Next Article in Journal
Partial Inverse Sturm-Liouville Problems
Next Article in Special Issue
The Influence of GPL Reinforcements on the Post-Buckling Behavior of FG Porous Rings Subjected to an External Pressure
Previous Article in Journal
Splines Parameterization of Planar Domains by Physics-Informed Neural Networks
Previous Article in Special Issue
A Machine-Learning-Based Model for Buckling Analysis of Thermally Affected Covalently Functionalized Graphene/Epoxy Nanocomposite Beams
 
 
Font Type:
Arial Georgia Verdana
Font Size:
Aa Aa Aa
Line Spacing:
Column Width:
Background:
Article

A Dynamic Analysis of Porous Coated Functionally Graded Nanoshells Rested on Viscoelastic Medium

by
Emad E. Ghandourah
1,
Ahmed Amine Daikh
2,3,*,
Samir Khatir
4,
Abdulsalam M. Alhawsawi
1,
Essam M. Banoqitah
1 and
Mohamed A. Eltaher
5
1
Nuclear Engineering Department, Center for Training and Radiation Prevention, Faculty of Engineering, King Abdulaziz University, P.O. Box 80204, Jeddah 21589, Saudi Arabia
2
Department of Technology, University Centre of Naama, Naama 45000, Algeria
3
Laboratoire d’Etude des Structures et de Mécanique des Matériaux, Département de Génie Civil, Faculté des Sciences et de la Technologie, Université Mustapha Stambouli, B.P. 305, Mascara 29000, Algeria
4
Soete Laboratory, Department of Electrical Energy, Metals, Mechanical Constructions, and Systems, Faculty of Engineering and Architecture, Ghent University, 9000 Gent, Belgium
5
Mechanical Engineering Department, Faculty of Engineering, King Abdulaziz University, P.O. Box 80204, Jeddah 21589, Saudi Arabia
*
Author to whom correspondence should be addressed.
Mathematics 2023, 11(10), 2407; https://doi.org/10.3390/math11102407
Submission received: 17 April 2023 / Revised: 14 May 2023 / Accepted: 17 May 2023 / Published: 22 May 2023
(This article belongs to the Special Issue Advances in Computational Solid Mechanics and Scientific Computing)

Abstract

Theoretical research has numerous challenges, particularly about modeling structures, unlike experimental analysis, which explores the mechanical behavior of complex structures. Therefore, this study suggests a new model for functionally graded shell structures called “Tri-coated FGM” using a spatial variation of material properties to investigate the free vibration response incorporating the porosities and microstructure-dependent effects. Two types of tri-coated FG shells are investigated, hardcore and softcore FG shells, and five distribution patterns are proposed. A novel modified field of displacement is proposed by reducing the number of variables from five to four by considering the shear deformation effect. The shell is rested on a viscoelastic Winkler/Pasternak foundation. An analytical solution based on the Galerkin approach is developed to solve the equations of motion derived by applying the principle of Hamilton. The proposed solution is addressed to study different boundary conditions. The current study conducts an extensive parametric analysis to investigate the influence of several factors, including coated FG nanoshell types and distribution patterns, gradient material distribution, porosities, length scale parameter (nonlocal), material scale parameter (gradient), nanoshell geometry, and elastic foundation variation on the fundamental frequencies. The provided results show the accuracy of the developed technique using different boundary conditions.

1. Introduction

Composite materials are widely merged in various engineering fields, such as aerospace, automobiles, civil engineering, ships, etc., mainly due to their exceptional properties, including light weight, high strength, high modulus, excellent resistance to fatigue, corrosion, etc. However, composites are more easily damaged and delaminated under excessive inter-laminar stresses and also are unable to bear high temperatures. As a class of composite materials, functionally graded materials (FGMs) overcome the limitations of traditional composites by comprising two or more different materials with continuity variation from surface to surface. The first FGM was developed by a Japanese scientist in 1984 [1]. The conventional FGMs are formed from metal and ceramic, and the material properties of FGMs are a mixture of the good thermal resistance of ceramics and the high strength and superior fracture toughness of metals [2]. Since 1984, many researchers have studied the mechanical properties of FGM structures, but most publications considered the material properties in unidirectional FGMs to vary across one direction, from the top to bottom surface [3,4,5,6]. Nevertheless, advanced structures in daily life usually are exposed to external loads in more than one direction. To fulfill this demand, it is necessary to develop multi-directional FGMs whose material properties change in different directions, such as the thickness direction and in-plane direction.
Recently, multi-directional FGMs have gained huge attention from the research community, especially regarding their mechanical behavior under vibratory increment. Lu et al. [7] presented a semi-analytical three-directional elasticity study to investigate the deflection and stress responses of multi-directional FGM plates. Nemat-alla [8] developed two-directional FGMs that can reduce the stresses in machine elements under thermal load. Rad [9] established a semi-analytical solution for static analysis of a two-directional FGM circular plate subjected to Winkler–Pasternak elastic foundation bearing transverse and shear loads. Additionally, a semi-analytical solution was proposed by Rad and Alibeligloo [10] to explore the static responses of two-directional FGM circular plates subjected to an elastic foundation. Nazari et al. [11] presented a numerical solution using the first-order shear deformation theory (FSDT) for a geometrically nonlinear dynamic analysis of rectangular plates made of FGM and excited by a moving load. Khakpour et al. [12] determined the natural frequency of functionally graded porous beams. A simply supported boundary condition was provided on elastic substrate in a thermal environment using the third-order shear deformation theory. Tornabene et al. [13] solved the problem of free vibration in sandwich shell structures of FGMs based on developing a numerical model by varying the thickness. Shariyat and Jafari [14] utilized finite element commercial software to study the low-velocity impact of two-directional FGM circular plates under radial preloads. Adineh and Kadkhodayan [15] investigated the deflection and stress responses of a three-directional FGM subjected to an elastic foundation with different boundary conditions. Esmaeilzadeh and Kadkhodayan [16] conducted a dynamic analysis of a two-directional FGM porous plate bearing a moving load. A semi-analytical solution was established by Alipour et al. [17]. The effect of different boundary conditions, material properties and foundations on the frequency responses of the plate was studied. The free vibration of an axially graded beam was investigated by Mikola et al. [18] using the higher order Haar wavelet method (HOHWM) for solutions of both the governing differential equation and the approximation by varying properties of the bending stiffness and the distributed mass per unit length. Using the same technique, Majak et al. [19] studied the vibration behavior of nanobeams for different boundary conditions. Yas and Moloudi [20] presented a semi-analytical solution to explore the free vibration behaviors of multi-directional FGM annular plates with piezo-electric layers. Lieu et al. [21] investigated static bending and dynamic responses of two-directional FGMs by using the isogeometric finite element method. The buckling and dynamic responses of two-directional FGM circular plates bearing hydrostatic in-plane force were assessed by Lal and Ahlawat [22]. Sorrenti et al. [23] provided a review of Haar wavelet methods and developed HOHWM to study the behavior of multilayered composite beams under static and buckling loads. The study employed the refined zigzag theory (RZT) to formulate the corresponding governing differential equations. Majak et al. [24] conducted a study focused on developing accurate and cost-effective function approximation techniques for modeling FGM using HOHWM to expand different grading functions such as exponential and power law into Haar wavelet series. Niknam et al. [25] presented the model of architected multi-directional FGM cellular materials. Based on polyhedral finite elements, Nguyen-Ngoc et al. [26] established a three-dimensional numerical model to explore the static bending and free vibration of multi-directional FGM shells. Asgari and Akhlaghi [27] investigated the free vibration behaviors of two-directional FGM hollow cylinder shells. Zafarmand et al. [28] presented the dynamic responses of two-directional FGM cylindrical shells by using the three-dimensional graded finite element method.
In the literature, researchers have developed several homogenization models to describe the gradation of materials, including the power law model (P-FGM) [29], exponential law model (E-FGM) [30], Sigmoid law model (S-FGM) [31], Tornabene Viola law model [32], trigonometric model [33], Pan exponential law model [34], and cosine trigonometric model [35]. Among these models, the power law is the most commonly cited and accepted in the scientific literature.
In this paper, a new functionally graded model called coated FGM is proposed to further enrich the scientific literature. This model allows for the grading of material properties in all directions, from all surfaces to the core. The provided method can facilitate theoretical studies with greater flexibility for analysis, such as the modeling of gas and wind turbine blades, as presented in Ref. [36]. The free vibration response of coated FG plates/shells incorporating the porosities and microstructure-dependent effects is investigated in this analysis based on a developed Galerkin approach. The proposed solution is limited only to uniform thicknesses and opposite boundary conditions (e.g., SSSS, CCCC, CCSS). The current study is structured as follows: Section 2 provides a detailed explanation of the geometrical modeling and material distribution of the coated functionally graded shells. Section 3 presents the fundamental equations governing the displacements, stress–strain relationship, and equations of motion. Section 4 describes the analytical solution approach based on Galerkin’s method. Section 5 includes the numerical findings and discussions. Finally, Section 6 summarizes the most important outcomes of the study.

2. Material Distribution Functions

The dimensions of a rectangular functionally graded shell are presented in Figure 1. The shell is made of aluminum (metal) and alumina (ceramic). Based on the rule of mixture, the effective mechanical properties, such as Young’s modulus E , Poisson’s ratio υ , and density ρ can be presented as [29]:
P ( x , y , z ) = P m + ( P c P m ) V ( x , y , z )
where V ( x , y , z ) represents the spatial variation in the volume fraction of the ceramic phase. P m and P c represent the mechanical properties of the metal and ceramic, respectively. In the current analysis, two types of ceramic/metal distribution are presented, hardcore (HC) and softcore (SC) FGMs, and the power law functions in three directions are used to define the spatial distribution of materials. Each FGM type has five schemes, FG-A, FG-B, FG-C, FG-D and FG-E, as shown in Figure 2.

2.1. Hardcore Coated Functionally Graded Shell (HC)

The volume fraction of the Hardcore shell is provided in the following equation:
{ V ( z ) = [ ( | 2 z | h ) p 1 ] + Λ z V ( x ) = [ ( | 2 x a | a ) k 1 ] + Λ x V ( y ) = [ ( | 2 y b | b ) e 1 ] + Λ y
p , k and e are the power law indexes. The functionally graded material distribution for various power exponents is shown in Figure 3. For the HC-coated functionally graded shell, the total volume fraction can be given as:
V ( x , y , z ) = V ( x ) V ( y ) V ( z )

2.2. Softcore Coated Functionally Graded Shell (SC)

The volume fraction of the Softcore shell is provided in the following equation:
{ V ( z ) = [ ( | 2 z | h ) p 1 ] Λ z V ( x ) = [ ( | 2 x a | a ) k 1 ] Λ x V ( y ) = [ ( | 2 y b | b ) e 1 ] Λ y
Additionally, the total volume fraction can be given as:
V ( x , y , z ) = 1 V ( x ) V ( y ) V ( z )
Λ x , Λ y and Λ z are porosity functions in the x, y and z directions, respectively. Four types of porosity distributions are suggested:
  • Even distribution of porosity (Porosity I)
Λ x = Λ y = Λ z = ζ / 2
Here, ζ defines the porosity coefficient, where 0 ζ 0.2
  • Uneven distribution of porosity (Porosity II)
{ Λ z = ζ 2 [ 1 2 | z | h ] Λ x = ζ 2 [ 1 | 2 x a | a ] Λ y = ζ 2 [ 1 | 2 y b | b ]
  • Nonlinear (1) distribution of porosity (Porosity III)
{ Λ z = ζ 2 [ 1 ( 1 + | 2 z 1 | h ) p ] Λ x = ζ 2 [ 1 ( | 2 x a | a ) k ] Λ y = ζ 2 [ 1 ( | 2 y b | b ) e ]
  • Nonlinear (2) distribution of porosity (Porosity IV)
{ Λ z = ζ 2 [ ( 1 + | 2 z 1 | h ) p ] Λ x = ζ 2 [ ( | 2 x a | a ) k ] Λ y = ζ 2 [ ( | 2 y b | b ) e ]

3. Basic Equations

3.1. Generalized Shear Deformation Shell Theory

In the literature, several shell theories were introduced, such as the classical plate theory (CPT), the first-order shear deformation theory (TSDT), and the higher-order shear deformation theory (HSDT). The first-order shear deformation theory was proposed to replace the classical plate theory, in which the effect of transverse shear strain is neglected. Thereafter, to ensure zero shear at the top and bottom surface of the proposed shell, the higher-order shear deformation theory was generated. The displacement field based on the generalized HSDT can be given in the following formulation [37]:
u ( x , y , z , t ) = ( 1 + z R x ) u 0 z w 0 x + f ( z ) ψ x v ( x , y , z , t ) = ( 1 + z R y ) v 0 z w 0 y + f ( z ) ψ y w ( x , y , z , t ) = w 0
in which u , v and w are the displacements in the directions x , y and z , respectively. ψ x and ψ y are the rotations. The shape function for the shear distribution can be given as:
f ( z ) = h sinh ( z h ) 3 z 3 2 h 2
where g ( z ) = f ( z ) .
For special cases, when the shell has uniform thickness and the opposite boundary conditions must be the same (e.g., SSSS, CCCC, CCSS), the rotations ψ x and ψ y take the same values ( ψ x = ψ y = ψ ) . Therefore, the field of displacement can be presented in the following formulation:
u ( x , y , z , t ) = ( 1 + z R x ) u 0 z w 0 x f ( z ) ψ x v ( x , y , z , t ) = ( 1 + z R y ) v 0 z w 0 y f ( z ) ψ y w ( x , y , z , t ) = w 0
where the total number of displacement field unknowns is reduced from five to four unknowns. Based on the assumed modified displacement field described by Equation (12), the strains at any generic point through the domain of the nanoshell can be expressed in the following formulation:
ε x x ε y y γ x y γ y z γ x z = u 0 , x + w 0 / R x w 0 , x x ψ , x x 0 0 v 0 , y + w 0 / R y w 0 , y y ψ , y y 0 0 v 0 , x + u 0 , y 2 w 0 , x y 2 ψ , x y 0 0 0 0 0 ϕ , y ψ , y 0 0 0 0 ϕ , x ψ , x 0 1 z f ( z ) f ( z ) f ( z )
Taking into account the action of the strain gradient stress and nonlocal elastic stress, the constitutive equation of the nanoshell can be portrayed as [38]:
σ i j = σ i j ( 0 ) d σ i j ( 1 ) d x
The stress σ i j ( 0 ) and the higher-order stress σ i j ( 1 ) are dependent on the strain ε k l and the first-order strain gradient ε k l , x , and they can be written as
σ i j ( 0 ) = 0 L C i j k l α 0 ( x , x , e 0 a ) ε k l ( x ) d x
σ i j ( 1 ) = l 2 0 L C i j k l α 1 ( x , x , e 1 a ) ε k l , x ( x ) d x
C i j k l are elastic constants, l represents the material length scale parameter, which describes the field of the strain gradient stress. The nonlocal parameters, which describe the field of the nonlocal elastic stress, are e 0 a and e 1 a , and α 0 ( x , x , e 0 a ) and α 1 ( x , x , e 1 a ) are the nonlocal kernel functions [39]. The constitutive relation is given as:
[ 1 ( e 1 a ) 2 2 ] [ 1 ( e 0 a ) 2 2 ] σ i j = C i j k l [ 1 ( e 1 a ) 2 2 ] ε k l C i j k l l 2 [ 1 ( e 0 a ) 2 2 ] 2 ε k l
2 = 2 x 2 + 2 y 2 describes the Laplacian operator. The nonlocal strain gradient constitutive relations, given in Equation (12) by assuming that e = e 0 = e 1 , can be presented as:
[ 1 μ 2 ] σ i j = C i j k l [ 1 λ 2 ] ε k l
where μ = ( e a ) 2 and λ = l 2 .
The nonlocal strain gradient constitutive stress–strain relations are governed by [40,41]:
σ x x μ 2 σ x x σ y y μ 2 σ y y τ y z μ 2 τ y z τ x z μ 2 τ x z τ x y μ 2 τ x y = Q 11 Q 12 0 0 0 Q 12 Q 22 0 0 0 0 0 Q 44 0 0 0 0 0 Q 55 0 0 0 0 0 Q 66 ε x x λ 2 ε x x ε y y λ 2 ε y y γ y z λ 2 γ y z γ x z λ 2 γ x z γ x y λ 2 γ x y
where
Q 11 = Q 22 = E ( x , y , z ) 1 υ 2 Q 12 = υ Q 11 Q 44 = Q 55 = Q 66 = E ( x , y , z ) 2 ( 1 + υ )
Here, 2 describes the Laplacian operator ( 2 = 2 x 2 + 2 y 2 ) , μ = ( e a ) 2 and λ = l 2 . Here, e a captures the nonlocal effects, while l captures the strain gradient effects.

3.2. Equations of Motion

To obtain the governing equations, the principle of Hamilton is applied, which can be written as:
δ t 2 t 1 δ ( U + F T ) d t = 0
The variation in the strain energy δ U of the coated FG nanoshell is given as:
δ U = V [ σ x x δ ε x x + σ y y δ ε y y + τ x y γ x y + τ y z γ y z + τ x z γ x z ] d V
The variation in the kinetic energy δ U of the coated FG shell at any moment is expressed as:
δ T = 1 2 0 L A ρ ( u ˙ δ u ˙ + v ˙ δ v ˙ + w ˙ δ w ˙ ) d A d x
The Viscoelastic/Winkler/Pasternak foundation is defined as an infinite set of springs, dashpots and viscous elements connected in parallel:
δ F = F spring + F shear + F damping = K w w ( x , y ) + K s ( 2 w ( x , y ) x 2 + 2 w ( x , y ) y 2 ) + C d w ( x , y ) t
where K w , K s and C d are spring, shear and damping parameters of the foundation, respectively.
Inserting Equations (22)–(24) into Equation (21), the equations of motion of the coated FG nanoshells can be obtained as follows:
1 λ 2 A 11 2 u 0 x 2 + A 66 2 u 0 y 2 + A 12 + A 66 2 v 0 x y + A 11 R x + A 12 R y w 0 x B 11 3 w 0 x 3 B 12 + 2 B 66 3 w 0 x y 2 C 11 3 ψ x 3 C 12 + 2 C 66 3 ψ x y 2 = 1 μ 2 I 0 + 2 I 1 R x + I 3 R y 2 2 u 0 t 2 I 1 + I 2 R x 3 w 0 x t 2 I 3 + I 4 R x 2 ψ t 2
1 λ 2 A 12 + A 66 2 u 0 x y + A 22 2 v 0 y 2 + A 66 2 v 0 x 2 B 12 + 2 B 66 3 w 0 x 2 y B 22 3 w 0 y 3 + A 12 R x + A 22 R y w 0 x C 12 + 2 C 66 3 ψ x 2 y C 22 3 ψ y 3 = 1 μ 2 I 0 + 2 I 1 R y + I 2 R y 2 2 v 0 t 2 I 1 + I 2 R y 3 w 0 y t 2 I 3 + I 4 R y 2 ψ t 2
1 λ 2 B 11 3 u 0 x 3 + B 12 + 2 B 66 3 u 0 x y 2 A 11 R x + A 12 R y u 0 x + B 12 + 2 B 66 3 v 0 x 2 y + B 22 3 v 0 y 3 A 12 R x + A 22 R y v 0 y + 2 B 11 R x + 2 B 12 R y 2 w 0 x 2 D 11 4 w 0 x 4 2 D 12 + 4 D 66 4 w 0 x 2 y 2 D 22 4 w 0 y 4 + 2 B 12 R x + 2 B 22 R y 2 w 0 y 2 A 11 R x 2 + 2 A 12 R x R y + A 22 R y 2 w 0 E 11 4 ψ x 4 2 E 12 + 2 E 66 4 ψ x 2 y 2 E 22 4 ψ y 4 + C 11 R x + C 12 R y 2 ψ x 2 + C 12 R x + C 22 R y 2 ψ y 2 = 1 μ 2 I 0 2 w 0 t 2 + I 1 + I 2 R x 3 u 0 x t 2 + I 1 + I 2 R y 3 v 0 y t 2 I 2 4 w 0 x 2 t 2 + 4 w 0 y 2 t 2 + I 4 3 ψ x t 2 + 3 ψ y t 2
1 λ 2 C 11 3 u x 3 + C 12 + 2 C 66 3 u x y 2 + C 12 + 2 C 66 3 v x 2 y + C 22 3 v y 3 E 11 4 w 0 x 4 2 E 12 + 2 E 66 4 w 0 x 2 y 2 E 22 4 w 0 x 4 F 11 4 ψ x 4 2 F 12 + 2 F 66 4 ψ x 2 y 2 F 22 4 ψ y 4 + J 44 2 ψ y 2 + J 55 2 ψ x 2 + C 11 R x + C 12 R y 2 w x 2 + C 12 R x + C 22 R y 2 w y 2 = 1 μ 2 I 3 + I 4 R x 3 u 0 x t 2 + 3 v 0 y t 2 I 4 4 w 0 x 2 t 2 + 4 w 0 y 2 t 2 I 5 4 ψ x 2 t 2 + 4 ψ y 2 t 2
The coefficients of the stiffness can be expressed as:
{ A i j ,   B i j ,   D i j ,   C i j , F i j , H i j } =   Q i j { 1 ,   z , z 2 , f ( z ) , z f ( z ) , f ( z ) 2 } d x d y d z ,   ( i , j = 1 , 2 , 6 ) J i i =   Q i i ( f ( z ) ) 2 d x d y d z ,       ( i = 4 , 5 )
and
{ I 0 ,   I 1 ,   I 2 ,   I 3 , I 4 , I 5 } = ρ ( x , y , z ) { 1 ,   z , z 2 , f ( z ) , z f ( z ) , ( Φ ( z ) ) 2 } d x d y d z

4. Analytical Solution

By considering the four unknowns of displacements and examining various boundary conditions, the Galerkin approach is employed. Galerkin expressions of displacements can be provided as [42,43,44]:
u 0 = m = 1 n = 1 U m n . X m ( x ) x Y n ( y ) e i ω t v 0 = m = 1 n = 1 V m n . X m ( x ) Y n ( y ) y e i ω t { w 0 , ψ } = m = 1 n = 1 { W m n , Ψ m n , } X m ( x ) Y n ( y ) e i ω t
The arbitrary parameters are defined as U m n , V m n , W m n , Ψ m n and Φ m n . m and n are mode numbers, and ω represents the natural frequency. The functions X m ( x ) and Y n ( y ) that satisfy the simply supported and/or clamped boundary conditions are represented in Table 1 and Figure 4.
Inserting Equation (31) into Equations (25)–(28), one obtains
[ K ] ω m n 2   [ M ] = 0
[K] and [M] are the rigidity matrix and mass matrix represented in Appendix A.

5. Results and Discussion

A rectangular FG nanoshell of thickness, length and width h × a × b, made of a mixture of aluminum and alumina (Al/Al2O3) with the following material properties:
Aluminum   Al :   E m = 70   GPa ,   ρ m = 2707 Kg / m 3   υ m = 0.3 Alumina   Al 2 O 3 :   E c = 380   GPa ,   ρ c = 3800 Kg / m 3   υ c = 0.3
The dimensionless values of frequency and various foundation parameters are given as:
ω ¯ = 10 2 ω h ρ c E c
K w = k w a 2 D ,     K s = k s D ,     C d = c d ( h D ρ c ) 1
where D = E c h 3 12 ( 1 v 2 ) .
Table 2 presents a comparative analysis aimed at validating the accuracy of the current approach for computing the dimensionless frequencies ω ˜ of simply supported square Al/Al2O3 FG plates and doubly curved shells using the proposed specific solution. The results demonstrate that the difference between the proposed method and the previously published data is minimal, indicating that the proposed model is precise and effective for analyzing the mechanical behavior of FG shells.
Table 3 examines the impact of the variation in the inhomogeneity parameters p , k , and e on the dimensionless frequency ω ¯ of coated FG spherical shells ( R x / a = R y / b = 5 ). Various schemes and types of FG coated shells are investigated. The vibrational behavior of the same structures is analyzed in Table 4 by changing the radius of curvature.
The influence of porosity types on the vibration response of coated FG spherical shells with simply supported ends is illustrated in Table 5. The porosity coefficient is taken as 0.1, 0.2. It is seen that the porosities have a significant influence on the response.
Dimensionless frequency ω ¯ of simply supported coated FG nanoshells influenced by the nonlocal and length-scale parameters is tabulated in Table 6 by considering various distribution patterns. From this table, the stiffness of the nanoshell is affected by the length-scale and the nonlocal parameters, where the augmentation of the nonlocal parameter μ leads to a diminishing in the frequencies because of the reduction in the rigidity of the nanoshell. The inverse impact is detected by the increase in the length-scale parameter where the rigidity augments. For the hardcore shell, the highest and lowest natural frequencies are obtained for FG-E and FG-A, respectively. However, the inverse observation is noticed for the softcore arrangement.
In Table 7, the dimensionless frequency ω ¯ of coated FG shells versus the aspect ratio is tabulated for various boundary conditions. It is worth mentioning that the highest frequencies are obtained for the fully clamped shells, whereas the lowest frequencies are for the simply supported ones.
In order to examine the vibrational behavior of the tri-coated FG shells resting on a Winkler/Pasternak viscoelastic foundation, a parametric study is performed by varying the various foundation parameters such as the Winkler foundation parameter K w , the Pasternak foundation parameters K s and the damping coefficient C d . Table 8 illustrates the influence of the mentioned parameters on dimensional frequencies.
To understand more the impact of various material and geometrical parameters on the frequencies of uni-, bi- and tri-coated FG shells using the proposed specific solution, Figure 5, Figure 6, Figure 7, Figure 8, Figure 9, Figure 10, Figure 11, Figure 12, Figure 13, Figure 14, Figure 15 and Figure 16 are plotted. Dimensionless frequencies of various schemes of FG shell in the function of material distribution indexes p , k and e are shown in Figure 5. The inhomogeneity indexes are varied from 0 to 10. In the case of the hardcore FG structure, and for all FG schemes, the augmentation in the indexes p , k and e leads to an improvement in the shell stiffness, and, therefore, an increment in the dimensionless frequencies. For the softcore FG structure, the inverse action of the inhomogeneity indexes p , k and e on the shell stifnes is obtained, where the dimensionless frequencies are reduced by the increase in the inhomogeneity indexes. The case of p = k = e = 0 means that the shell is fully metal for the hardcore structure and fully ceramic for the softcore structure. To further clarify, the action of exponents p and k on the dimensionless frequency of simply supported hardcore/softcore FG-C coated shells is presented in Figure 6.
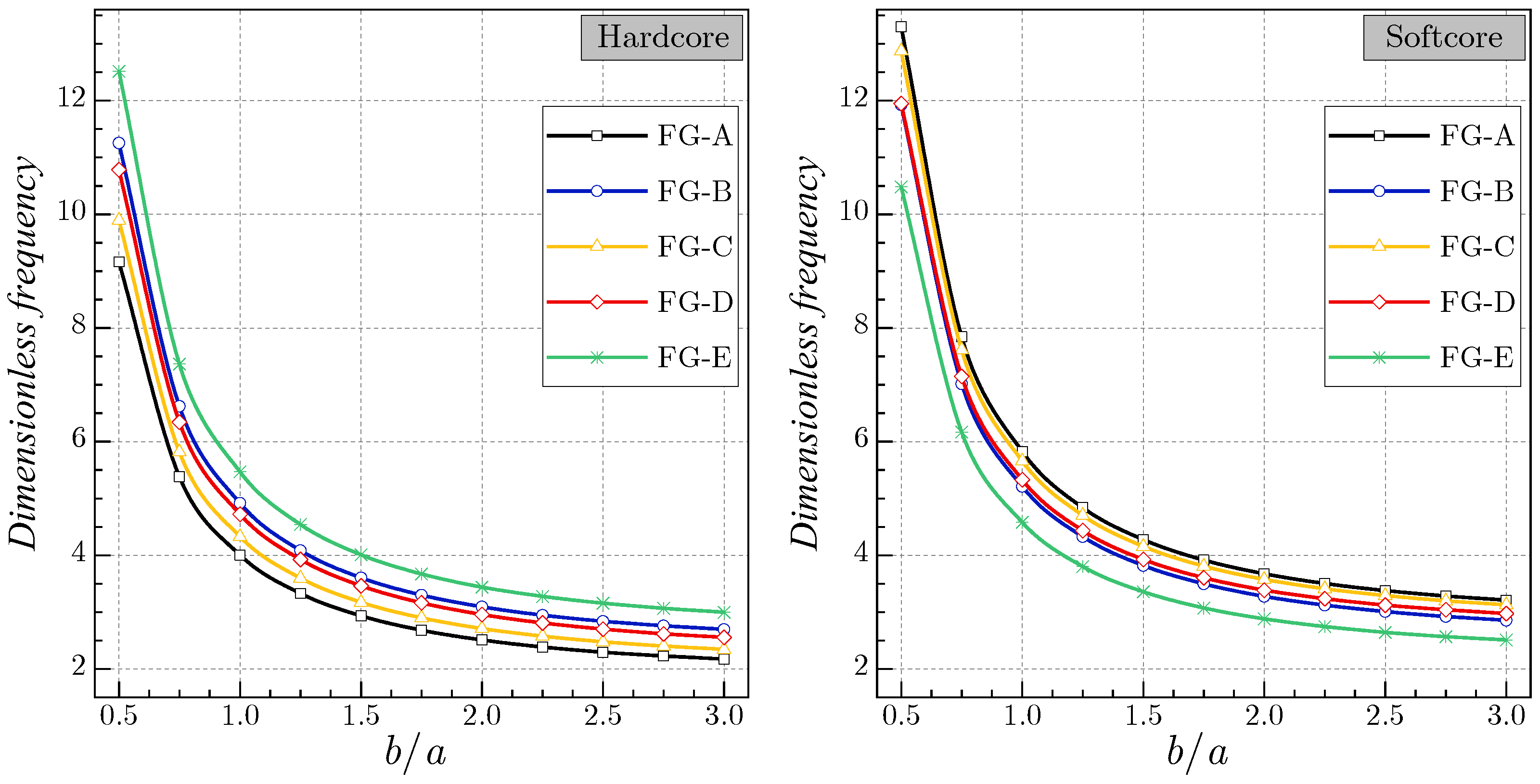
The impact of the geometric parameter “b/a” on the dimensionless frequencies of various types of the coated shell with simply supported boundary conditions is examined in Figure 7. Regardless of the FG coated shell types and schemes, it is seen that the increase in the parameter “b/a” makes the FG shell softer, and this leads to a reduction in the dimensionless frequencies.
Figure 8 illustrates the effect of the radius of curvature R x / a and R y / b on the dimensionless frequencies of FG-A tri-coated shell for a constant inhomogeneity index p = k = e = 2 . The augmentation of the radius of curvature R x / a leads to a decrement in the dimensionless frequencies.
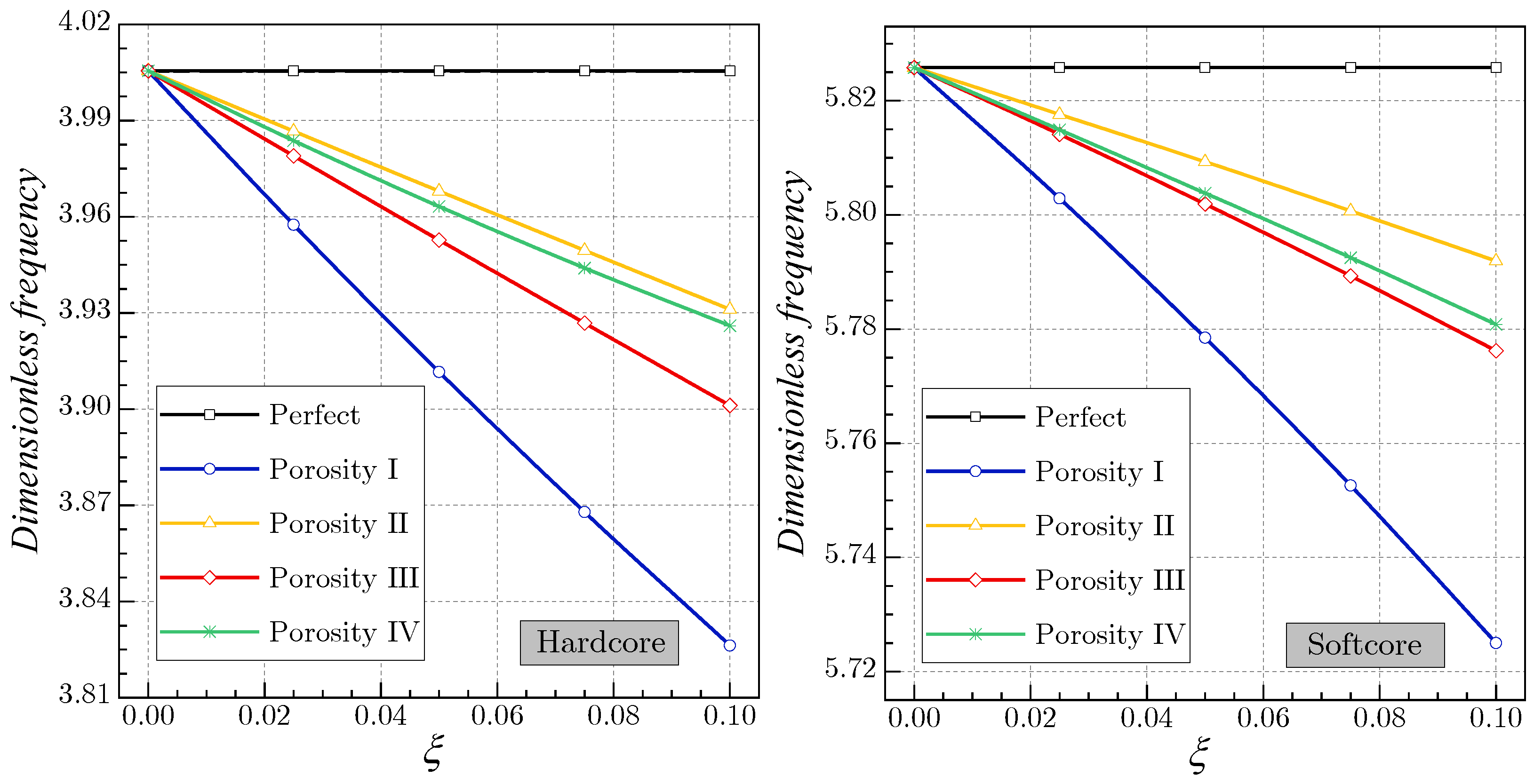
To demonstrate the action of porosities on the dimensionless frequencies of simply supported FG-A coated shells, Figure 9 is plotted. Four types of porosity distribution are examined by changing the value of the porosity coefficient ξ from 0 (perfect shells) to 0.1. It is clear that the frequencies are influenced by the porosity coefficient ξ , where the inclusion of porosities leads to a reduction in the shell stiffness; therefore, the frequencies decrease. By comparison of porosity distribution patterns, the “Porosity I” pattern has a significant impact, whereas the least impact is noted for the “Porosity II” pattern.
Figure 10 presents the action of various pattern distributions of porosity on the dimensionless frequencies of different schemes of a simply supported softcore coated spherical shell. Regardless of the porosity pattern distributions, it is clear that the FG-E shells are more influenced by the coefficient of porosity than the other shell schemes.
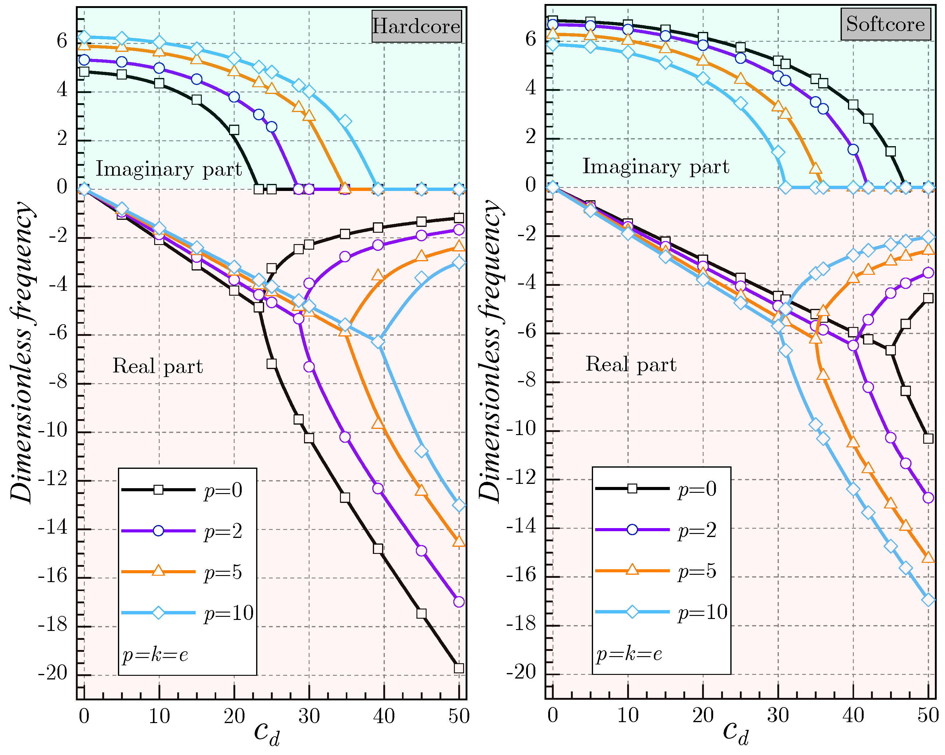
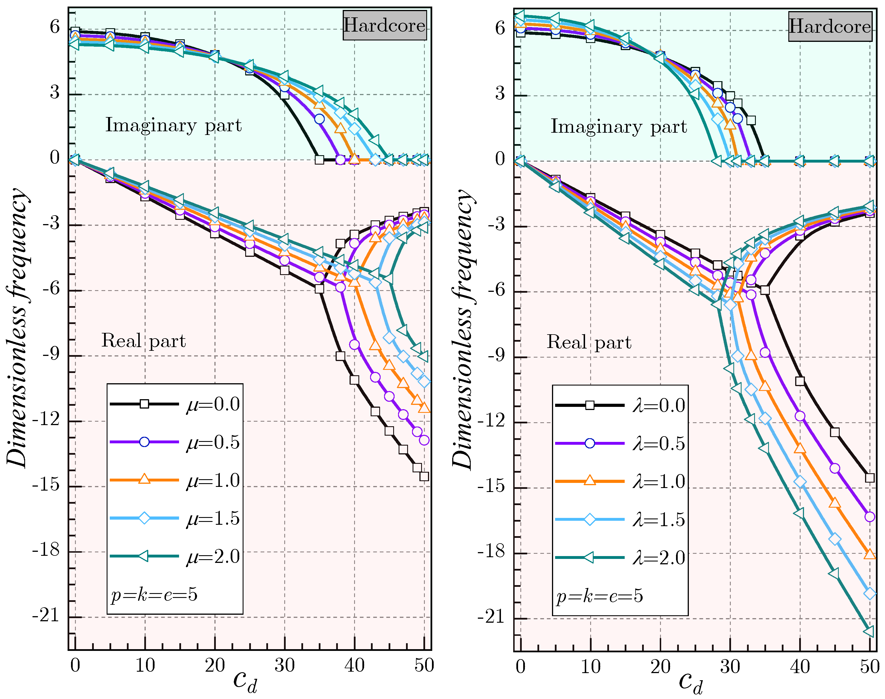
The effect of the viscoelastic foundation on spherical hardcore/softcore FG coated shell is investigated in detail in Figure 11, Figure 12, Figure 13 and Figure 14 by varying various material and geometric parameters. Figure 11 shows the effects of the damping coefficient of the viscoelastic medium and the material inhomogeneity parameters p , k and e on the imaginary part of the eigenfrequency and the real part of the eigenfrequency of a simply supported coated FG spherical shell. The parameters of the Winkler/Pasternak foundation and the geometric parameters are taken as K w = K s = 10 and b = a = 10 h , respectively. As shown in this figure, the inclusion of the damping coefficient reduces the frequencies in a continuous manner, where the imaginary part of the eigenfrequency decreases as the damping coefficient increases. The higher values of inhomogeneity indexes of softcore FG coated shell (or lowest indexes of hardcore FG coated shell) lead to a smaller critical damping coefficient C d in which the shell stiffness degrades, and the dimensionless frequencies decrease. The imaginary part of the eigenfrequency of the softcore shell becomes zero when the damping coefficient is C d 31 ,   36 ,   42 and 47 for inhomogeneity indexes p = 10, 5, 2, 0 ( p = k = e ), respectively. For the hardcore FG shells, the imaginary part of the eigenfrequency becomes zero when C d 23.3 ,   25 ,   34.8 and 39.2 for inhomogeneity indexes p = 0, 2, 5, 10, respectively.
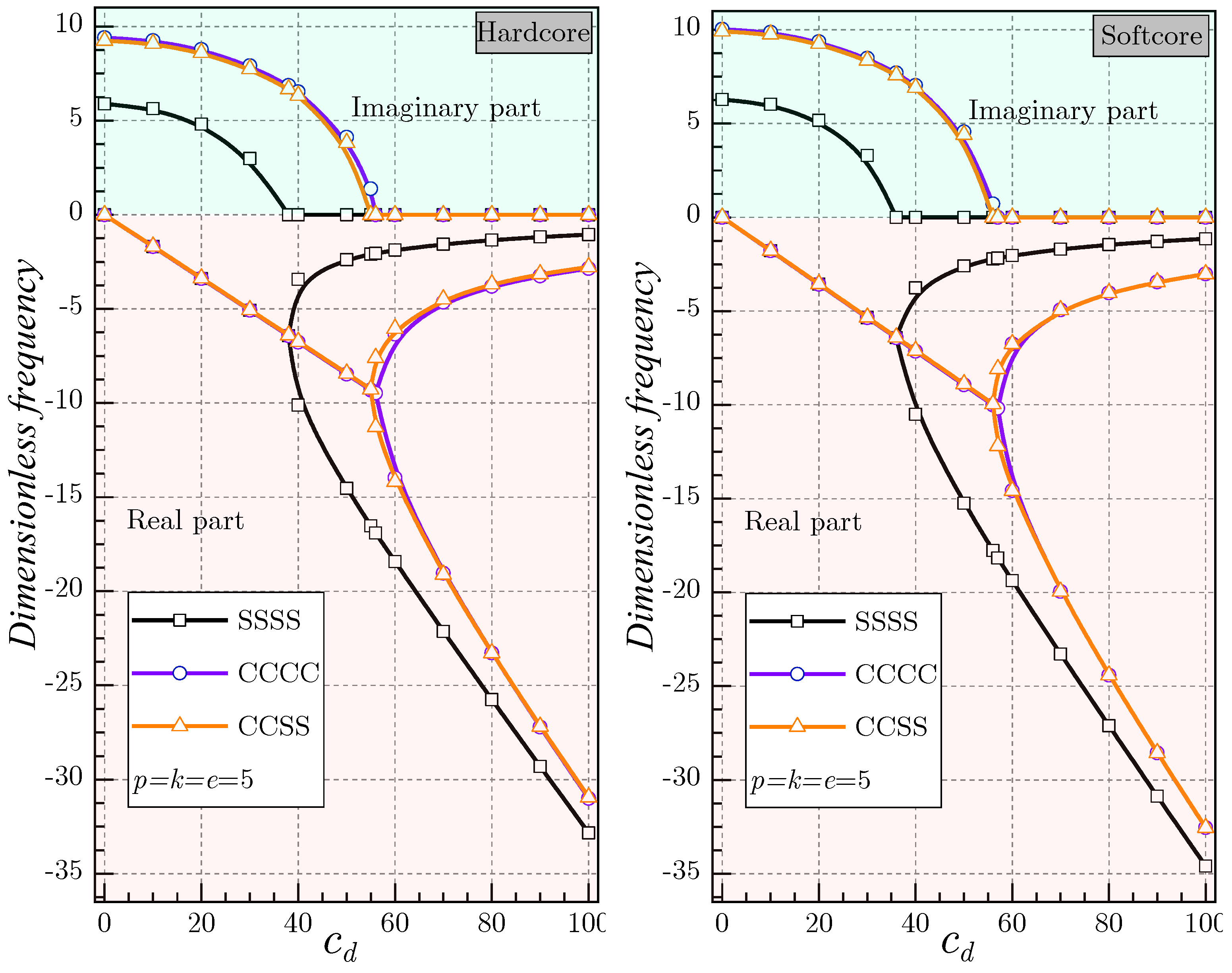
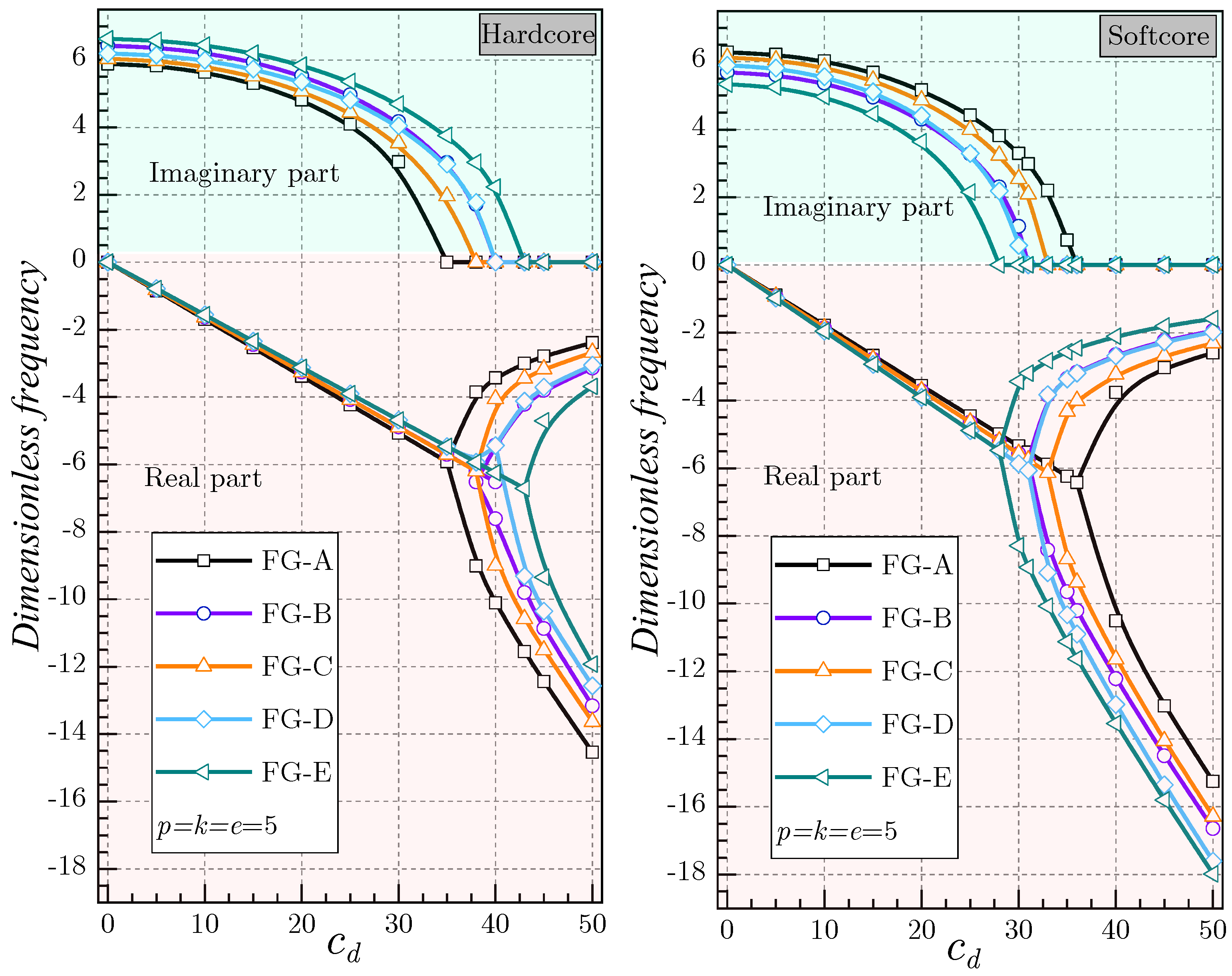
The effect of the damping coefficient on the dimensionless frequencies of various types of coated shells is presented in Figure 12. It can be observed that, wherever the FG shell scheme is, the augmentation of the damping coefficient reduces the stiffness of the shell, and the imaginary eigenfrequencies degrade until a critical point in which the frequencies become zero.
Figure 13 shows the action of the damping coefficient on the dimensionless frequencies of an FG-A coated shell subjected to different boundary conditions. It is seen that the fully clamped (CCCC) FG coated shell has larger values of imaginary frequency than the CCSS and SSSS shells. Furthermore, there are three intersections in the real part of the eigenfrequency for the cases of C d 37 for the SSSS shells. C d 55 for the CCSS and CCCC shells. For example, in the first case of simply supported FG coated shells, the system is under-damped when C d 37 and is over-damped when C d 37 .
In Figure 14, the action of the damping coefficient on the dimensionless frequencies of a hardcore FG-A coated nanoshell for different length-scale and nonlocal parameters is plotted. It is seen that as the nonlocal parameter μ increases, the value of the critical damping coefficient decreases. For more explanation, the rise in the nonlocal parameter decreases the interaction force between nanoshell atoms; therefore, the nanoshell becomes softer. On the other hand, the augmentation of the length-scale parameter λ leads to an increment in the shell stiffness; therefore, the critical damping coefficient increases.
The dimensionless frequencies of hardcore/softcore FG-A coated shells influenced by the Winkler/Pasternak elastic foundation are illustrated in Figure 15. The inclusion of the foundation improves the rigidity of the shells, where the increase in the parameters K w and K s lead to an augmentation in the values of the dimensionless frequency. In addition. the hardcore FG shell is more influenced by the foundation parameters than the softcore FG shell.
Figure 16 shows the effect of both the nonlocal parameter ( μ ) and the length-scale parameter ( λ ) on the dimensionless frequencies of FG-A coated FG shells. It is observed that for both the softcore and hardcore coated FG shells, the dimensionless frequencies become larger as the nonlocal parameter ( μ ) decrease. This in turn means that the nonlocal effect has a stiffness-softening effect for both the softcore and hardcore coated FG shells. However, the dimensionless frequencies become smaller as the length-scale parameter ( λ ) decreases. Clearly. the nonlocal effect has a stiffness-hardening effect for both the softcore and hard-core coated FG shells.

6. Conclusions

This paper focused on a new tri-coated functionally graded material (FGM) shell rested on a viscoelastic Winkler/Pasternak foundation. The analysis examined the free vibration response, taking into account the effects of porosities and microstructure. Two types of tri-coated FG shells, hardcore and softcore, were studied, and five distribution patterns were proposed. Additionally, four porosity distributions were analyzed. The research developed an analytical solution based on the Galerkin approach to cover different boundary conditions. Furthermore, a parametric analysis was carried out to explore the impact of various factors on the fundamental frequencies, including the types and distribution patterns of coated FG nanoshells, gradient material distribution, porosities, length-scale parameter (nonlocal), material scale parameter (gradient), nanoshell geometry, and elastic foundation variation. Finally, the study offers valuable insights into the design of FGM shells and their performance under different conditions:
  • When the inhomogeneity indexes p , k and e increase, the hardcore FG shell becomes stiffer, while the softcore FG shell becomes less rigid.
  • For any FG structure scheme, increasing the aspect ratio b / a and radius of curvature R / a results in a decrease in dimensionless frequencies.
  • Including porosities into the FG shell decreases its stiffness, causing a reduction in the frequencies.
  • The inclusion of the damping coefficient reduces the frequencies in a continuous manner, where the imaginary part of the eigenfrequency decreases as the damping coefficient increases.
  • The inclusion of the Winkler/Pasternak foundations improves the rigidity of the shells, where the increase in various foundation parameters leads to an augmentation in the dimensionless frequency.

Author Contributions

E.E.G., project administration, funding acquisition, data curation. A.A.D., software, validation, formal analysis, investigation. S.K., formal analysis, investigation. A.M.A., software, visualization, data curation. E.M.B., conceptualization, formal analysis. M.A.E., conceptualization, methodology, review and editing. All authors have read and agreed to the published version of the manuscript.

Funding

This research was funded by the Institutional Fund Projects under Grant no. (IFPIP 1763-135-1443). Therefore, the authors gratefully acknowledge technical and financial support from the Ministry of Education and King Abdulaziz University, DSR, Jeddah, Saudi Arabia.

Institutional Review Board Statement

Not applicable.

Informed Consent Statement

Not applicable.

Data Availability Statement

Not applicable.

Conflicts of Interest

The authors declare no conflict of interest.

Appendix A

Elementary stiffness matrix K i j :
K 11 = A 11 0 a 0 b 3 X m x 3 Y n X m x Y n d x d y + A 66 0 a 0 b X m x 2 Y n y 2 X m x Y n d x d y λ A 11 + A 66 0 a 0 b 3 X m x 3 2 Y n y 2 X m x Y n d x d y + A 11 0 a 0 b 5 X m x 5 Y n X m x Y n d x d y + A 66 0 a 0 b X m x 4 Y n y 4 X m x Y n d x d y
K 12 = ( A 12 + A 66 ) ( 0 a 0 b X m x 2 Y n y 2 X m x Y n d x d y λ [ 0 a 0 b 3 X m x 3 2 Y n y 2 X m x Y n d x d y + 0 a 0 b X m x 4 Y n y 4 X m x Y n d x d y ] )
K 13 = A 11 R x + A 12 R y 0 a 0 b X m x Y n X m x Y n d x d y 0 a 0 b 3 X m x 3 Y n X m x Y n d x d y + 0 a 0 b X m x 2 Y n y 2 X m x Y n d x d y B 11 0 a 0 b 3 X m x 3 Y n X m x Y n d x d y B 12 + 2 B 66 0 a 0 b X m x 2 Y n y 2 X m x Y n d x d y λ B 12 + 2 B 66 + B 11 0 a 0 b 3 X m x 3 2 Y n y 2 X m x Y n d x d y B 11 0 a 0 b 5 X m x 5 Y n X m x Y n d x d y
K 14 = C 11 0 a 0 b 3 X m x 3 Y n X m x Y n d x d y C 12 + 2 C 66 0 a 0 b X m x 2 Y n y 2 X m x Y n d x d y λ B 12 + 2 B 66 + B 11 0 a 0 b 3 X m x 3 2 Y n y 2 X m x Y n d x d y B 11 0 a 0 b 5 X m x 5 Y n X m x Y n d x d y
K 21 = ( A 12 + A 66 ) ( 0 a 0 b 2 X m x 1 Y n y X m Y n y d x d y λ [ 0 a 0 b 4 X m x 4 Y n y X m Y n y d x d y + 0 a 0 b 2 X m x 2 3 Y n y 3 X m Y n y d x d y ] )
K 22 = A 22 0 a 0 b X m 3 Y n y 3 X m Y n y d x d y + A 66 0 a 0 b 0 b 2 X m x 2 Y n y X m Y n y d x d y λ A 22 + A 66 0 a 0 b 2 X m x 2 3 Y n y 3 X m Y n y d x d y + A 22 0 a 0 b X m 5 Y n y 5 X m Y n y d x d y + A 66 0 a 4 X m x 4 Y n y X m Y n y d x d y
K 23 = A 12 R x + A 22 R y 0 a 0 b X m Y n y X m Y n y d x d y λ 0 a 0 b 2 X m x 2 Y n y X m Y n y d x d y + 0 a 0 b X m 3 Y n y 3 X m Y n y d x d y B 22 0 a 0 b X m 3 Y n y 3 X m Y n y d x d y B 12 + 2 B 66 0 a 0 b X m x 2 Y n y 2 X m Y n y d x d y λ B 22 0 a 0 b 2 X m x 2 3 Y n y 3 X m Y n y d x d y + 0 a 0 b X m 5 Y n y 5 X m Y n y d x d y B 12 + 2 B 66 0 a 0 b 3 X m x 3 2 Y n y 2 X m Y n y d x d y + 0 a 0 b X m x 4 Y n y 4 X m Y n y d x d y
K 24 = C 22 0 a 0 b X m 3 Y n y 3 X m Y n y d x d y C 12 + 2 C 66 0 a 0 b 2 X m x 2 Y n y X m Y n y d x d y λ C 22 0 a 0 b 2 X m x 2 3 Y n y 3 X m Y n y d x d y + 0 a 0 b X m 5 Y n y 5 X m Y n y d x d y C 12 + 2 C 66 0 a 0 b 4 X m x 4 Y n y X m Y n y d x d y + 0 a 0 b 2 X m x 2 3 Y n y 3 X m Y n y d x d y
K 31 = A 11 R x + A 12 R y 0 a 0 b 2 X n x 2 Y n X m Y n d x d y λ 0 a 0 b 4 X n x 4 Y n X m Y n d x d y + 0 a 0 b 2 X n x 2 2 Y n y 2 X m Y n d x d y + B 11 0 a 0 b 4 X n x 4 Y n X m Y n d x d y + B 12 + 2 B 66 0 a 0 b 2 X m x 2 2 Y n y 2 X m Y n d x d y λ B 11 0 a 0 b 6 X n x 6 Y n X m Y n d x d y + B 11 + B 12 + 2 B 66 0 a 0 b 4 X m x 4 2 Y n y 2 X m Y n d x d y + B 12 + 2 B 66 0 a 0 b 2 X m x 2 4 Y n y 4 X m Y n d x d y
K 32 = ( A 12 R x + A 22 R y ) 0 a 0 b X m 2 Y n y 2 X m Y n d x d y λ 0 a 0 b 2 X m x 2 2 Y n y 2 X m Y n d x d y + 0 a 0 b X m 4 Y n y 4 X m Y n d x d y + B 22 0 a 0 b X m 4 Y n y 4 X m Y n d x d y + B 12 + 2 B 66 0 a 0 b 2 X m x 2 2 Y n y 2 X m Y n d x d y λ B 22 + B 12 + 2 B 66 0 a 0 b 2 X m x 2 4 Y n y 4 X m Y n d x d y + B 12 + 2 B 66 0 a 0 b 4 X m x 4 2 Y n y 2 X m Y n d x d y + B 22 0 a 0 b X m 6 Y n y 6 X m Y n d x d y
K 33 = 2 B 11 R x + B 12 R y 0 a 0 b 2 X n x 2 Y n X m Y n d x d y λ 0 a 0 b 4 X m x 4 Y n X m Y n d x d y + 0 a 0 b 2 X n x 2 2 Y n y 2 X m Y n d x d y + 2 B 12 R x + B 22 R y 0 a 0 b X m 2 Y n y 2 X m Y n d x d y λ 0 a 0 b 2 X m x 2 2 Y n y 2 X m Y n d x d y + 0 a 0 b X m 4 Y n y 4 X m Y n d x d y A 11 R x 2 + 2 A 12 R x R y + A 22 R y 2 0 a 0 b X m Y n X m Y n d x d y λ 0 a 0 b 2 X m x 2 Y n X m Y n d x d y + 0 a 0 b X m 2 Y n y 2 X m Y n d x d y D 11 0 a 0 b 4 X m x 4 Y n X m Y n d x d y D 22 0 a 0 b X m 4 Y n y 4 X m Y n d x d y 2 D 12 + 2 D 66 0 a 0 b 2 X m x 2 2 Y n y 2 X m Y n d x d y λ D 11 0 a 0 b 6 X m x 6 Y n X m Y n d x d y D 22 0 a 0 b X m 6 Y n y 6 X m Y n d x d y D 11 + 2 D 12 + 4 D 66 0 a 0 b 4 X m x 4 2 Y n y 2 X m Y n d x d y D 22 + 2 D 12 + 4 D 66 0 a 0 b 2 X m x 2 4 Y n y 4 X m Y n d x d y
K 34 = ( C 11 R x + C 12 R y ) 0 a 0 b 2 X n x 2 Y n X m Y n d x d y λ 0 a 0 b 4 X m x 4 Y n X m Y n d x d y + 0 a 0 b 2 X n x 2 2 Y n y 2 X m Y n d x d y C 12 R x + C 22 R y 0 a 0 b X m 2 Y n y 2 X m Y n d x d y λ 0 a 0 b 2 X m x 2 2 Y n y 2 X m Y n d x d y + 0 a 0 b X m 4 Y n y 4 X m Y n d x d y E 11 0 a 0 b 4 X m x 4 Y n X m Y n d x d y E 22 0 a 0 b X m 4 Y n y 4 X m Y n d x d y 2 E 12 + 2 E 66 0 a 0 b 2 X m x 2 2 Y n y 2 X m Y n d x d y λ E 11 0 a 0 b 6 X m x 6 Y n X m Y n d x d y E 22 0 a 0 b X m 6 Y n y 6 X m Y n d x d y E 11 + 2 E 12 + 4 E 66 0 a 0 b 4 X m x 4 2 Y n y 2 X m Y n d x d y E 22 + 2 E 12 + 4 E 66 0 a 0 b 2 X m x 2 4 Y n y 4 X m Y n d x d y
K 41 = C 11 0 a 0 b 4 X m x 4 Y n X m Y n d x d y + C 12 + 2 C 66 0 a 0 b 2 X m x 2 2 Y n y 2 X m Y n d x d y λ C 11 0 a 0 b 6 X m x 6 Y n X m Y n d x d y + C 12 + 2 C 66 0 a 0 b 2 X m x 2 4 Y n y 4 X m Y n d x d y + C 11 + C 12 + 2 C 66 0 a 0 b 4 X m x 4 2 Y n y 2 X m Y n d x d y
K 42 = C 22 0 a 0 b X m 4 Y n y 4 X m Y n d x d y + C 12 + 2 C 66 0 a 0 b 2 X m x 2 2 Y n y 2 X m Y n d x d y λ C 22 0 a 0 b X m 6 Y n y 6 X m Y n d x d y + C 12 + 2 C 66 0 a 0 b 4 X m x 4 2 Y n y 2 X m Y n d x d y C 22 + C 12 + 2 C 66 0 a 0 b 2 X m x 2 4 Y n y 4 X m Y n d x d y
K 43 = ( C 11 R x + C 12 R y ) 0 a 0 b X m x Y n X m x Y n d x d y λ 0 a 0 b 3 X m x 3 Y n X m x Y n d x d y + 0 a 0 b X m x 2 Y n y 2 X m x Y n d x d y C 12 R x + C 22 R y 0 a 0 b X m Y n y X m Y n y d x d y λ 0 a 0 b 2 X m x 2 Y n y X m Y n y d x d y + 0 a 0 b X m 3 Y n y 3 X m Y n y d x d y E 11 0 a 0 b 4 X m x 4 Y n X m Y n d x d y E 22 0 a 0 b X m 4 Y n y 4 X m Y n d x d y 2 E 12 + 2 E 66 0 a 0 b 2 X m x 2 2 Y n y 2 X m Y n d x d y λ E 11 0 a 0 b 6 X m x 6 Y n X m Y n d x d y E 22 0 a 0 b X m 6 Y n y 6 X m Y n d x d y E 11 + 2 E 12 + 4 E 66 0 a 0 b 4 X m x 4 2 Y n y 2 X m Y n d x d y E 22 + 2 E 12 + 4 E 66 0 a 0 b 2 X m x 2 4 Y n y 4 X m Y n d x d y
K 44 = F 11 0 a 0 b 4 X m x 4 Y n X m Y n d x d y F 22 0 a 0 b X m 4 Y n y 4 X m Y n d x d y 2 F 12 + 2 F 66 0 a 0 b 2 X m x 2 2 Y n y 2 X m Y n d x d y + J 44 0 a 0 b X m 2 Y n y 2 X m Y n d x d y + J 55 0 a 0 b 2 X m x 2 Y n X m Y n d x d y λ F 11 0 a 0 b 6 X m x 6 Y n X m Y n d x d y F 22 0 a 0 b X m 6 Y n y 6 X m Y n d x d y F 11 + 2 F 12 + 4 F 66 0 a 0 b 4 X m x 4 2 Y n y 2 X m Y n d x d y F 22 + 2 F 12 + 4 F 66 0 a 0 b 2 X m x 2 4 Y n y 4 X m Y n d x d y + J 44 0 a 0 b X m 4 Y n y 4 X m Y n d x d y + J 55 0 a 0 b 4 X m x 4 Y n X m Y n d x d y + J 44 + J 55 0 a 0 b 2 X m x 2 2 Y n y 2 X n Y n d x d y
Elementary mass matrix M i j :
M 11 = ( I 0 + 2 I 1 R x + I 3 R y 2 ) [ 0 a 0 b X m x Y n X m x Y n d x d y μ ( 0 a 0 b 3 X m x 3 Y n X m x Y n d x d y + 0 a 0 b X m x 2 Y n y 2 X m x Y n d x d y ) ]
M 13 = ( I 1 + I 2 R x ) [ 0 a 0 b X m x Y n X m x Y n d x d y μ ( 0 a 0 b 3 X m x 3 Y n X m x Y n d x d y + 0 a 0 b X m x 2 Y n y 2 X m x Y n d x d y ) ]
M 14 = ( I 3 + I 4 R x ) [ 0 a 0 b X m x Y n X m x Y n d x d y μ ( 0 a 0 b 3 X m x 3 Y n X m x Y n d x d y + 0 a 0 b X m x 2 Y n y 2 X m x Y n d x d y ) ]
M 22 = ( I 0 + 2 I 1 R y + I 2 R y 2 ) [ 0 a 0 b X m Y n y X m Y n y d x d y μ ( 0 a 0 b 2 X m x 2 Y n y X m Y n y d x d y + 0 a 0 b X m 3 Y n y 3 X m Y n y d x d y ) ]
M 23 = ( I 1 + I 2 R y ) [ 0 a 0 b X m Y n y X m Y n y d x d y μ ( 0 a 0 b 2 X m x 2 Y n y X m Y n y d x d y + 0 a 0 b X m 3 Y n y 3 X m Y n y d x d y ) ]
M 24 = ( I 3 + I 4 R y ) [ 0 a 0 b X m Y n y X m Y n y d x d y μ ( 0 a 0 b 2 X m x 2 Y n y X m Y n y d x d y + 0 a 0 b X m 3 Y n y 3 X m Y n y d x d y ) ]
M 31 = ( I 1 + I 2 R x ) [ 0 a 0 b 2 X m x 2 Y n X m Y n d x d y μ ( 0 a 0 b 4 X m x 4 Y n X m Y n d x d y + 0 a 0 b 2 X m x 2 2 Y n y 2 X m Y n d x d y ) ]
M 32 = ( I 1 + I 2 R y ) I 1 [ 0 a 0 b X m 2 Y n y 2 X m Y n d x d y μ ( 0 a 0 b 2 X m x 2 2 Y n y 2 X m Y n d x d y + 0 a 0 b X m 4 Y n y 4 X m Y n d x d y ) ]
M 33 = I 0 [ 0 a 0 b X m Y n X m Y n d x d y μ 0 a 0 b 2 X m x 2 Y n X m Y n d x d y + 0 a 0 b X m 2 Y n y 2 X m Y n d x d y ] I 2 0 a 0 b 2 X m x 2 Y n X m Y n d x d y + 0 a 0 b X m 2 Y n y 2 X m Y n d x d y μ 0 a 0 b 4 X m x 4 Y n X m Y n d x d y + 2 0 a 0 b 2 X m x 2 2 Y n y 2 X m Y n d x d y + 0 a 0 b X m 4 Y n y 4 X m Y n d x d y
M 34 = I 4 [ 0 a 0 b 2 X m x 2 Y n X m Y n d x d y + 0 a 0 b X m 2 Y n y 2 X m Y n d x d y μ 0 a 0 b 4 X m x 4 Y n X m Y n d x d y + 2 0 a 0 b 2 X m x 2 2 Y n y 2 X m Y n d x d y + 0 a 0 b X m 4 Y n y 4 X m Y n d x d y
M 41 = ( I 3 + I 4 R x ) [ 0 a 0 b 2 X m x 2 Y n X m Y n d x d y μ ( 0 a 0 b 4 X m x 4 Y n X m Y n d x d y + 0 a 0 b 2 X m x 2 2 Y n y 2 X m Y n d x d y ) ]
M 42 = ( I 3 + I 4 R y ) [ 0 a 0 b 2 X m x 2 Y n X m Y n d x d y μ ( 0 a 0 b 2 X m x 2 2 Y n y 2 X m Y n d x d y + 0 a 0 b X m 4 Y n y 4 X m Y n d x d y ) ]
M 43 = I 4 0 a 0 b 2 X m x 2 Y n X m Y n d x d y + 0 a 0 b X m 2 Y n y 2 X m Y n d x d y μ 0 a 0 b 4 X m x 4 Y n X m Y n d x d y + 2 0 a 0 b 2 X m x 2 2 Y n y 2 X m Y n d x d y + 0 a 0 b X m 4 Y n y 4 X m Y n d x d y
M 44 = I 5 0 a 0 b 2 X m x 2 Y n X m Y n d x d y + 0 a 0 b X m 2 Y n y 2 X m Y n d x d y μ 0 a 0 b 4 X m x 4 Y n X m Y n d x d y + 2 0 a 0 b 2 X m x 2 2 Y n y 2 X m Y n d x d y + 0 a 0 b X m 4 Y n y 4 X m Y n d x d y
M 12 = M 21 = 0

References

  1. Koizumi, M. FGM activities in Japan. Compos. Part B Eng. 1997, 28, 1–4. [Google Scholar] [CrossRef]
  2. Jha, D.; Kant, T.; Singh, R. A critical review of recent research on functionally graded plates. Compos. Struct. 2013, 96, 833–849. [Google Scholar] [CrossRef]
  3. Thanh, C.L.; Nguyen, T.N.; Vu, T.H.; Khatir, S.; Abdel Wahab, M. A geometrically nonlinear size-dependent hypothesis for porous functionally graded micro-plate. Eng. Comput. 2020, 38, 449–460. [Google Scholar] [CrossRef]
  4. Cuong-Le, T.; Nguyen, K.D.; Nguyen-Trong, N.; Khatir, S.; Nguyen-Xuan, H.; Abdel-Wahab, M. A three-dimensional solution for free vibration and buckling of annular plate, conical, cylinder and cylindrical shell of FG porous-cellular materials using IGA. Compos. Struct. 2021, 259, 113216. [Google Scholar] [CrossRef]
  5. Sahmani, S.; Fattahi, A.M.; Ahmed, N. Analytical treatment on the nonlocal strain gradient vibrational response of postbuckled functionally graded porous micro-/nanoplates reinforced with GPL. Eng. Comput. 2020, 36, 1559–1578. [Google Scholar] [CrossRef]
  6. Żur, K.K.; Arefi, M.; Kim, J.; Reddy, J.N. Free vibration and buckling analyses of magneto-electro-elastic FGM nanoplates based on nonlocal modified higher-order sinusoidal shear deformation theory. Compos. Part B Eng. 2020, 182, 107601. [Google Scholar] [CrossRef]
  7. Lü, C.; Lim, C.W.; Chen, W. Semi-analytical analysis for multi-directional functionally graded plates: 3-D elasticity solutions. Int. J. Numer. Methods Eng. 2009, 79, 25–44. [Google Scholar] [CrossRef]
  8. Nemat-Alla, M. Reduction of thermal stresses by composition optimization of two-dimensional functionally graded materials. Acta Mech. 2009, 208, 147–161. [Google Scholar] [CrossRef]
  9. Rad, A.B. Static analysis of two directional functionally graded circular plate under combined axisymmetric boundary conditions. Int. J. Eng. Appl. Sci. 2012, 4, 36–48. [Google Scholar]
  10. Behravan Rad, A.; Alibeigloo, A. Semi-Analytical Solution for the Static Analysis of 2D Functionally Graded Solid and Annular Circular Plates Resting on Elastic Foundation. Mech. Adv. Mater. Struct. 2013, 20, 515–528. [Google Scholar] [CrossRef]
  11. Nazari, H.; Babaei, M.; Kiarasi, F.; Asemi, K. Geometrically nonlinear dynamic analysis of functionally graded material plate excited by a moving load applying first-order shear deformation theory via generalized differential quadrature method. SN Appl. Sci. 2021, 3, 847. [Google Scholar] [CrossRef]
  12. Khakpour, M.; Bazargan-Lari, Y.; Zahedinejad, P.; Kazemzadeh-Parsi, M.-J. Vibrations evaluation of functionally graded porous beams in thermal surroundings by generalized differential quadrature method. Shock. Vib. 2022, 2022, 8516971. [Google Scholar] [CrossRef]
  13. Tornabene, F.; Fantuzzi, N.; Bacciocchi, M.; Viola, E.; Reddy, J.N. A numerical investigation on the natural frequencies of FGM sandwich shells with variable thickness by the local generalized differential quadrature method. Appl. Sci. 2017, 7, 131. [Google Scholar] [CrossRef]
  14. Shariyat, M.; Jafari, R. Nonlinear low-velocity impact response analysis of a radially preloaded two-directional-functionally graded circular plate: A refined contact stiffness approach. Compos. Part B Eng. 2013, 45, 981–994. [Google Scholar] [CrossRef]
  15. Adineh, M.; Kadkhodayan, M. Three-dimensional thermo-elastic analysis of multi-directional functionally graded rectangular plates on elastic foundation. Acta Mech. 2017, 228, 881–899. [Google Scholar] [CrossRef]
  16. Esmaeilzadeh, M.; Kadkhodayan, M. Dynamic analysis of stiffened bi-directional functionally graded plates with porosities under a moving load by dynamic relaxation method with kinetic damping. Aerosp. Sci. Technol. 2019, 93, 105333. [Google Scholar] [CrossRef]
  17. Alipour, M.; Shariyat, M.; Shaban, M. A semi-analytical solution for free vibration of variable thickness two-directional-functionally graded plates on elastic foundations. Int. J. Mech. Mater. Des. 2010, 6, 293–304. [Google Scholar] [CrossRef]
  18. Mikola, M.; Majak, J.; Pohlak, M.; Shvartsman, B. Higher order Haar wavelet method for vibration analysis of functionally graded beam. AIP Conf. Proc. 2022, 2425, 380003. [Google Scholar]
  19. Majak, J.; Shvartsman, B.; Ratas, M.; Bassir, D.; Pohlak, M.; Karjust, K.; Eerme, M. Higher-order Haar wavelet method for vibration analysis of nanobeams. Mater. Today Commun. 2020, 25, 101290. [Google Scholar] [CrossRef]
  20. Yas, M.; Moloudi, N. Three-dimensional free vibration analysis of multi-directional functionally graded piezoelectric annular plates on elastic foundations via state space based differential quadrature method. Appl. Math. Mech. 2015, 36, 439–464. [Google Scholar] [CrossRef]
  21. Lieu, Q.X.; Lee, S.; Kang, J.; Lee, J. Bending and free vibration analyses of in-plane bi-directional functionally graded plates with variable thickness using isogeometric analysis. Compos. Struct. 2018, 192, 434–451. [Google Scholar] [CrossRef]
  22. Lal, R.; Ahlawat, N. Buckling and vibrations of two-directional functionally graded circular plates subjected to hydrostatic in-plane force. J. Vib. Control. 2017, 23, 2111–2127. [Google Scholar] [CrossRef]
  23. Sorrenti, M.; Di Sciuva, M.; Majak, J.; Auriemma, F. Static response and buckling loads of multilayered composite beams using the refined zigzag theory and higher-order Haar wavelet method. Mech. Compos. Mater. 2021, 57, 1–18. [Google Scholar] [CrossRef]
  24. Majak, J.; Mikola, M.; Pohlak, M.; Eerme, M.; Karunanidhi, R. Modelling FGM materials. An accurate function approximation algorithms. IOP Conf. Ser. Mater. Sci. Eng. 2021, 1140, 012013. [Google Scholar] [CrossRef]
  25. Niknam, H.; Akbarzadeh, A.; Rodrigue, D.; Therriault, D. Architected multi-directional functionally graded cellular plates. Mater. Des. 2018, 148, 188–202. [Google Scholar] [CrossRef]
  26. Nguyen-Ngoc, H.; Cuong-Le, T.; Nguyen, K.D.; Nguyen-Xuan, H.; Abdel-Wahab, M. Three-dimensional polyhedral finite element method for the analysis of multi-directional functionally graded solid shells. Compos. Struct. 2023, 305, 116538. [Google Scholar] [CrossRef]
  27. Asgari, M.; Akhlaghi, M. Natural frequency analysis of 2D-FGM thick hollow cylinder based on three-dimensional elasticity equations. Eur. J. Mech.-A/Solids 2011, 30, 72–81. [Google Scholar] [CrossRef]
  28. Zafarmand, H.; Salehi, M.; Asemi, K. Three dimensional free vibration and transient analysis of two directional functionally graded thick cylindrical panels under impact loading. Lat. Am. J. Solids Struct. 2015, 12, 205–225. [Google Scholar] [CrossRef]
  29. Yamanouchi, M.; Koizumi, M.; Hirai, T.; Shiota, I. FGM’90. In Proceedings of the First International Symposium on Functionally Gradient Materials, Sendai, Japan, 8–9 October 1990. [Google Scholar]
  30. Shah, A.G.; Mahmood, T.; Naeem, M.N. Vibrations of FGM thin cylindrical shells with exponential volume fraction law. Appl. Math. Mech. 2009, 30, 607–615. [Google Scholar] [CrossRef]
  31. Chi, S.-H.; Chung, Y.-L. Mechanical behavior of functionally graded material plates under transverse load—Part I: Analysis. Int. J. Solids Struct. 2006, 43, 3657–3674. [Google Scholar] [CrossRef]
  32. Tornabene, F.; Viola, E. Free vibrations of four-parameter functionally graded parabolic panels and shells of revolution. Eur. J. Mech. A/Solids 2009, 28, 991–1013. [Google Scholar] [CrossRef]
  33. Ghamkhar, M.; Naeem, M.N.; Imran, M.; Soutis, C. Vibration analysis of a three-layered FGM cylindrical shell including the effect of ring support. Open Phys. 2019, 17, 587–600. [Google Scholar] [CrossRef]
  34. Pan, E. Exact solution for functionally graded anisotropic elastic composite laminates. J. Compos. Mater. 2003, 37, 1903–1920. [Google Scholar] [CrossRef]
  35. Daikh, A.-A.; Belarbi, M.-O.; Ahmed, D.; Houari, M.S.A.; Avcar, M.; Tounsi, A.; Eltaher, M.A. Static analysis of functionally graded plate structures resting on variable elastic foundation under various boundary conditions. Acta Mech. 2023, 234, 775–806. [Google Scholar] [CrossRef]
  36. Mourad, A.-H.I.; Almomani, A.; Sheikh, I.A.; Elsheikh, A.H. Failure analysis of gas and wind turbine blades: A review. Eng. Fail. Anal. 2023, 146, 107107. [Google Scholar] [CrossRef]
  37. Matsunaga, H. Free vibration and stability of functionally graded shallow shells according to a 2D higher-order deformation theory. Compos. Struct. 2008, 84, 132–146. [Google Scholar] [CrossRef]
  38. Lim, C.; Zhang, G.; Reddy, J. A higher-order nonlocal elasticity and strain gradient theory and its applications in wave propagation. J. Mech. Phys. Solids 2015, 78, 298–313. [Google Scholar] [CrossRef]
  39. Eringen, A.C. Plane waves in nonlocal micropolar elasticity. Int. J. Eng. Sci. 1984, 22, 1113–1121. [Google Scholar] [CrossRef]
  40. Daikh, A.A.; Houari, M.S.A.; Belarbi, M.O.; Mohamed, S.A.; Eltaher, M.A. Static and dynamic stability responses of multilayer functionally graded carbon nanotubes reinforced composite nanoplates via quasi 3D nonlocal strain gradient theory. Def. Technol. 2022, 18, 1778–1809. [Google Scholar] [CrossRef]
  41. Basha, M.; Daikh, A.A.; Melaibari, A.; Wagih, A.; Othman, R.; Almitani, K.H.; Hamed, M.A.; Abdelrahman, A.; Eltaher, M.A. Nonlocal strain gradient theory for buckling and bending of FG-GRNC laminated sandwich plates. Steel Compos. Struct. 2022, 43, 639–660. [Google Scholar]
  42. Ghandourah, E.E.; Daikh, A.A.; Alhawsawi, A.M.; Fallatah, O.A.; Eltaher, M.A. Bending and buckling of FG-GRNC laminated plates via quasi-3D nonlocal strain gradient theory. Mathematics 2022, 10, 1321. [Google Scholar] [CrossRef]
  43. Melaibari, A.; Daikh, A.A.; Basha, M.; Abdalla, A.W.; Othman, R.; Almitani, K.H.; Hamed, M.A.; Abdelrahman, A.; Eltaher, M.A. Free vibration of FG-CNTRCs nano-plates/shells with temperature-dependent properties. Mathematics 2022, 10, 583. [Google Scholar] [CrossRef]
  44. Alazwari, M.A.; Daikh, A.A.; Eltaher, M.A. Novel quasi 3D theory for mechanical responses of FG-CNTs reinforced composite nanoplates. Adv. Nano Res. 2022, 12, 117–137. [Google Scholar]
  45. Alijani, F.; Amabili, M.; Karagiozis, K.; Bakhtiari-Nejad, F. Nonlinear vibrations of functionally graded doubly curved shallow shells. J. Sound Vib. 2011, 330, 1432–1454. [Google Scholar] [CrossRef]
  46. Chorfi, S.; Houmat, A. Non-linear free vibration of a functionally graded doubly-curved shallow shell of elliptical plan-form. Compos. Struct. 2010, 92, 2573–2581. [Google Scholar] [CrossRef]
  47. Trinh, M.-C.; Kim, S.-E. A three variable refined shear deformation theory for porous functionally graded doubly curved shell analysis. Aerosp. Sci. Technol. 2019, 94, 105356. [Google Scholar] [CrossRef]
Figure 1. Tri-coated FG spherical shell geometry.
Figure 1. Tri-coated FG spherical shell geometry.
Mathematics 11 02407 g001
Figure 2. Various schemes of coated FG shell ( R x = R y = ) .
Figure 2. Various schemes of coated FG shell ( R x = R y = ) .
Mathematics 11 02407 g002
Figure 3. Functionally graded material distribution.
Figure 3. Functionally graded material distribution.
Mathematics 11 02407 g003
Figure 4. Different boundary conditions of the nanoshell.
Figure 4. Different boundary conditions of the nanoshell.
Mathematics 11 02407 g004
Figure 5. Effect of the exponents p , k and e on the dimensionless frequencies of various types of coated shell ( S S S S ,   b = a = 10 h ,   R x / a = 5 ,   R y / b = 5 ) .
Figure 5. Effect of the exponents p , k and e on the dimensionless frequencies of various types of coated shell ( S S S S ,   b = a = 10 h ,   R x / a = 5 ,   R y / b = 5 ) .
Mathematics 11 02407 g005
Figure 6. Effect of the exponents p and k on the dimensionless frequencies of FG-C coated shell ( S S S S ,   b = a = 10 h ,   R x / a = 5 ,   R y / b = 5 ) .
Figure 6. Effect of the exponents p and k on the dimensionless frequencies of FG-C coated shell ( S S S S ,   b = a = 10 h ,   R x / a = 5 ,   R y / b = 5 ) .
Mathematics 11 02407 g006
Figure 7. Effect of the aspect ratio on the dimensionless frequencies of various types of coated shell ( S S S S , p = k = e = 2 , a = 10 h ,   R x / a = 5 ,   R y / b = 5 ) .
Figure 7. Effect of the aspect ratio on the dimensionless frequencies of various types of coated shell ( S S S S , p = k = e = 2 , a = 10 h ,   R x / a = 5 ,   R y / b = 5 ) .
Mathematics 11 02407 g007
Figure 8. Effect of the radius of curvature on the dimensionless frequencies of FG-A coated shell ( S S S S , p = k = e = 2 ,   b = a = 10 h ) .
Figure 8. Effect of the radius of curvature on the dimensionless frequencies of FG-A coated shell ( S S S S , p = k = e = 2 ,   b = a = 10 h ) .
Mathematics 11 02407 g008
Figure 9. Effect of porosity coefficient on the dimensionless frequencies of FG-A coated shell ( S S S S , p = k = e = 2 ,   b = a = 10 h ,   R x / a = 5 ,   R y / b = 5 ) .
Figure 9. Effect of porosity coefficient on the dimensionless frequencies of FG-A coated shell ( S S S S , p = k = e = 2 ,   b = a = 10 h ,   R x / a = 5 ,   R y / b = 5 ) .
Mathematics 11 02407 g009
Figure 10. Effect of porosity coefficient on the dimensionless frequencies of various types of coated shell with softcore ( S S S S , p = k = e = 2 ,   b = a = 10 h ,   R x / a = 5 ,   R y / b = 5 ) .
Figure 10. Effect of porosity coefficient on the dimensionless frequencies of various types of coated shell with softcore ( S S S S , p = k = e = 2 ,   b = a = 10 h ,   R x / a = 5 ,   R y / b = 5 ) .
Mathematics 11 02407 g010
Figure 11. Effect of the damping coefficient on the dimensionless frequencies of FG-A coated shell ( S S S S ,   b = a = 10 h ,   R x / a = 5 ,   R y / b = 5 ,   K w = K s = 10 ) .
Figure 11. Effect of the damping coefficient on the dimensionless frequencies of FG-A coated shell ( S S S S ,   b = a = 10 h ,   R x / a = 5 ,   R y / b = 5 ,   K w = K s = 10 ) .
Mathematics 11 02407 g011
Figure 12. Effect of the damping coefficient on the dimensionless frequencies of various types of coated shell ( S S S S ,   b = a = 10 h ,   R x / a = 5 ,   R y / b = 5 ,   K w = K s = 10 ) .
Figure 12. Effect of the damping coefficient on the dimensionless frequencies of various types of coated shell ( S S S S ,   b = a = 10 h ,   R x / a = 5 ,   R y / b = 5 ,   K w = K s = 10 ) .
Mathematics 11 02407 g012
Figure 13. Effect of the damping coefficient on the dimensionless frequencies of FG-A coated shell subjected to different boundary conditions ( b = a = 10 h .   R x / a = 5 ,   R y / b = 5 ,   K w = K s = 10 ) .
Figure 13. Effect of the damping coefficient on the dimensionless frequencies of FG-A coated shell subjected to different boundary conditions ( b = a = 10 h .   R x / a = 5 ,   R y / b = 5 ,   K w = K s = 10 ) .
Mathematics 11 02407 g013
Figure 14. Effect of the damping coefficient on the dimensionless frequencies of FG-A coated nanoshell for different length-scale and nonlocal parameters ( S S S S ,   b = a = 10 h ,   R x / a = 5 ,   R y / b = 5 , K w = K s = 10 ) .
Figure 14. Effect of the damping coefficient on the dimensionless frequencies of FG-A coated nanoshell for different length-scale and nonlocal parameters ( S S S S ,   b = a = 10 h ,   R x / a = 5 ,   R y / b = 5 , K w = K s = 10 ) .
Mathematics 11 02407 g014
Figure 15. Effect of the elastic foundation parameters on the dimensionless frequencies of FG-A coated shell ( S S S S , p = k = e = 2 ,   b = a = 10 h ,   R x / a = 5 ,   R y / b = 5 ,   C d = 0 ) .
Figure 15. Effect of the elastic foundation parameters on the dimensionless frequencies of FG-A coated shell ( S S S S , p = k = e = 2 ,   b = a = 10 h ,   R x / a = 5 ,   R y / b = 5 ,   C d = 0 ) .
Mathematics 11 02407 g015
Figure 16. Effect of nonlocal and length-scale parameters on the dimensionless frequencies of FG-A coated shell ( S S S S , p = k = e = 2 ,   b = a = 10 h ,   R x / a = 5 ,   R y / b = 5 ) .
Figure 16. Effect of nonlocal and length-scale parameters on the dimensionless frequencies of FG-A coated shell ( S S S S , p = k = e = 2 ,   b = a = 10 h ,   R x / a = 5 ,   R y / b = 5 ) .
Mathematics 11 02407 g016
Table 1. The admissible functions X m ( x ) and Y n ( y ) for different boundary conditions [35].
Table 1. The admissible functions X m ( x ) and Y n ( y ) for different boundary conditions [35].
Boundary Conditions The   Functions   X m   and   Y n
At   x = 0 , a At   y = 0 , b X m ( x ) Y n ( y )
SSSS X m ( 0 ) = X m ( 0 ) = 0
X m ( a ) = X m ( a ) = 0
Y n ( 0 ) = Y n ( 0 ) = 0
Y n ( b ) = Y n ( b ) = 0
sin ( α x ) sin ( β y )
CCCC X m ( 0 ) = X m ( 0 ) = 0
X m ( a ) = X m ( a ) = 0
Y n ( 0 ) = Y n ( 0 ) = 0
Y n ( b ) = Y n ( b ) = 0
sin 2 ( α x ) sin 2 ( β y )
CCSS X m ( 0 ) = X m ( 0 ) = 0
X m ( a ) = X m ( a ) = 0
Y n ( 0 ) = Y n ( 0 ) = 0
Y n ( b ) = Y n ( b ) = 0
sin ( α x ) [ cos ( α x ) 1 ] sin ( β y ) [ cos ( β y ) 1 ]
where  α = m π / a , β = n π / b .
Table 2. Comparison of natural frequency parameter ( ω ˜ = ω h ρ c / E c ) for simply supported Al/Al2O3 functionally graded shells (b = a = 10h).
Table 2. Comparison of natural frequency parameter ( ω ˜ = ω h ρ c / E c ) for simply supported Al/Al2O3 functionally graded shells (b = a = 10h).
a / R x
b / R y
p
PresentRef. [45] Error.
(%)
Ref. [37]Error.
(%)
Ref. [46]Error.
(%)
Ref. [47] Error.
(%)
0.5 0.5 0 0.0753 0.07790.080.07510.080.07620.080.07611.05
0.5 0.0653 0.06760.070.06570.070.06640.070.06621.36
1 0.0595 0.06170.060.06010.060.06070.060.06051.65
4 0.0496 0.05190.050.05030.050.05090.050.05061.98
10 0.0459 0.04820.050.04640.050.04710.050.04671.71
0.5 0 0 0.0622 0.06480.060.06220.060.06290.060.06280.96
0.5 0.0533 0.05530.060.05350.050.05400.050.05380.93
1 0.0482 0.05010.050.04850.050.04900.050.04881.23
4 0.0410 0.04300.040.04130.040.04190.040.04161.44
10 0.0387 0.04080.040.03900.040.03950.040.03921.28
0.5 0.5 0 0.0563 0.05970.060.05630.060.05800.060.05772.43
0.5 0.0478 0.05060.050.04790.050.04930.050.04902.45
1 0.0431 0.04560.050.04320.040.04450.040.04422.49
4 0.0371 0.03960.040.03720.040.03850.040.03812.62
10 0.0354 0.03800.040.03550.040.03680.040.03642.75
Error = | ( w ^ P r e s e n t w ^ R e f ) / w ^ R e f | × 100 % .
Table 3. Dimensionless frequency ω ¯ of coated FGM shells versus exponents p. k and e ( S S S S ,   R x / a = R y / b = 5 ,   b = a = 10 h ,   μ = λ = C t = K w = K s = 0 ) .
Table 3. Dimensionless frequency ω ¯ of coated FGM shells versus exponents p. k and e ( S S S S ,   R x / a = R y / b = 5 ,   b = a = 10 h ,   μ = λ = C t = K w = K s = 0 ) .
p k e HardcoreSoftcore
FG-AFG-BFG-CFG-DFG-EFG-AFG-BFG-CFG-DFG-E
2 2 2 4.00554.91704.32954.72395.46875.82585.21035.65905.32894.5795
5 4.17495.21034.32954.72395.46875.74604.91705.65905.32894.5795
10 4.24685.33164.32954.72395.46875.70744.76975.65905.32894.5795
5 2 4.17495.21034.53824.72395.80525.74604.91705.51065.32893.9571
5 4.36615.52874.53824.72395.80525.63594.48675.51065.32893.9571
10 4.44655.65904.53824.72395.80525.58124.26085.51065.32893.9571
10 2 4.24685.33164.62524.72395.94145.70744.76975.43345.32893.6077
5 4.44655.65904.62524.72395.94145.58124.26085.43345.32893.6077
10 4.53005.79234.62524.72395.94145.51733.98645.43345.32893.6077
5 2 2 4.37964.91704.80365.30095.46875.61875.21035.31074.68024.5795
5 4.60325.21034.80365.30095.46875.47234.91705.31074.68024.5795
10 4.69695.33164.80365.30095.46875.40094.76975.31074.68024.5795
5 2 4.60325.21035.06925.30095.80525.47234.91705.03084.68023.9571
5 4.85065.52875.06925.30095.80525.26754.48675.03084.68023.9571
10 4.95325.65905.06925.30095.80525.16454.26085.03084.68023.9571
10 2 4.69695.33165.17835.30095.94145.40094.76974.88324.68023.6077
5 4.95325.65905.17835.30095.94145.16454.26084.88324.68023.6077
10 5.05905.79235.17835.30095.94145.04343.98644.88324.68023.6077
10 2 2 4.59634.91705.07375.62455.46875.47115.21035.05484.18434.5795
5 4.84895.21035.07375.62455.46875.27454.91705.05484.18434.5795
10 4.95425.33165.07375.62455.46875.17784.76975.05484.18434.5795
5 2 4.84895.21035.36905.62455.80525.27454.91704.66944.18433.9571
5 5.12615.52875.36905.62455.80524.99574.48674.66944.18433.9571
10 5.24035.65905.36905.62455.80524.85424.26084.66944.18433.9571
10 2 4.95425.33165.48955.62455.94145.17784.76974.46474.18433.6077
5 5.24035.65905.48955.62455.94144.85424.26084.46474.18433.6077
10 5.35775.79235.48955.62455.94144.68703.98644.46474.18433.6077
Table 4. Dimensionless frequency ω ¯ of coated FGM shells with various geometries ( S S S S ,   b = a = 10 h ,   μ = λ = C t = K w = K s = 0 ) .
Table 4. Dimensionless frequency ω ¯ of coated FGM shells with various geometries ( S S S S ,   b = a = 10 h ,   μ = λ = C t = K w = K s = 0 ) .
R x a . R y b p . k . e HardcoreSoftcore
FG-AFG-BFG-CFG-DFG-EFG-AFG-BFG-CFG-DFG-E
5. 524.00554.91704.32954.72395.46875.82585.21035.65905.32894.5795
54.85065.52875.06925.30095.80525.26754.48675.03084.68023.9571
105.35775.79235.48955.62455.94144.68703.98644.46474.18433.6077
5. -523.72554.63854.01374.36565.15895.52584.91515.38625.10394.3201
54.52715.21554.72814.94115.47625.01354.23264.80284.48873.7331
105.02095.46415.14365.26925.60474.46433.76084.26204.00673.4036
5. inf23.80484.71904.10294.46655.24855.61365.00055.46665.17164.3951
54.61925.30614.82515.04345.57145.08844.30614.87064.54663.7979
105.11735.55905.24265.37085.70214.53013.82604.32234.06013.4627
Table 5. Dimensionless frequency ω ¯ of porous coated FGM shells ( p = k = e = 2 ,   S S S S ,   R x / a = R y / b = 5 ,   b = a = 10 h ,   μ = λ = C t = K w = K s = 0 ) .
Table 5. Dimensionless frequency ω ¯ of porous coated FGM shells ( p = k = e = 2 ,   S S S S ,   R x / a = R y / b = 5 ,   b = a = 10 h ,   μ = λ = C t = K w = K s = 0 ) .
Type of Porosity ξ HardcoreSoftcore
FG-AFG-BFG-CFG-DFG-EFG-AFG-BFG-CFG-DFG-E
I0.13.84514.77234.15944.59015.35925.72505.03235.53595.18574.4096
0.23.69824.59614.01244.47225.24995.59624.82415.38965.02884.2263
II0.13.93114.86284.26884.69165.41325.79195.12475.62015.28544.4961
0.23.85894.76754.20794.65875.35635.75425.03235.57755.23734.4096
III0.13.92074.83104.24074.67035.39445.77625.09475.60115.26374.4676
0.23.82154.70394.15214.61505.31745.71874.96665.53615.19074.3501
IV0.13.94464.89904.24694.64515.43465.78085.15395.59895.25244.5242
0.23.88254.84864.18264.58425.40495.73155.09475.53495.17384.4676
Table 6. Dimensionless frequency ω ¯ of coated FGM nanoshells versus nonlocal and length-scale parameters ( S S S S ,   p = 2   R x / a = R y / b = 5 ,   b = a = 10 h ,   C t = K w = K s = 0 ) .
Table 6. Dimensionless frequency ω ¯ of coated FGM nanoshells versus nonlocal and length-scale parameters ( S S S S ,   p = 2   R x / a = R y / b = 5 ,   b = a = 10 h ,   C t = K w = K s = 0 ) .
μ λ HardcoreSoftcore
FG-AFG-BFG-CFG-DFG-EFG-AFG-BFG-CFG-DFG-E
0 0 4.00554.91704.32954.72395.46875.82585.21035.65905.32894.5795
0.5 4.21635.17204.55824.97445.75246.12625.48055.94965.60064.8169
1 4.41055.40844.76865.20446.01556.40545.73116.22025.85435.0370
1.5 4.59155.63004.96455.41846.26206.66775.96596.47486.09355.2434
2 4.76205.83955.14885.61956.49516.91616.18806.71606.32075.4384
0.5 0 3.82174.69124.13084.50705.21765.55824.97105.39915.08424.3693
0.5 4.02284.93454.34904.74605.48825.84485.22885.67635.34344.5958
1 4.20815.16004.54974.96545.73926.11125.46795.93455.58544.8058
1.5 4.38085.37144.73665.16965.97446.36145.69196.17735.81375.0026
2 4.54345.57134.91245.36146.19676.59835.90376.40756.03045.1887
1 0 3.66124.49403.95724.31754.99815.32444.76205.17204.87044.1856
0.5 3.85384.72704.16624.54645.25745.59895.00895.43765.11874.4026
1 4.03124.94304.35844.75665.49775.85415.23795.68495.35054.6037
1.5 4.19675.14554.53754.95225.72306.09385.45255.91755.56914.7923
2 4.35245.33704.70585.13595.93606.32075.65546.13795.77674.9705
1.5 0 3.51944.31983.80384.15014.80435.11794.57734.97144.68164.0234
0.5 3.70454.54374.00474.37015.05355.38174.81475.22674.92024.2319
1 3.87504.75144.18954.57225.28455.62705.03475.46445.14304.4253
1.5 4.03404.94604.36154.76015.50105.85745.24105.68795.35314.6065
2 4.18375.13004.52344.93675.70576.07555.43605.89985.55274.7778
2 0 3.39294.16443.66714.00084.63144.93374.41264.79254.51323.8787
0.5 3.57144.38033.86074.21294.87165.18804.64145.03864.74314.0797
1 3.73574.58044.03884.40775.09435.42444.85365.26774.95794.2661
1.5 3.88904.76804.20474.58885.30305.64655.05245.48325.16054.4408
2 4.03334.94534.36074.75915.50035.85685.24035.68745.35284.6059
Table 7. Dimensionless frequency ω ¯ of coated FGM shells versus the aspect ratio ( R x / a = R y / b = 5 ,   a = 10 h ,   μ = λ = C t = K w = K s = 0 ) .
Table 7. Dimensionless frequency ω ¯ of coated FGM shells versus the aspect ratio ( R x / a = R y / b = 5 ,   a = 10 h ,   μ = λ = C t = K w = K s = 0 ) .
B C s . b / a HardcoreSoftcore
FG-AFG-BFG-CFG-DFG-EFG-AFG-BFG-CFG-DFG-E
SSSS0.59.161911.25429.893410.783712.516113.297311.925012.872511.949510.4823
14.00554.91704.32954.72395.46875.82585.21035.65905.32894.5795
22.51013.09352.71172.95733.44103.67433.27823.57613.38792.8809
32.17462.69642.34632.55572.99943.21092.85753.13042.97652.5111
CCCC0.517.175720.572518.621220.366122.882523.906421.800422.804920.266719.1594
17.11308.69167.69108.39319.667810.24699.21059.90139.15088.0944
24.95566.06925.35775.84646.75127.17096.43176.94356.46315.6520
34.65265.70085.02965.48786.34156.73716.04146.52436.07435.3089
CSCS0.516.199219.620117.532019.146921.822622.956220.790922.027219.901518.2729
16.83008.39117.37828.04519.33349.92418.89209.61578.95897.8147
24.54315.59654.90685.34956.22536.63505.93086.44316.04945.2118
34.14935.11734.48064.88405.69246.07075.42305.89805.54504.7655
Table 8. Dimensionless frequency ω ¯ of coated FGM shells versus elastic foundation parameters ( S S S S ,   p = 2 R x / a = R y / b = 5 ,   b = a = 10 h ,   μ = λ = 0 ) .
Table 8. Dimensionless frequency ω ¯ of coated FGM shells versus elastic foundation parameters ( S S S S ,   p = 2 R x / a = R y / b = 5 ,   b = a = 10 h ,   μ = λ = 0 ) .
C d K w K s HardcoreSoftcore
FG-AFG-BFG-CFG-DFG-EFG-AFG-BFG-CFG-DFG-E
0 0 0 4.00554.91704.32954.72395.46875.82585.21035.65905.32894.5795
50 8.46688.77448.46048.45178.88769.07978.83339.10469.12778.7104
100 11.282911.392311.153310.978911.316311.442411.353011.564911.756111.4345
50 0 4.65655.43404.90905.22425.90606.23335.68356.09745.82775.1512
50 8.79349.07428.77108.74119.16309.34639.12049.38339.42759.0240
100 11.529911.624711.390611.203111.533811.655111.577711.785511.990311.6751
100 0 5.22705.90595.42705.68066.31306.61586.12036.50646.28715.6655
50 9.10829.36439.07109.02129.43059.60569.39879.65409.71809.3271
100 11.771711.852511.623111.423011.747411.863911.798212.002112.219911.9107
10 0 2 3.54574.58793.95154.42835.2165.59494.92395.39665.00164.1943
5 8.25968.59468.27368.29038.73458.93348.66768.94408.94098.5146
10 11.129011.25511.012010.855011.197011.327011.225011.439011.612011.2860
50 2 4.26755.13824.57924.95865.67286.01815.42225.85485.53014.8121
5 8.59418.90048.59108.58529.01469.20438.96009.22769.24688.8351
10 11.379011.490011.253011.082011.416011.542011.452011.662011.849011.5300
100 2 4.88375.63505.13065.43736.09546.41355.87856.27966.01235.3591
5 8.91609.19618.89718.87039.28649.46759.24329.50289.54299.1445
10 11.624011.720011.48811.304011.632011.753011.675011.881012.081011.7690
20 0 2 1.4673.41532.49443.39044.37074.83643.94154.51863.85582.7294
5 7.60388.03097.68587.78608.25808.47958.15048.44408.35527.8975
10 10.65210.831010.579010.476010.829010.973010.831011.053011.168010.8290
50 2 2.79164.12533.40264.05864.90695.32034.54895.05714.52053.6076
5 7.9668.35748.02668.09938.55398.76458.46078.74398.68198.2423
10 10.91311.07510.82910.7111.057011.19411.06611.28411.415011.0830
10023.66524.72984.11494.63155.39005.76385.08435.54355.09934.3105
5 8.31248.67178.35348.40098.83989.04058.76019.03398.99678.5731
1011.16911.314011.073010.940011.27911.412011.297011.510011.656011.3310
Disclaimer/Publisher’s Note: The statements, opinions and data contained in all publications are solely those of the individual author(s) and contributor(s) and not of MDPI and/or the editor(s). MDPI and/or the editor(s) disclaim responsibility for any injury to people or property resulting from any ideas, methods, instructions or products referred to in the content.

Share and Cite

MDPI and ACS Style

Ghandourah, E.E.; Daikh, A.A.; Khatir, S.; Alhawsawi, A.M.; Banoqitah, E.M.; Eltaher, M.A. A Dynamic Analysis of Porous Coated Functionally Graded Nanoshells Rested on Viscoelastic Medium. Mathematics 2023, 11, 2407. https://doi.org/10.3390/math11102407

AMA Style

Ghandourah EE, Daikh AA, Khatir S, Alhawsawi AM, Banoqitah EM, Eltaher MA. A Dynamic Analysis of Porous Coated Functionally Graded Nanoshells Rested on Viscoelastic Medium. Mathematics. 2023; 11(10):2407. https://doi.org/10.3390/math11102407

Chicago/Turabian Style

Ghandourah, Emad E., Ahmed Amine Daikh, Samir Khatir, Abdulsalam M. Alhawsawi, Essam M. Banoqitah, and Mohamed A. Eltaher. 2023. "A Dynamic Analysis of Porous Coated Functionally Graded Nanoshells Rested on Viscoelastic Medium" Mathematics 11, no. 10: 2407. https://doi.org/10.3390/math11102407

APA Style

Ghandourah, E. E., Daikh, A. A., Khatir, S., Alhawsawi, A. M., Banoqitah, E. M., & Eltaher, M. A. (2023). A Dynamic Analysis of Porous Coated Functionally Graded Nanoshells Rested on Viscoelastic Medium. Mathematics, 11(10), 2407. https://doi.org/10.3390/math11102407

Note that from the first issue of 2016, this journal uses article numbers instead of page numbers. See further details here.

Article Metrics

Back to TopTop