Contagion Patterns Classification in Stock Indices: A Functional Clustering Analysis Using Decision Trees
Abstract
1. Introduction
2. Contagion Literature Related to Financial Link: Different Study Approaches and Tools
3. Contagion Patterns among Economies and Economic Activity
4. Methodology
4.1. B-Spline Method and Bezier Curves
4.2. Functional Principal Component Analysis
4.3. Classification Trees and Penalized Multinomial Regression (RIDGE and LASSO)
- Each node is divided according to a test that is raised based on the value of some of the defined characteristics. In the case of binary analysis, false or true, the variables that meet the conditions are assigned to the child nodes and the remaining ones to the other. It is necessary to propose a measure of impurity. In this sense, the measures of Entropy and the Gini Index used by the CART algorithm stand out. This process is performed iteratively.
- The partitioning node process is stopped when an established condition is met. There are several possibilities, among others, to stop the division of the nodes when they are pure, when their size is less than a certain threshold, or in the case that they exceed a certain level of purity considered in terms of the proportion of the majority class, or to use the gain of information or reduction of impurity as a criterion to stop the growth of the tree.
5. Data, Empirical Results, and Their Discussion
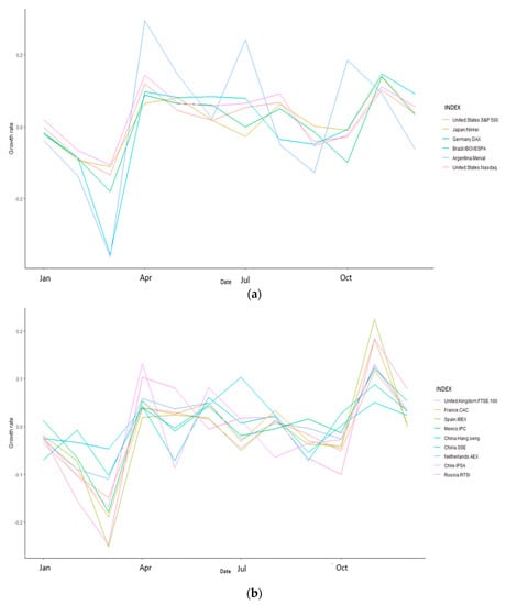
5.1. Observations Smoothing and Dynamic Correlation: Functional Approach
5.2. Functional Principal Components
5.3. Behavior Pattern of Stock Indices through k-Means
5.4. Stock Indices Contagion through K-Means and Slinding Windows
5.5. Macroeconomic and Financial Variables as Determinants of Stock Market Contagion
6. Conclusions
Author Contributions
Funding
Institutional Review Board Statement
Informed Consent Statement
Data Availability Statement
Acknowledgments
Conflicts of Interest
References
- Zhou, Z.; Lin, L.; Li, S. International stock market contagion. A CEEMDAN wavelet analysis. Econ. Model. 2018, 72, 333–352. [Google Scholar] [CrossRef]
- BenMim, I.; BenSaïda, A. Financial contagion across major stock markets: A study during crisis episodes. N. Am. J. Econ. Financ. 2019, 48, 187–201. [Google Scholar] [CrossRef]
- Kao, Y.S.; Zhao, K.; Ku, Y.C.; Nieh, C.C. The asymmetric contagion effect from the U.S. stock market around the subprime crisis between 2007 and 2010. Econ. Res. Ekon. Istraz. 2019, 32, 2422–2454. [Google Scholar] [CrossRef]
- Kao, W.S.; Kao, T.C.; Changchien, C.C.; Wang, L.H.; Yeh, K.T. Contagion in international stock markets after the subprime mortgage crisis. Chin. Econ. 2018, 51, 130–153. [Google Scholar] [CrossRef]
- Okorie, D.I.; Lin, B. Stock markets and the COVID-19 fractal contagion effects. Financ. Res. Lett. 2021, 38, 101640. [Google Scholar] [CrossRef]
- Yarovaya, L.; Brzeszczyński, J.; Goodell, J.W.; Lucey, B.; Lau, C.K.M. Rethinking financial contagion: Information transmission mechanism during the COVID-19 pandemic. J. Int. Financ. Mark. Inst. Money 2022, 79, 101589. [Google Scholar] [CrossRef]
- Akhtaruzzaman, M.; Abdel-Qader, W.; Hammami, H.; Shams, S. Is China a source of financial contagion? Financ. Res. Lett. 2021, 38, 101393. [Google Scholar] [CrossRef]
- Mohti, W.; Dionísio, A.; Ferreira, P.; Vieira, I. Contagion of the subprime financial crisis on frontier stock markets: A copula analysis. Economies 2019, 7, 15. [Google Scholar] [CrossRef]
- Zorgati, I.; Lakhal, F.; Zaabi, E. Financial contagion in the subprime crisis context: A copula approach. N. Am. J. Econ. Financ. 2019, 47, 269–282. [Google Scholar] [CrossRef]
- Banerjee, A.K. Futures market and the contagion effect of COVID-19 syndrome. Financ. Res. Lett. 2021, 43, 102018. [Google Scholar] [CrossRef]
- Haile, F.; Pozo, S. Currency crisis contagion and the identification of transmission channels. Int. Rev. Econ. Financ. 2008, 17, 572–588. [Google Scholar] [CrossRef]
- Bekaert, G.; Ehrmann, M.; Fratzscher, M.; Mehl, A. Global Crises and Equity Market Contagion—Working Paper Series 1381, European Central Bank 2011. Available online: https://www.ecb.europa.eu//pub/pdf/scpwps/ecbwp1381.pdf (accessed on 14 January 2023).
- Gkillas, K.; Tsagkanos, A.; Vortelinos, D.I. Integration and risk contagion in financial crises: Evidence from international stock markets. J. Bus. Res. 2019, 104, 350–365. [Google Scholar] [CrossRef]
- Ye, W.; Jiang, K.; Liu, X. Financial contagion and the TIR-MIDAS model. Financ. Res. Lett. 2021, 39, 101589. [Google Scholar] [CrossRef]
- Altınbaş, H.; Pacelli, V.; Sica, E. An empirical assessment of the contagion determinants in the Euro Area in a period of sovereign debt risk. Ital. Econ. J. 2021, 8, 339–371. [Google Scholar] [CrossRef]
- Friedman, J.; Hastie, T.; Tibshirani, R. Regularization paths for generalized linear models via coordinate descent. J. Stat. Softw. 2010, 33, 1–22. Available online: https://pubmed.ncbi.nlm.nih.gov/20808728/ (accessed on 9 May 2023). [CrossRef]
- Pericoli, M.; Sbracia, M. A primer on financial contagion. J. Econ. Surv. 2003, 17, 573–575. [Google Scholar] [CrossRef]
- Toribio-Dávila, J.J. El contagio económico y financiero: Conceptos básicos. In La Crisis en Europa: ¿Un Problema de Deuda Soberana o Una Crisis del Euro? 1st ed.; Méndez-de-Andés-Fernández, F., Ed.; Fundación de Estudios Financieros; Universidad de la Rioja: Logroño, Spain, 2012; pp. 29–38. Available online: https://dialnet.unirioja.es/servlet/articulo?codigo=3928905 (accessed on 19 January 2023).
- Rojas-Mora, J.; Chamorro-Futinico, J. Dinámica y volatilidad en los índices bursátiles de los países de la Alianza Pacífico. Panor. Económico 2017, 24, 71–84. [Google Scholar] [CrossRef][Green Version]
- Sosa, M.; Ortiz, E. Global financial crisis volatility impact and contagion effect on NAFTA equity markets. Estocástica Finanz. y Riesgo 2016, 7, 67–88. Available online: http://zaloamati.azc.uam.mx/handle/11191/4946 (accessed on 13 May 2023). [CrossRef]
- Gavidia-Pantoja, L.A. Contagio Entre los Mercados Bursátiles Latinoamericanos. Una Aproximación a Través de Cópulas Cambiantes en el Tiempo; Pontificia Universidad Católica del Perú (PUCP): Lima, Perú, 2017; manuscript in preparation; Available online: https://www.researchgate.net/profile/Luis-Gavidia/project/Latin-American-Stock-Market-Linkages-A-time-varying-copulas-aproach/attachment/59ee81d54cde2617ef868f49/AS:552774123388928@1508803029676/download/Seminario+de+Tesisi_Parcial.pdf?context=ProjectUpdatesLog (accessed on 6 February 2023).
- Bucio-Pacheco, C.; Gutiérrez, R.; Sosa-Castro, M.M. Contagio vía copulas dinámicas en los mercados de capitales del TLCAN de 2000 a 2016. EconoQuantum 2018, 16, 65–80. [Google Scholar] [CrossRef]
- Díaz-Rodríguez, H.; Bucio, C. Contagio bursátil en los mercados del TLCAN, países emergentes y el mercado global. Rev. Mex. Econ. Finanz. 2018, 13, 345–361. [Google Scholar] [CrossRef]
- Santillán-Salgado, R.J.; Gurrola-Ríos, C.; Jiménez-Preciado, A.L.; Venegas-Martínez, F. La dependencia del Índice de Precios y Cotizaciones de la Bolsa Mexicana de Valores (IPC) con respecto a los principales índices bursátiles latinoamericanos. Contaduría Adm. 2018, 63, 1–18. [Google Scholar] [CrossRef]
- Piffaut, P.V.; Miró, D.R. Integración, contagio financiero y riesgo bursátil: ¿qué nos dice la evidencia empírica para el periodo 1995–2016? Cuad. Econ. 2016, 39, 138–145. [Google Scholar] [CrossRef]
- Akhtaruzzaman, M.; Boubaker, S.; Sensoy, A. Financial contagion during COVID–19 crisis. Financ. Res. Lett. 2021, 38, 1–16. [Google Scholar] [CrossRef] [PubMed]
- Vortelinos, D.I.; Gkillas, K.; Tsagkanos, A. Integration, Contagion and Risk Contagion in Financial Crises: Evidence from International Stock Markets; Working Paper; Lincoln International Business School: Lincoln, UK, 2017; Available online: https://efmaefm.org/0EFMAMEETINGS/EFMA%20ANNUAL%20MEETINGS/2017-Athens/papers/EFMA2017_0340_fullpaper.pdf (accessed on 2 February 2023).
- Uddin, G.S.; Yahya, M.; Goswami, G.G.; Lucey, B.; Ahmed, A. Stock market contagion during the COVID-19 pandemic in emerging economies. Int. Rev. Econ. Financ. 2022, 79, 302–309. [Google Scholar] [CrossRef]
- Ji, X.; Wang, S.; Xiao, H.; Bu, N.; Lin, X. Contagion Effect of Financial Markets in Crisis: An Analysis Based on the DCC–MGARCH Model. Mathematics 2022, 10, 1819. [Google Scholar] [CrossRef]
- Davidescu, A.A.; Manta, E.M.; Hapau, R.G.; Gruiescu, M.; Vacaru (Boita), O.M. Exploring the Contagion Effect from Developed to Emerging CEE Financial Markets. Mathematics 2023, 11, 666. [Google Scholar] [CrossRef]
- Bildirici, M.E.; Salman, M.; Ersin, Ö.Ö. Nonlinear Contagion and Causality Nexus between Oil, Gold, VIX Investor Sentiment, Exchange Rate and Stock Market Returns: The MS-GARCH Copula Causality Method. Mathematics 2022, 10, 4035. [Google Scholar] [CrossRef]
- Ramírez-Silva, R.A.; Nacional, I.P.; Cruz-Aké, S.; Venegas-Martínez, F. Volatility Contagion of Stock Returns of Microfinance Institutions in Emerging Markets: A DCC-M-GARCH Model. Rev. Mex. Econ. Finanz. 2018, 13, 325–343. [Google Scholar] [CrossRef]
- Carrion-i-Silvestre, J.L.; Villar, O. Dependencia y contagio financiero en los mercados bursátiles durante la gran recesión. In Proceedings of the XIV Encuentro de Economía Aplicada, Huelva, Spain, 2–3 June 2011; Available online: https://archivo.alde.es/encuentros.alde.es/anteriores/xiveea/trabajos/c/pdf/148.pdf (accessed on 12 January 2023).
- Ramsay, J.O.; Silverman, B.W. Functional Data Analysis, 2nd ed.; Springer: New York, NY, USA, 2005; pp. 147–172. [Google Scholar] [CrossRef]
- Lin Shang, H. Visualizing and Forecasting Functional Time Series. Ph.D. Thesis, Department of Econometrics and Business Statistics Monash University, Melbourne, Australia, 2010. Available online: https://bridges.monash.edu/articles/thesis/Visualizing_and_forecasting_functional_time_series/4546333/1 (accessed on 21 March 2023).
- Dewandaru, G.; Masih, R.; Masih, A.M.M. Contagion and interdependence across Asia-Pacific equity markets: An analysis based on multi-horizon discrete and continuous wavelet transformations. Int. Rev. Econ. Financ. 2016, 43, 363–375. [Google Scholar] [CrossRef]
- Hassan, M.K.; Sánchez, B.; Yu, J.S. Financial development, and economic growth: New evidence from panel data. Q. Rev. Econ. Financ. 2011, 51, 88–100. [Google Scholar] [CrossRef]
- De la Cruz-Gallegos, J.L.; Lizárraga, J.Á.A. Crecimiento económico y el crédito bancario: Un análisis de causalidad para México. Rev. Econ. Fac. Econ. Univ. Autónoma Yucatán 2011, 28, 10–32. [Google Scholar] [CrossRef]
- Lezama-Palomino, J.C.; Laverde-Sarmiento, M.Á.; Gómez-Restrepo, C.A. El Mercado De Valores Y Su Influencia En La Economía: Estudio Del Caso Colombiano 2001–2013 (The Stock Market and its Impact on the Economy: A Colombian Case Study 2001–2013). Rev. Int. Adm. Finanz. 2017, 10, 29–37. Available online: https://papers.ssrn.com/sol3/papers.cfm?abstract_id=3039736 (accessed on 3 May 2023).
- Landa-Díaz, H.O.; Silva-Barrón, T. Impacto del desarrollo financiero en el crecimiento económico de América Latina. Contaduría Y Adm. 2021, 66, 1–21. [Google Scholar] [CrossRef]
- Bernárdez-Castrejón, J.M. Relación Entre la Bolsa Europea y el Crecimiento Económico. Master’s Thesis, Repositorio Institucional de la Universidad Complutense, Madrid, Spain, 2021. Available online: https://eprints.ucm.es/id/eprint/67138/ (accessed on 27 March 2023).
- Vidal-Avello, I. Determinantes del Contagio de Crisis Financieras. Master’s Thesis, Universidad de Talca, Facultad de Economía y Negocios, Maule, Chile, 2019. Available online: http://dspace.utalca.cl/handle/1950/11975 (accessed on 19 January 2023).
- Chávez-Chong, C.O.; Sánchez-García, J.E.; De-la-Cerda, J. Análisis de componentes principales funcionales en series de tiempo económicas (Analysis of principal functional components in economic time series). GECONTEC. Rev. Int. Gestión Conoc. Tecnol. 2015, 3, 13–14. Available online: https://papers.ssrn.com/sol3/papers.cfm?abstract_id=2737561 (accessed on 28 January 2023).
- Ramsay, J.O.; Hooker, G.; Graves, S. Functional Data Analysis with R and MATLAB; Springer: New York, NY, USA, 2009; p. 56. Available online: https://mobt3ath.com/uplode/book/book-61855.pdf (accessed on 13 May 2023).
- Gámez-Martínez, M.; Alfaro-Cortés, E.; Alfaro-Navarro, J.L.; García-Rubio, N. Árboles de clasificación para el análisis de gráficos de control multivariantes. Rev. Mat. Teoría Apl. 2009, 16, 34. [Google Scholar] [CrossRef]
- Kamiński, B.; Jakubczyk, M.; Szufel, P. A framework for sensitivity analysis of decision trees. Cent. Eur. J. Oper. Res. 2018, 26, 135–159. [Google Scholar] [CrossRef] [PubMed]
- Chang, Y.C.; Chang, K.H.; Wu, G.J. Application of eXtreme gradient boosting trees in the construction of credit risk assessment models for financial institutions. Appl. Soft Comput. 2018, 73, 914–920. [Google Scholar] [CrossRef]
- Xia, Y.; He, L.; Li, Y.; Fu, Y.; Xu, Y. A dynamic credit scoring model based on survival gradient boosting decision tree approach. Technol. Econ. Dev. Econ. 2021, 27, 96–119. [Google Scholar] [CrossRef]
- Deng, S.; Wang, C.; Wang, M.; Sun, Z. A gradient boosting decision tree approach for insider trading identification: An empirical model evaluation of China stock market. Appl. Soft Comput. 2019, 83, 105652. [Google Scholar] [CrossRef]
- Yu, J.; Zhao, J. Prediction of systemic risk contagion based on a dynamic complex network model using machine learning algorithm. Complexity 2020, 2020, 6035372. [Google Scholar] [CrossRef]
- Kristóf, T.; Virág, M. EU-27 bank failure prediction with C5. 0 decision trees and deep learning neural networks. Res. Int. Bus. Financ. 2022, 61, 101644. [Google Scholar] [CrossRef]
- Chevallier, J. COVID-19 pandemic and financial contagion. J. Risk Financ. Manag. 2020, 13, 309. [Google Scholar] [CrossRef]
















| Country | Stock Index |
|---|---|
| America | |
| United Estates | S&P 500, Dow Jones and Nasdaq |
| Mexico | IPC |
| Brazil | IBOVESPA |
| Argentina | MERVAL |
| Chile | IPSA |
| Canada | TSX |
| Europe | |
| United Kingdom | FTSE 100 |
| France | CAC |
| Spain | IBEX |
| Germany | DAX |
| Swiss | SMI |
| Netherlands | AEX |
| Asia | |
| Japan | Nikkei |
| China | Hang Seng and SSE |
| Russia | RTSI |
| High Correlation (Top 5) | Low Correlation (Top 5) | ||
|---|---|---|---|
| S&P 500 and Merval | 0.956 | S&P 500 and IBEX | 0.041 |
| DAX and S&P 500 | 0.939 | Nikkei and IBEX | 0.235 |
| DAX and Dow Jones | 0.938 | IPC and CAC | 0.152 |
| Merval and Nasdaq | 0.963 | RTSI and Nasdaq | 0.156 |
| IPC and TSX | 0.902 | RTSI and AEX | 0.087 |
| Group 1 | |
| Rule | Conditions |
| 1 | GDP > $1,275,551,818,841.76 and Domestic credit < 110.49% |
| 2 | $1,275,551,818,841.76 < GDP < $1,691,268,576,062.40 and Domestic credit > 110.49% |
| Group 2 | |
| Rule | Conditions |
| 1 | GDP < $1,275,551,818,841.76 |
| 2 | GDP > $1,691,268,576,062.40 and Domestic credit > 110.49% |
| Group 1 | |
| Rule | Conditions |
| 1 | BIG MAC > 1.09939794 and Companies < 2923 |
| 2 | BIG MAC > 1.09939794, Companies > 2923 and Companies > 3684 |
| Group 2 | |
| Rule | Conditions |
| 1 | BIG MAC < 1.09939794 |
| 2 | BIG MAC > 1.09939794, Companies > 2923, and Companies < 3684 |
| Group 2 | |
| Rule | Conditions |
| 1 | BIG MAC > 4.72 |
| 2 | BIG MAC < 4.72 and FDI < $1,088,536,532.15 |
| Group 3 | |
| Rule | Conditions |
| 1 | BIG MAC < 2.29 and Companies listed on the stock market < 309 |
| Group 1 | |
| Rule | Conditions |
| 1 | CPI < 134.63, companies < 1399 |
| 2 | CPI < 134.63 and Companies > 1399 and GDP > $2,841,064,722,124.72 |
| 3 | CPI < 134.63 and Companies > 1399 and GDP < $1,148,180,923,182.96 |
| Group 2 | |
| Rule | Conditions |
| 1 | CPI >134.63 |
| 2 | CPI < 134.63 and Companies > 1399 and GDP > $1,148,180,923,182.96 |
| Group 1 | |
| Rule | Conditions |
| 1 | FDI > $133,091,140,846.40 |
| 2 | FDI < $23,232,081,879.27 and GDP > $163,274,717,087.92 |
| Group 2 | |
| Rule | Conditions |
| 1 | FDI > $23,232,081,879.27 |
| 2 | FDI < $23,232,081,879.27 and GDP < $163,274,717,087.92 |
| Variable | Coefficient | Z-Statistic | p-Value |
|---|---|---|---|
| GDP | 4.1395 | 2.2226 | 0.0262 |
| CPI | −1.4795 | −1.0681 | 0.2855 |
| FDI | 0.3523 | 1.3162 | 0.1881 |
| DC | 0.8133 | 0.7098 | 0.4778 |
| GFCF | −4.7518 | −2.2575 | 0.0240 |
| BIGMAC | 0.6430 | 0.4447 | 0.6565 |
| EXP | 2.9238 | 2.0967 | 0.0360 |
| GEXP | −4.5190 | −2.5571 | 0.0106 |
| COMP | 1.6598 | 1.7018 | 0.0888 |
| SHARES | −1.9020 | −1.9548 | 0.0506 |
| GDP | FDI | Domestic Credit | Companies | CPI | BIC MAC | Exports | GFCF | GOV EXP (%GDP) | |
|---|---|---|---|---|---|---|---|---|---|
| RIDGE regression | |||||||||
| Group 1 | 0.00067 | 0.00034 | 0.00042 | 0.00015 | 0.00265 | 0.00023 | 0.00040 | 0.00058 | −0.00124 |
| Group 2 | −0.00067 | −0.00034 | −0.00042 | −0.00015 | −0.00265 | −0.00023 | −0.00040 | −0.00058 | 0.00124 |
| LASSO regression | |||||||||
| Group 1 | 0.02429 | 0 | 0 | 0 | 0 | 0 | 0 | 0 | 0 |
| Group 2 | −0.02429 | 0 | 0 | 0 | 0 | 0 | 0 | 0 | 0 |
| GDP | FDI | Domestic Credit | Companies | CPI | BIC MAC | Exports | GFCF | GOV EXP (%GDP) | |
|---|---|---|---|---|---|---|---|---|---|
| RIDGE regression | |||||||||
| Group 2 | 0.03006 | 0.06470 | 0.14704 | −0.12792 | 0.49732 | 0.53000 | 0.06403 | 0.02800 | 0.26360 |
| Group 3 | 0.05722 | 0.03348 | 0.01327 | 0.06779 | 0.93324 | 0.08871 | 0.03768 | 0.00273 | 0.24787 |
| Group 4 | 0.02716 | 0.03121 | 0.13376 | 0.06012 | 0.43592 | 0.61871 | 0.02635 | 0.02526 | 0.01572 |
| LASSO regression | |||||||||
| Group 2 | 0 | −0.17455 | 0 | −0.16634 | 0 | 1.9799 | 0 | 0 | 0.08004 |
| Group 3 | 0.23696 | 0.05155 | 0 | 0 | −3.2138 | 0 | 0 | 0 | 0 |
| Group 4 | 0 | 0 | 0 | 0 | 0 | −2.2828 | 0 | 0 | 0 |
| GDP | FDI | Domestic Credit | Companies | CPI | BIC MAC | Exports | GFCF | GOV EXP (%GDP) | |
|---|---|---|---|---|---|---|---|---|---|
| RIDGE regression | |||||||||
| Group 1 | −0.03137 | 0.01944 | −0.02089 | −0.03852 | 0.39646 | −0.05167 | 0.01168 | −0.01367 | 0.14407 |
| Group 2 | 0.03137 | −0.01944 | 0.02089 | 0.03852 | −0.39646 | 0.05167 | −0.01168 | 0.01367 | −0.14407 |
| LASSO regression | |||||||||
| Group 1 | −0.17129 | 0 | 0 | 0 | 1.94668 | 0 | 0 | 0 | 0.59491 |
| Group 2 | 0.17129 | 0 | 0 | 0 | −1.94668 | 0 | 0 | 0 | −0.59491 |
Disclaimer/Publisher’s Note: The statements, opinions and data contained in all publications are solely those of the individual author(s) and contributor(s) and not of MDPI and/or the editor(s). MDPI and/or the editor(s) disclaim responsibility for any injury to people or property resulting from any ideas, methods, instructions or products referred to in the content. |
© 2023 by the authors. Licensee MDPI, Basel, Switzerland. This article is an open access article distributed under the terms and conditions of the Creative Commons Attribution (CC BY) license (https://creativecommons.org/licenses/by/4.0/).
Share and Cite
Razo-De-Anda, J.O.; Romero-Castro, L.L.; Venegas-Martínez, F. Contagion Patterns Classification in Stock Indices: A Functional Clustering Analysis Using Decision Trees. Mathematics 2023, 11, 2961. https://doi.org/10.3390/math11132961
Razo-De-Anda JO, Romero-Castro LL, Venegas-Martínez F. Contagion Patterns Classification in Stock Indices: A Functional Clustering Analysis Using Decision Trees. Mathematics. 2023; 11(13):2961. https://doi.org/10.3390/math11132961
Chicago/Turabian StyleRazo-De-Anda, Jorge Omar, Luis Lorenzo Romero-Castro, and Francisco Venegas-Martínez. 2023. "Contagion Patterns Classification in Stock Indices: A Functional Clustering Analysis Using Decision Trees" Mathematics 11, no. 13: 2961. https://doi.org/10.3390/math11132961
APA StyleRazo-De-Anda, J. O., Romero-Castro, L. L., & Venegas-Martínez, F. (2023). Contagion Patterns Classification in Stock Indices: A Functional Clustering Analysis Using Decision Trees. Mathematics, 11(13), 2961. https://doi.org/10.3390/math11132961

