Abstract
Busy, complex railway stations that serve as origin and termination points for a significant proportion of trains are essential to regional railway networks. Resolving conflicts between arrival–departure operations and shunting operations of cross-line trains and originating or terminating passenger trains in the throat area is important for safety in these multidirectional stations. The main task of this paper is to study the train platforming problem, and we consider the integration of track and route allocation with shunting route allocation on the basis of the traditional TTP problem, so as to formulate a strong anti-interference track allocation plan for busy, complex railway stations. Therefore, in view of the complex characteristics of train operation in busy, complex railway stations, we extensively examine the technical operational characteristics of various trains in multidirectional stations, which are the key constraints of the model, and establish a mixed-integer linear programming model. This model aims to balance the buffer time for track occupation and optimize the routing and scheduling of trains in stations. Furthermore, an improved genetic algorithm is proposed to effectively implement the developed model. In the case study of Guangzhou Station, the occupation analysis after the optimization of the method in this paper indicates that the shunting operations significantly interfere with arrival–departure operations in throat areas. The optimization of buffer times and track utilization times resulted in notable reductions of 30.55% and 77.82%, respectively, in quadratic differences. These outcomes provide empirical evidence supporting the feasibility of the proposed model and algorithm for addressing train platforming problems, particularly in complex, multidirectional, and heavily trafficked railway stations.
Keywords:
multidirectional passenger station; train platforming problem; shunting operations; coordinated station operations MSC:
90B06
1. Introduction
Multidirectional railway stations have a pivotal position as essential hubs within regional railway networks, particularly along significant railway lines. These stations have intricate and active operational environments. Zhang et al. [1] highlighted the independent compilation of timetables for different lines, while the track allocation plan is typically developed iteratively. Multidirectional stations commonly handle a combination of passenger trains, multiple unit trains, and other train types in a mixed traffic environment. The track allocation problem (TAP, Lusby et al. [2]) or train platforming problem (TPP, Caprara et al. [3]) involves the assignment of station resources, including switches, routes, and tracks to trains according to a timetable. The inherent complexity of multidirectional passenger stations, characterized by intricate layouts, high frequencies of train arrivals and departures, diverse train types, and complex operation types, makes the TPP significantly more challenging than its counterparts in conventional railway stations. The shunting operation plan (SOP) in passenger stations usually includes shunting operations in an arrival–departure depot and shunting operations within a technical operation depot. The station dispatcher is tasked with composing the shunting operation plan for the arrival–departure depot, whereas the technical operation depot’s dispatcher is responsible for formulating the shunting operation plan within the technical operation depot. This paper focuses on the train platforming problem considering shunting operation plans in the arrival–departure depot. The scheduling of shunting operations for normal-speed trains entails determining the times during which railroad cars will be stationed in the technical operation depot. Additionally, it involves establishing the precise timing and routes for shunting movements between the technical operation depot and the arrival–departure depot. The shunting operation plan guides the dispatchers to ensure train operations are well-ordered and avoids conflicts between shunting routes and arrival or departure routes. Given the increasing volume of originating, terminating, and turnaround trains at busy and complex passenger stations, the manual tasks involved in devising track allocation and shunting operation plans can be demanding and time-consuming. Therefore, there is a pressing need to develop efficient methods for determining conflict-free and optimal shunting operation plans and track allocations in the arrival–departure depot by employing automated computational techniques. Currently, researchers address work conflicts between two trains by ensuring that there is no overlapping occupation of station resources for those trains. However, in the case of busy and complex passenger stations with a significant proportion of originating, terminating, or turnaround trains, it is crucial to consider potential interference between the arrival–departure operations and shunting operations of railroad car on different lines. Ignoring such interference can lead to disruptions and inefficiencies in the overall operations of the station. This study addresses the train platforming problem of coordinating the arrival–departure operations and shunting operations specific to busy and complex stations.
2. Literature Review
Usually, railway management is divided into the strategic level, tactical level, and operational level. At the tactical level, the train timetable or schedule for each station is made, and a track allocation plan for each station is determined on that basis. Researchers who integrate the train timetabling problem (TTP) with the TPP usually simplify train movements in each station to reduce complexity. For most researchers, the TPP and TTP are solved step-by-step for greater tractability, as described by Lu et al. [4]. Cacchiani et al. [5] and Zhang et al. [6] performed comprehensive reviews of the TPP. Lusby et al. [7] considered the TTP and TPP during planned track maintenance for a high-speed railway network.
Most TPP reviews solve train conflicts at an aggregate route level for greater tractability. Zwaneveld et al. [8] formulated the TPP as a node-packing problem and designed heuristics to solve the problem. Caprara et al. [3] proposed a quadratic program with a nonlinear cost function to solve the train platforming problem. Billionnet et al. [9] formulated the TPP as a graph coloring problem without considering route conflicts when making platforming decisions. Sels et al. [10] proposed inserting a separation time between route pairs to solve conflicts. Dewilde et al. [11,12] increased the buffer time span between adjacent trains to improve robustness against these so-called disturbance scenarios. And an iterative method is proposed to optimize the train route through the station area successively.
In practice, the route-locking and sectional-release interlocking mechanism brings higher efficiency and addresses train conflicts at a disaggregated track section level. For instance, Corman et al. [13] adopted a section-based approach and job shop model to model the incompatibility between routes. Lusby et al. [14] formulated a set packing model to solve track section-level conflicts. Pellegrini et al. [15,16] proposed a mixed-integer linear programming formulation for the TPP at a real-time level with fine infrastructure granularity. In subsequent research, they also focused on finding appropriate train routes and timetables to minimize the propagation of delays caused by traffic disturbances. An effective inequality was introduced to enhance the performance of RECIFE-MILP, and the reliability of the model was validated using real-world examples representing traffic in four French infrastructures. Sels et al. [17] focused on the problem of automatic allocation of train routes and introduced the concept of virtual platforms in their constructed track utilization model. They applied this concept to the Belgian railway system to maximize the number of trains that can traverse the tracks without conflicts. Matteo et al. [18] used a general-purpose mixed-integer linear programming solution to address the issue of real-time train rescheduling. Meng et al. [19] proposed an integrated model that encompasses train rescheduling and track assignment to furnish a comprehensive plan for trains to traverse railway sections and go-through stations. Neeraj et al. [20] employed a methodical approach that involves analyzing the likelihood of conflicts and disturbances and taking appropriate measures to reschedule trains during disruptions. Wang et al. [21] formulated a mixed-integer programming node-arc model to solve the train routing problem for a multistation railway hub. Ricardo et al. [22] proposed a model based on mathematical programming to make decisions pertaining to the rerouting and rescheduling of railway traffic in a station area.
To strike a balance between flexibility and efficiency, some researchers have developed TPP models by resolving conflicts at a switch or turnout group level. For instance, Lu et al. [4] proposed a model for the TPP and train rescheduling problems with a conflict degree approach, and the model can switch between the above two inter-locking mechanisms. Zeng et al. [23] presented a track-circuit-based model for the robust train platforming problem. In our TPP with shunting operations, a switch group-based structure in conflict representation for railway yards is also used. Zwaneveld et al. [8] proved that the train routing problem based on route conflicts is NP-complete, and shunting route allocation based on switch group conflicts is rarely studied in current research from a problem complexity perspective.
Most research papers related to shunting schedule plans are specific to railway marshalling stations and maintenance depots. Few papers have studied the shunting schedules of multiple unit trains or technical operation depots in complex railway passenger stations, and these schedules are essential for high-speed or normal-speed train maintenance activities. For instance, Li et al. [24] proposed an optimization model for yards with EMU maintenance depots to obtain an assignment plan with optimal track utilization. Haahr et al. [25] consider the train unit shunting problem. To ensure the conflict-free allocation of trains from the shunting yard to designated tracks, a constraint planning formula, a column generation approach, and a randomized greedy heuristic method were utilized. The effectiveness of these methods was validated through real-world case studies from the Danish State Railways (DSB) and the Dutch Railways (NS). Guo et al. [26] developed a mathematical model to optimize the safety shunting operation plans of railroad cars in a hub-type high-speed railway station. Wang et al. [27] proposed a 0–1 programming model to automatically compute an optimal shunting schedule for multiple unit train depots. Miranda et al. [28] conducted a study on the locomotive routing problem for the Canadian National Railways. The objective was to determine the optimal sequence of trains for each locomotive in a given fleet, considering maintenance within the weekly planning horizon. However, their research did not address the issue of train operations within stations. Chen et al. [29] proposed an optimization technique for track utilization in marshalling yards, which involves coordinating arrival and break-up operations to reduce the crossing times of marshalling routes. Zhang et al. [30] focused on the allocation plans of classification tracks at train marshalling yards and proposed an integer programming model with the objective of reducing the total number of coupling operations. Schasfoort B et al. [31] studied the real-time train assignment problem and introduced two real-time solution methods: a problem-specific genetic algorithm and a first-scheduled first-served heuristic. Shi et al. [32] considered a shunting operation planning problem at electronic multiple-train depots and proposed two models for dispatching in stub-end and through types of yards. To our knowledge, few current studies consider shunting operations in an arrival–departure depot. The track sections in throat areas may become a bottleneck that determines the minimum time span between two operations. Thus, we will study the TPP with shunting operations in multidirectional passenger stations.
In Table 1, the research content of this paper is compared with that of other classic papers on the TPP in five areas: (1) whether the paper considers arrival or departure route conflicts when making platforming decisions; (2) whether the paper considers shunting route conflicts with other operation routes when making platforming decisions; (3) whether the paper considers cross-line trains in multidirectional stations; (4) whether the paper considers fixed track utilization rules; and (5) whether the paper analyses the occupation time of tracks or track sections in throat areas.
Table 1.
Comparison of our research with other TPP-related literature.
The main contributions of this paper are as follows:
- (1)
- Current research focuses on train routes that include inbound and outbound routes. On this basis, in this paper, we extend the TPP to include shunting routes in the arrival–departure depot. This addition makes the constraints for route conflict-free conditions more complex but also more realistic.
- (2)
- Our proposed TPP model addresses the challenges encountered in multidirectional busy and complex stations with diverse train types. Additionally, our TPP model accounts for the interconnections of railroad car between different directions or lines.
- (3)
- In terms of algorithmic methodology, we employ a customized algorithm that suits different train operation types. It establishes an initial population that supports iterative optimization and offers adaptability. The main objective is to increase the likelihood of achieving a feasible solution for the TPP model with shunting operations in multidirectional passenger stations using an improved genetic algorithm.
- (4)
- By analyzing the buffer time occupied by switch groups, we show that the shunting operation plays an important role in the operation of multidirectional passenger stations and confirm the efficacy of the model and algorithm presented in this paper, which caters to the requirements of specialized operations and the adaptable shunting maneuvers of locomotives.
3. Analysis of VCTS Operating Conditions
First, we represent a typical environment in a busy, complex station. Second, the conflict occupation time of station resources used by both arrival–departure operations and shunting operations is illustrated. The last section summarizes some assumptions of this paper.
Traditional passenger stations located on railway lines are designed as through-type yards, and the siding tracks are generally divided by the main lines and used for upwards or downwards trains accordingly. According to Zhang et al. [1], multidirectional stations do not make a clear distinction between the utilization of receiving and departure lines for upwards and downwards trains. While this may offer greater flexibility for cross-line trains and turnaround trains, it also leads to a significant amount of interference between the receiving and departure operations in the yard due to the more flexible track utilization rules.
An illustration of the detailed layout of a multidirectional station is shown in Figure 1. Zhang et al. [1] divided the switches in the throat area into switch groups (SGs) and noted that conflicting routes are routes that claim the same switch groups at the same time. In this paper, we not only divide the switches in the throat area but also divide the switches between the arrival–departure depot and the technical operation depot. Thus, the shunting movements from tracks to the technical operation depot generally involve fixed groups of switches. For instance, the basic route for movement from 6G to the technical operation depot area occupies SG31, SG29, SG17, SG13, and SG1, sequentially.
Figure 1.
Schematic layout of Guangzhou railway station (The color number represents the switch group number).
3.1. Train Types Based on Directions and Shunting Operation Chains
Trains can be divided into several train types according to the difference in directions and train types in their operation chain arrangement. The operation characteristics of seven different train types in a typical multidirectional station are analyzed in detail below. We assume that the throat area of the station is oriented towards the technical operation depot direction as the N throat area, while the direction away from the technical operation depot is referred to as the S throat area.
(1) Trains without shunting operations (Ts)
Nonstop trains can only claim the main track once. They pass through the station without any shunting operations. The operation chain management of stop trains includes arrival operations and static operations such as passengers boarding or alighting, water supply and sewage suction on tracks, and departure operations.
(2) Stop trains with locomotive operations in the S throat area (STLSs)
For original trains, the shunting locomotive needs to pull the railroad car from the technical operation depot to a designated track at the specified advance time before the train’s departure. This process can be regarded as the equivalent of the train arriving at the station. This arrival time is the departure time minus the operating time at the platform. As shown in Figure 2a, the shunting locomotive removes railroad cars from the technical operation depot and places it on a track of the arrival–departure depot. During busy periods in the S throat area, locomotive waiting tracks are used for waiting. A new locomotive leaves the locomotive depot and waits in advance in the locomotive waiting track. Once the new locomotive is attached to the railroad car, the originating train proceeds in the A direction. Then, the shunting locomotives flexibly return to the technical operation depot. If the switch groups along the dotted route are occupied, a locomotive can wait for the shunting signal. These shunting operations (e.g., the dotted blue and red shunting routes in Figure 2a) are referred to as flexible shunting operations.
Figure 2.
Illustration of stop trains with locomotive operations in the S throat area (STLSs).
For stop trains that need to replace locomotives, the operations (e.g., in Figure 2b) at the station are similar to those of original trains. The main difference between the two is the direction of entry into the station.
(3) Stop trains with locomotive operations that occupy both the throat areas (STLNSs)
As shown in Figure 3a, the shunting locomotive obtains the railroad cars of original train from the technical operation depot in the N throat area and put the railroad cars of originating trains on the tracks of the arrival–departure depot. After this, the shunting locomotive separates from the railroad cars and goes to the locomotive waiting track in the S throat area. Then, it backs into the technical operation depot or performs other shunting operations in a flexible way. A new locomotive will exit the locomotive depot and attach to the railroad cars through the shunting routes in the N throat area.

Figure 3.
Illustration of stop trains with locomotive operations that occupy both throat areas (STLNSs).
For stop trains that need to arrive and leave the station in the same throat area, locomotive change is also required, such as trains arriving in direction C and going to direction B (e.g., in Figure 3b). The operations at the station are similar to those of the original trains.
(4) Terminal trains that arrive from the A direction with railroad car shunting operations (TASs)
For terminal trains, the shunting locomotive needs to push the railroad car from the arrival–departure depot to the technical operation depot after the train’s arrival. This process can be regarded as the equivalent of the train departing at the station. This departure time is the arrival time plus the operating time at the platform. As shown in Figure 4, the terminating train arrives from the A upwards direction and stops on a track. The original locomotive will be separated and flexibly shunted to the locomotive depot. A shunting locomotive will push the railroad cars of the terminal train set at the tracks of the arrival–departure depot into the technical operation depot.
Figure 4.
Illustration of terminal trains that arrive from the A direction with railroad car shunting operations (TASs).
(5) Terminal trains that arrive from the B and C directions with railroad car shunting operations (TBCSs)
As shown in Figure 5, the shunting locomotive will push the railroad cars of the terminal train that arrive from the B and C directions into the technical operation depot. After this, the original locomotive (e.g., the red locomotive in Figure 5) will separate from the railroad car and return to the technical operation depot in a flexible way.
Figure 5.
Illustration of terminal trains that arrive from the B and C directions with railroad car shunting operations (TBCSs).
We define the arrival–departure routes in the N throat area as Nswitch, the arrival–departure routes in the S throat area as Sswitch, the shunting routes for locomotive replacement in the N throat area as Nreplace, the shunting routes for locomotive replacement in the S throat area as Sreplace, the shunting routes for railroad car shunting operations in the N throat area as Nshunting, and the shunting routes for railroad car shunting operations in the S throat area as Sshunting. The route occupations of the above eight train types are illustrated in Table 2.
Table 2.
Different route types that should be assigned to different train types.
3.2. Assumptions
The train platforming problem with shunting interference in multidirectional passenger stations is considered. We assume that:
- (1)
- The shunting capacity of locomotives is sufficient for many railroad car shunting operations in this station. The operations that each track can provide are definite. The running times of arrival, departure, and shunting routes in the throat areas can be collected from daily operations. Moreover, the fixed track utilization rule analyzed in Zeng et al. [35] is also used in this paper.
- (2)
- There is a locomotive walking track (e.g., track 5G in Figure 1) in a multidirectional complex passenger station. To simplify the problem, we disregard the impact of flexible shunting operations on arrival–departure routes in the throat area.
- (3)
- The timetables and railroad car plans of two trains using the same railroad cars will be used as the inputs of the algorithm. The train preparation time criterion, locomotive replacement operation time standard, and shunting operation time standard are stipulated in the station documents.
4. Model Formulation
To address the train platforming problem in multidirectional busy and complex railway stations, a mixed-integer programming model is formulated. The notation, constraints, and objective function of this model will be given below.
4.1. Constraints
(1) Time constraints.
For original trains, the shunting locomotive needs to pull the railroad car from the technical operation depot to a designated track at the specified advance time before the train’s departure. This process can be regarded as the equivalent of the train arriving at the station.
For TSs, STLSs, and TASs trains, the departure and arrival processes of the train need to occupy both stations’ throats. The time constraint is as follows:
For STLNSs and TBCSs trains, the departure and arrival processes of the train only occupy the throat area on the side of the technical operation depot. The time constraint is as follows:
For STLSs and TBCSs trains, the time constraint for locomotive decoupling and coupling is as follows:
For STLNSs and TASs trains, the shunting operation time constraints of the locomotive are as follows:
(2) Unary occupation constrains of tracks.
Each train can only occupy one track. The constraint is as follows:
(3) Special operation constraints.
Constraint (7) indicates that passing-through passenger trains occupy the main lines’ track only once. Constraint (8) indicates that passenger trains with special operations such as water filling occupy the track with special operation facilities only once.
(4) Conflict-free constraints on platform track occupation.
The occupation time intervals of the previous train and the following train occupying the same track are not allowed to overlap. This conflict-free constraint is denoted as:
(5) Conflict-free constraints of switch group occupation.
Constraint (10) ensures that the arrival, departure, and shunting operations of the preceding train and the subsequent train on the same switch group are non-overlapping. The constraint is as follows:
(6) Safety time interval constraints.
Constraint (11) requires that the occupation time intervals of two adjacent trains and satisfy the minimum separation safety time standard.
4.2. Objectives
Dewilde et al. [11] proposed the buffer time between any two trains passing through the station areas as a good indicator in evaluating robustness in station areas. A more balanced buffer time between track occupations corresponds to a higher robustness of busy and complex stations for primary delays or perturbations.
The objective of the train platforming problem is to ensure a balanced occupation time of tracks to prevent the overuse of preferred tracks, as shown in Zeng et al. [35]. The total track occupation times of tracks No. 1 and No. 2 are the same (e.g., ), which means that the total occupation times of different tracks are balanced in both Figure 6 and Figure 7. However, when a primary delay of train No. 2 occurs, buffer time in Figure 7 is more likely to absorb small recurrent perturbations and have fewer reassignments than buffer time in Figure 6. The buffer time between track occupations (e.g., , , ) in Figure 7 is more balanced than the buffer time between track occupations (e.g., , , ) in Figure 6. Thus, we introduce balanced buffer times between pairs of consecutive train movements on tracks as a robustness indicator.
Figure 6.
Illustration of unbalanced buffer times between track occupations.
Figure 7.
Illustration of balanced buffer times between track occupations.
Accordingly, the objective of optimizing the train platforming problem in this section is to balance the buffer times between track occupations, as shown in (12):
where denotes the total number of trains on a track in the set of passenger trains conducting arrival–departure operations on track in Equation (12). represents the average value of all the buffer times between track occupations in Equation (13). is the total number of arrival–departure tracks in the set of arrival–departure tracks .
We can now describe the TRRP model as follows:
Subject to:
Time constraints: (1), (2), (3), (4), and (5)
Unary occupation constrains of tracks: (6)
Special operation constraints: (7) and (8)
Conflict-free constraints of platform track occupation: (9)
Conflict-free constraints of switch group occupation: (10)
Conflict-free constraints of switch group occupation: (11)
5. An Improved Genetic Algorithm for the TPP with Shunting Operations
The train platforming problem is essentially an NP-hard problem [36]. Usually, mixed-integer linear programming problems can be solved directly using commercial solvers. However, as Lu et al. [4] concluded through their research, solving large TPP cases is still a considerable computational challenge due to the number of binary variables involved. The number of integer variables involved increases exponentially with the increase in the number of trains, tracks, and train operation types. We propose an improved genetic algorithm (GA) for making robust train platforming plans and shunting operation plans in multidirectional stations. The conventional genetic algorithm’s initial population need not be a viable solution. However, the model for the TPP with shunting operations in multidirectional passenger stations has strict constraints, making it difficult for the offspring to provide feasible solutions. Therefore, before genetic optimization, we will create an initial population with the potential for iterative optimization and a high degree of freedom.
Table 3.
Notation for general subscripts and input parameters.
Table 4.
Notation for decision variables.
Output: The track utilization plan with shunting operation plans in the arrival–departure depot and objective values.
Step 1: Divide the train set into different subsets, such as special operation trains (M), freight trains (H), passing passenger trains (P), multiple-unit trains (D), and normal-speed passenger trains (T). Import the data of different train types (M, H, P, D, T), track sets, track-related inbound and outbound route sets in throat areas, and shunting route sets.
Step 2: Import the data of trains that have special operation requirements. Assign their tracks and routes in throat areas and calculate the occupation time instants of the resources. The assigned tracks and routes of the above train types are constant in the following optimization process.
Step 3: Choose train in set D, and obtain the basic time data of the train according to the basic time data of the station, which must comply with constraints (1–5). Select a track with the roulette wheel selection operation and check whether the time of track occupation and inbound and outbound route occupation meet the requirements of the constraints (6–11). If no conflicts exist for track , assign track and the corresponding inbound or outbound routes to train . The occupation time instants of tracks and switch groups are stored. If no other track in set can satisfy the constraints in Section 3, then add to the unassigned train set and go to step 4.
Step 4: For each train in set , conduct the same conflict-free check as in step 3. In this process, we take the shunting operations of railroad cars as arrival or departure operations in the D direction.
After obtaining an initial track utilization plan, we use a genetic algorithm to further optimize the solution. The major steps of the improved GA algorithm are briefly presented below.
Step 1: Initialization of parameters and encoding
The gene coding of the algorithm is a natural number coding. Let the length of the chromosome be the total number of trains and the expression of the chromosome be a two-dimensional array. The first column of this array contains the genetic information of the chromosome, which is the track number assigned to each train. The remaining column represents other information needed to check the constraints in Section 4.2. Then, the individual’s chromosome is as shown in Figure 8.
Figure 8.
Illustration of individuals’ chromosomes.
Step 2: Creating and evaluating a new chromosome
The operation safety and efficiency should be considered in the setting of fitness function. With reference to Zeng’s [35] experience, we set the fitness function as the reciprocal of the model’s objective function, so that the fitness value of each chromosome is less than 1 and close to 0. Chromosome variation must adhere to the fixed track utilization rule, with unassigned train sets being randomly assigned to tracks. Single-point variation operations following this rule ensure diversity within the initial population while maintaining high feasibility. Population selection is performed using the roulette wheel selection method, ranking individuals based on their fitness values. Offspring are generated through uniform crossing after selecting individuals for reproduction. Additionally, during the iteration process, there may be many infeasible individuals that fail to meet time interval constraints, so before each algorithm iteration, it is necessary to re-check whether the individuals meet the constraint (6–11). If the individual does not satisfy any of the constraints, the fitness value will be subtracted by 1 and become negative
The individuals with the lowest fitness values are ranked and subsequently eliminated through successive iterations.
Step 3: Judgement of termination criteria
Step 2 is repeated until the iteration of the algorithm is finished, and the individual with the best fitness is output.
6. Experimental Results and Discussion
This section takes Guangzhou Station in China as a case study to illustrate the effectiveness of the proposed model and algorithm. The data collection was carried out in coordination with the train station personnel. Guangzhou Station is a combined passenger station with through-type yards and dead-end-type yards, as shown in Figure 1. The station is connected to a locomotive depot and a technical operation depot through several connecting lines. According to the five-hour schedule, there are 49 trains, including 3 special operations trains (M), 17 multiple-unit trains (D), 2 freight trains (H), 4 passing passenger trains (P), and 25 normal-speed passenger trains (T). Thirty-two percent of the abovementioned train railroad cars (e.g., M and D) need to be shunted between the arrival–departure depot and technical operation depot every day.
According to station documents, the operation time data of different train types and parameters for shunting operations are as shown in Table 5 and Table 6.
Table 5.
Basic running time data of the station.
Table 6.
Basic time data of the station.
6.1. Occupation Time Analysis
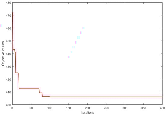
Figure 9 displays the convergence trend of the algorithm, indicating that the enhanced genetic algorithm is a suitable approach for addressing the proposed TPP with shunting operations in multidirectional passenger stations. After approximately 100 iterations, the algorithm reaches the objective of 406.83. The original and optimized track allocation plan is given in Table 7. Compared with the original track allocation plan, the optimized track allocation plan has a substantial reduction in the maximum buffer time between track occupations, as shown in Table 8. The quadratic differences in buffer times and in track utilization times are decreased by 30.55% and 77.82%, respectively. In the optimized track allocation plan, most of the trains’ buffer times are within [20, 60] (min). The more balanced buffer time between track occupations indicates that the plan has a higher ability to absorb primary delays and perturbations.
Figure 9.
Trend graph of the improved genetic algorithm iteration and objective value.
Table 7.
Original and optimized track allocation plan.
Table 8.
Buffer time parameter comparison.
6.2. Shunting Occupation Time Analysis
All the shunting operations of train sets (e.g., M or D) in this experimental analysis are conducted in the north throat area. The total numbers of switch group occupation times in the north throat area are shown in Table 9. Among all these switch groups, 19, 21, 27, 29, 31, and 33 are occupied by shunting operations. We use “shunting operation utilization rates” to denote the times of switch groups occupied by shunting operations versus the total occupation times. Switch groups 19, 21, 27, 29, 31, and 33 have shunting occupation utilization rates of approximately 6.25%, 14.29%, 44.44%, 75%, 33.33%, and 57.14%, respectively. The switch groups adjacent to the technical operation depot are loaded with many shunting operations. However, these switch groups (e.g., switch group 31 in Figure 1) are also components of inbound routes of trains from downwards B to downwards A. Thus, the shunting operations significantly interfere with arrival–departure operations in the north throat area.
Table 9.
Statistics of switch group occupation frequency.
Figure 10 displays the buffer times between switch group occupations, demonstrating the increased buffer times and improved robustness of the optimized track allocation plan. An increased buffer time between switch groups also means more time for the flexible shunting operations of locomotives described in Section 3.1. Additionally, Figure 11 indicates that most switch group occupations have buffer times exceeding 2 min(the red line), which allows sufficient time for the locomotive’s flexible shunting operations. This scheme effectively meets the requirements for flexible shunting.
Figure 10.
Scatter diagram of buffer times between switch group occupations.
Figure 11.
Scatter diagram of buffer times between switch group occupations less than 10 min.
7. Conclusions and Future Research
In this paper, we propose a solution of TPP that formulates a strong anti-interference track allocation plan in busy, complex railway stations while resolving the conflict between train operation and shunting operation. A mixed-integer model formulation is presented for the TPP in multidirectional stations, incorporating shunting operations. Additionally, an improved genetic algorithm approach is proposed, based on the fixed track utilization rule, to create a robust track allocation plan. A case study of Guangzhou Station, which has multidirectional and various train types, verifies the approach’s effectiveness in making a robust track allocation plan with a shunting operation plan in the arrival–departure depot. After optimization, the buffer times and track utilization times of the scheme are obviously reduced, and the anti-interference ability of the scheme is significantly improved. The analysis of the occupation reveals that shunting operations have a substantial impact on the smooth flow of arrival–departure operations in the throat areas. Our proposed model and algorithm consider shunting operations of various train types and solve the train platforming problem in multidirectional stations in a practical way, and the anti-interference ability of the track allocation plan is significantly improved.
Future research will focus on proposing a model for track allocation plans that considers the flexible shunting operations of locomotives. We will also focus on rescheduling track allocation plans and shunting operation plans in real time. In addition, timetable and railroad car plan adjustments should be integrated with track reallocation under disruptions.
Author Contributions
Data curation, Y.Z.; formal analysis, R.H.; investigation, Y.W.; methodology, R.H.; project administration, Y.Z. and Y.L.; resources, Q.Z.; supervision, S.H.; validation, R.H.; writing—original draft, Q.Z.; writing—review and editing, R.H. All authors have read and agreed to the published version of the manuscript.
Funding
The research is supported by the National Natural Science Foundation of China (Grant No. 71971220, Nos 71901093), the Natural Science Foundation of Hunan Province, China (Grant No. 2023JJ30710, No. 2022JJ31020, No. 2020JJ5115), the Postgraduate Scientific Research Innovation Project of Hunan Province, China (Grant No. 2023ZZTS0189), the Scientific Research Fund of Hunan Provincial Education Department (Grant No. 19A250).
Institutional Review Board Statement
Not applicable.
Informed Consent Statement
Not applicable.
Data Availability Statement
Not applicable.
Conflicts of Interest
The authors declare no potential conflict of interest regarding the research, authorship, and/or publication of this article.
References
- Zhang, Q.; Zhu, X.; Wang, L. Track allocation optimization in multi-directional high-speed railway stations. Symmetry 2019, 11, 459. [Google Scholar] [CrossRef]
- Lusby, R.M.; Larsen, J.; Ehrgott, M.; Ryan, D. Railway track allocation: Models and methods. OR Spectr. 2011, 33, 843–883. [Google Scholar] [CrossRef]
- Caprara, A.; Galli, L.; Toth, P. Solution of the train platforming problem. Transp. Sci. 2011, 45, 246–257. [Google Scholar] [CrossRef]
- Lu, G.; Ning, J.; Liu, X.; Nie, Y. Train platforming and rescheduling with flexible interlocking mechanisms: An aggregate approach. Transp. Res. Part E Logist. Transp. Rev. 2022, 159, 102622. [Google Scholar] [CrossRef]
- Cacchiani, V.; Galli, L.; Toth, P. A tutorial on non-periodic train timetabling and platforming problems. Euro. J. Transp. Logist. 2015, 4, 285–320. [Google Scholar] [CrossRef]
- Zhang, Y.; Umar, A.M.; An, M. Overview of optimization models and algorithms for train platforming problem. In Proceedings of the 4th International Conference on Electrical and Information Technologies for Rail Transportation (EITRT) 2019, Rail Transportation System Safety and Maintenance Technologies; Springer: Singapore, 2019; pp. 707–716. [Google Scholar]
- Zhang, Q.; Lusby, R.; Shang, P.; Zhu, X. Simultaneously re-optimizing timetables and platform schedules under planned track maintenance for a high-speed railway network. Transp. Res. Part C 2020, 121, 102823. [Google Scholar] [CrossRef]
- Zwaneveld, P.J.; Kroon, L.G.; Romeijn, H.E.; Salomon, M.; Dauzère-Pérès, S.; Van Hoesel, S.P.M.; Ambergen, H.W. Routing trains through railway stations: Model formulation and algorithms. Transp. Sci. 1996, 30, 181–194. [Google Scholar] [CrossRef]
- Billionnet, A. Using integer programming to solve the train-platforming problem. Transp. Sci. 2003, 37, 213–222. [Google Scholar] [CrossRef]
- Sels, P.; Vansteenwegen, P.; Dewilde, T.; Cattrysse, D.; Waquet, B.; Joubert, A. The train platforming problem: The infrastructure management company perspective. Transp. Res. Part B Methodol. 2014, 61, 55–72. [Google Scholar] [CrossRef]
- Dewilde, T.; Sels, P.; Cattrysse, D.; Vansteenwegen, P. Robust railway station planning: An interaction between routing, timetabling and platforming. J. Rail Transp. Plan. Manag. 2013, 3, 68–77. [Google Scholar] [CrossRef]
- Dewilde, T.; Sels, P.; Cattrysse, D.; Vansteenwegen, P. Improving the robustness in railway station areas. Eur. J. Oper. Res. 2014, 235, 276–286. [Google Scholar] [CrossRef]
- Corman, F.; Goverde RM, P.; D’Ariano, A. Rescheduling dense train traffic over complex station interlocking areas. In Robust and Online Large-Scale Optimization; Springer: Berlin/Heidelberg, Germany, 2009; pp. 369–386. [Google Scholar]
- Lusby, R.M.; Larsen, J.; Ehrgott, M.; Ryan, D.M. A set packing inspired method for real-time junction train routing. Comput. Oper. Res. 2013, 40, 713–724. [Google Scholar] [CrossRef]
- Pellegrini, P.; Marlière, G.; Rodriguez, J. Optimal train routing and scheduling for managing traffic perturbations in complex junctions. Transp. Res. Part B Methodol. 2014, 59, 58–80. [Google Scholar] [CrossRef]
- Pellegrini, P.; Pesenti, R.; Rodriguez, J. Efficient train re-routing and rescheduling: Valid inequalities and reformulation of RECIFE-MILP. Transp. Res. Part B Methodol. 2019, 120, 33–48. [Google Scholar] [CrossRef]
- Sels, P.; Cattrysse, D.; Vansteenwegen, P. Automated platforming & routing of trains in all Belgian railway stations. Expert Syst. Appl. 2016, 62, 302–316. [Google Scholar]
- Matteo, F.; Michele, M. Using a general-purpose Mixed-Integer Linear Programming solver for the practical solution of real-time train rescheduling. Eur. J. Oper. Res. 2017, 263, 258–264. [Google Scholar]
- Meng, X.; Wang, Y.; Xiang, W.; Jia, L. An integrated model for train rescheduling and station track assignment. IET Intell. Transp. Syst. 2020, 15, 17–30. [Google Scholar] [CrossRef]
- Neeraj, K.; Abhishek, M. An efficient method of disturbance analysis and train rescheduling using MWDLNN and BMW-SSO algorithms. Soft Comput. 2021, 25, 12031–12041. [Google Scholar]
- Wang, Y.; Song, R.; He, S.; Song, Z. Train Routing and Track Allocation Optimization Model of Multi-Station High-Speed Railway Hub. Sustainability 2022, 14, 7292. [Google Scholar] [CrossRef]
- García-Ródenas, R.; López-García, M.L.; Cadarso, L.; Codina, E. A Mixed-integer Linear Program for Real-time Train Platforming Management. Transp. Res. Procedia 2022, 62, 815–823. [Google Scholar] [CrossRef]
- Zeng, Q.; Zhang, Y.; Su, H.; Hu, R. Robustness-Oriented Optimization of Train Platforming Problem in Busy Complex Railway Station. Math. Probl. Eng. 2022, 2022, 1–10. [Google Scholar] [CrossRef]
- Li, H.; Jin, M.; He, S.; Ye, Z.; Song, J. Optimal track utilization in electric multiple unit maintenance depots. Comput. Ind. Eng. 2017, 108, 81–87. [Google Scholar] [CrossRef]
- Haahr, J.T.; Lusby, R.M.; Wagenaar, J.C. Optimization methods for the train unit shunting problem. Eur. J. Oper. Res. 2017, 262, 981–995. [Google Scholar] [CrossRef]
- Guo, B.; Wu, W.; Zhu, X. Analysis and model the rolling stock shunting plan safety optimization problem in the hub type high-speed railway station. In Proceedings of the 2020 International Conference on Urban Engineering and Management Science (ICUEMS), Zhuhai, China, 24–26 April 2020; IEEE: Piscataway, NJ, USA, 2020; pp. 472–475. [Google Scholar]
- Wang, J.; Lin, B.; Jin, J. Optimizing the shunting schedule of electric multiple units depot using an enhanced particle swarm optimization algorithm. Comput. Intell. Neurosci. 2016, 2016, 1–11. [Google Scholar] [CrossRef] [PubMed]
- Miranda, P.L.; Cordeau, J.F.; Frejinger, E. A time–space formulation for the locomotive routing problem at the Canadian National Railways. Comput. Oper. Res. 2022, 139, 105629. [Google Scholar] [CrossRef]
- Chen, W.; Yang, W.; Zhang, G. Track Utilization Optimization Method for Arrival Yard of Marshalling Station Considering Arrival and Break-Up Coordination Operation. Mathematics 2022, 10, 3289. [Google Scholar] [CrossRef]
- Zhang, Y.; Song, R.; He, S.; Li, H.; Guo, X. Optimization of Classification Track Assignment Considering Block Sequence at Train Marshaling Yard. J. Adv. Transp. 2018, 2018, 1–11. [Google Scholar] [CrossRef]
- Schasfoort, B.; Gkiotsalitis, K.; Eikenbroek, O.; van Berkum, E. A dynamic model for real-time track assignment at railway yards. J. Rail Transp. Plan. Manag. 2020, 14, 100198. [Google Scholar] [CrossRef]
- Shi, J.; Li, H. Optimization of the Shunting Operation Plan at Electric Multiple Units Depots. J. Adv. Transp. 2019, 2019. [Google Scholar] [CrossRef]
- Liu, W.; Zhu, X.; Kang, L. Real-time track reallocation for emergency incidents at large railway stations. Mathematical Problems in Engineering 2019, 2019, 1–15. [Google Scholar] [CrossRef]
- Wang, H.; Yue, Y. Optimizing train-platforming plans at arrival-departure tracks of high-speed railway stations. In Proceedings of the 2020 IEEE 5th International Conference on Intelligent Transportation Engineering (ICITE), Beijing, China, 11–13 September 2020; IEEE: Piscataway, NJ, USA, 2020; pp. 461–466. [Google Scholar]
- Zeng, Q.; Hu, R.; Zhang, Y.; Su, H.; Liu, Y. A Genetic Simulated Annealing Algorithm for Real-Time Track Reallocation in Busy Complex Railway Station. Math. Probl. Eng. 2022, 2022, 1–13. [Google Scholar] [CrossRef]
- Carey, M.; Carville, S. Scheduling and Platforming Trains at Busy Complex Stations. Transp. Res. Part A Policy Pract. 2003, 37, 195–224. [Google Scholar] [CrossRef]
Disclaimer/Publisher’s Note: The statements, opinions and data contained in all publications are solely those of the individual author(s) and contributor(s) and not of MDPI and/or the editor(s). MDPI and/or the editor(s) disclaim responsibility for any injury to people or property resulting from any ideas, methods, instructions or products referred to in the content. |
© 2023 by the authors. Licensee MDPI, Basel, Switzerland. This article is an open access article distributed under the terms and conditions of the Creative Commons Attribution (CC BY) license (https://creativecommons.org/licenses/by/4.0/).