A Framework to Analyze Function Domains of Autonomous Transportation Systems Based on Text Analysis
Abstract
1. Introduction
1.1. Background
1.2. Paper Contribution
1.3. Organization
2. Literature Review
2.1. Traditional Classifications of Functions
2.2. Text Analysis
3. Autonomous Transportation Systems
4. Methodology
| Algorithm 1: The pseudo-code of the whole methodology |
|
4.1. Data
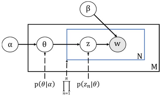
4.2. Feature Extraction
- Select ;
- Select ;
- For each of the words :
- (a)
- Select a topic ;
- (b)
- Select a word from , a multinomial probability subject to the topic .
4.3. Clustering Method
4.3.1. K-Means
- Step 1: Choose centroids from the dataset randomly as initialized centroids of clusters.
- Step 2: Allocate the remaining data to the clusters with the closest centroids by calculating the distance between the points and centroids.
- Step 3: Take the mean value of each cluster as the new centroid.
- Step 4: Repeat steps 3 and 4 until there are no changes in the error function or the loop satisfy the pre-set iterations.
- Step 5: Output the final centroids and clusters as results.
4.3.2. K-Medoids
- Step 1: Select points from the dataset randomly as initialized medoids of clusters.
- Step 2: Allocate the remaining data to the clusters with the closest medoids by calculating the distance between the points and medoids.
- Step 3: Choose a non-medoid point from randomly and compute the new sum error.
- Step 4: If the new error calculated in Step 3 is lower than the old value, then exchange the old medoid with the new one.
- Step 5: Repeat steps 2 to 4 until there are no changes in the error function or the loop satisfy the pre-set iterations.
- Step 6: Output the final centroids and clusters as results.
4.3.3. t-Distributed Stochastic Neighbor Embedding
- For the data , the conditional probability represents the similarity of data point to , which can be calculated by the formula:where stands for the variance of the Gaussian, which is centered on data point .
- 2.
- In the high-dimensional space, the joint probability is a symmetrical conditional probability, which can be defined as:where denotes the amount of data points.
- 3.
- The initial low-dimensional data is characterized as .
- 4.
- In the low-dimensional space, the joint probability is defined based on Student’s t-distribution with one degree of freedom:
- 5.
- To measure similarity between the joint probability in high-dimensional space and joint probability in low-dimensional space, the Kullbach–Leibler divergence between and is defined as:Following this, a gradient descent algorithm is used to minimize the above cost function, and the gradient is computed by:
- 6.
- The low-dimensional space data points is calculated by the formula:where learning rate and momentum are optimization parameters that should be pre-set.
- 7.
- Assuming is the pre-set number of iterations, steps (4) to (6) are repeated from to . Eventually, the low-dimensional data are obtained.
4.3.4. Silhouette Coefficient
5. Results
- The results after dimension reduction are better than those obtained from the original data.
- Results from the k-mean method are superior to the results from the k-medoid method before and after dimension reduction.
6. Discussion
7. Conclusions
Author Contributions
Funding
Data Availability Statement
Conflicts of Interest
References
- You, L.; He, J.; Wang, W.; Cai, M. Autonomous Transportation Systems and Services Enabled by the Next-Generation Network. IEEE Netw. 2022, 36, 66–72. [Google Scholar] [CrossRef]
- Hancock, P.A.; Nourbakhsh, I.; Stewart, J. On the Future of Transportation in an Era of Automated and Autonomous Vehicles. Proc. Natl. Acad. Sci. USA 2019, 116, 7684–7691. [Google Scholar] [CrossRef] [PubMed]
- Lian, Y.; Zhang, G.; Lee, J.; Huang, H. Review on Big Data Applications in Safety Research of Intelligent Transportation Systems and Connected/Automated Vehicles. Accid. Anal. Prev. 2020, 146, 105711. [Google Scholar] [CrossRef] [PubMed]
- He, J.W.; Zeng, Z.X.; Li, Z.H. Benefit Evaluation Framework of Intelligent Transportation Systems. J. Transp. Syst. Eng. Inf. Technol. 2010, 10, 81–87. [Google Scholar] [CrossRef]
- ISO 14813-5:2020; Intelligent Transport Systems-Reference Model Architecture(s) for the ITS Sector—Part 5: Requirements for Architecture Description in ITS Standards. International Standard Organization: Geneva, Switzerland, 2020. Available online: https://www.iso.org/standard/73746.html (accessed on 1 November 2020).
- Architecture Reference for Cooperative and Intelligent Transportation. Available online: https://www.arc-it.net/ (accessed on 11 November 2022).
- The European Intelligent Transport Systems (ITS) Framework Architecture. 2011. Available online: https://frame-online.eu/ (accessed on 1 December 2020).
- Subject Groups of National Intelligent Transport System Architecture. National Intelligent Transport System Architecture, 1st ed.; China Communications Press: Beijing, China, 2003. [Google Scholar]
- Yang, Q.; Wang, X.; Qi, T. Intelligent transport systems standards architecture research. J. Highw. Transp. Res. Dev. 2004, 21, 91–94. [Google Scholar]
- Chen, X.; Yu, L.; Geng, Y.; Gao, Y. Research on development method of regional ITS architecture. China J. Highw. Transp. 2006, 19, 84. [Google Scholar]
- Zhang, K.; Qi, Y.; Jin, L.; Liu, H.; Shen, H.; Liu, D. Development of Regional ITS Architecture for Jiangsu Province. J. Transp. Syst. Eng. Inf. Technol. 2007, 7, 141. [Google Scholar]
- Yang, D.; Lin, Q. A General Description of Developing the Shenzhen ITS System. Urban Transp. China 2007, 005, 13–21. [Google Scholar]
- Zhang, Y.; Yao, D. Architecture for Intelligent Transportation Systems Based on Intelligent Vehicle-Infrastructure Cooperation Systems; Publishing House of Electronics Industry: Beijing, China, 2015. [Google Scholar]
- Salazar-Cabrera, R.; de la Cruz, Á.P.; Molina, J.M.M. Design of a public vehicle tracking service using long-range (LoRa) and intelligent transportation system Architecture. J. Inf. Technol. Res. JITR 2021, 14, 147–166. [Google Scholar] [CrossRef]
- Al-Mayouf, Y.R.B.; Mahdi, O.A.; Taha, N.A.; Abdullah, N.F.; Khan, S.; Alam, M. Accident management system based on vehicular network for an intelligent transportation system in urban environments. J. Adv. Transp. 2018, 2018, 6168981. [Google Scholar] [CrossRef]
- Cheng, Y.; Zhou, T.; Liang, P. The Improved Precoding Method in the VLC-Based Intelligent Transportation System. J. Adv. Transp. 2022, 2022, 5951389. [Google Scholar]
- Lomakina, L.S.; Rodionov, V.; Surkova, A.S. Hierarchical clustering of text documents. Autom. Remote Control 2014, 75, 1309–1315. [Google Scholar] [CrossRef]
- Xiong, C.; Hua, Z.; Lv, K.; Li, X. An Improved K-means text clustering algorithm By Optimizing initial cluster centers. In Proceedings of the 2016 7th International Conference on Cloud Computing and Big Data (CCBD), Macau, China, 16–18 November 2016; pp. 265–268. [Google Scholar]
- Goodman, L.A. Exploratory latent structure analysis using both identifiable and unidentifiable models. Biometrika 1974, 61, 215–231. [Google Scholar] [CrossRef]
- Blei, D.M.; Ng, A.Y.; Jordan, M.I. Latent Dirichlet Allocation. J. Mach. Learn. Res. 2003, 3, 993–1022. [Google Scholar] [CrossRef]
- Blei, D.M.; Lafferty, J.D. A Correlated Topic Model of Science. Ann. Appl. Stat. 2007, 1, 17–35. [Google Scholar] [CrossRef]
- Cao, J.; Xia, T.; Li, J.; Zhang, Y.; Tang, S. A Density-Based Method for Adaptive LDA Model Selection. Neurocomputing 2009, 72, 1775–1781. [Google Scholar] [CrossRef]
- Hassanpour, S.; Langlotz, C.P. Unsupervised Topic Modeling in a Large Free Text Radiology Report Repository. J. Digit. Imaging 2016, 29, 59–62. [Google Scholar] [CrossRef]
- McLaurin, E.; McDonald, A.D.; Lee, J.D.; Aksan, N.; Dawson, J.; Tippin, J.; Rizzo, M. Variations on a theme: Topic modeling of naturalistic driving data. Proc. Hum. Factors. Ergon. Soc. Annu. Meet. 2014, 58, 2107–2111. [Google Scholar] [CrossRef]
- Guo, Y.; Barnes, S.J.; Jia, Q. Mining Meaning from Online Ratings and Reviews: Tourist Satisfaction Analysis Using Latent Dirichlet Allocation. Tour. Manag. 2017, 59, 467–483. [Google Scholar] [CrossRef]
- Tirunillai, S.; Tellis, G.J. Mining marketing meaning from online chatter: Strategic brand analysis of big data using Latent Dirichlet Allocation. J. Mark. Res. 2014, 51, 463–479. [Google Scholar] [CrossRef]
- Tseng, Y.H.; Lin, C.J.; Lin, Y.I. Text Mining Techniques for Patent Analysis. Inf. Process. Manag. 2007, 43, 1216–1247. [Google Scholar] [CrossRef]
- Islam, M.R.; Zibran, M.F. SentiStrength-SE: Exploiting Domain Specificity for Improved Sentiment Analysis in Software Engineering Text. J. Syst. Softw. 2018, 145, 125–146. [Google Scholar] [CrossRef]
- Peng, K.H.; Liou, L.H.; Chang, C.S.; Lee, D.S. Predicting Personality Traits of Chinese Users Based on Facebook Wall Posts. In Proceedings of the 2015 24th Wireless & Optical Communication Conference, Taipei, Taiwan, 23–24 October 2015; pp. 9–14. [Google Scholar] [CrossRef]
- Lin, B.-S.; Wang, C.-M.; Yu, C.-N. The establishment of human-computer interaction based on Word2Vec. In Proceedings of the 2017 IEEE International Conference on Mechatronics and Automation (ICMA), Takamatsu, Japan, 6–9 August 2017; pp. 1698–1703. [Google Scholar] [CrossRef]
- Liu, Q.; Zheng, Z.; Zheng, J.; Chen, Q.; Liu, G.; Chen, S.; Chu, B.; Zhu, H.; Akinwunmi, B.; Huang, J.; et al. Health Communication through News Media during the Early Stage of the COVID-19 Outbreak in China: Digital Topic Modeling Approach. J. Med. Internet Res. 2020, 22, e19118. [Google Scholar] [CrossRef]
- Wang, Z.; Liao, J.; Cao, Q.; Qi, H.; Wang, Z. Friendbook: A Semantic-Based Friend Recommendation System for Social Networks. IEEE Trans. Mob. Comput. 2015, 14, 538–551. [Google Scholar] [CrossRef]
- Sun, L.; Yin, Y. Discovering Themes and Trends in Transportation Research Using Topic Modeling. Transp. Res. Part C Emerg. Technol. 2017, 77, 49–66. [Google Scholar] [CrossRef]
- Hwang, S.; Cho, E. Exploring Latent Topics and Research Trends in Mathematics Teachers’ Knowledge Using Topic Modeling: A Systematic Review. Mathematics 2021, 9, 2956. [Google Scholar] [CrossRef]
- Escobar, K.M.; Vicente-Villardon, J.L.; de la Hoz-M, J.; Useche-Castro, L.M.; Alarcón Cano, D.F.; Siteneski, A. Frequency of Neuroendocrine Tumor Studies: Using Latent Dirichlet Allocation and Hj-Biplot Statistical Methods. Mathematics 2021, 9, 2281. [Google Scholar] [CrossRef]
- Macqueen, J. Some Methods for Classification and Analysis of Multivariate Observations. In Proceedings of the Fifth Berkeley Symposium on Mathematical Statistics and Probability; University of California Press: Los Angeles, CA, USA, 1967; Volume 1, pp. 281–297. [Google Scholar]
- Park, H.S.; Jun, C.H. A Simple and Fast Algorithm for K-Medoids Clustering. Expert Syst. Appl. 2009, 36, 3336–3341. [Google Scholar] [CrossRef]
- Zhao, X.; Yu, Q.; Ma, J.; Wu, Y.; Yu, M.; Ye, Y. Development of a Representative EV Urban Driving Cycle Based on a K-Means and SVM Hybrid Clustering Algorithm. J. Adv. Transp. 2018, 2018, 22–25. [Google Scholar] [CrossRef]
- Giraud, C. Introduction to High-Dimensional Statistics; Chapman and Hall/CRC: London, UK, 2021. [Google Scholar]
- Van der Maaten, L.; Hinton, G. Visualizing Data Using T-SNE. J. Mach. Learn. Res. 2014, 219, 187–202. [Google Scholar] [CrossRef]
- Rousseeuw, P.J. Silhouettes: A Graphical Aid to the Interpretation and Validation of Cluster Analysis. J. Comput. Appl. Math. 1987, 20, 53–65. [Google Scholar] [CrossRef]
- Jain, A.K. Data Clustering: 50 Years beyond K-Means. Pattern Recognit. Lett. 2010, 31, 651–666. [Google Scholar] [CrossRef]
- Mohammadnazar, A.; Arvin, R.; Khattak, A.J. Classifying Travelers’ Driving Style Using Basic Safety Messages Generated by Connected Vehicles: Application of Unsupervised Machine Learning. Transp. Res. Part C Emerg. Technol. 2021, 122, 102917. [Google Scholar] [CrossRef]
- Huang, Y.; Yang, D.; Wang, L.; Jieren, G.; Xiaoyong, Z.; Wang, K. Classification of Weld Seam Width Based on Detrended Fluctuation Analysis, t-Distributed Stochastic Neighbor Embedding, and Support Vector Machine. J. Mater. Eng. Perform. 2022, 31, 3975–3984. [Google Scholar] [CrossRef]








| Service Name | Function Name | Attribute | |||||
|---|---|---|---|---|---|---|---|
| Provider | Process Information | Service Object | Approach | Logic | Technology | ||
| automatic parking | 1. monitor real-time surroundings | vehicle | ambient information | vehicle | data collection | perception | sensor |
| 2. store, import, and analyze surrounding information | vehicle | ambient information | vehicle | data analysis | learning | computing | |
| 3. generate schemes | vehicle | device operation information | vehicle | data analysis | decision | computing | |
| 4. control parking device | vehicle | device operation information | driver | device control | response | smart car | |
| Topic 1 | Topic 2 | Topic 3 |
| Tool, Data, Technology | Analysis, Product, Service | Management, Infrastructure |
![]() | ![]() | ![]() |
| Topic 4 | Topic 5 | Topic 6 |
| Management, System | Environment, Center | Information, Management |
![]() | ![]() | ![]() |
| Topic 7 | Topic 8 | Topic 9 |
| Transportation, Service | Analysis, Management, Event | Tool, Analysis, Operation |
![]() | ![]() | ![]() |
| Topic 10 | Topic 11 | Topic 12 |
| Vehicle | Information, Service | Data, Management, Analysis |
![]() | ![]() | ![]() |
| Topic No. | Function Domain | Description |
|---|---|---|
| 1 | Vehicle Data Collection | This domain mostly provides perception-related functions to collect the data of vehicles. Functions provided by vehicle equipment and roadside equipment capture data on the ego vehicle, driver, and surrounding vehicles. This domain’s function technology is strongly tied to sensor technology. The functions are mostly used to support services within the Vehicle Operation service domain. This function domain delivers data to other domains, such as vehicle operation, vehicle assistance and safety, and public transport information management. |
| 2 | Public Transport Information Management | This domain serves analysis services for public information to various service domains, such as travel information, traffic management, and freight transport. Technology, such as big data analysis and network computing, supports the functions. This domain provides an analysis of public transport data to other function domains such as traffic information collection, commercial traffic management, and traffic data management. |
| 3 | Transportation Infrastructure Management | This domain provides functions to serve infrastructure including management, analysis, and maintenance. Targeting infrastructure, functions primarily process data relating to big data analysis, computation, and control. This domain delivers data for transportation management and vehicle operations in coordination with data management and collaboration. |
| 4 | Traffic Information Collection | This domain covers functions linked to perception for data collection in ATS, excluding vehicle functions. Using sensing and analyzing technology, the function provides various data to support services related to traffic information. This domain is crucial for other domains as it complements vehicle data collection. |
| 5 | Environmental Information Management | This domain provides functions that manage information about the environment related to traffic. Functions collect and analyze environmental data, and output information to other functions, supporting services together. This domain delivers environment data to the function domains vehicle operation, emergency response, and traffic management. |
| 6 | Transportation Management | This domain provides functions to manage traffic comprehensively, such as adjusting traffic signals and leading traffic flow. Using data from the entire system, functions in this domain analyze, decide and respond directly to influence other functions. Functions of management are fundamental to other domains such as public transport information management and freight transport. |
| 7 | Freight Transport | This domain provides functions to transport freight including the whole logic, such as locating and monitoring freight and planning routes. The functions not only require freight information but also need to cooperate with functions in other domains. This domain necessitates information from environmental information management, transportation management, and domains about vehicles. |
| 8 | Emergency Response | This domain provides functions that enable the system to respond appropriately to emergencies. Functions in this domain could recognize, evaluate events, and respond by specific plans, which requires collaboration with other domains. This domain usually interacts with environmental information management, transportation management, and vehicle operation. |
| 9 | Vehicle Operation | This domain mainly includes functions that facilitate the vehicle’s safe operation. The functions within the domain are provided by vehicles’ onboard equipment. The functions within the domain are extremely pertinent to vehicle operation service domains. This domain is closely related to vehicle data collection, vehicle assistance, and safety. Supporting freight transport, the functions in the domain require data provided by the vehicle data collection, transport management, and other function domains. |
| 10 | Vehicle Assistance and Safety | This domain encompasses the functions associated with electronic payment, performance testing, maintenance, and rescue of the vehicle, which is distinctly different from the vehicle data collection and operation. Functions process vehicle information by collecting, transmitting, analyzing, and outputting data. The functions operate across a variety of service domains, such as freight transport, traffic management, and control, and traffic safety management. This domain is a crucial assurance for the function domain vehicle operation. |
| 11 | Commercial Traffic Management | This domain provides functions that manage commercial traffic, such as taxis. Functions gather traffic data, monitor commercial vehicles, and generate plans. This domain has a particular focus and requires collaboration with traffic management and the domains of vehicles. |
| 12 | Data Management and Collaboration | This domain provides functions that manage data in ATS, which is the core of all other domains. Functions collect and analyze data from other basic domains. When certain functions require data, this domain can provide exact data. |
Disclaimer/Publisher’s Note: The statements, opinions and data contained in all publications are solely those of the individual author(s) and contributor(s) and not of MDPI and/or the editor(s). MDPI and/or the editor(s) disclaim responsibility for any injury to people or property resulting from any ideas, methods, instructions or products referred to in the content. |
© 2022 by the authors. Licensee MDPI, Basel, Switzerland. This article is an open access article distributed under the terms and conditions of the Creative Commons Attribution (CC BY) license (https://creativecommons.org/licenses/by/4.0/).
Share and Cite
Huang, X.; Cen, X.; Cai, M.; Zhou, R. A Framework to Analyze Function Domains of Autonomous Transportation Systems Based on Text Analysis. Mathematics 2023, 11, 158. https://doi.org/10.3390/math11010158
Huang X, Cen X, Cai M, Zhou R. A Framework to Analyze Function Domains of Autonomous Transportation Systems Based on Text Analysis. Mathematics. 2023; 11(1):158. https://doi.org/10.3390/math11010158
Chicago/Turabian StyleHuang, Xiangzhi, Xuekai Cen, Ming Cai, and Rui Zhou. 2023. "A Framework to Analyze Function Domains of Autonomous Transportation Systems Based on Text Analysis" Mathematics 11, no. 1: 158. https://doi.org/10.3390/math11010158
APA StyleHuang, X., Cen, X., Cai, M., & Zhou, R. (2023). A Framework to Analyze Function Domains of Autonomous Transportation Systems Based on Text Analysis. Mathematics, 11(1), 158. https://doi.org/10.3390/math11010158












