A Novel Permeability Prediction Model for Deep Coal via NMR and Fractal Theory
Abstract
1. Introduction
2. Permeability Model Derivation
2.1. Principles of NMR
2.2. Permeability Expression
3. Samples and Experiments
3.1. Coal Samples
3.2. Experimental Procedures and Facilities
- (1)
- Coal samples were weighed, and their length and diameter were measured. The permeability of the coal samples was measured by the gas injection porosimetry method.
- (2)
- Coal samples were dried at 80 °C for 24 h until the weight no longer changed. After cooling to room temperature, coal samples were placed into the vacuum saturation device. Dry pumping was carried out for 2 h with negative pressure of 0.1 MPa, then soaking in water with a pressure of 15 MPa for 24 h to make coal samples fully saturated with water.
- (3)
- An NMR experiment was conducted on the coal sample. As shown in Figure 4, the instrument model used is MacroMR12–150 H–I. The magnets used are permanent magnets with a magnetic field intensity of (0.3 ± 0.05) T, main frequency of 12.42 MHz, and temperature of (32.00 ± 0.02) °C. The echo-spacing TE = 0.1 ms, the 90° pulse width P1 = 10 µs, the 180° pulse width P2 = 20 µs, and the echo number NECH = 15,000.
- (4)
- To determine the optimal centrifugal force of the coal sample, coal sample F was selected to conduct centrifugal experiments with different centrifugal forces.
- (5)
- The remaining coal samples were centrifuged by optimal centrifugal force and tested by NMR. The experimental parameters were the same as in Step (3) to obtain the NMR porosity and T2 cutoff value. The NMR data were processed via Numai NMR data analysis software V1.0, and the T2 spectrum was inverted by the SIRT algorithm.
4. Results
4.1. Determination of the Optimal Centrifugal Force
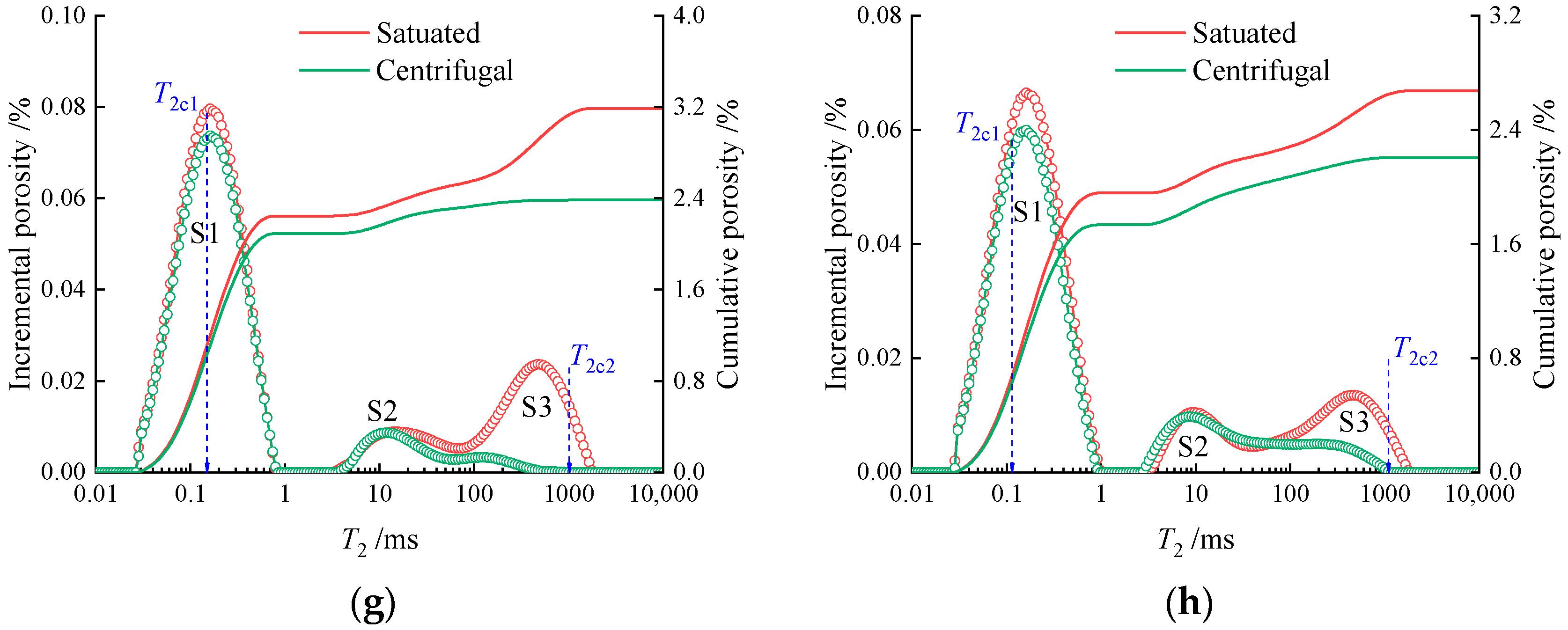
4.2. Calibration of T2 Cutoff Values
4.3. Distribution of Coal Pore Size
5. Discussion
5.1. Water Content of Pores Analysis
5.2. The Permeability Predicted Results
6. Conclusions
- (1)
- A permeability prediction model suitable for deep coal is established in this paper. The FCP model is an improvement of the SDR model. The constants in the SDR model are given theoretical explanations based on the fractal dimension Df, tortuosity τ, porosity φ, and transverse surface relaxivity ρ in the FCP model.
- (2)
- The optimum centrifugal force of the samples was determined to be 1.46 MPa by the evolution of pore water content. After centrifugation, the adsorption pores volume accounts for 67.60~85.82% of the total pore volume, the percolation pores volume accounts for 3.20~19.86%, and the migration pores volume accounts for 10.98~19.59%. This indicates that the adsorption pores account for most of the total volume of coal samples, followed by percolation pores and migration pores.
- (3)
- Based on the gas injection porosimetry method, the permeability ranges from 0.021 × 10−3 μm2 to 0.272 × 10−3 μm2 with an average of 0.113 × 10−3 μm2. The correlation coefficients between the predicted values and the measured values of Liu’s model, Coates model, and SDR model are 0.61, 0.83, and 0.89, respectively. The correlation coefficient between the predicted permeability and the measured permeability of the FCP model is 0.98. It shows that the prediction results of the FCP model are better than those of other models. and its accuracy is verified.
Author Contributions
Funding
Data Availability Statement
Acknowledgments
Conflicts of Interest
Abbreviations
| Acronyms and Symbols | Explanation |
| SDR | Schlumberger–Doll research |
| NMR | Nuclear magnetic resonance |
| FCP | Permeability model with fractal characteristics |
| φ | Porosity of coal sample |
| T2 | Transverse relaxation time |
| T2g | Geometric mean value of T2 |
| T2c | T2 cutoff value |
| ρ | Surface relaxivity |
| Fs | Shape factor of pore |
| rave | Average pore radius |
| rmax | Maximum pore radius |
| rmin | Minimum pore radius |
| Df | Fractal dimension |
| τ | Average tortuosity of the capillaries |
| BVI | Bound fluid saturation |
| FFI | Free fluid index |
References
- Xie, H.P.; Zhou, H.W.; Xue, D.J. Research and consideration on deep coal mining and critical mining depth. J. China Coal Soc. 2012, 37, 535–542. [Google Scholar]
- Xie, H.P.; Gao, F.; Ju, Y. Research and Development of Rock Mechanics in Deep Ground Engineering. Chin. J. Rock Mech. Eng. 2015, 34, 2161–2178. [Google Scholar]
- Bao, J.; Cheng, G.X. Permeability measurement of the fracture-matrix system with 3D embedded discrete fracture model. Pet. Sci. 2022, 19, 1757–1765. [Google Scholar]
- Michael, J.H.; Hans, T. Permeability determination from NMR relaxation measurements for fluids in porous media. Magn. Reson. Imaging 1995, 13, XIV. [Google Scholar] [CrossRef]
- Korb, J.P. NMR and nuclear spin relaxation of cement and concrete materials. Curr. Opin. Colloid Interface Sci. 2009, 14, 192–202. [Google Scholar] [CrossRef]
- Kenyon, W.; Day, P.; Straley, C.; Willemsen, J. A three-part study of NMR longitudinal relaxation properties of water-saturated sandstones. SPE Form. Eval. 1988, 3, 622–636. [Google Scholar] [CrossRef]
- Kenyon, W.; Kolleeny, J.A. NMR Surface Relaxivity of Calcite with Adsorbed Mn2+. J. Colloid Interface Sci. 1995, 170, 502–514. [Google Scholar] [CrossRef]
- Zhou, S.W.; Xue, H.Q.; Guo, W.; Li, X.B. A new nuclear magnetic resonance permeability model of shale of Longmaxi Formation in southern Sichuan Basin. J. China Univ. Pet. 2016, 40, 56–61. [Google Scholar]
- Yao, Y.B.; Liu, D.M. Petrophysical properties and fluids transportation in gas shale: A NMR relaxation spectrum analysis method. J. China Coal Soc. 2018, 43, 181–189. [Google Scholar]
- Coates, G.R.; Miller, M.; Gillen, M.; Henderson, C. The MRIL in Conoco 33-1 an investigation of a new magnetic resonance imaging log. In Proceedings of the SPWLA 32nd Annual Logging Symposium, Midland, TX, USA, 16–19 June 1991. [Google Scholar]
- Fan, Y.R.; Liu, J.Y.; Ge, X.M. Permeability evaluation of tight sandstone based on dual T2 cutoff values measured by NMR. Chin. J. Geophys. 2018, 61, 1628–1638. [Google Scholar]
- Kwak, H.; Gao, J.; Harbi, A. Improving the Permeability Derivation from NMR Data for Reservoir Rocks with Complicated Pore Connectivity. In Proceedings of the SPE Middle East Oil and Gas Show and Conference, Manama, Bahrain, 18–21 March 2019. [Google Scholar]
- Hidajat, I.; Singh, M.; Cooper, J. Permeability of Porous Media from Simulated NMR Response. Transp. Porous Media 2002, 48, 225–247. [Google Scholar] [CrossRef]
- Rios, E.H.; Ramos, P.F.D.; Machado, V.D. Modeling rock permeability from NMR relaxation data by PLS regression. J. Appl. Geophys. 2011, 75, 631–637. [Google Scholar] [CrossRef]
- Smith, C.H.; Ramakrishna, S.; Bray, J. Magnetic resonance to identify permeability in shale reservoirs. In Proceedings of the SPE Unconventional Resources Conference and Exhibition-Asia Pacific, Brisbane, Australia, 11–13 November 2013. [Google Scholar]
- Gharehdash, S.; Sainsbury, B.-A.L.; Barzegar, M.; Palymskiy, I.B.; Fomin, P.A. Topology and hydraulic permeability estimation of explosively created fractures through regular cylindrical pore network models. Eng. Comput. 2021, 38, 2312–2353. [Google Scholar] [CrossRef]
- Gharehdash, S.; Shen, L.; Gan, Y. Numerical study on mechanical and hydraulic behaviour of blast-induced fractured rock. Eng. Comput. 2020, 36, 915–929. [Google Scholar] [CrossRef]
- Guibert, R.; Nazarova, M.; Horgue, P.; Hamon, G.; Creux, P.; Debenest, G. Computational Permeability Determination from Pore-Scale Imaging: Sample Size, Mesh and Method Sensitivities. Transp. Porous Media 2015, 107, 641–656. [Google Scholar] [CrossRef]
- Aghda, S.M.F.; Taslimi, M.; Fahimifar, A. Adjusting porosity and permeability estimation by nuclear magnetic resonance: A case study from a carbonate reservoir of south of Iran. J. Pet. Explor. Prod. Technol. 2018, 8, 1113–1127. [Google Scholar] [CrossRef]
- Pape, H.; Arnold, J.; Pechnig, R. Permeability prediction for low porosity rocks by mobile Nmr. Pure Appl. Geophys. 2009, 166, 1125–1163. [Google Scholar] [CrossRef]
- Mitchell, J.; Staniland, J.; Chassagne, R. Mapping oil saturation distribution in a limestone plug with low-field magnetic resonance. J. Pet. Sci. Eng. 2013, 108, 14–21. [Google Scholar] [CrossRef]
- Xu, H.; Tang, D.; Chen, Y. Effective porosity in lignite using kerosene with low-field nuclear magnetic resonance. Fuel 2018, 213, 158–163. [Google Scholar] [CrossRef]
- Cai, Y.D.; Liu, D.M.; Pan, Z.; Yao, Y.; Li, J.; Qiu, Y. Petrophysical characterization of Chinese coal cores with heat treatment by nuclear magnetic resonance. Fuel 2013, 108, 292–302. [Google Scholar] [CrossRef]
- Talabi, O.; Blunt, M.J. Pore–scale network simulation of NMR response in two–phase flow. J. Pet. Sci. Eng. 2010, 72, 1–9. [Google Scholar] [CrossRef]
- Denn, M.M. Process Fluid Mechanics; Prentice-Hall: Englewood Cliffs, NJ, USA, 1980. [Google Scholar]
- Yu, B.M. Some Fractal Characters of Porous Media. Fractals 2001, 9, 365–372. [Google Scholar] [CrossRef]
- Yu, B.M. Analysis of Flow in Fractal Porous Media. Appl. Mech. Rev. 2008, 61, 050801. [Google Scholar] [CrossRef]
- Xu, P.; Yu, B.M. Developing a new form of permeability and Kozeny–Carman constant for homogeneous porous media by means of fractal geometry. Adv. Water Resour. 2008, 31, 74–81. [Google Scholar] [CrossRef]
- Yu, B.; Li, J. A Geometry Model for Tortuosity of Flow Path in Porous Media. Chin. Phys. Lett. 2004, 21, 1569–1571. [Google Scholar]
- Bai, R.T.; Li, Z.P.; Nan, J.X.; Lai, F.P.; Li, H.; Wei, Q. The fractal permeability model in tight sand reservoir accounts for start-up gradient. Nat. Gas Geosci. 2016, 27, 142–148. [Google Scholar]
- Yin, S.; Xie, R.C.; Ding, W.L.; Shan, Y.M.; Zhou, W. Influences of fractal characteristics of reservoir rocks on permeability. Lithol. Reserv. 2017, 29, 81–90. [Google Scholar]
- Logan, W.D.; Horkowitz, J.P.; Laronga, R. Practical Application of NMR Logging in Carbonate Reservoirs. SPE Reserv. Eval. Eng. 1998, 1, 438–448. [Google Scholar] [CrossRef]
- Yao, Y.B.; Liu, D.M.; Tang, D.Z. Fractal characterization of adsorption-pores of coals from North China: An investigation on CH4 adsorption capacity of coals. Int. J. Coal Geol. 2008, 73, 27–42. [Google Scholar] [CrossRef]
- Hodot, B.B. Outburst of Coal and Coalbed Gas; China Industry Press: Beijing, China, 1966; p. 318. (In Chinese) [Google Scholar]
- Yao, Y.; Liu, D.; Xie, S. Quantitative characterization of methane adsorption on coal using a low-field NMR relaxation method. Int. J. Coal Geol. 2014, 131, 32–34. [Google Scholar] [CrossRef]
- Li, Y.; Tang, D.; Elsworth, D. Characterization of coalbed methane reservoirs at multiple length scales: A cross-section from southeastern Ordos Basin, China. Energy Fuels 2014, 28, 5587–5595. [Google Scholar] [CrossRef]
- Yang, H.; Cheng, W.M.; Liu, Z.; Wang, W.Y. Fractal characteristics of effective seepage channel structure of water infusion coal based on NMR experiment. Rock Soil Mech. 2020, 41, 1279–1286. [Google Scholar]
- Yao, Y.B.; Liu, D.M.; Che, Y. Petrophysical characterization of coals by low-field nuclear magnetic resonance (NMR). Fuel 2010, 89, 1371–1380. [Google Scholar] [CrossRef]
- Cheng, H.; Chen, H.Q.; Cao, G.Y. Migration mechanism of capillary-film water in frozen soil and its experimental verification. Chin. J. Geotech. Eng. 2020, 42, 1790–1799. [Google Scholar]
- Shen, J.; Zhao, J.C.; Qin, Y.; Shen, Y.L. Water imbibition and drainage of high rank coals in Qinshui Basin, China. Fuel 2018, 211, 48–59. [Google Scholar] [CrossRef]
- Glover, P.; Zadjali, I.; Frew, K. Permeability prediction from MICP and NMR data using an electrokinetic approach. Geophysics 2006, 71, 49–60. [Google Scholar] [CrossRef]
- Rezaee, R.; Saeedi, A.; Clennell, B. Tight gas sands permeability estimation from mercury injection capillary pressure and nuclear magnetic resonance data. J. Pet. Sci. Eng. 2012, 88, 92–99. [Google Scholar] [CrossRef]
- Liu, J.L.; Tian, C.A.; Zeng, Y.W.; Dong, B. Fractal dimensionality dependence of microstructural parameters and permeability in fractal porous media. Adv. Water Sci. 2006, 17, 812–817. [Google Scholar]













| Sample Number | Permeability (10−3 μm2) | Porosity (%) | T2c1 (ms) | T2c2 (ms) | T2g (ms) |
|---|---|---|---|---|---|
| A | 0.221 | 3.83 | 0.130 | 1084.37 | 3.22 |
| B | 0.021 | 1.67 | 0.065 | 766.34 | 1.97 |
| C | 0.037 | 1.85 | 0.080 | 1762.91 | 3.00 |
| D | 0.025 | 1.59 | 0.086 | 943.79 | 1.46 |
| E | 0.181 | 2.82 | 0.122 | 1162.32 | 3.37 |
| F | 0.027 | 2.06 | 0.086 | 821.43 | 3.02 |
| G | 0.272 | 3.19 | 0.150 | 1011.64 | 4.41 |
| H | 0.123 | 2.67 | 0.114 | 1084.37 | 3.34 |
| Sample Number | Sample Status | The Water Content of Pores | ||
|---|---|---|---|---|
| Adsorption | Percolation | Migration | ||
| A | Saturated | 67.60% | 19.86% | 12.54% |
| Centrifugal | 74.41% | 19.62% | 5.97% | |
| B | Saturated | 85.82% | 3.20% | 10.98% |
| Centrifugal | 93.58% | 3.38% | 3.04% | |
| C | Saturated | 78.11% | 6.62% | 15.27% |
| Centrifugal | 92.29% | 5.49% | 2.22% | |
| D | Saturated | 75.65% | 4.76% | 19.59% |
| Centrifugal | 94.72% | 3.09% | 2.19% | |
| E | Saturated | 69.10% | 17.76% | 13.14% |
| Centrifugal | 78.04% | 18.97% | 2.99% | |
| F | Saturated | 77.15% | 6.38% | 16.47% |
| Centrifugal | 93.37% | 4.82% | 1.81% | |
| G | Saturated | 68.97% | 10.08% | 20.95% |
| Centrifugal | 87.90% | 9.90% | 2.20% | |
| H | Saturated | 71.90% | 12.68% | 15.42% |
| Centrifugal | 78.84% | 15.13% | 6.03% | |
| Sample Number | Porosity (%) | BVI (%) | FFI (%) | T2g (ms) |
|---|---|---|---|---|
| A | 3.83 | 80.88 | 19.12 | 3.22 |
| B | 1.67 | 84.73 | 15.27 | 1.97 |
| C | 1.85 | 76.51 | 23.49 | 3.00 |
| D | 1.59 | 89.51 | 10.49 | 1.46 |
| E | 2.82 | 81.83 | 18.17 | 3.37 |
| F | 2.06 | 67.30 | 32.70 | 3.02 |
| G | 3.19 | 74.99 | 25.01 | 4.41 |
| H | 2.67 | 82.67 | 17.33 | 3.34 |
Disclaimer/Publisher’s Note: The statements, opinions and data contained in all publications are solely those of the individual author(s) and contributor(s) and not of MDPI and/or the editor(s). MDPI and/or the editor(s) disclaim responsibility for any injury to people or property resulting from any ideas, methods, instructions or products referred to in the content. |
© 2022 by the authors. Licensee MDPI, Basel, Switzerland. This article is an open access article distributed under the terms and conditions of the Creative Commons Attribution (CC BY) license (https://creativecommons.org/licenses/by/4.0/).
Share and Cite
Song, L.; Gu, Y.; Zhang, L.; Wang, X. A Novel Permeability Prediction Model for Deep Coal via NMR and Fractal Theory. Mathematics 2023, 11, 118. https://doi.org/10.3390/math11010118
Song L, Gu Y, Zhang L, Wang X. A Novel Permeability Prediction Model for Deep Coal via NMR and Fractal Theory. Mathematics. 2023; 11(1):118. https://doi.org/10.3390/math11010118
Chicago/Turabian StyleSong, Lei, Yongsheng Gu, Lei Zhang, and Xiangyu Wang. 2023. "A Novel Permeability Prediction Model for Deep Coal via NMR and Fractal Theory" Mathematics 11, no. 1: 118. https://doi.org/10.3390/math11010118
APA StyleSong, L., Gu, Y., Zhang, L., & Wang, X. (2023). A Novel Permeability Prediction Model for Deep Coal via NMR and Fractal Theory. Mathematics, 11(1), 118. https://doi.org/10.3390/math11010118

