A Frequency Attention-Based Dual-Stream Network for Image Inpainting Forensics
Abstract
1. Introduction
- We develop the DCNN for image inpainting forensics following the encoder–decoder network structure [18,28] to directly regress the ground truth binary mask, representing the pixel-wise class labels (inpainting and uninpainting). In order to capture richer inpainting clues, the encoder is designed as a dual-stream structure that consists of the raw input stream (RIS), the frequency recalibration stream (FRS), and a fusion module. The RIS, like most forensics methods, takes the original inpainted image as the input, and image information adaptively recalibrated in the frequency domain is used as input to the FRS. Then, the extracted dual-streamed features are fused into more effective and comprehensive feature responses through a well-designed fusion module. Finally, the fused features will be gradually enlarged to the full resolution through the decoder, and the final prediction mask is generated.
- We design the comprehensive up-sampling module combining transpose convolution [29], skip connection [30], and attention mechanism [31]. Through transpose convolution, the fed features are refined to enhance the feature representations for the purpose of forensics while increasing the feature resolution. Information fusion can be effectively performed between coarse high-level features and fine low-level features by combination of skip connection and attention mechanism, which compensates for the spatial information loss caused by the down-sampling operations in the encoder.
- We design a new joint loss function based on the intersection-over-union (IoU) metric to train the proposed forensics network. The loss is obtained by combining a proposed IoU loss and the cross entropy (CE) loss, where the IoU loss can directly guide the FADS-Net to optimize the IoU performance metric. CE loss is used to supervise the training of the entire network and two feature extraction streams, respectively, which ensures stable training of the network and efficient operation of each feature extraction stream.
2. Related Works
2.1. Conventional Inpainting Forensics Methods
2.2. Deep Learning-Based Inpainting Forensics Methods
3. Frequency Attention-Based Dual-Stream Inpainting Forensics Network
3.1. Dual-Stream Encoder with Attention in Frequency Domain
3.1.1. Adaptive Frequency Recalibration Module
3.1.2. Sub-Network for High-Resolution Feature Extraction
3.1.3. Dense-Scale Feature Fusion
3.2. Attention-Based Associative Decoder
3.2.1. Main Decoder and Branch Decoder
3.2.2. Locality-Sensitive Attention Module
3.3. IoU-Aware Joint Loss
4. Experimental Results
4.1. Training and Testing Datasets
4.2. Training Details on Synthetic Datasets
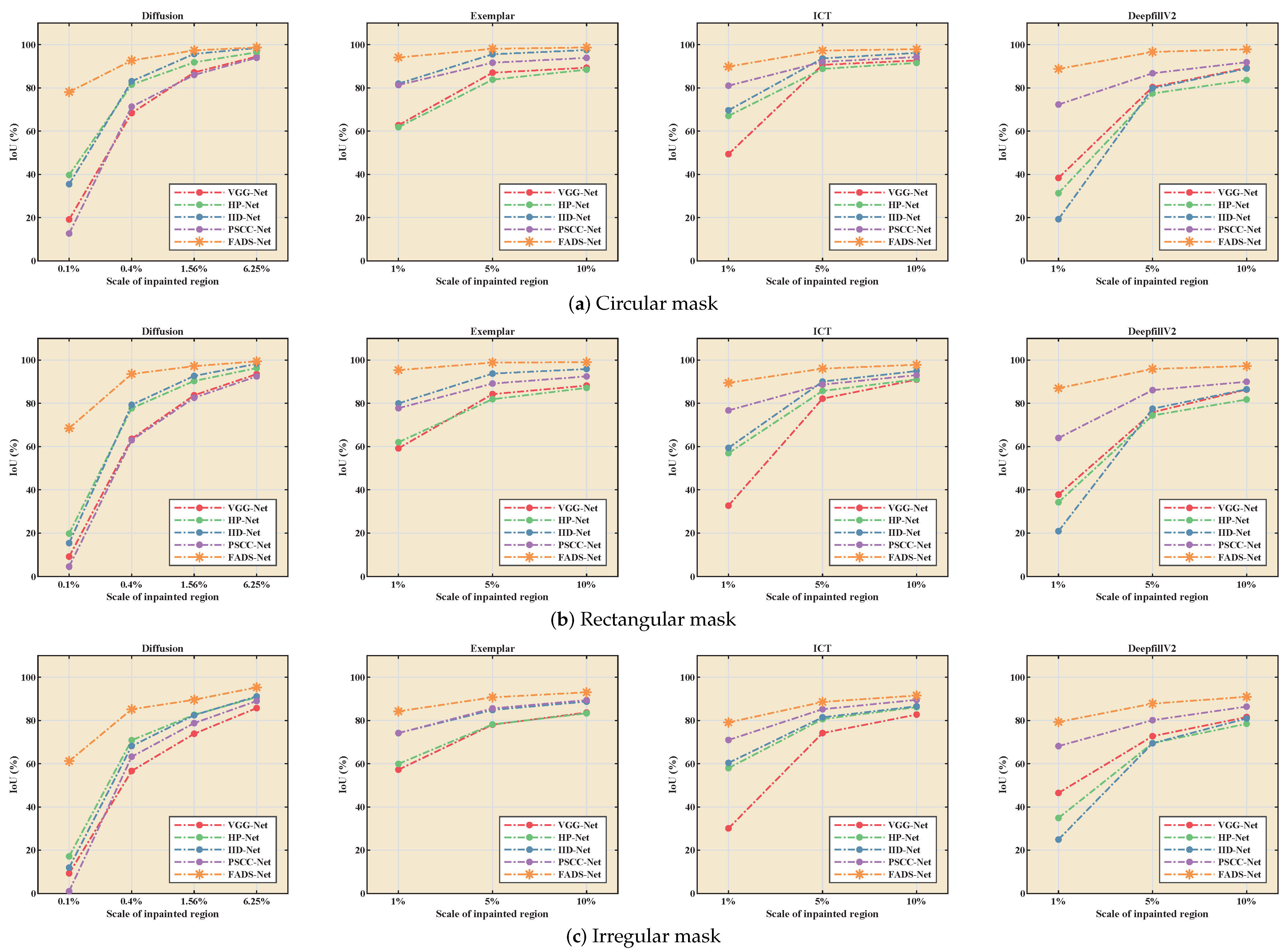
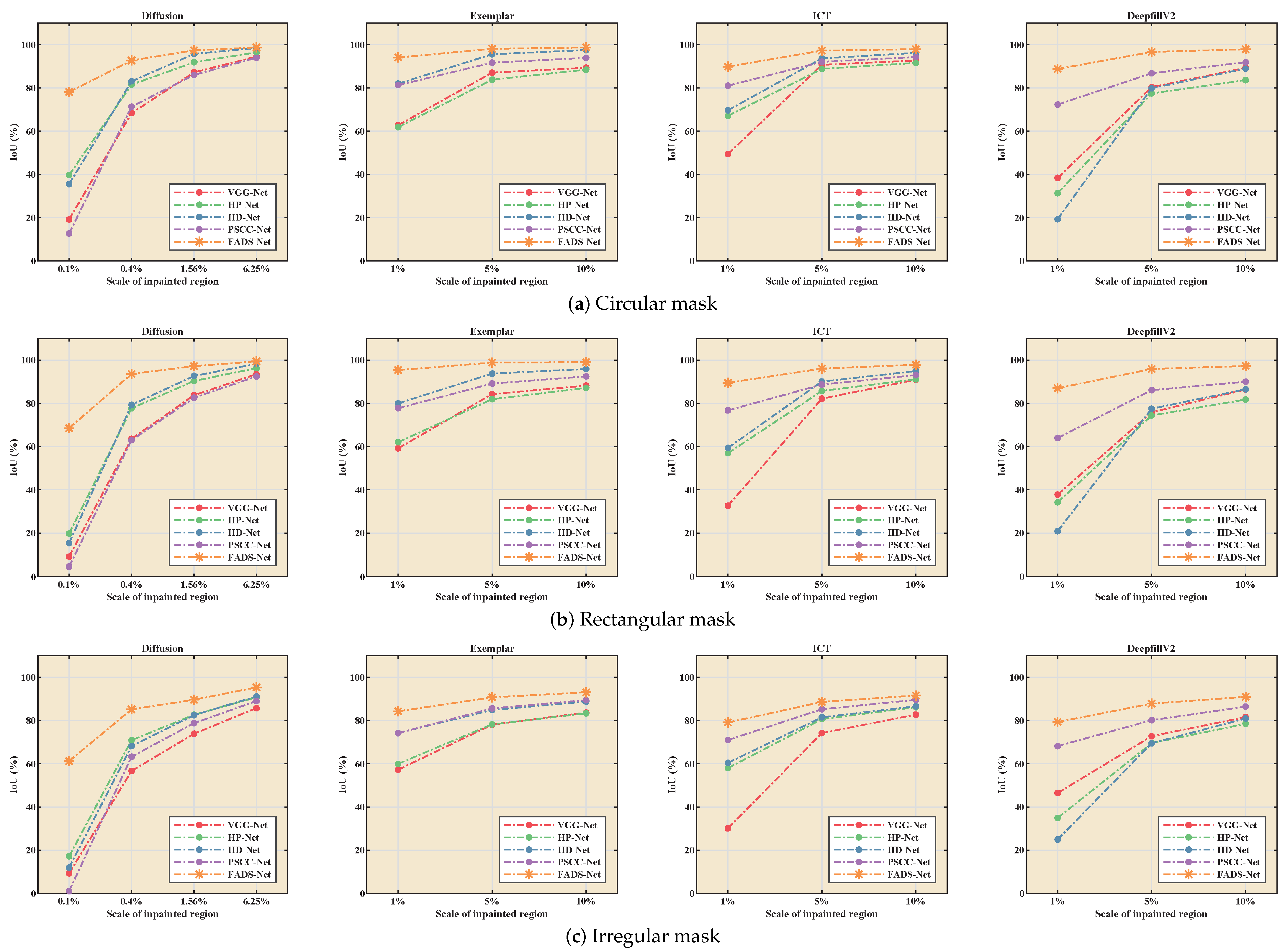
4.3. Forensic Performance on Inpainting Images without Any Distortions
4.4. Quantitative Evaluation under Typical Attacks
4.5. Ablation Analysis
- RISS-Net: The variant refers to a single-stream encoder network, which takes the original inpainted image as input. Because the encoder is changed to a single-stream structure, the DFFM is removed, but the LSAM module in the decoder is still retained. Moreover, the network training makes use of a hybrid loss that combines CE loss and IoU loss.
- FRSS-Net: The setting of this network is consistent with RIS, except that its single-stream encoder employs FRS.
- DSCF-Net: The network architecture is the same as that of our full model but it discards DFFM and uses simple concatenation to fuse features.
- DSAF-Net: This variant employs the full encoder and loss function of the full model, yet the decoder employs element-wise addition to recover spatial information instead of LSAM.
- FADS-Net (MCL): The network has the same structure as the full model but removes two branch decoders and uses CE loss to supervise the difference between the output of the main decoder and the ground truth label.
- FADS-Net (JCL): CE loss is applied to optimize the results of the main decoder and branch decoder of the full model during training.
- FADS-Net (MHL): The network utilizes a hybrid loss established by combining CE loss and IoU loss to train the full model removing two branch decoders.
5. Conclusions
Author Contributions
Funding
Data Availability Statement
Conflicts of Interest
References
- Alipour, N.; Behrad, A. Semantic segmentation of JPEG blocks using a deep CNN for non-aligned JPEG forgery detection and localization. Multimedia Tools Appl. 2020, 79, 8249–8265. [Google Scholar] [CrossRef]
- Bakas, J.; Ramachandra, S.; Naskar, R. Double and triple compression-based forgery detection in JPEG images using deep convolutional neural network. J. Electron. Imaging 2020, 29, 023006. [Google Scholar] [CrossRef]
- Zhang, J.; Liao, Y.; Zhu, X.; Wang, H.; Ding, J. A deep learning approach in the discrete cosine transform domain to median filtering forensics. IEEE Signal Process. Lett. 2020, 27, 276–280. [Google Scholar] [CrossRef]
- Abhishek; Jindal, N. Copy move and splicing forgery detection using deep convolution neural network, and semantic segmentation. Multimedia Tools Appl. 2021, 80, 3571–3599. [Google Scholar] [CrossRef]
- Liu, B.; Pun, C.M. Exposing splicing forgery in realistic scenes using deep fusion network. Inf. Sci. 2020, 526, 133–150. [Google Scholar] [CrossRef]
- Mayer, O.; Stamm, M.C. Forensic similarity for digital images. IEEE Trans. Inf. Forensics Secur. 2020, 15, 1331–1346. [Google Scholar] [CrossRef]
- Mayer, O.; Bayar, B.; Stamm, M.C. Learning unified deep-features for multiple forensic tasks. In Proceedings of the 6th ACM Workshop on Information Hiding and Multimedia Security, Innsbruck, Austria, 20–22 June 2018; pp. 79–84. [Google Scholar]
- Bertalmio, M.; Sapiro, G.; Caselles, V.; Ballester, C. Image inpainting. In Proceedings of the 27th Internationl Conference on Computer Graphics and Interactive Techniques Conference, New Orleans, LA, USA, 23–28 July 2000; pp. 417–424. [Google Scholar]
- Oliveira, M.M.; Bowen, B.; McKenna, R.; Chang, Y.S. Fast digital image inpainting. In Proceedings of the International Conference on Visualization, Imaging and Image Processing (VIIP 2001), Marbella, Spain, 3–5 September 2001; pp. 106–107. [Google Scholar]
- Criminisi, A.; Perez, P.; Toyama, K. Region filling and object removal by exemplar-based image inpainting. IEEE Trans. Image Process. 2004, 13, 1200–1212. [Google Scholar] [CrossRef]
- Ružić, T.; Pižurica, A. Context-aware patch-Based image inpainting using Markov random field modeling. IEEE Trans. Image Process. 2015, 24, 444–456. [Google Scholar] [CrossRef]
- Yu, J.; Lin, Z.; Yang, J.; Shen, X.; Lu, X.; Huang, T. Free-form image inpainting with gated convolution. In Proceedings of the IEEE/CVF International Conference on Computer Vision (ICCV), Seoul, Republic of Korea, 27 October–2 November 2019; pp. 4470–4479. [Google Scholar]
- Wan, Z.; Zhang, J.; Chen, D.; Liao, J. High-fidelity pluralistic image mcopletion with transformers. In Proceedings of the IEEE/CVF International Conference on Computer Vision (ICCV), Virtually, 11–17 October 2021; pp. 4672–4681. [Google Scholar]
- Chang, I.; Yu, J.C.; Chang, C.C. A forgery detection algorithm for exemplar-based inpainting images using multi-region relation. Image Vis. Comput. 2013, 31, 57–71. [Google Scholar] [CrossRef]
- Liang, Z.; Yang, G.; Ding, X.; Li, L. An efficient forgery detection algorithm for object removal by exemplar-based image inpainting. J. Vis. Commun. Image R. 2015, 30, 75–85. [Google Scholar] [CrossRef]
- Li, H.; Luo, W.; Huang, J. Localization of diffusion-based inpainting in digital images. IEEE Trans. Inf. Forensics Secur. 2017, 12, 3050–3064. [Google Scholar] [CrossRef]
- Zhang, Y.; Liu, T.; Cattani, C.; Cui, Q.; Liu, S. Diffusion-based image inpainting forensics via weighted least squares filtering enhancement. Multimedia Tools Appl. 2021, 80, 30725–30739. [Google Scholar] [CrossRef]
- Ronneberger, O.; Fischer, P.; Brox, T. U-net: Convolutional networks for biomedical image segmentation. In Proceedings of the Medical Image Computing and Computer-Assisted Intervention–MICCAI 2015, Munich, Germany, 5–9 October 2015; pp. 234–241. [Google Scholar]
- Zhu, X.; Li, S.; Gan, Y.; Zhang, Y.; Sun, B. Multi-stream fusion network with generalized smooth L1 loss for single image dehazing. IEEE Trans. Image Process. 2021, 30, 7620–7635. [Google Scholar] [CrossRef]
- Pang, J.; Chen, K.; Shi, J.; Feng, H.; Ouyang, W.; Lin, D. Libra R-CNN: Towards balanced learning for object detection. In Proceedings of the IEEE/CVF Conference on Computer Vision and Pattern Recognition (CVPR), Long Beach, CA, USA, 16–20 June 2019; pp. 821–830. [Google Scholar]
- Rafi, A.M.; Tonmoy, T.I.; Kamal, U.; Wu, Q.M.J.; Hasan, M.K. RemNet: Remnant convolutional neural network for camera model identification. Neural Comput. Appl. 2021, 33, 3655–3670. [Google Scholar] [CrossRef]
- Zhu, X.; Qian, Y.; Zhao, X.; Sun, B.; Sun, Y. A deep learning approach to patch-based image inpainting forensics. Signal Process. Image Commun. 2018, 67, 90–99. [Google Scholar] [CrossRef]
- Li, H.; Huang, J. Localization of deep inpainting using high-pass fully convolutional network. In Proceedings of the IEEE/CVF International Conference on Computer Vision (ICCV), Seoul, Republic of Korea, 27 October–2 November 2019; pp. 8301–8310. [Google Scholar]
- Liu, X.; Liu, Y.; Chen, J.; Liu, X. PSCC-Net: Progressive Spatio-Channel Correlation Network for Image Manipulation Detection and Localization. IEEE Trans. Circuits Syst. 2022, 32, 7505–7517. [Google Scholar] [CrossRef]
- Bayar, B.; Stamm, M.C. Constrained convolutional neural networks: A new approach towards general purpose image manipulation detection. IEEE Trans. Inf. Forensics Secur. 2018, 13, 2691–2706. [Google Scholar] [CrossRef]
- Wu, H.; Zhou, J. IID-Net: Image inpainting detection network via neural architecture search and attention. IEEE Trans. Circuits Syst. Video Technol. 2022, 32, 1172–1185. [Google Scholar] [CrossRef]
- Chen, L.C.; Papandreou, G.; Kokkinos, I.; Murphy, K.; Yuille, A.L. DeepLab: Semantic image segmentation with deep convolutional nets, atrous convolution, and fully connected CRFs. IEEE Trans. Pattern Anal. Mach. Intell. 2018, 40, 834–848. [Google Scholar] [CrossRef] [PubMed]
- Badrinarayanan, V.; Kendall, A.; Cipolla, R. Segnet: A deep convolutional encoder-decoder architecture for image segmentation. IEEE Trans. Pattern Anal. Mach. Intell. 2017, 39, 2481–2495. [Google Scholar] [CrossRef] [PubMed]
- Dumoulin, V.; Visin, F. A guide to convolution arithmetic for deep learning. arXiv 2016, arXiv:1603.07285. [Google Scholar]
- Long, J.; Shelhamer, E.; Darrell, T. Fully convolutional networks for semantic segmentation. In Proceedings of the IEEE Conference on Computer Vision and Pattern Recognition (CVPR), Boston, MA, USA, 7–12 June 2015; pp. 3431–3440. [Google Scholar]
- Wang, F.; Jiang, M.; Qian, C.; Yang, S.; Li, C.; Zhang, H.; Wang, X.; Tang, X. Residual attention network for image classification. In Proceedings of the IEEE Conference on Computer Vision and Pattern Recognition (CVPR), Honolulu, HI, USA, 21–26 July 2017; pp. 3156–3164. [Google Scholar]
- Wu, Q.; Sun, S.; Zhu, W.; Li, G.H.; Tu, D. Detection of digital doctoring in exemplar-based inpainted images. In Proceedings of the 2008 International Conference on Machine Learning and Cybernetics, Kunming, China, 12–15 July 2008; Volume 3, pp. 1222–1226. [Google Scholar]
- Das, S.; Shreyas, G.D.; Devan, L.D. Blind detection method for video inpainting forgery. Int. J. Comput. Appl. 2012, 60, 33–37. [Google Scholar] [CrossRef]
- Bacchuwar, K.S.; Ramakrishnan, K.R. A jump patch-block match algorithm for multiple forgery detection. In Proceedings of the 2013 International Mutli-Conference on Automation, Computing, Communication, Control and Compressed Sensing (iMac4s), Kottayam, India, 22–23 March 2013; pp. 723–728. [Google Scholar]
- Trung, D.T.; Beghdadi, A.; Larabi, M.C. Blind inpainting forgery detection. In Proceedings of the 2014 IEEE Global Conference on Signal and Information Processing (GlobalSIP), Atlanta, GA, USA, 3–5 December 2014; pp. 1019–1023. [Google Scholar]
- Zhao, Y.Q.; Liao, M.; Shih, F.Y.; Shi, Y.Q. Tampered region detection of inpainting JPEG images. Optik 2013, 124, 2487–2492. [Google Scholar] [CrossRef]
- Liu, Q.; Zhou, B.; Sung, A.H.; Qiao, M. Exposing inpainting forgery in JPEG images under recompression attacks. In Proceedings of the 2016 15th IEEE International Conference on Machine Learning and Applications (ICMLA), Anaheim, CA, USA, 18–20 December 2016; pp. 164–169. [Google Scholar]
- Zhang, D.; Liang, Z.; Yang, G.; Li, Q.; Li, L.; Sun, X. A robust forgery detection algorithm for object removal by exemplar-based image inpainting. Multimedia Tools Appl. 2018, 77, 11823–11842. [Google Scholar] [CrossRef]
- Xu, Z.; Sun, J. Image inpainting by patch propagation using patch sparsity. IEEE Trans. Image Process. 2010, 19, 1153–1165. [Google Scholar]
- Li, Z.; He, H.; Tai, H.M.; Yin, Z.; Chen, F. Color-direction patch-sparsity-based image inpainting using multidirection features. IEEE Trans. Image Process. 2014, 24, 1138–1152. [Google Scholar] [CrossRef]
- Jin, X.; Su, Y.; Zou, L.; Wang, Y.; Jing, P.; Wang, Z.J. Sparsity-based image inpainting detection via canonical correlation analysis with low-rank constraints. IEEE Access 2018, 6, 49967–49978. [Google Scholar] [CrossRef]
- Zhu, X.; Qian, Y.; Sun, B.; Ren, C.; Sun, Y.; Yao, S. Image inpainting forensics algorithm based on deep neural network. Acta Opt. Sin. 2018, 38, 1110005-1–1110005-9. [Google Scholar]
- Lu, M.; Liu, S. A detection approach using LSTM-CNN for object removal caused by exemplar-based image inpainting. Electronics 2020, 9, 858. [Google Scholar] [CrossRef]
- Wang, X.; Wang, H.; Niu, S. An intelligent forensics approach for detecting patch-based image inpainting. Math. Probl. Eng. 2020, 2020, 8892989. [Google Scholar] [CrossRef]
- Bender, G.; Kindermans, P.J.; Zoph, B.; Vasudevan, V.; Le, Q. Understanding and simplifying one-shot architecture search. In Proceedings of the 35th International Conference on Machine Learning, Stockholm, Sweden, 10–15 July 2018; Volume 80, pp. 550–559. [Google Scholar]
- Wang, J.; Sun, K.; Cheng, T.; Jiang, B.; Deng, C.; Zhao, Y.; Liu, D.; Mu, Y.; Tan, M.; Wang, X.; et al. Deep high-resolution representation learning for visual recognition. IEEE Trans. Pattern Anal. Mach. Intell. 2021, 43, 3349–3364. [Google Scholar] [CrossRef] [PubMed]
- Qian, Y.; Yin, G.; Sheng, L.; Chen, Z.; Shao, J. Thinking in frequency: Face forgery detection by mining frequency-aware clues. In Proceedings of the 16th European Conference, Glasgow, UK, 23–28 August 2020; pp. 86–103. [Google Scholar]
- Xu, K.; Qin, M.; Sun, F.; Wang, Y.; Chen, Y.K.; Ren, F. Learning in the frequency domain. In Proceedings of the IEEE/CVF Conference on Computer Vision and Pattern Recognition (CVPR), Virtually, 14–19 June 2020; pp. 1740–1749. [Google Scholar]
- Hu, J.; Shen, L.; Sun, G. Squeeze-and-excitation networks. In Proceedings of the IEEE Conference on Computer Vision and Pattern Recognition (CVPR), Salt Lake City, UT, USA, 18–22 June 2018; pp. 7132–7141. [Google Scholar]
- Chen, L.C.; Papandreou, G.; Schroff, F.; Adam, H. Rethinking atrous convolution for semantic image segmentation. arXiv 2017, arXiv:1706.05587. [Google Scholar]
- Huang, G.; Liu, Z.; Maaten, L.V.D.; Weinberger, K.Q. Densely connected convolutional networks. In Proceedings of the IEEE Conference on Computer Vision and Pattern Recognition (CVPR), Honolulu, HI, USA, 21–26 July 2017; pp. 4700–4708. [Google Scholar]
- Yang, M.; Yu, K.; Zhang, C.; Li, Z.; Yang, K. DenseASPP for semantic segmentation in street scenes. In Proceedings of the IEEE Conference on Computer Vision and Pattern Recognition (CVPR), Salt Lake City, UT, USA, 18–22 June 2018; pp. 3684–3692. [Google Scholar]
- Wang, Z.; Chen, J.; Hoi, S.C.H. Deep learning for image super-resolution: A survey. IEEE Trans. Pattern Anal. Mach. Intell. 2021, 43, 3365–3387. [Google Scholar] [CrossRef]
- Itti, L.; Koch, C.; Niebur, E. A model of saliency-based visual attention for rapid scene analysis. IEEE Trans. Pattern Anal. Mach. Intell. 1998, 20, 1254–1259. [Google Scholar] [CrossRef]
- Rensink, R. The dynamic representation of scenes. Vis. Cognit. 2000, 7, 17–42. [Google Scholar] [CrossRef]
- Corbetta, M.; Shulman, G.L. Control of goal-directed and stimulus-driven attention in the brain. IEEE Trans. Pattern Anal. Mach. Intell. 2002, 3, 201–215. [Google Scholar] [CrossRef]
- Fu, J.; Liu, J.; Tian, H.; Li, Y.; Bao, Y.; Fang, Z.; Lu, H. Dual attention network for scene segmentation. In Proceedings of the IEEE/CVF Conference on Computer Vision and Pattern Recognition (CVPR), Long Beach, CA, USA, 16–20 June 2019; pp. 3146–3154. [Google Scholar]
- Tian, Y.; Hu, W.; Jiang, H.; Wu, J. Densely connected attentional pyramid residual network for human pose estimation. Neurocomputing 2019, 347, 13–23. [Google Scholar] [CrossRef]
- Woo, S.; Park, J.; Lee, J.Y.; Kweon, I.S. CBAM: Convolutional block attention module. In Proceedings of the European Conference on Computer Vision (ECCV), Munich, Germany, 8–14 September 2018; pp. 3–19. [Google Scholar]
- Li, W.; Zhu, X.; Gong, S. Harmonious Attention Network for Person Re-Identification. In Proceedings of the IEEE Conference on Computer Vision and Pattern Recognition (CVPR), Salt Lake City, UT, USA, 18–22 June 2018; pp. 2285–2294. [Google Scholar]
- Zhou, B.; Lapedriza, A.; Xiao, J.; Torralba, A.; Oliva, A. Learning deep features for scene recognition using places database. In Advances in Neural Information Processing Systems; NeurIPS: San Diego, CA, USA, 2014; Volume 27, pp. 487–495. [Google Scholar]
- G’MIC. GREYC’s Magic for Image Computing. 2021. Available online: http://gmic.eu (accessed on 25 February 2023).








| Method | Diffusion | Exemplar | ICT | DeepfillV2 | |||||||
|---|---|---|---|---|---|---|---|---|---|---|---|
| IoU | F1 | IoU | F1 | IoU | F1 | IoU | F1 | ||||
| VGG-FNet [22] | 62.05 | 68.44 | 76.64 | 84.96 | 69.50 | 75.97 | 67.65 | 76.65 | |||
| HP-FCN [23] | 71.25 | 76.68 | 76.28 | 85.03 | 78.44 | 85.81 | 62.85 | 72.45 | |||
| IID-Net [26] | 71.01 | 75.17 | 88.05 | 93.18 | 81.36 | 87.55 | 60.92 | 68.26 | |||
| PSCC-Net [24] | 61.54 | 67.21 | 86.15 | 92.26 | 85.72 | 91.84 | 80.63 | 88.47 | |||
| FADS-Net | 88.07 | 91.56 | 94.67 | 97.18 | 91.95 | 95.61 | 91.27 | 95.30 | |||
| Attack | VGG-FNet [22] | HP-FCN [23] | IID-Net [26] | PSCC-Net [24] | FADS-Net | |||||||||
|---|---|---|---|---|---|---|---|---|---|---|---|---|---|---|
| IoU | F1 | IoU | F1 | IoU | F1 | IoU | F1 | IoU | F1 | |||||
| w/o Dis. | 62.05 | 68.44 | 71.25 | 76.68 | 71.01 | 75.17 | 61.54 | 67.21 | 88.07 | 91.56 | ||||
| JPEG 95 | 60.89 | 67.11 | 68.99 | 74.36 | 69.93 | 74.10 | 60.14 | 65.75 | 86.03 | 89.76 | ||||
| JPEG 85 | 59.41 | 65.44 | 64.48 | 69.61 | 67.76 | 71.94 | 57.89 | 63.51 | 80.13 | 84.15 | ||||
| JPEG 75 | 56.93 | 62.75 | 58.41 | 63.28 | 63.46 | 67.42 | 54.37 | 59.96 | 73.25 | 77.22 | ||||
| AWGN 50 | 61.78 | 68.13 | 70.68 | 76.09 | 70.82 | 74.99 | 61.33 | 67.00 | 87.72 | 91.19 | ||||
| AWGN 45 | 61.61 | 67.98 | 69.77 | 75.18 | 70.53 | 74.69 | 60.91 | 66.58 | 86.41 | 89.83 | ||||
| AWGN 40 | 61.15 | 67.48 | 68.78 | 74.21 | 70.00 | 74.17 | 59.93 | 65.63 | 85.38 | 88.86 | ||||
| AWGN 35 | 60.26 | 66.46 | 66.14 | 71.64 | 68.58 | 72.76 | 58.60 | 64.30 | 83.13 | 86.63 | ||||
| Attack | VGG-FNet [22] | HP-FCN [23] | IID-Net [26] | PSCC-Net [24] | FADS-Net | |||||||||
|---|---|---|---|---|---|---|---|---|---|---|---|---|---|---|
| IoU | F1 | IoU | F1 | IoU | F1 | IoU | F1 | IoU | F1 | |||||
| w/o Dis. | 76.64 | 84.96 | 76.28 | 85.03 | 88.05 | 93.18 | 86.15 | 92.26 | 94.67 | 97.18 | ||||
| JPEG 95 | 69.79 | 78.58 | 71.62 | 81.11 | 85.54 | 91.48 | 83.40 | 90.51 | 92.91 | 96.20 | ||||
| JPEG 85 | 56.66 | 65.48 | 50.75 | 61.08 | 70.95 | 78.15 | 70.86 | 79.90 | 86.81 | 92.13 | ||||
| JPEG 75 | 49.65 | 58.26 | 33.27 | 42.66 | 50.23 | 57.98 | 47.59 | 56.57 | 72.10 | 79.73 | ||||
| AWGN 50 | 76.02 | 84.31 | 75.20 | 84.17 | 87.34 | 92.54 | 85.71 | 91.90 | 94.54 | 97.10 | ||||
| AWGN 45 | 75.28 | 83.55 | 74.14 | 83.29 | 86.72 | 91.97 | 85.15 | 91.43 | 94.17 | 96.81 | ||||
| AWGN 40 | 74.08 | 82.38 | 73.80 | 82.82 | 85.99 | 91.37 | 84.14 | 90.61 | 93.47 | 96.28 | ||||
| AWGN 35 | 72.21 | 80.68 | 72.39 | 81.33 | 84.65 | 90.32 | 82.20 | 88.95 | 92.45 | 95.51 | ||||
| Attack | VGG-FNet [22] | HP-FCN [23] | IID-Net [26] | PSCC-Net [24] | FADS-Net | |||||||||
|---|---|---|---|---|---|---|---|---|---|---|---|---|---|---|
| IoU | F1 | IoU | F1 | IoU | F1 | IoU | F1 | IoU | F1 | |||||
| w/o Dis. | 69.50 | 75.97 | 78.44 | 85.81 | 81.36 | 87.55 | 85.72 | 91.84 | 91.95 | 95.61 | ||||
| JPEG 95 | 66.09 | 72.32 | 68.70 | 77.31 | 74.60 | 80.73 | 80.27 | 87.66 | 90.93 | 95.03 | ||||
| JPEG 85 | 62.71 | 68.57 | 55.14 | 63.49 | 63.53 | 69.19 | 71.59 | 79.51 | 83.87 | 89.08 | ||||
| JPEG 75 | 59.01 | 64.77 | 41.37 | 49.60 | 51.91 | 56.77 | 61.95 | 69.97 | 72.43 | 78.59 | ||||
| AWGN 50 | 69.29 | 75.76 | 77.57 | 85.13 | 81.10 | 87.32 | 85.55 | 91.72 | 91.72 | 95.45 | ||||
| AWGN 45 | 68.68 | 75.08 | 75.97 | 83.92 | 79.93 | 86.18 | 85.09 | 91.34 | 91.57 | 95.40 | ||||
| AWGN 40 | 67.87 | 74.27 | 73.17 | 81.24 | 78.29 | 84.53 | 83.82 | 90.22 | 90.91 | 94.90 | ||||
| AWGN 35 | 65.98 | 72.31 | 69.64 | 77.65 | 74.79 | 80.92 | 81.20 | 87.75 | 89.66 | 93.88 | ||||
| Attack | VGG-FNet [22] | HP-FCN [23] | IID-Net [26] | PSCC-Net [24] | FADS-Net | |||||||||
|---|---|---|---|---|---|---|---|---|---|---|---|---|---|---|
| IoU | F1 | IoU | F1 | IoU | F1 | IoU | F1 | IoU | F1 | |||||
| w/o Dis. | 67.65 | 76.65 | 62.85 | 72.45 | 60.92 | 68.26 | 80.63 | 88.47 | 91.27 | 95.30 | ||||
| JPEG 95 | 60.19 | 68.8 | 54.53 | 63.72 | 55.25 | 62.69 | 76.15 | 84.94 | 90.43 | 94.81 | ||||
| JPEG 85 | 53.58 | 62.22 | 46.89 | 56.39 | 45.75 | 52.67 | 61.71 | 71.02 | 84.55 | 90.53 | ||||
| JPEG 75 | 52.88 | 61.58 | 40.91 | 49.95 | 41.38 | 48.06 | 50.54 | 58.88 | 65.42 | 72.94 | ||||
| AWGN 50 | 67.44 | 76.41 | 60.56 | 70.43 | 60.22 | 67.51 | 78.81 | 86.99 | 90.85 | 95.00 | ||||
| AWGN 45 | 66.87 | 75.94 | 58.84 | 68.98 | 59.00 | 66.27 | 78.07 | 86.34 | 90.34 | 94.72 | ||||
| AWGN 40 | 64.83 | 73.65 | 57.18 | 67.26 | 56.27 | 63.52 | 77.06 | 85.25 | 88.48 | 94.14 | ||||
| AWGN 35 | 62.42 | 71.15 | 54.55 | 63.99 | 52.59 | 59.62 | 72.96 | 81.20 | 87.33 | 92.38 | ||||
| Variant | w/o Dis. | JPEG 75 | AWGN 35 dB | Mean | |||||||
|---|---|---|---|---|---|---|---|---|---|---|---|
| IoU | F1 | IoU | F1 | IoU | F1 | IoU | F1 | ||||
| RISS-Net | 89.07 | 94.04 | 56.67 | 65.33 | 84.03 | 90.21 | 76.59 | 83.19 | |||
| FRSS-Net | 89.47 | 94.33 | 59.22 | 68.20 | 84.35 | 90.55 | 77.68 | 84.36 | |||
| DSCF-Net | 90.45 | 94.86 | 63.53 | 72.16 | 86.24 | 91.81 | 80.07 | 86.28 | |||
| DSAF-Net | 90.75 | 95.03 | 61.84 | 69.39 | 86.64 | 91.97 | 79.74 | 85.46 | |||
| FADS-Net (MCL) | 89.72 | 94.43 | 60.73 | 68.09 | 85.87 | 91.56 | 78.77 | 84.69 | |||
| FADS-Net (JCL) | 90.93 | 95.12 | 59.94 | 66.87 | 87.28 | 92.30 | 79.38 | 84.76 | |||
| FADS-Net (MHL) | 90.27 | 94.74 | 61.09 | 69.44 | 85.43 | 91.00 | 78.93 | 85.06 | |||
| FADS-Net | 91.27 | 95.30 | 65.42 | 72.94 | 87.33 | 92.38 | 81.34 | 86.87 | |||
Disclaimer/Publisher’s Note: The statements, opinions and data contained in all publications are solely those of the individual author(s) and contributor(s) and not of MDPI and/or the editor(s). MDPI and/or the editor(s) disclaim responsibility for any injury to people or property resulting from any ideas, methods, instructions or products referred to in the content. |
© 2023 by the authors. Licensee MDPI, Basel, Switzerland. This article is an open access article distributed under the terms and conditions of the Creative Commons Attribution (CC BY) license (https://creativecommons.org/licenses/by/4.0/).
Share and Cite
Wang, H.; Zhu, X.; Ren, C.; Zhang, L.; Ma, S. A Frequency Attention-Based Dual-Stream Network for Image Inpainting Forensics. Mathematics 2023, 11, 2593. https://doi.org/10.3390/math11122593
Wang H, Zhu X, Ren C, Zhang L, Ma S. A Frequency Attention-Based Dual-Stream Network for Image Inpainting Forensics. Mathematics. 2023; 11(12):2593. https://doi.org/10.3390/math11122593
Chicago/Turabian StyleWang, Hongquan, Xinshan Zhu, Chao Ren, Lan Zhang, and Shugen Ma. 2023. "A Frequency Attention-Based Dual-Stream Network for Image Inpainting Forensics" Mathematics 11, no. 12: 2593. https://doi.org/10.3390/math11122593
APA StyleWang, H., Zhu, X., Ren, C., Zhang, L., & Ma, S. (2023). A Frequency Attention-Based Dual-Stream Network for Image Inpainting Forensics. Mathematics, 11(12), 2593. https://doi.org/10.3390/math11122593

