Abstract
The time-sampling control strategy has communication discontinuities in the control of multiple AUVs (autonomous underwater vehicles). To overcome this problem, a distributed event-triggered communication mechanism is proposed to make each AUV communicate only when its own state is updated, which reduces the frequency of communication and improves the stability. This mechanism has better adaptability for formation control between heterogeneous AUV groups. At the same time, two consistency control algorithms based on event-triggered for homogeneous and heterogeneous AUV groups are studied, respectively. The known consistency algorithms are applied to the control of heterogeneous AUV groups for comparative analysis. The simulation results demonstrate that the number of communication among AUVs under the event-triggered control strategy can be significantly reduced. Therefore, the stability of the system is improved. Compared with the traditional consensus algorithm, the algorithm proposed in this paper has advantages in the control of heterogeneous AUV groups.
1. Introduction
With the exploration of the ocean by human beings, a single AUV is no longer capable of handling the tasks with high operation volume and complexity, such as deep-sea resource exploration, underwater rescue, and deep-sea scientific research [,]. Therefore, the cooperative control of multiple AUVs has become a popular control problem []. Multi-AUV groups are mainly divided into homogeneous and heterogeneous groups []. The homogeneous AUV swarm (HOAUVs) has the same type of AUVs, and the form of the group is simple and easy to study; thus, most of the research on cooperative control methods of multi-AUV groups is focused on HOAUVs [,]. However, in the actual mission scenario, due to the different manufacturers of AUVs, their underlying technical architectures, equipment usage management, mission load functions, and other differences, the realistic AUV groups are mostly a heterogeneous swarm (HEAUVs). Consequently, it is of great theoretical value and practical significance to research this type of group []. In the case of harsh hydrographic environments and complicated detection tasks, the high intelligence and multi-functionality of HEAUVs can accomplish tasks that cannot be accomplished by single AUVs or HOAUVs or are difficult to accomplish. HEAUVs are the inevitable trend of AUV field development [].
Multi-AUV systems face many difficulties when operating underwater. In [], we can find that the quality and reliability of underwater communication are lacking, and the communication topology needs to be improved. In [], there are phenomena such as packet loss during communication in underwater wireless sensor networks. In [], The interference of underwater acoustic communication has a greater impact on the multi-AUV system. To reduce the communication frequency, a periodic pulse control strategy is proposed []. Neighboring AUVs communicate only at pulse moments, and this strategy also causes unnecessary communication due to the use of a fixed pulse period and does not address the continuous update problem []. In practical engineering applications, the behavior of AUVs is mainly controlled by an embedded digital controller []. In this controller role, the sampling of data, control law updates, and information transfer occurs at the moment of the fixed sampling period []. We call this approach a time-triggered control strategy. This control method has been widely used for some time because of its ease of controller design and implementation []. It can be found that when using the time-triggered control strategy, the fixed sampling period is generally chosen to be relatively small to take into account the system stability and performance, which inevitably results in frequent controller updates and data transfer. In the operation process, when the difference between the two sampled state values is small and the system tends to be stable, there is no need for the system to update the controller frequently and pass the information several times []. Although the time-triggered control will reduce the number of communications and controller updates to a certain extent, it also causes unnecessary consumption of computational and communication resources. Therefore, a more effective control method, event-triggered control, has been proposed [].
Event-triggered control strategy, compared with the time trigger, does not need to set a fixed sampling period in the state acquisition []. Event-triggered control needs to meet the system stability for the premise by setting a trigger condition []. When the state error associated with the system does not meet this preset condition, the system will only perform a corresponding action, that is, controller update, as well as information transmission []. Event-triggered control can be divided into centralized event triggering and distributed event triggering []. In centralized event-triggered control, there is only one trigger condition in the system, and a control center is needed to obtain the state information of all the agents. When the system does not satisfy this trigger condition, all the agents update the controller at this moment and transmit the information to other neighboring intelligences []. For the distributed event-triggered control, each agent has its trigger condition; thus, each agent controller updates and broadcasts its trigger sampling state at different moments []. Compared with the centralized trigger control, the distributed trigger control requires only local information and has better flexibility and immunity to interference.
At present, the problem of the coherent control of multi-intelligent systems based on event-triggered mechanisms has received the attention of many scholars at home and abroad, and many research results have been achieved. Deng studied the event-triggered tracking control problem for fully driven AUVs in the vertical plane []. Gao studied a fixed-time pilot-following formation control method for a set of AUVs with event-triggered acoustic communication []. Kim proposed a distributed event-driven adaptive formation control strategy for the 3D formation tracking of a group of AUVs []. Li proposed asynchronous and synchronous communication strategies and proved the consistency of the algorithm with limited information exchange and distributed communication delays []. Mu studied the event-triggered consensus problem for multi-intelligent systems with input time delays []. Su studied the fixed-time event-triggered formation control problem for multi-AUV systems with external uncertainty []. Su proposed an event-triggered integral sliding mode fixed-time control method to solve the trajectory tracking problem for AUVs with disturbances []. Xu studied the event-triggered distributed adaptive dichotomous consensus control problem for a multi-AUV system with fixed topology [].
From these studies, we can find that most researchers focus on the study of HOAUVs, and there are fewer research results involving the control strategy of HEAUVs. In designing the event triggering control strategy, it is necessary to ensure that the interval between any two consecutive event triggering moments is greater than zero, to avoid the occurrence of the zeno phenomenon, which refers to a system with numerous triggers in a finite period of time. How to effectively avoid this phenomenon is key in event triggering control. The periodic event triggering strategy can be a good solution to this problem []. Unlike the trigger control in the above literature, the periodic event triggering strategy combines the time triggering strategy and the event triggering strategy. The strategy judges the event triggering conditions at the sampling moment, thus further saving the computational resources. Since the event triggering moments all occur at the sampling moment, the minimum event triggering interval is a fixed period. The difference between event-triggered and time-triggered is illustrated in Figure 1.

Figure 1.
The difference between event-triggered and time-triggered.
In the information exchange process of HEAUVs, the application of the periodic event triggering strategy does not require continuous time communication, but through a pulse time series. However, this strategy also creates unnecessary communication due to the fixed pulse period and does not solve the problem of continuous controller updates.
Motivated by these existing works and observations, this paper proposes a distributed event-triggered control strategy for HOAUVs and HEAUVs. The main contributions can be summarized as follows:
- A distributed event-triggered communication mechanism is proposed to make each AUV communicate only when its own state is updated.
- Solve the cooperative control problem of HEAUVs, which can make the state of all AUVs consistent while saving computing resources and communication bandwidth.
- When analyzing the minimum event trigger interval, a sufficient condition of the trigger condition is obtained. This condition is used to prove that the zeno phenomenon does not occur in the system.
The remainder of this paper is organized as follows: First, in Section 2, the dynamics of AUV and some assumptions are given. Then, the controller is designed for HOAUVs and HEAUVs in Section 3. Section 4 provides a simulation for multi-AUVs to demonstrate the control algorithms based on the event triggering strategy. Finally, Section 5 concludes this paper.
2. Problem Statement
2.1. Dynamics of AUV
For the convenience of problem research, this article assumes that the AUV is fully driven; each AUV can detect its position and angle information, and can receive the status information of the neighbor AUV. To describe the motion state of the AUV, an inertial coordinate system I and a motion coordinate system B are established, respectively. The AUV model is established as shown in Figure 2.

Figure 2.
Model diagram of underactuated AUV in inertial and fixed coordinates.
In practical engineering applications, the mathematical model of the AUV has nonlinear strongly coupled characteristics, which adds a great deal of difficulty to the design of the corresponding motion controller. When the equations of motion of a system become complex, it is often possible to develop design models that have less mathematical complexity but still capture the fundamental characteristics of the system. This paper simplifies the design of a model suitable for the design of AUV control algorithms. The AUV equations of motion can be transformed into a nonlinear state space represented by a fixed coordinate system, which is more suitable for linearization. Neglecting the external disturbances, the equations of the AUV model of motion in three degrees of freedom are considered as follows.
where denotes the rotational transformation matrix, M denotes the inertia matrix, denotes the Koch force matrix, and denotes the damping matrix. denotes the position state of the AUV, and denotes the current northward, eastward, and depth-on coordinates of the AUV in a fixed coordinate system, respectively. denotes the linear velocity of the AUV, and denotes the longitudinal, lateral, and vertical velocities of the AUV, respectively. denotes the moment vector. denotes the thrust force, which is the control quantity to be designed in this paper.
2.2. Assumptions and Lemmas
Assumption 1.
Define the matrix:
where is a positive definite symmetric matrix. There exist positive numbers and , which satisfy for any x.
Assumption 2.
Define the matrix:
where is a skew-symmetric matrix. There exists a positive number satisfying for any x.
Lemma 1.
When trigger function and , the time interval satisfies [].
3. Controller Design
3.1. Event-Triggered Controller for HOAUVs
We designed a distributed event-triggered controller for homogeneous AUV groups.
Suppose . Due to , , ; Equation (1) can be written as
Aiming at the control problems of the above systems, Hu et al. proposed a consistent distributed control protocol under the action of impulses in order to reduce the number of communications [].
where represents the corresponding element value of the adjacency matrix, is a constant, represents the impulse function at time and works once. It can be observed that in this control strategy, the control inputs of all AUVs still need to be updated continuously. Based on the shortcomings of this control protocol, the following improvements are made.
The controller is shown below.
Unlike Equation (7), we change the cycle time t to the event trigger , where k denotes the trigger moment, implying that the control volume is updated once only when the state changes. Additionally, if we consider more general motion scenarios, we only need to add depth to the control input in the control protocol. The control input can be changed to , where z is the depth. To describe the variation of the control quantity more precisely, we introduce the error function and , which denote the errors between the AUV and the leader in position and velocity, respectively. The event-triggered function can be represented as follows.
where are all constants greater than 0, and denotes compensation function. Next, we will demonstrate the stability of the controller.
Proof.
Suppose a Lyapunov function:
where is a symmetric and positive definite matrix. when and are not simultaneously 0. The derivative of V is
Due to
When ,
Integrating over Equation (15):
Due to and being bounded, is bounded. Therefore, , ,. □
3.2. Event-Triggered Controller for HEAUVs
Supposing HEAUVs contain N AUVs, the kinetic equation can be expressed as follows [].
where denotes state variables, denotes control inputs, denotes bounded vectors of AUVi, and and denote system parameters. Based on the event triggering mechanism [], we design the controller as shown in Equation (18).
where K denotes control gain matrix, denotes estimated value, and denotes the i,j element of the adjacency matrix . To compensate for the heterogeneity, variable is introduced. updates when the event trigger condition is activated [].
where , denotes the corresponding control gain matrix. The event trigger function is shown in Equation (20).
where , and denote the measurement error. Next, we will demonstrate the stability of the designed controller.
Proof.
Suppose there exist positive definite matrices and , then and . According to the event triggering mechanism, we can know that the stability of the system can be proven when Equation (21) is satisfied [].
Due to
Sum of squares for Equation (22):
A Lyapunov function is chosen for a fixed topology []:
Taking the derivative of :
Due to , Equation (25) can be written as
Integrating over Equation (26):
Suppose ,
In summary, HEAUVs can reach agreement with the control gain of and . □
We reflect the anti-interference ability of the controller through the proof of stability. However, this controller still needs further improvement when dealing with the problem of parameter uncertainty.
4. Simulation and Analysis
4.1. Simulation of HOAUVs under Event-Triggered Control
This subsection conducts a simulation analysis for the consistency control algorithm of HOAUVs under event-triggered control. One leader and four followers form an isomorphic multi-AUV swarm []. The initial position of the pilot is randomly distributed in the interval , the initial position of each follower is randomly distributed in the interval [−10, 10], the initial combined speed is assumed to be 5 m/s, and the initial values of other state variables are set to 0. The control input of the leader AUV is set, and the trigger interval is set to s. According to the controller, select the control gain , . The system-weighted adjacency matrix is shown as follows [].
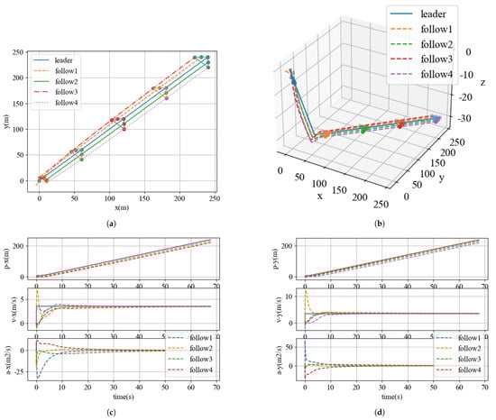
The simulation results are shown in Figure 3. From Figure 3a,b, it can be observed that the formation process of the AUV swarm and the state of the formation keep their navigation. From Figure 3b, it can be observed that the followers in the AUV swarm are able to keep the desired relative distance motion with the navigator. From Figure 3c–e, it can be observed that the velocity of the followers is able to reach the same speed as that of the navigator. The acceleration of the follower eventually converges to zero. The event trigger moments are shown in Figure 3f. It can be observed that the proposed control mechanism can significantly reduce the number of communications. In realistic applications, we can select four or more AUVs of equal size and type as test objects. The control center is deployed on the shore, and control commands are sent to each AUV according to a fixed period. According to the motion data returned by the AUV, the consistency control algorithm is used to adjust the control instructions to realize the consistency control of HOAUVs. Moreover, in the actual underwater communication environment, we can take the time delay into account. In the original control strategy, we introduce a fixed time delay, and its formation change is shown in Figure 4a,b. It can be observed from the figure that when there is a time delay, the original control strategy obviously cannot guarantee that the state of HOAUVs reaches the same state in a limited time. Therefore, we need to improve the control strategy, which is also the direction for further research in this paper.


Figure 3.
(a) HOAUVs’ formation (2-D); (b) HOAUVs’ formation (3-D); (c) state in x-direction (HOAUVs); (d) state in y-direction (HOAUVs); (e) state in z-direction (HOAUVs); (f) event trigger time (HOAUVs).

Figure 4.
(a) State in x-direction (HOAUVs with time delay); (b) state in y-direction (HOAUVs with time delay).
4.2. Simulation of HEAUVs under Event-Triggered Control
In this section, simulation is performed to verify the event-triggered controller designed for HEAUVs. To contrast with the previous section, the formation and initial condition settings are kept the same as Section 4.1. The parameters of each type of AUV system are as follows.
AUV1:
AUV2:
AUV3:
AUV4:
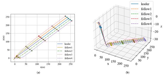
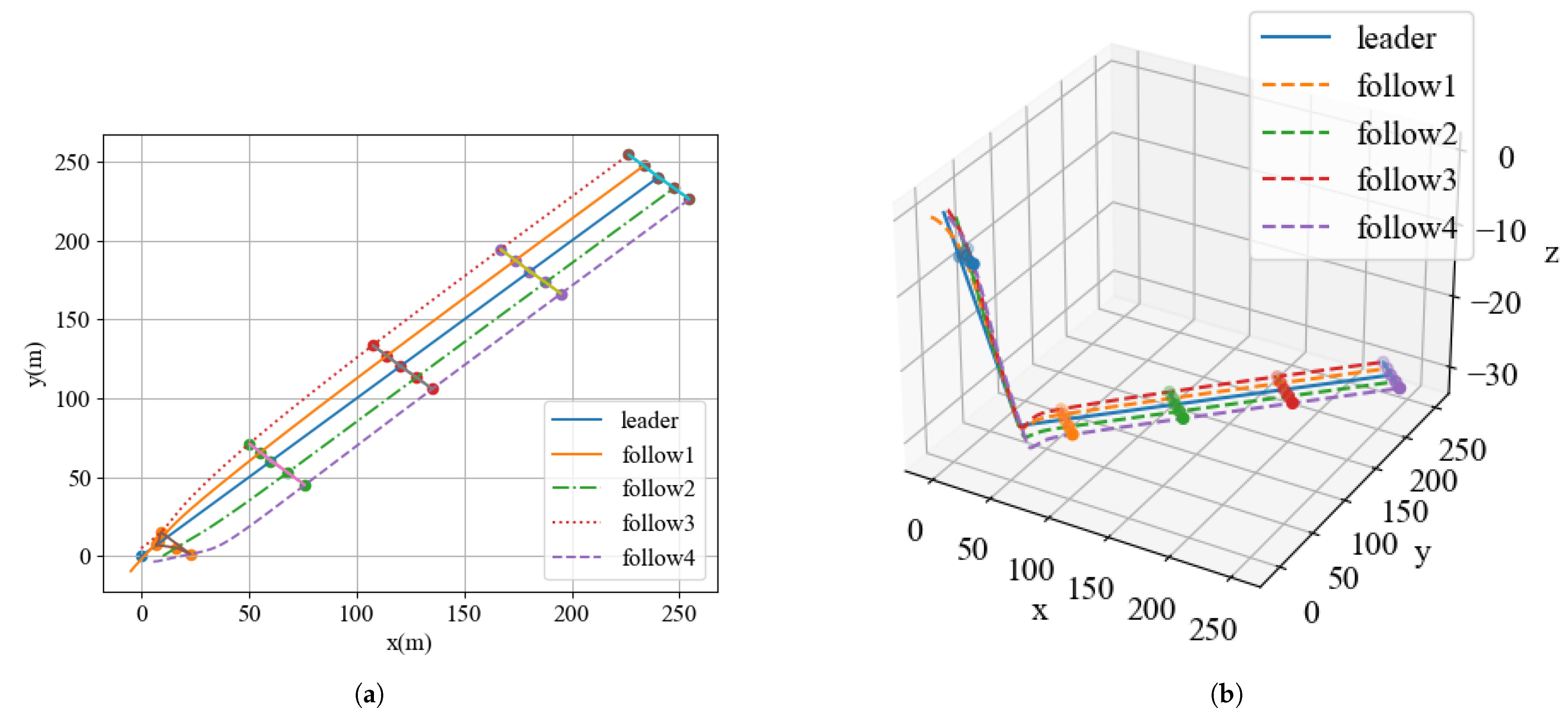
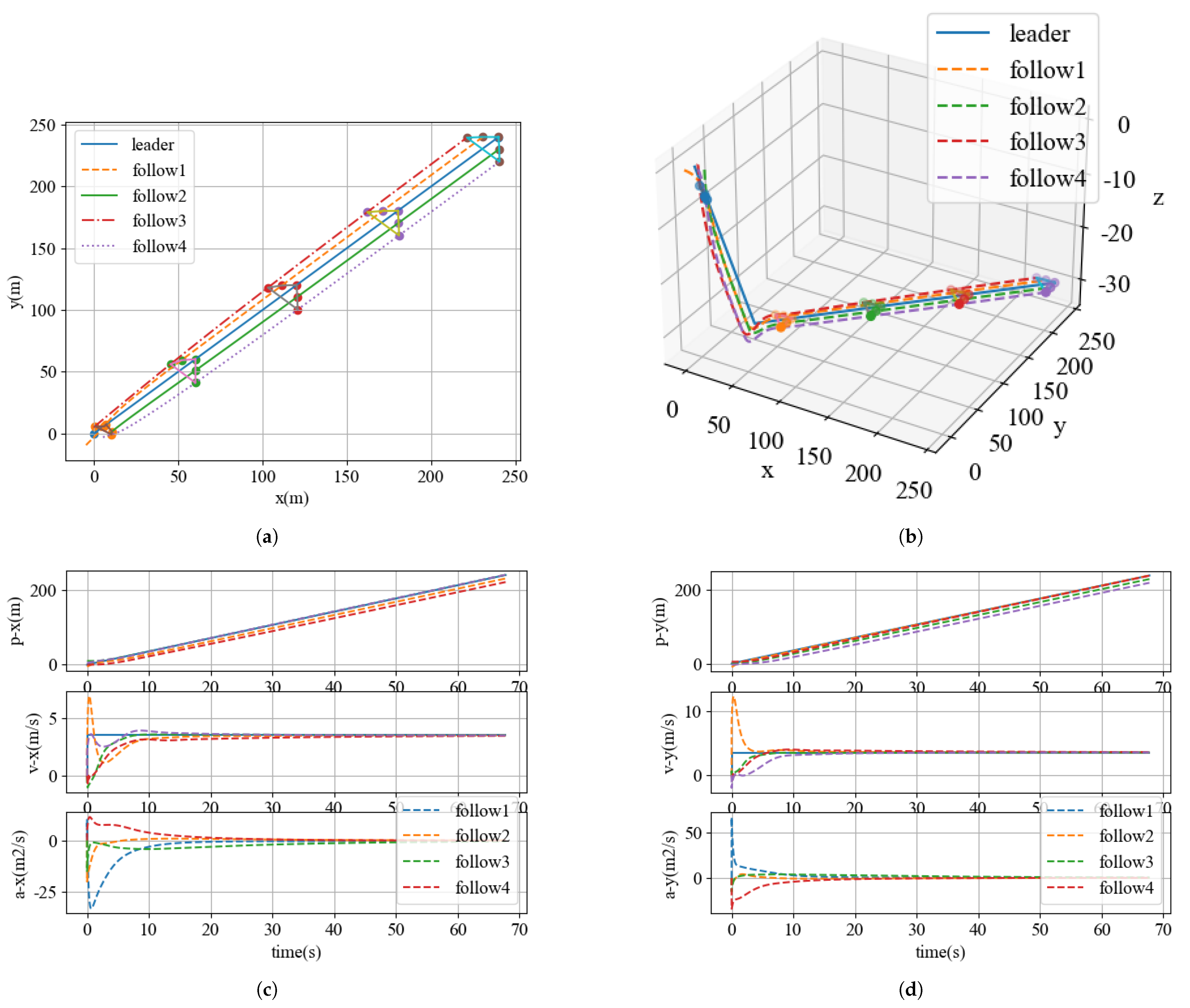
The formation process of HEAUVs can be observed in Figure 5a,b. The position and velocity of the follower can reach the leader, and the acceleration of the follower eventually converges to zero, as shown in Figure 5c–e. The event trigger moments are shown in Figure 5f. As can be observed from the figure, in the distributed event-triggered control algorithm proposed in this paper, each follower AUV only updates the control signal at the trigger time of its event, without considering the trigger time of its neighbor nodes, which can effectively reduce a large number of redundant AUVs. This can reduce the update frequency of the control signal of the system. Moreover, the estimation-based triggering condition is adopted, which can effectively prolong the release time of event triggering and reduce the number of event triggering controls. The convergence of the final speed and position state is better, and the consistency can be obtained faster.


Figure 5.
(a) HEAUVs’ formation (2-D); (b) HEAUVs’ formation (3-D); (c) state in x-direction (HEAUVs); (d) state in y-direction (HEAUVs); (e) state in z-direction (HEAUVs); (f) event trigger time (HEAUVs).
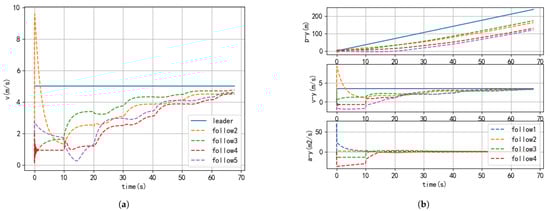
For comparison, we compare with the time-triggered control strategy []. The rest of the conditions refer to the settings in Section 4.2 and remain unchanged. We modify the control strategy to the time-triggered control. We select the combined velocity in the x and y directions as a comparison, and the simulation results are shown in Figure 6a,b.

Figure 6.
(a) Velocity in x-y direction (HEAUVs with event-triggered); (b) velocity in x-y direction (HEAUVs with time-triggered).
It can be observed from the figure that due to the problem of the trigger mechanism, the state of each AUV cannot complete the convergence, and the overall situation presents a divergent trend. The distributed consistency control strategy proposed in this paper considers the heterogeneity of AUV groups, and has stronger applicability to HEAUVs. In summary, the simulation results illustrate that the proposed event-triggered cooperative formation control scheme is effective.
5. Conclusions
In this paper, the consistency problem of the AUV swarm via event-triggered control is studied. The distributed consistency control algorithms based on an event-triggered mechanism for homogeneous and heterogeneous AUVs are proposed, respectively. Firstly, an AUV dynamics model with three degrees of freedom is given. Then, a simple transformation of the model is performed. An event-triggered control protocol and an event-triggered function are designed for the transformed model. After that, the stability analysis of the algorithm is combined with the Lyapunov stability theory, matrix theory knowledge, and Barbalat’s Lemma. It is proven that the algorithm can achieve the consistent state of all AUVs while saving computational resources and communication bandwidth. In analyzing the minimum event trigger interval, a sufficient condition for the trigger condition is obtained.
The current research on the coordinated control of AUVs mainly relies on linear models. However, the singular matrix generated by the linearization process also brings some problems to the controller design. Therefore, the coordinated control method directly using the complex model will become the focus of subsequent research.
Author Contributions
Conceptualization, K.C. and G.L.; methodology, K.C.; software, K.C.; validation, H.Z., G.L., and D.Z.; formal analysis, K.C.; investigation, G.L.; resources, K.C.; data curation, G.L.; writing—original draft preparation, K.C.; writing—review and editing, G.L.; visualization, H.Z.; supervision, D.Z.; project administration, K.C.; funding acquisition, D.Z. All authors have read and agreed to the published version of the manuscript.
Funding
This research received no external funding.
Institutional Review Board Statement
Not applicable.
Informed Consent Statement
Not applicable.
Data Availability Statement
The original contributions presented in the study are included in the article. Further inquiries can be directed to the corresponding author.
Acknowledgments
The original version of this paper was presented at the 16th International Conference on Bio-inspired Computing: Theories and Applications (BIC-TA 2021), December 2021. This paper was recommended for publication in a revised form by the BIC-TA 2021 conference committees [].
Conflicts of Interest
The authors declare no conflict of interest.
Abbreviations
The following abbreviations are used in this manuscript:
AUV | Autonomous Underwater Vehicle |
HOAUVs | Homogeneous AUV swarm |
HEAUVs | Heterogeneous AUV swarm |
References
- Raanan, B.Y.; Bellingham, J.G.; Zhang, Y.; Kemp, M.; Kieft, B.; Singh, H.; Girdhar, Y. Automatic fault diagnosis for autonomous underwater vehicles using online topic models. In Proceedings of the OCEANS 2016 MTS/IEEE Monterey, Monterey, CA, USA, 19–23 September 2016; pp. 1–6. [Google Scholar]
- Su, B.; Wang, H.; Li, N. Event-triggered integral sliding mode fixed time control for trajectory tracking of autonomous underwater vehicle. Trans. Inst. Meas. Control 2021, 43, 3483–3496. [Google Scholar] [CrossRef]
- Al Issa, S.; Kar, I. Design and implementation of event-triggered adaptive controller for commercial mobile robots subject to input delays and limited communications. Control Eng. Pract. 2021, 114, 104865. [Google Scholar] [CrossRef]
- Xiang, X.; Xu, G.; Zhang, Q.; Xiao, Z.; Huang, X. Coordinated control for multi-auv systems based on hybrid automata. In Proceedings of the 2007 IEEE International Conference on Robotics and Biomimetics (ROBIO), Sanya, China, 15–18 December 2007; pp. 2121–2126. [Google Scholar]
- Yu, M.; Yan, C.; Li, C. Event-triggered tracking control for couple-group multi-agent systems. J. Frankl. Inst. 2017, 354, 6152–6169. [Google Scholar] [CrossRef]
- Yue, D.; Tian, E.; Han, Q.L. A delay system method for designing event-triggered controllers of networked control systems. IEEE Trans. Autom. Control 2012, 58, 475–481. [Google Scholar] [CrossRef]
- Liu, W.; Yang, C.; Sun, Y.; Qin, J. Observer-based event-triggered control for consensus of multi-agent systems with time delay. In Proceedings of the 2016 Chinese Control and Decision Conference (CCDC), Yinchuan, China, 28–30 May 2016; pp. 2515–2522. [Google Scholar]
- Antunes, D.J.; Khashooei, B.A. Consistent dynamic event-triggered policies for linear quadratic control. IEEE Trans. Control Netw. Syst. 2017, 5, 1386–1398. [Google Scholar] [CrossRef]
- Bernard, C.; Bouvet, P.J. Multiuser underwater acoustic communication for an auv fleet. In Proceedings of the OCEANS 2019-Marseille, Marseille, France, 17–20 June 2019; pp. 1–5. [Google Scholar]
- Khan, M.T.R.; Ahmed, S.H.; Kim, D. Auv-assisted energy-efficient clustering in underwater wireless sensor networks. In Proceedings of the 2018 IEEE Global Communications Conference (GLOBECOM), Abu Dhabi, United Arab Emirates, 9–13 December 2018; pp. 1–7. [Google Scholar]
- Tao, Q.; Zhou, Y.; Tong, F.; Song, A.; Zhang, F. Evaluating acoustic communication performance of micro auv in confined space. In Proceedings of the 2018 OCEANS-MTS/IEEE Kobe Techno-Oceans (OTO), Kobe, Japan, 28–31 May 2018; pp. 1–6. [Google Scholar]
- Albea, C.; Seuret, A. Time-triggered and event-triggered control of switched affine systems via a hybrid dynamical approach. Nonlinear Anal. Hybrid Syst. 2021, 41, 101039. [Google Scholar] [CrossRef]
- Kindt, P.H.; Ghosh, S.; Chakraborty, S. Configuring loosely time-triggered wireless control software. In Proceedings of the 23th International Workshop on Software and Compilers for Embedded Systems, St. Goar, Germany, 25–26 May 2020; pp. 70–73. [Google Scholar]
- Kyriakakis, E.; Sparsø, J.; Puschner, P.; Schoeberl, M. Synchronizing real-time tasks in time-triggered networks. In Proceedings of the 2021 IEEE 24th International Symposium on Real-Time Distributed Computing (ISORC), Daegu, Korea, 1–3 June 2021; pp. 11–19. [Google Scholar]
- Yang, Y.; Xiao, Y.; Li, T. A survey of autonomous underwater vehicle formation: Performance, formation control, and communication capability. IEEE Commun. Surv. Tutor. 2021, 23, 815–841. [Google Scholar] [CrossRef]
- Kyriakakis, E.; Sparsø, J.; Schoeberl, M. Evaluating a time-triggered runtime system by distributing a flight controller. In Proceedings of the 2021 26th IEEE International Conference on Emerging Technologies and Factory Automation (ETFA), Vasteras, Sweden, 7–10 September 2021; pp. 1–8. [Google Scholar]
- Zhang, X.; Zhao, X. Architecture design of distributed redundant flight control computer based on time-triggered buses for uavs. IEEE Sens. J. 2020, 21, 3944–3954. [Google Scholar] [CrossRef]
- Dong, Y.; Lin, Z. An event-triggered observer and its applications in cooperative control of multi-agent systems. IEEE Trans. Autom. Control 2021. [Google Scholar] [CrossRef]
- Heidari, R.; Khajehzadeh, A.; Eslami, M. A consensus event-triggered control of networked multi-agent systems with non-ideal communication network. Ain Shams Eng. J. 2021, 12, 3783–3790. [Google Scholar] [CrossRef]
- Ju, Y.; Ding, D.; He, X.; Han, Q.L.; Wei, G. Consensus control of multi-agent systems using fault-estimation-in-the-loop: Dynamic event-triggered case. IEEE/CAA J. Autom. Sin. 2021. [Google Scholar] [CrossRef]
- Nandanwar, A.; Dhar, N.K.; Malyshev, D.; Rybak, L.; Behera, L. Stochastic event-based super-twisting formation control for multi-agent system under network uncertainties. IEEE Trans. Control Netw. Syst. 2021. [Google Scholar] [CrossRef]
- Trejo, J.A.V.; Rotondo, D.; Medina, M.A.; Theilliol, D. Observer-based event-triggered model reference control for multi-agent systems. In Proceedings of the 2020 International Conference on Unmanned Aircraft Systems (ICUAS), Athens, Greece, 1–4 September 2020; pp. 421–428. [Google Scholar]
- Wang, H.; Xue, B.; Xue, A. Leader-following consensus control for semi-markov jump multi-agent systems: An adaptive event-triggered scheme. J. Frankl. Inst. 2021, 358, 428–447. [Google Scholar] [CrossRef]
- Zhu, J.W.; Yang, Y.P.; Zhang, W.A.; Yu, L.; Wang, X. Cooperative attack tolerant tracking control for multi-agent system with a resilient switching scheme. Neurocomputing 2020, 409, 372–380. [Google Scholar] [CrossRef]
- Deng, Y.; Liu, T.; Zhao, D. Event-triggered output-feedback adaptive tracking control of autonomous underwater vehicles using reinforcement learning. Appl. Ocean. Res. 2021, 113, 102676. [Google Scholar] [CrossRef]
- Gao, Z.; Guo, G. Fixed-time leader-follower formation control of autonomous underwater vehicles with event-triggered intermittent communications. IEEE Access 2018, 6, 27902–27911. [Google Scholar] [CrossRef]
- Kim, J.H.; Yoo, S.J. Distributed event-driven adaptive three-dimensional formation tracking of networked autonomous underwater vehicles with unknown nonlinearities. Ocean. Eng. 2021, 233, 109069. [Google Scholar] [CrossRef]
- Li, L.; Ho, D.W.; Lu, J. Event-based network consensus with communication delays. Nonlinear Dyn. 2017, 87, 1847–1858. [Google Scholar] [CrossRef]
- Mu, N.; Wu, Y.; Liao, X.; Huang, T. Input time delay margin in event-triggered consensus of multiagent systems. IEEE Trans. Cybern. 2018, 49, 1849–1858. [Google Scholar] [CrossRef]
- Su, B.; Wang, H.; Wang, Y.; Gao, J. Fixed-time formation of auvs with disturbance via event-triggered control. Int. J. Control Autom. Syst. 2021, 19, 1505–1518. [Google Scholar] [CrossRef]
- Su, H.; Wang, Z.; Song, Z.; Chen, X. Event-triggered consensus of non-linear multi-agent systems with sampling data and time delay. IET Control Theory Appl. 2017, 11, 1715–1725. [Google Scholar] [CrossRef]
- Xu, Y.; Li, T.; Tong, S. Event-triggered adaptive fuzzy bipartite consensus control of multiple autonomous underwater vehicles. IET Control Theory Appl. 2020, 14, 3632–3642. [Google Scholar] [CrossRef]
- Heemels, W.P.M.H.; Donkers, M.C.F.; Teel, A.R. Periodic event-triggered control for linear systems. IEEE Trans. Autom. Control 2013, 58, 847–861. [Google Scholar] [CrossRef]
- Hu, Z.; Ma, C.; Zhang, L.; Halme, A.; Hayat, T.; Ahmad, B. Formation control of impulsive networked autonomous underwater vehicles under fixed and switching topologies. Neurocomputing 2015, 147, 291–298. [Google Scholar] [CrossRef]
- Li, Y.; Zhang, P.; Wang, C.; Wang, D.; Wang, J. Distributed event-triggered consensus of multi-agent systems with input delay. IFAC-PapersOnLine 2020, 53, 2550–2555. [Google Scholar] [CrossRef]
- Wang, S.; Cao, Y.; Huang, T.; Chen, Y.; Li, P.; Wen, S. Sliding mode control of neural networks via continuous or periodic sampling event-triggering algorithm. Neural Netw. 2020, 121, 140–147. [Google Scholar] [CrossRef]
- Wang, Y.; Gu, Y.; Xie, X.; Zhang, H. Delay-dependent distributed event-triggered tracking control for multi-agent systems with input time delay. Neurocomputing 2019, 333, 200–210. [Google Scholar] [CrossRef]
- Andonie, R. Hyperparameter optimization in learning systems. J. Membr. Comput. 2019, 1, 279–291. [Google Scholar] [CrossRef] [Green Version]
- Lazo, P.P.L.; Cabarle, F.G.C.; Adorna, H.N.; Yap, J.M.C. A return to stochasticity and probability in spiking neural p systems. J. Membr. Comput. 2021, 3, 149–161. [Google Scholar] [CrossRef]
- Chen, K.; Luo, G.; Zhou, H.; Zhao, D. An improved event-triggered control method based on consistency algorithm in heterogeneous auv swarm under communication delay. In Bio-Inspired Computing: Theories and Applications; Pan, L., Cui, Z., Cai, J., Li, L., Eds.; Springer: Singapore, 2022; pp. 206–221. [Google Scholar]
Publisher’s Note: MDPI stays neutral with regard to jurisdictional claims in published maps and institutional affiliations. |
© 2022 by the authors. Licensee MDPI, Basel, Switzerland. This article is an open access article distributed under the terms and conditions of the Creative Commons Attribution (CC BY) license (https://creativecommons.org/licenses/by/4.0/).