jenkins Techniques. Transp. Res. Rec. 1979, 722, 361–1981. [Google Scholar]
- Williams, B.M.; Durvasula, P.K.; Brown, D.E. Urban Freeway Traffic Flow Prediction: Application of Seasonal Autoregressive Integrated Moving Average and Exponential Smoothing Models. Transp. Res. Rec. 1998, 1644, 132–141. [Google Scholar] [CrossRef]
- Nagaraj, N.; Gururaj, H.L.; Swathi, B.H.; Hu, Y.C. Passenger flow prediction in bus transportation system using deep learning. Multimed. Tools Appl. 2022, 81, 12519–12542. [Google Scholar] [CrossRef]
- Tang, L.; Yang, Z.; Cabrera, J. Forecasting Short-Term Passenger Flow: An Empirical Study on Shenzhen Metro. IEEE Trans. Intell. Transp. Syst. 2018, 20, 3613–3622. [Google Scholar] [CrossRef]
- Lin, L.Z.; Gao, Y.Z.; Cao, B.X.; Wang, Z.F.; Jia, C. Passenger Flow Scale Prediction of Urban Rail Transit Stations Based on Multilayer Perceptron (MLP). Complexity 2023, 2023, 1430449. [Google Scholar] [CrossRef]
- Yu, J.N. Short-term Airline Passenger Flow Prediction Based on the Attention Mechanism and Gated Recurrent Unit Model. Cogn. Comput. 2022, 14, 693–701. [Google Scholar] [CrossRef]
- Jiang, W.W.; Luo, J.Y. Graph neural network for traffic forecasting: A survey. Expert Syst. Appl. 2022, 207, 117921. [Google Scholar] [CrossRef]
- Yong, G.; Lee, G. Trends, Topics, Leaders, Influential Studies, and Future Challenges of Machine Learning Studies in the Rail Industry. J. Infrastruct. Syst. 2022, 28, 03122001. [Google Scholar] [CrossRef]
- Gould, P.G.; Koehler, A.B.; Ord, J.K.; Snyder, R.D.; Hyndman, R.J.; Vahid-Araghi, F. Forecasting time series with multiple seasonal patterns. Eur. J. Oper. Res. 2008, 191, 207–222. [Google Scholar] [CrossRef]
- Hawas, Y.E. Simulation-Based Regression Models to Estimate Bus Routes and Network Travel Times. J. Public Transp. 2013, 16, 107–130. [Google Scholar] [CrossRef]
- Xiao, X.P.; Lu, Y.Y. Grey linear regression model and its application. Kybernetes 2012, 41, 622–632. [Google Scholar] [CrossRef]
- Du Preez, J.; Witt, S.F. Univariate versus multivariate time series forecasting: An application to international tourism demand. Int. J. Forecast. 2003, 19, 435–451. [Google Scholar] [CrossRef]
- Williams, B.M.; Hoel, L.A. Modeling and forecasting vehicular traffic flow as a seasonal ARIMA process: Theoretical basis and empirical results. J. Transp. Eng. 2003, 129, 664–672. [Google Scholar] [CrossRef]
- Ghosh, B.; Basu, B.; O’Mahony, M. Bayesian time-series model for short-term traffic flow forecasting. J. Transp. Eng. 2007, 133, 180–189. [Google Scholar] [CrossRef]
- Okutani, I.; Stephanedes, Y.J. Dynamic prediction of traffic volume through Kalman filtering theory. Transp. Res. Part B 1984, 11, 1. [Google Scholar] [CrossRef]
- Hu, Y.R.; Wu, C.; Liu, H.J. Prediction of passenger flow on the highway based on the least square support vector machine. Transport 2011, 26, 197–203. [Google Scholar] [CrossRef][Green Version]
- Liu, L.J.; Chen, R.C.; Zhao, Q.F.; Zhu, S.Z. Applying a multistage of input feature combination to random forest for improving MRT passenger flow prediction. J. Ambient Intell. Humaniz. Comput. 2019, 10, 4515–4532. [Google Scholar] [CrossRef]
- Jiang, W.H.; Ma, Z.L.; Koutsopoulos, H.N. Deep learning for short-term origin-destination passenger flow prediction under partial observability in urban railway systems. Neural Comput. Appl. 2022, 34, 4813–4830. [Google Scholar] [CrossRef]
- Huang, W.X.; Cao, B.K.; Li, X.M.; Zhou, M.L. Passenger Flow Prediction for Public Transportation Stations Based on Spatio-Temporal Graph Convolutional Network with Periodic Components. J. Circuits Syst. Comput. 2022, 31, 2250134. [Google Scholar] [CrossRef]
- Liu, L.B.; Chen, J.W.; Wu, H.F.; Zhen, J.J.; Li, G.B.; Lin, L. Physical-Virtual Collaboration Modeling for Intra- and Inter-Station Metro Ridership Prediction. IEEE Trans. Intell. Transp. Syst. 2022, 23, 3377–3391. [Google Scholar] [CrossRef]
- Jing, Z.C.; Yin, X.L. Neural Network-Based Prediction Model for Passenger Flow in a Large Passenger Station: An Exploratory Study. IEEE Access 2020, 8, 36876–36884. [Google Scholar] [CrossRef]
- Han, Y.; Wang, S.K.; Ren, Y.B.; Wang, C.; Gao, P.; Chen, G. Predicting Station-Level Short-Term Passenger Flow in a Citywide Metro Network Using Spatiotemporal Graph Convolutional Neural Networks. ISPRS Int. J. Geo-Inf. 2019, 8, 243. [Google Scholar] [CrossRef]
- Yu, S.Q.; Shang, C.Y.; Yu, Y.; Zhang, S.Y.; Yu, W.L. Prediction of bus passenger trip flow based on artificial neural network. Adv. Mech. Eng. 2016, 8, 1–7. [Google Scholar] [CrossRef]
- Wang, Y.; Cheng, H.; Li, S. Passenger flow forecast model for intercity high speed railway—A neural network-based analysis. J. Interdiscip. Math. 2018, 33, 1113–1120. [Google Scholar] [CrossRef]
- Liu, Y.; Lyu, C.; Zhang, Y.; Liu, Z.Y.; Yu, W.W.; Qu, X.B. DeepTSP: Deep traffic state prediction model based on large-scale empirical data. Commun. Transp. Res. 2021, 1, 100012. [Google Scholar] [CrossRef]
- Açıkbaş, S.; Söylemez, M.T. Coasting point optimisation for mass rail transit lines using artificial neural networks and genetic algorithms. IET Electr. Power Appl. 2008, 2, 172–182. [Google Scholar] [CrossRef]
- Zhao, Y.Y.; Ma, Z.L.; Yang, Y.; Jiang, W.H.; Jiang, X.G. Short-Term Passenger Flow Prediction With Decomposition in Urban Railway Systems. IEEE Access 2020, 8, 107876–107886. [Google Scholar] [CrossRef]
- Wen, K.Y.; Zhao, G.T.; He, B.S. A decomposition-based forecasting mothod with transfer learning for railway short-term passenger flow in holidays. Expert Syst. Appl. 2022, 189, 116102. [Google Scholar] [CrossRef]
- Chen, Q.C.; Wen, D.; Li, X.Q.; Chen, D.J.; Lv, H.X.; Zhang, J.; Gao, P. Empirical mode decomposition based long short-term memory neural network forecasting model for the short-term metro passenger flow. PLoS ONE 2019, 14, e0222365. [Google Scholar] [CrossRef] [PubMed]
- Jiang, X.S.; Zhang, L.; Chen, X.Q. Short-term forecasting of high-speed rail demand: A hybrid approach combining ensemble empirical mode decomposition and gray support vector machine with real-world applications in China. Transp. Res. Part C 2014, 44, 110–127. [Google Scholar] [CrossRef]
- Zhao, S.; Mi, X.W. A Novel Hybrid Model for Short-Term High-Speed Railway Passenger Demand Forecasting. IEEE Access 2019, 7, 175681–175692. [Google Scholar] [CrossRef]
- Olayode, O.I.; Du, B.; Tartibu, K.L.; Alex, J.F. Traffic flow modelling of long and short trucks using a hybrid artificial neural network optimized by particle swarm optimization. Int. J. Transp. Sci. Technol. 2023, 4, 4. [Google Scholar]
- Li, D.W.; Cao, J.M.; Li, R.Y.; Wu, L.F. A spatio-temporal structured LSTM model for short-term prediction of origin-destination matrix in rail transit with multisource data. IEEE Access 2020, 8, 84000–84019. [Google Scholar] [CrossRef]
- Fang, S.; Prinet, V.; Chang, J.L.; Werman, M.; Zhang, C.X.; Xiang, S.M.; Pan, C.H. MS-Net: Multi-source spatio-temporal network for traffic flow prediction. IEEE Trans. Intell. Transp. Syst. 2022, 23, 7142–7155. [Google Scholar] [CrossRef]
- Li, W.; Sui, L.Y.; Zhou, M.; Dong, H.R. Short-term passenger flow forecast for urban rail transit based on multi-source data. EURASIP J. Wirel. Commun. Netw. 2021, 2021, 9. [Google Scholar] [CrossRef]
- Bie, Y.W.; Qiu, T.Z.; Zhang, C.; Zhang, C.B. Introducing Weather Factor Modelling into Macro Traffic State Prediction. J. Adv. Transp. 2017, 4879170, 15. [Google Scholar] [CrossRef]
- Fu, X.; Zuo, Y.F.; Wu, J.J.; Yuan, Y.; Wang, S. Short-term prediction of metro passenger flow with multi-source data: A neural network model fusing spatial and temporal features. Tunn. Undergr. Space Technol. 2022, 124, 104486. [Google Scholar] [CrossRef]
- Zhang, Z.; Cheng, W.; Gao, Y. Passenger Flow Forecast of Rail Station Based on Multi-Source Data and Long Short Term Memory Network. IEEE Access 2020, 8, 28475–28483. [Google Scholar] [CrossRef]
- Du, B.W.; Peng, H.; Wang, S.Z.; Bhuiyan, M.Z.A.; Wang, L.H.; Gong, Q.R.; Liu, L.; Li, J. Deep Irregular Convolutional Residual LSTM for Urban Traffic Passenger Flows Prediction. IEEE Trans. Intell. Transp. Syst. 2020, 21, 972–985. [Google Scholar] [CrossRef]
- Huiling, F.; Lei, N.; Lingyun, M.; Benjamin, R.; Sperry, Z.H. A hierarchical line planning approach for a large-scale high speed rail network: The China case. Transp. Res. Part A 2015, 75, 61–83. [Google Scholar]
- Saneinejad, S.; Roorda, M.J.; Kennedy, C. Modelling the impact of weather conditions on active transportation travel behavior. Transp. Res. Part D—Transp. Environ. 2012, 17, 129–137. [Google Scholar] [CrossRef]
- Sinaga, K.P.; Yang, M.S. Unsupervised K-Means Clustering Algorithm. IEEE Access 2020, 8, 80716–80727. [Google Scholar] [CrossRef]
- Gao, J.C.; Wang, H.Y.; Shen, H.Y. Task Failure Prediction in Cloud Data Centers Using Deep Learning. IEEE Trans. Serv. Comput. 2022, 15, 1411–1422. [Google Scholar] [CrossRef]
- Zhao, J.C.; Deng, F.; Cai, Y.Y.; Chen, J. Long short-term memory—Fully connected (LSTM-FC) neural network for PM2.5 concentration prediction. Chemosphere 2018, 12, 128. [Google Scholar] [CrossRef] [PubMed]
- Cerda, P.; Varoquaux, G. Encoding High-Cardinality String Categorical Variables. IEEE Comput. Soc. 2022, 34, 1164–1176. [Google Scholar] [CrossRef]
- He, H.; Zhao, Z.H.; Luo, W.W.; Zhang, J.H. Community Detection in Aviation Network Based on K-means and Complex Network. Comput. Syst. Sci. Eng. 2021, 39, 251–264. [Google Scholar] [CrossRef]
- Ma, X.L.; Tao, Z.M.; Wang, Y.H.; Yu, H.Y.; Wang, Y.P. Long short-term memory neural network for traffic speed prediction using remote microwave sensor data. Transp. Res. Part C—Emerg. Technol. 2015, 54, 187–197. [Google Scholar] [CrossRef]
- Che, Z.P.; Purushotham, S.; Cho, K.; Sontag, D.; Liu, Y. Recurrent Neural Networks for Multivariate Time Series with Missing Values. Sci. Rep. 2018, 8, 6085. [Google Scholar] [CrossRef]
- Bui, D.T.; Tuan, T.A.; Klempe, H.; Pradhan, B.; Revhaug, I. Spatial prediction models for shallow landslide hazards: A comparative assessment of the efficacy of support vector machines, artificial neural networks, kernel logistic regression, and logistic model tree. Landslides 2016, 13, 361–378. [Google Scholar]










| Level | Station |
|---|---|
| 1 | Guangzhounan |
| 2 | Zhuhai, Zhonshanbei, Xiaolan |
| 3 | Shunde, Ronggui, Mingzhu, Guzhen, Jiangmendon, Xinghui, Bijiang, Beijiao, Shundexueyuan, Nantou, Donsheng, Nanlang, Zhuhaibei, Tangjiawan, Qianshan, Zhonshan |
| Is Guangzhounan Station and Is Mingzhu Station ( = 1, = 3) | Is Xiaolan Station and Is Guangzhounan Station ( = 2, = 1) | ||||
|---|---|---|---|---|---|
| 1 | 48 | 7 | 1 | 300 | 6 |
| 2 | 73 | 7 | 2 | 407 | 4 |
| 3 | 0 | 3 | 3 | 233 | 6 |
| 4 | 0 | 3 | 4 | 257 | 6 |
| 5 | 147 | 5 | 5 | 267 | 6 |
| 6 | 0 | 3 | 6 | 230 | 6 |
| 7 | 143 | 5 | 7 | 344 | 9 |
| 8 | 169 | 10 | 8 | 226 | 10 |
| 9 | 153 | 10 | 9 | 196 | 10 |
| 10 | 165 | 10 | 10 | 220 | 10 |
| 11 | 49 | 7 | 11 | 194 | 10 |
| 12 | 286 | 6 | 12 | 161 | 10 |
| 13 | 0 | 3 | 13 | 98 | 5 |
| 14 | 99 | 5 | 14 | 41 | 7 |
| 15 | 134 | 5 | 15 | 14 | 3 |
| 16 | 68 | 7 | 16 | 12 | 3 |
| Error | Predicting Time Step | ||
|---|---|---|---|
| 1 | 2 | 3 | |
| RMSE | 47.4 | 47.9 | 45.2 |
| MAE | 24.5 | 27.9 | 24.1 |
| MAPE | 0.06 | 0.08 | 0.07 |
| Literature | Field of Passenger Flow Forecasting | Including Multiple O-D Pairs (Stations) in One Experiment | Multi-Source Data | Method | MAPE |
|---|---|---|---|---|---|
| This study | Railway O-D pair | Yes | Yes | NN-MSD | 0.06~0.08 |
| Milenkovic et al. [3] | Railway station | No | No | SARIMA | 0.04~0.05 |
| Wang et al. [6] | Metro station | No | No | TGACN | 0.08 |
| Lin et al. [13] | Railway station | No | No | MLP | 0.28~0.36 |
| Liu et al. [28] | Metro O-D pair | Yes | No | PVCGN | 0.10~0.19 |
| Han et al. [30] | Metro station | No | No | STGCNNmetro | 0.24 |
| Zhao et al. [35] | Metro station | No | No | STL-HW-LSTM | 0.06~0.15 |
| Wen et al. [36] | Railway station | No | No | Tra-Decom | 0.02~0.05 |
| Jiang et al. [38] | Railway O-D pair | No | No | EEMD-GSVM | 0.05~0.07 |
| Zhao et al. [39] | Railway O-D pair | No | No | SSA-WPDCNN-SVR | 0.03~0.13 |
| Li et al. [41] | Metro station | Yes | Yes | STLSTM | 0.25~0.35 |
| Li et al. [43] | Metro station | No | Yes | SARIMA-SVM | 0.09~0.16 |
| Fu et al. [45] | Metro station | No | Yes | NN | 0.22~0.30 |
Disclaimer/Publisher’s Note: The statements, opinions and data contained in all publications are solely those of the individual author(s) and contributor(s) and not of MDPI and/or the editor(s). MDPI and/or the editor(s) disclaim responsibility for any injury to people or property resulting from any ideas, methods, instructions or products referred to in the content. |
© 2023 by the authors. Licensee MDPI, Basel, Switzerland. This article is an open access article distributed under the terms and conditions of the Creative Commons Attribution (CC BY) license (https://creativecommons.org/licenses/by/4.0/).
Share and Cite
Su, H.; Mo, S.; Peng, S. Short-Term Prediction of Time-Varying Passenger Flow for Intercity High-Speed Railways: A Neural Network Model Based on Multi-Source Data. Mathematics 2023, 11, 3446. https://doi.org/10.3390/math11163446
Su H, Mo S, Peng S. Short-Term Prediction of Time-Varying Passenger Flow for Intercity High-Speed Railways: A Neural Network Model Based on Multi-Source Data. Mathematics. 2023; 11(16):3446. https://doi.org/10.3390/math11163446
Chicago/Turabian StyleSu, Huanyin, Shanglin Mo, and Shuting Peng. 2023. "Short-Term Prediction of Time-Varying Passenger Flow for Intercity High-Speed Railways: A Neural Network Model Based on Multi-Source Data" Mathematics 11, no. 16: 3446. https://doi.org/10.3390/math11163446
APA StyleSu, H., Mo, S., & Peng, S. (2023). Short-Term Prediction of Time-Varying Passenger Flow for Intercity High-Speed Railways: A Neural Network Model Based on Multi-Source Data. Mathematics, 11(16), 3446. https://doi.org/10.3390/math11163446

