Combination of Multigrid with Constraint Data for Inverse Problem of Nonlinear Diffusion Equation
Abstract
1. Introduction
2. Inversion Framework and Iterative Method
3. Multigrid Method with Constraints
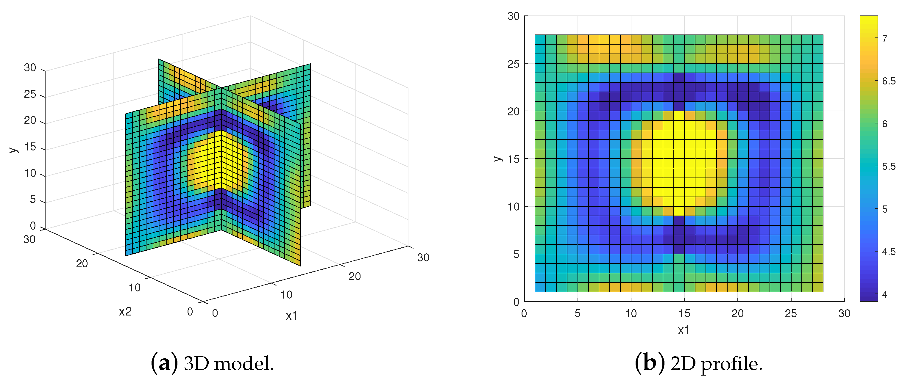
4. Numerical Results
4.1. Example 1
4.2. Example 2
5. Conclusions
Author Contributions
Funding
Data Availability Statement
Conflicts of Interest
References
- Hadamard, J. Lectures on Cauchy Problems in Linear Partial Differential Equations; Yale University Press: New Haven, CT, USA, 1923. [Google Scholar]
- Dippon, J.; Gwinner, J.; Khan, A.A.; Sama, M. A new regularized stochastic approximation framework for stochastic inverse problems. Nonlinear Anal. Real World Appl. 2023, 73, 103869. [Google Scholar] [CrossRef]
- Dambrine, M.; Khan, A.A.; Sama, M. A stochastic regularized second-order iterative scheme for optimal control and inverse problems in stochastic partial differential equations. Philos. Trans. R. Soc. A 2022, 380, 20210352. [Google Scholar] [CrossRef] [PubMed]
- Georgiev, S.; Vulkov, L. Parameters identification and numerical simulation for a fractional model of honeybee population dynamics. Fractal Fract. 2023, 7, 311. [Google Scholar] [CrossRef]
- Georgiev, S.G.; Vulkov, L.G. Coefficient identification in a SIS fractional-order modelling of economic losses in the propagation of COVID-19. J. Comput. Sci. 2023, 69, 102007. [Google Scholar] [CrossRef] [PubMed]
- Shivanian, E.; Jafarabadi, A. The numerical solution for the time-fractional inverse problem of diffusion equation. Eng. Anal. Bound. Elem. 2018, 91, 50–59. [Google Scholar] [CrossRef]
- Abdelwahed, M.; BenSaleh, M.; Chorfi, N.; Hassine, M. An inverse problem study related to a fractional diffusion equation. J. Math. Anal. Appl. 2022, 512, 126145. [Google Scholar] [CrossRef]
- Zhang, Z.Y.; Zhang, H.; Liu, Y.; Li, J.Y.; Liu, C.B. Generalized conditional symmetry enhanced physics-informed neural network and application to the forward and inverse problems of nonlinear diffusion equations. Chaos Soliton. Fract. 2023, 168, 113169. [Google Scholar] [CrossRef]
- Shivanian, E.; Jafarabadi, A. The spectral meshless radial point interpolation method for solving an inverse source problem of the time-fractional diffusion equation. Appl. Numer. Math. 2018, 129, 1–25. [Google Scholar] [CrossRef]
- BenSalah, M. Topological sensitivity analysis method in identifying of point sources via time-fractional diffusion equation. Acta Appl. Math. 2022, 181, 4. [Google Scholar] [CrossRef]
- Seblani, Y.E.; Shivanian, E. New insight into meshless radial point Hermite interpolation through direct and inverse 2-D reaction-diffusion equation. Eng. Comput. 2021, 37, 3605–3613. [Google Scholar] [CrossRef]
- BenSalah, M.; Hassine, M. Inverse source problem for a diffusion equation involving the fractional spectral Laplacian. Math. Methods Appl. Sci. 2021, 44, 917–936. [Google Scholar] [CrossRef]
- Rodrigues, F.A.; Orlande, H.R.; Dulikravich, G.S. Simultaneous estimation of spatially dependent diffusion coefficient and source term in a nonlinear 1D diffusion problem. Math. Comput. Simul. 2004, 66, 409–424. [Google Scholar] [CrossRef]
- Rashedi, K. A numerical solution of an inverse diffusion problem based on operational matrices of orthonormal polynomials. Math. Methods Appl. Sci. 2021, 44, 12980–12997. [Google Scholar] [CrossRef]
- Lukyanenko, D.V.; Grigorev, V.B.; Volkov, V.T.; Shishlenin, M.A. Solving of the coefficient inverse problem for a nonlinear singularly perturbed two-dimensional reaction-diffusion equation with the location of moving front data. Comput. Math. Appl. 2019, 77, 1245–1254. [Google Scholar] [CrossRef]
- Garmatter, D.; Haasdonk, B.; Harrach, B. A reduced basis Landweber method for nonlinear inverse problems. Inverse Probl. 2016, 32, 035001. [Google Scholar] [CrossRef]
- Al-Mahdawi, H.K.I.; Alkattan, H.; Abotaleb, M.; Kadi, A.; El-kenawy, E.S.M. Updating the landweber iteration method for solving inverse problems. Mathematics 2022, 10, 2798. [Google Scholar] [CrossRef]
- Bergou, E.H.; Diouane, Y.; Kungurtsev, V. Convergence and complexity analysis of a Levenberg–Marquardt algorithm for inverse problems. J. Optim. Theory Appl. 2020, 185, 927–944. [Google Scholar] [CrossRef]
- Jiang, Y.; Nakamura, G. Convergence of Levenberg-Marquardt method for the inverse problem with an interior measurement. J. Inverse Ill-Posed Probl. 2019, 27, 195–215. [Google Scholar] [CrossRef]
- Karabanova, O.V.; Kokurin, M.Y.; Kozlov, A.I. Finite dimensional iteratively regularized Gauss–Newton type methods and application to an inverse problem of the wave tomography with incomplete data range. Inverse Probl. Sci. Eng. 2020, 28, 637–661. [Google Scholar] [CrossRef]
- Bakushinsky, A.; Smirnova, A. A study of frozen iteratively regularized Gauss–Newton algorithm for nonlinear ill-posed problems under generalized normal solvability condition. J. Inverse Ill-Posed Probl. 2020, 28, 275–286. [Google Scholar] [CrossRef]
- Margenberg, N.; Hartmann, D.; Lessig, C.; Richter, T. A neural network multigrid solver for the Navier-Stokes equations. J. Comput. Phys. 2022, 460, 110983. [Google Scholar] [CrossRef]
- Antonietti, P.F.; Sarti, M.; Verani, M. Multigrid algorithms for hp-discontinuous Galerkin discretizations of elliptic problems. SIAM J. Numer. Anal. 2015, 53, 598–618. [Google Scholar] [CrossRef]
- Medina, A.C.; Schmid, R. Solution of high order compact discretized 3D elliptic partial differential equations by an accelerated multigrid method. J. Comput. Appl. Math. 2019, 350, 343–352. [Google Scholar] [CrossRef]
- Muratova, G.; Martynova, T.; Andreeva, E.; Bavin, V.; Wang, Z.Q. Numerical solution of the Navier-Stokes equations using multigrid methods with HSS-based and STS-based smoothers. Symmetry 2020, 12, 233. [Google Scholar] [CrossRef]
- Al-Mahdawi, H.K.I.; Abotaleb, M.; Alkattan, H.; Tareq, A.M.Z.; Badr, A.; Kadi, A. Multigrid method for solving inverse problems for heat equation. Mathematics 2022, 10, 2802. [Google Scholar] [CrossRef]
- Al-Mahdawi, H.K.; Sidikova, A.I.; Alkattan, H.; Abotaleb, M.; Kadi, A.; El-Kenawy, E.S.M. Parallel multigrid method for solving inverse problems. MethodsX 2022, 9, 101887. [Google Scholar] [CrossRef]
- Ye, J.C.; Bouman, C.A.; Webb, K.J.; Millane, R.P. Nonlinear multigrid algorithms for Bayesian optical diffusion tomography. IEEE Trans. Image Process. 2001, 10, 909–922. [Google Scholar]
- Oh, S.; Milstein, A.B.; Bouman, C.A.; Webb, K.J. A general framework for nonlinear multigrid inversion. IEEE Trans. Image Process. 2004, 14, 125–140. [Google Scholar]
- Li, S.; Montcel, B.; Yuan, Z.; Liu, W.; Vray, D. Multigrid-based reconstruction algorithm for quantitative photoacoustic tomography. Biomed. Opt. Express 2015, 6, 2424–2434. [Google Scholar] [CrossRef]
- Javaherian, A.; Holman, S. A multi-grid iterative method for photoacoustic tomography. IEEE Trans. Med. Imaging 2016, 36, 696–706. [Google Scholar] [CrossRef]
- Braun, E.C.; Bretti, G.; Natalini, R. Parameter estimation techniques for a chemotaxis model inspired by Cancer-on-Chip (COC) experiments. Int. J. Non-Linear Mech. 2022, 140, 103895. [Google Scholar] [CrossRef]
- Bretti, G.; De Ninno, A.; Natalini, R.; Peri, D.; Roselli, N. Estimation algorithm for a hybrid PDEODE model inspired by immunocompetent Cancer-on-Chip experiment. Axioms 2021, 10, 243. [Google Scholar] [CrossRef]
- Edjlali, E.; Bérubé-Lauzière, Y. Lq-Lp optimization for multigrid fluorescence tomography of small animals using simplified spherical harmonics. J. Quant. Spectrosc. Radiat. Transf. 2018, 205, 163–173. [Google Scholar] [CrossRef]
- Liu, T. A nonlinear multigrid method for inverse problem in the multiphase porous media flow. Appl. Math. Comput. 2018, 320, 271–281. [Google Scholar] [CrossRef]
- Jeong, D.; Li, Y.; Choi, Y.; Moon, K.S.; Kim, J. An adaptive multigrid technique for option pricing under the Black-Scholes model. J. Korean Soc. Ind. Appl. Math. 2013, 17, 295–306. [Google Scholar] [CrossRef]
- Clarke, N.; Parrott, K. Multigrid for American option pricing with stochastic volatility. Appl. Math. Financ. 1999, 6, 177–195. [Google Scholar] [CrossRef]
- Vignoli, G.; Fiandaca, G.; Christiansen, A.V.; Kirkegaard, C.; Auken, E. Sharp spatially constrained inversion with applications to transient electromagnetic data. Geophys. Prospect. 2015, 63, 243–255. [Google Scholar] [CrossRef]
- Babadagli, T.; Al-Salmi, S.J.S.R.E. A review of permeability-prediction methods for carbonate reservoirs using well-log data. SPE Reserv. Eval. Eng. 2004, 7, 75–88. [Google Scholar] [CrossRef]
- Lin, T.T.; Lin, X.X.; Yang, Z.J.; Wan, L.; Zhao, J.; Zhang, X.F.; Hao, W.J.; Zhang, Q. Joint and laterally constrained inversion of surface MRS and TEM data. Chin. J. Geophys. 2017, 60, 833–842. [Google Scholar]
- Fournier, A.; Clerget, C.H.; Bharadwaj, P.; Merciu, A.; Skar, G. A seismoelectric inverse problem with well-log data and borehole-confined acquisition. In Proceedings of the SEG International Exposition and Annual Meeting, San Antonio, TX, USA, 15–20 September 2019; p. SEG-2019-3216905. [Google Scholar]
- Behroozmand, A.A.; Auken, E.; Fiandaca, G.; Christiansen, A.V. Improvement in MRS parameter estimation by joint and laterally constrained inversion of MRS and TEM data. Geophysics 2012, 77, WB191–WB200. [Google Scholar] [CrossRef]
- Dall’Aglio, A.; Orsina, L. Existence results for some nonlinear parabolic equations with nonregular data. Differ. Integral Equ. 1992, 5, 1335–1354. [Google Scholar] [CrossRef]
- Prignet, A. Existence and uniqueness of “entropy” solutions of parabolic problems with L1 data. Nonlinear Anal. TMA 1997, 28, 1943–1954. [Google Scholar] [CrossRef]
- Boccardo, L.; Porzio, M.M.; Primo, A. Summability and existence results for nonlinear parabolic equations. Nonlinear Anal. TMA 2009, 71, 978–990. [Google Scholar] [CrossRef]
- Abdellaoui, M.; Azroul, E.; Redwane, H. Existence results for a class of nonlinear parabolic equations of generalized porous medium type with measure data. Ric. Mat. 2023, 72, 453–490. [Google Scholar] [CrossRef]
- Tatar, S.; Ulusoy, S. An inverse problem for a nonlinear diffusion equation with time-fractional derivative. J. Inverse Ill-Posed Probl. 2017, 25, 185–193. [Google Scholar] [CrossRef]
- Egger, H.; Pietschmann, J.F.; Schlottbom, M. On the uniqueness of nonlinear diffusion coefficients in the presence of lower order terms. Inverse Probl. 2017, 33, 115005. [Google Scholar] [CrossRef]
- Abtahi, M.; Pourgholi, R.; Shidfar, A. Existence and uniqueness of a solution for a two dimensional nonlinear inverse diffusion problem. Nonlinear Anal. TMA 2011, 74, 2462–2467. [Google Scholar] [CrossRef]
- Zhao, J.; Liu, T.; Liu, S. Identification of space-dependent permeability in nonlinear diffusion equation from interior measurements using wavelet multiscale method. Inverse Probl. Sci. Eng. 2014, 22, 507–529. [Google Scholar] [CrossRef]














| Noise Level | MGMC | MGM | FGMC | |
|---|---|---|---|---|
| Computation times | 5% | 259.7277 | 290.8756 | 499.3136 |
| (seconds) | 10% | 260.1248 | 292.8695 | 504.0138 |
| 15% | 264.4826 | × | 510.7545 | |
| 20% | 268.3424 | × | × | |
| Relative errors | 5% | 6.64% | 8.17% | 6.81% |
| 10% | 6.75% | 9.11% | 7.54% | |
| 15% | 7.18% | × | 8.67% | |
| 20% | 8.31% | × | × |
| Noise Level | MGMC | MGM | FGMC | |
|---|---|---|---|---|
| Computation times | 5% | 331.7824 | 360.3283 | 644.5451 |
| (seconds) | 10% | 334.5813 | 366.3703 | 651.8835 |
| 15% | 350.5091 | × | × | |
| 20% | 393.5369 | × | × | |
| Relative errors | 5% | 4.97% | 7.39% | 5.16% |
| 10% | 5.13% | 8.59% | 7.15% | |
| 15% | 5.39% | × | × | |
| 20% | 6.10% | × | × |
Disclaimer/Publisher’s Note: The statements, opinions and data contained in all publications are solely those of the individual author(s) and contributor(s) and not of MDPI and/or the editor(s). MDPI and/or the editor(s) disclaim responsibility for any injury to people or property resulting from any ideas, methods, instructions or products referred to in the content. |
© 2023 by the authors. Licensee MDPI, Basel, Switzerland. This article is an open access article distributed under the terms and conditions of the Creative Commons Attribution (CC BY) license (https://creativecommons.org/licenses/by/4.0/).
Share and Cite
Liu, T.; Ouyang, D.; Guo, L.; Qiu, R.; Qi, Y.; Xie, W.; Ma, Q.; Liu, C. Combination of Multigrid with Constraint Data for Inverse Problem of Nonlinear Diffusion Equation. Mathematics 2023, 11, 2887. https://doi.org/10.3390/math11132887
Liu T, Ouyang D, Guo L, Qiu R, Qi Y, Xie W, Ma Q, Liu C. Combination of Multigrid with Constraint Data for Inverse Problem of Nonlinear Diffusion Equation. Mathematics. 2023; 11(13):2887. https://doi.org/10.3390/math11132887
Chicago/Turabian StyleLiu, Tao, Di Ouyang, Lianjun Guo, Ruofeng Qiu, Yunfei Qi, Wu Xie, Qiang Ma, and Chao Liu. 2023. "Combination of Multigrid with Constraint Data for Inverse Problem of Nonlinear Diffusion Equation" Mathematics 11, no. 13: 2887. https://doi.org/10.3390/math11132887
APA StyleLiu, T., Ouyang, D., Guo, L., Qiu, R., Qi, Y., Xie, W., Ma, Q., & Liu, C. (2023). Combination of Multigrid with Constraint Data for Inverse Problem of Nonlinear Diffusion Equation. Mathematics, 11(13), 2887. https://doi.org/10.3390/math11132887

