Effect of Money Supply, Population, and Rent on Real Estate: A Clustering Analysis in Taiwan
Abstract
:1. Introduction
2. Related Studies
3. Methods
3.1. Particle Swarm Optimization
3.2. Double-Bottom Map Particle Swarm Optimization
3.3. DBM-PSO Algorithm for Clustering
| Algorithm 1. The steps of the DBM-PSO algorithm. |
| 01: Begin |
| 02: Initial particle swarm |
| 03: While (the stopping criterion is not met) |
| 04: Evaluate fitness of particle swarm by Equation 6 |
| 05: For n = 1 to number of particles |
| 06: Find pbest |
| 07: Find gbest |
| 08: For d = 1 to number of dimensions of particle |
| 09: Update the position of particles by equations 5 and 2 |
| 10: Next d |
| 11: Next n |
| 12: Next-generation until the stopping criterion |
| 13: End |
3.4. Dataset
- Social demographic variables: age, specifically children (0–14 years), adults (15–65 years), and older adults (≥65 years);
- Variables on real estate transfers: number of transfers, average transfer area, average unit price of the transfer, number of houses built, and average building area;
- Socioeconomic variables: Mortgage interest rate, M1b, M2, rental index, consumption index, and average salary;
- Monthly sector indexes of the stock market: the monthly sector indexes supervised by the Taiwan stock exchange from 2009 to 2020;
- Construction engineering indicators: the cost of engineering materials, cement products, metals, wood, plastics, paint, electrical and mechanical, and labor.
3.5. Statistical Analysis
4. Results and Discussion
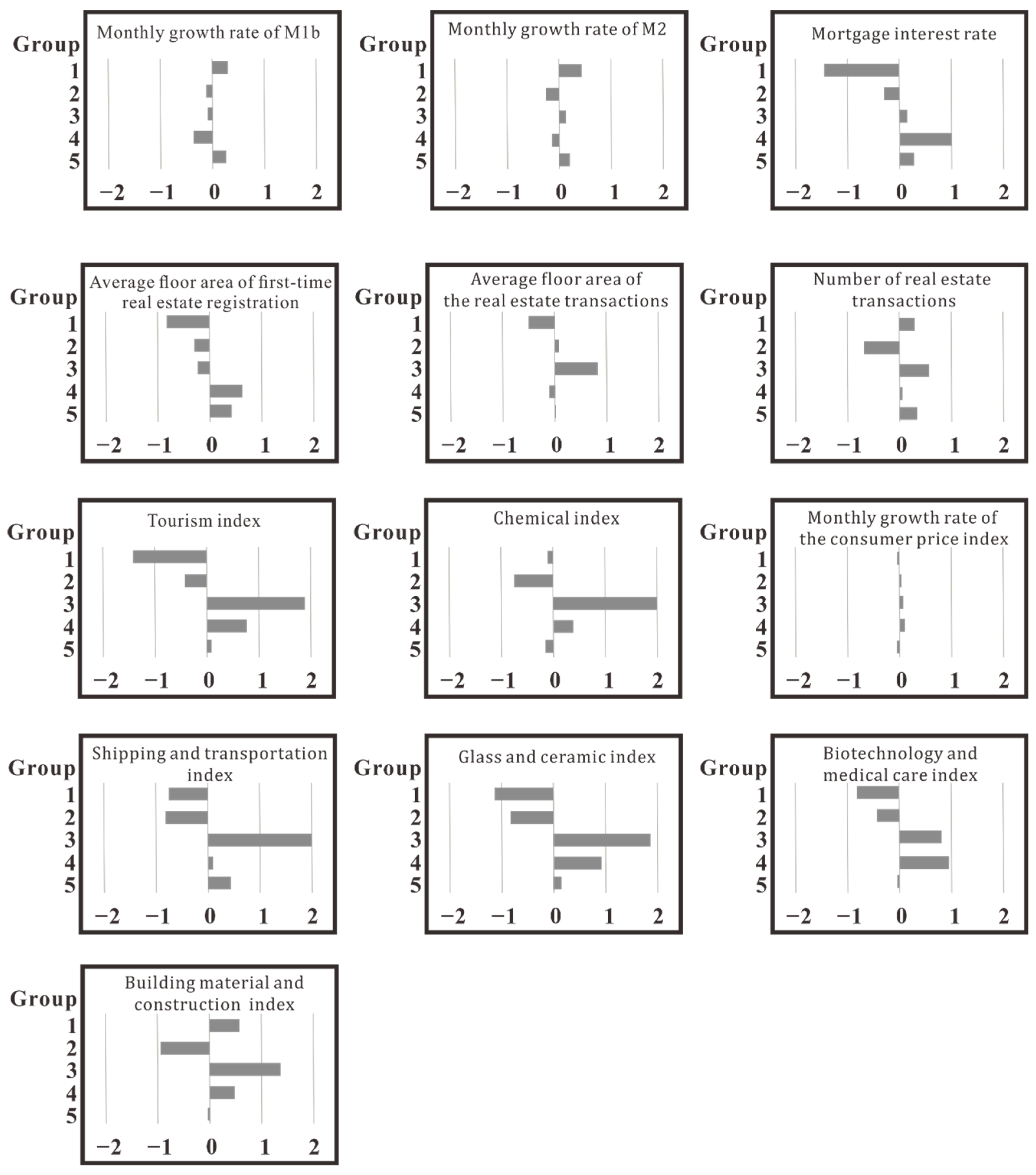
4.1. Money Supply
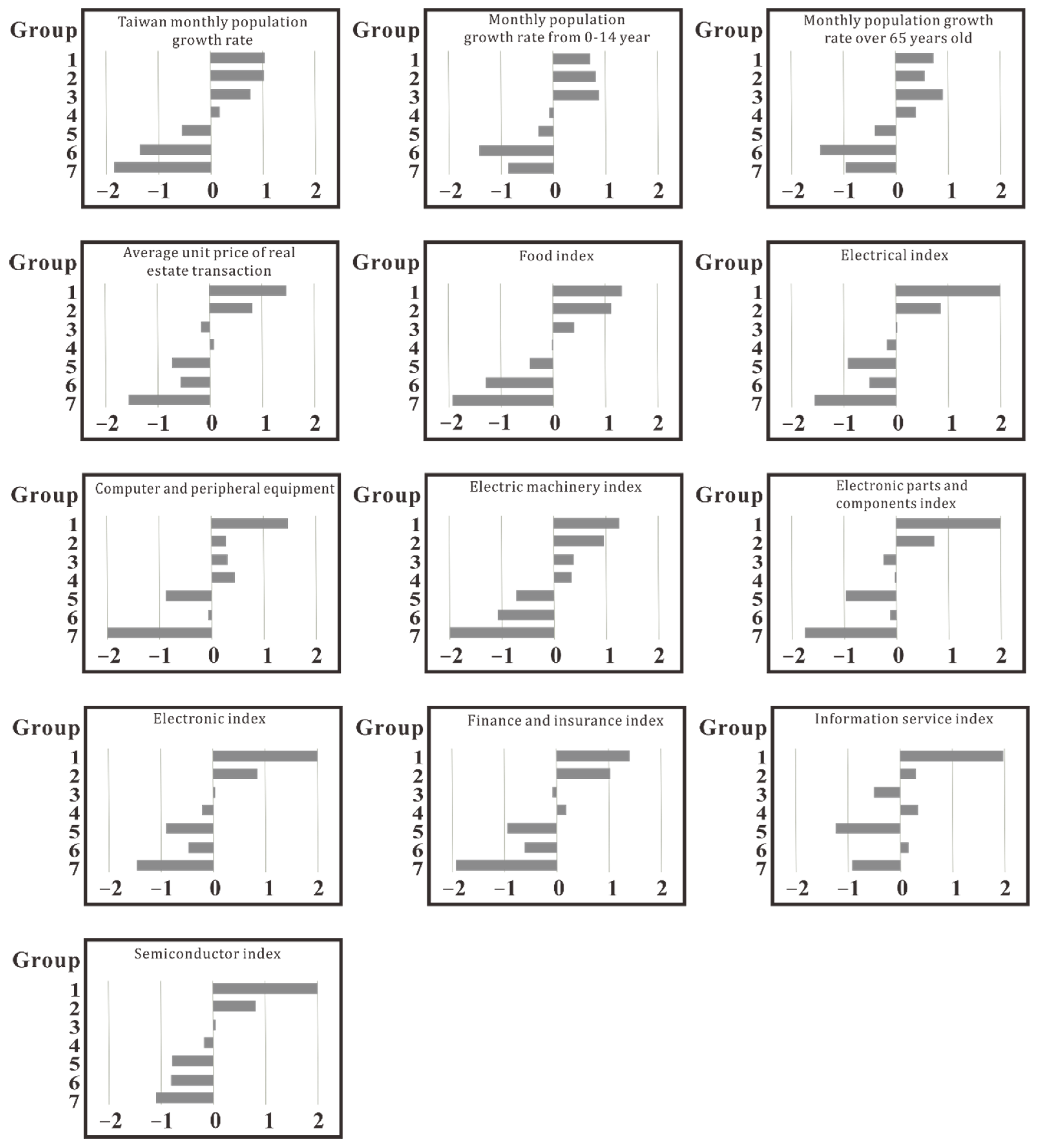
4.2. Population
4.3. Rent
4.4. Effect of Money Supply on the Floor Area of Property
4.5. Effect of Population on the Unit Price of Property
4.6. Effect of Rent on First-Time Real Estate Registrations
5. Conclusions
Supplementary Materials
Author Contributions
Funding
Institutional Review Board Statement
Informed Consent Statement
Data Availability Statement
Conflicts of Interest
References
- Ratcliffe, J.; Stubbs, M.; Keeping, M. Urban Planning and Real Estate Development; Routledge: New York, NY, USA, 2021. [Google Scholar]
- Mikulić, J.; Vizek, M.; Stojčić, N.; Payne, J.E.; Časni, A.Č.; Barbić, T. The effect of tourism activity on housing affordability. Ann. Tour. Res. 2021, 90, 103264. [Google Scholar] [CrossRef]
- Hu, C.-P.; Hu, T.-S.; Fan, P.; Lin, H.-P. The urban blight costs in taiwan. Sustainability 2021, 13, 113. [Google Scholar] [CrossRef]
- Baldominos, A.; Blanco, I.; Moreno, A.J.; Iturrarte, R.; Bernárdez, Ó.; Afonso, C. Identifying real estate opportunities using machine learning. Appl. Sci. 2018, 8, 2321. [Google Scholar] [CrossRef] [Green Version]
- Liu, C.; Xiong, W. China’s real estate market. In The Handbook of China’s Financial System; Walter de Gruyter, Inc.: Berlin, Germany, 2020; pp. 183–207. [Google Scholar]
- Chen, Y.-L. “Housing prices never fall”: The development of housing finance in taiwan. In Housing Policy Debate; Informa PLC: London, UK, 2020; Volume 30, pp. 623–639. [Google Scholar]
- Chang, C.-O.; Chen, S.-M. Dilemma of housing demand in taiwan. Int. Real Estate Rev. 2018, 21, 397–418. [Google Scholar] [CrossRef]
- Zinchenko, O.; Finahina, O.; Pankova, L.; Buriak, I.; Kovalenko, Y. Investing in the development of information infrastructure for technology transfer under the conditions of a regional market. East.-Eur. J. Enterp. Technol. 2021, 3, 111. [Google Scholar]
- Salvati, L.; Ciommi, M.T.; Serra, P.; Chelli, F.M. Exploring the spatial structure of housing prices under economic expansion and stagnation: The role of socio-demographic factors in metropolitan rome, italy. Land Use Policy 2019, 81, 143–152. [Google Scholar] [CrossRef]
- Lizares, R.M.; Bautista, C.C. Corporate financial distress: The case of publicly listed firms in an emerging market economy. J. Int. Financ. Manag. Account. 2021, 32, 5–20. [Google Scholar] [CrossRef]
- Morano, P.; Tajani, F.; Di Liddo, F.; Darò, M. Economic evaluation of the indoor environmental quality of buildings: The noise pollution effects on housing prices in the city of bari (italy). Buildings 2021, 11, 213. [Google Scholar] [CrossRef]
- Renigier-Biłozor, M.; Źróbek, S.; Walacik, M.; Borst, R.; Grover, R.; d’Amato, M. International acceptance of automated modern tools use must-have for sustainable real estate market development. Land Use Policy 2022, 113, 105876. [Google Scholar] [CrossRef]
- Wang, X.; Wen, J.; Zhang, Y.; Wang, Y. Real estate price forecasting based on svm optimized by pso. Optik 2014, 125, 1439–1443. [Google Scholar] [CrossRef]
- Mooya, M.M. Real Estate Valuation Theory: A Critical Appraisal, 1st ed.; Springer: Berlin/Heidelberg, Germany, 2016; 185p. [Google Scholar]
- Yang, L.; Chu, X.; Gou, Z.; Yang, H.; Lu, Y.; Huang, W. Accessibility and proximity effects of bus rapid transit on housing prices: Heterogeneity across price quantiles and space. J. Transp. Geogr. 2020, 88, 102850. [Google Scholar] [CrossRef]
- Öztürk, A.; Kapusuz, Y.E.; Tanrıvermiş, H. The dynamics of housing affordability and housing demand analysis in ankara. Int. J. Hous. Mark. Anal. 2018, 11, 828–851. [Google Scholar] [CrossRef]
- Alkay, E.; Watkins, C.; Keskin, B. Explaining spatial variation in housing construction activity in turkey. Int. J. Strateg. Prop. Manag. 2018, 22, 119–130. [Google Scholar] [CrossRef] [Green Version]
- Coskun, Y.; Seven, U.; Ertugrul, H.M.; Alp, A. Housing price dynamics and bubble risk: The case of turkey. Hous. Stud. 2020, 35, 50–86. [Google Scholar] [CrossRef]
- Kirikkaleli, D.; Athari, S.A.; Ertugrul, H.M. The real estate industry in turkey: A time series analysis. Serv. Ind. J. 2018, 41, 427–439. [Google Scholar] [CrossRef]
- Stephany, F.; Stoehr, N.; Darius, P.; Neuhäuser, L.; Teutloff, O.; Braesemann, F. The corisk-index: A data-mining approach to identify industry-specific risk assessments related to covid-19 in real-time. arXiv 2020, arXiv:2003.12432. [Google Scholar] [CrossRef]
- Yang, Y.; Altschuler, B.; Liang, Z.; Li, X.R. Monitoring the global covid-19 impact on tourism: The covid19tourism index. Ann. Tour. Res. 2021, 90, 103120. [Google Scholar] [CrossRef]
- Sun, J.; Yang, X.; Zhao, X. Understanding commercial real estate indices. J. Real Estate Portf. Manag. 2020, 18, 289–303. [Google Scholar] [CrossRef]
- Usman, H.; Lizam, M.; Adekunle, M.U. Property price modelling, market segmentation and submarket classifications: A review. Real Estate Manag. Valuat. 2020, 28, 24–35. [Google Scholar] [CrossRef]
- Mittal, M.; Goyal, L.M.; Hemanth, D.J.; Sethi, J.K. Clustering approaches for high-dimensional databases: A review. Wiley Interdiscip. Rev. Data Min. Knowl. Discov. 2019, 9, e1300. [Google Scholar] [CrossRef]
- Yang, C.-H.; Chuang, L.-Y.; Lin, Y.-D. Epistasis analysis using an improved fuzzy c-means-based entropy approach. IEEE Trans. Fuzzy Syst. 2019, 28, 718–730. [Google Scholar] [CrossRef]
- Kan-Kilinc, B.; Tug, I. The Examination of Real Estate Prices in Istanbul by Using Hybrid Hierarchical K-Means Clustering (Betul 2019). In Proceedings of the y-BIS 2019 Conference Book: Recent Advances in Data Science and Business Analytics, Istanbul, Turkey, 25–28 September 2019. [Google Scholar]
- Liao, S.-H.; Chou, S.-Y. Data mining investigation of co-movements on the taiwan and china stock markets for future investment portfolio. Expert Syst. Appl. 2013, 40, 1542–1554. [Google Scholar] [CrossRef]
- Chuang, L.-Y.; Lin, Y.-D.; Yang, C.-H. Data clustering using chaotic particle swarm optimization. IAENG Int. J. Comput. Sci. 2012, 39, IJCS_39_32_08. [Google Scholar]
- Kennedy, J.; Eberhart, R. Particle swarm optimization. In Proceedings of the ICNN’95-International Conference on Neural Networks, Perth, WA, Australia, 27 November–1 December 1995; pp. 1942–1948. [Google Scholar]
- Shi, Y.; Eberhart, R.C. Empirical study of particle swarm optimization. In Proceedings of the 1999 Congress on Evolutionary Computation-CEC99 (Cat. No. 99TH8406), Washington, DC, USA, 6–9 July 1999; IEEE: Washington, DC, USA, 1999; Volume 3, pp. 1945–1950. [Google Scholar]
- Yang, C.-H.; Tsai, S.-W.; Chuang, L.-Y.; Yang, C.-H. An improved particle swarm optimization with double-bottom chaotic maps for numerical optimization. Appl. Math. Comput. 2012, 219, 260–279. [Google Scholar] [CrossRef]
- Yang, C.-H.; Lin, Y.-D.; Chuang, L.-Y.; Chang, H.-W. Double-bottom chaotic map particle swarm optimization based on chi-square test to determine gene-gene interactions. BioMed Res. Int. 2014, 2014, 172049. [Google Scholar] [CrossRef]
- McCarthy, R.V.; McCarthy, M.M.; Ceccucci, W.; Halawi, L. What do descriptive statistics tell us. In Applying Predictive Analytics; Springer: Cham, Switzerland, 2019; pp. 57–87. [Google Scholar]
- Gelman, A. Analysis of variance—why it is more important than ever. Ann. Stat. 2005, 33, 1–53. [Google Scholar] [CrossRef] [Green Version]
- Kumari, K.; Yadav, S. Linear regression analysis study. J. Pract. Cardiovasc. Sci. 2018, 4, 33. [Google Scholar] [CrossRef]
- Goodhart, C.; Hofmann, B. House prices, money, credit, and the macroeconomy. Oxf. Rev. Econ. Policy 2008, 24, 180–205. [Google Scholar] [CrossRef] [Green Version]
- White, M. Cyclical and structural change in the uk housing market. J. Eur. Real Estate Res. 2015, 8, 85–103. [Google Scholar] [CrossRef] [Green Version]
- Bouchouicha, R.; Ftiti, Z. Real estate markets and the macroeconomy: A dynamic coherence framework. Econ. Model. 2012, 29, 1820–1829. [Google Scholar] [CrossRef]
- Otto, G. The growth of house prices in australian capital cities: What do economic fundamentals explain? Aust. Econ. Rev. 2007, 40, 225–238. [Google Scholar] [CrossRef]
- Takáts, E. Aging and house prices. J. Hous. Econ. 2012, 21, 131–141. [Google Scholar] [CrossRef]
- Bensdorp, V. Influence of Population Demographics on Real Estate Prices in Zuid-Holland. Master’s Thesis, Utrechr University, Utrecht, The Netherlands, 2021. [Google Scholar]
- Wang, Y.; Kinugasa, T. The relationship between demographic change and house price: Chinese evidence. Int. J. Econ. Policy Stud. 2021, 16, 43–65. [Google Scholar] [CrossRef]
- Gevorgyan, K. Do demographic changes affect house prices? J. Demogr. Econ. 2019, 85, 305–320. [Google Scholar] [CrossRef] [Green Version]
- Li, H.; Wei, Y.D.; Wu, Y. Analyzing the private rental housing market in shanghai with open data. Land Use Policy 2019, 85, 271–284. [Google Scholar] [CrossRef]
- Hirota, S.; Suzuki-Löffelholz, K.; Udagawa, D. Does owners’ purchase price affect rent offered? Experimental evidence. J. Behav. Exp. Financ. 2020, 25, 100260. [Google Scholar] [CrossRef]
- Zhai, D.; Shang, Y.; Wen, H.; Ye, J. Housing price, housing rent, and rent-price ratio: Evidence from 30 cities in china. J. Urban Plan. Dev. 2018, 144, 04017026. [Google Scholar] [CrossRef]
- Su, C.-W.; Wang, X.-Q.; Tao, R.; Chang, H.-L. Does money supply drive housing prices in china? Int. Rev. Econ. Financ. 2019, 60, 85–94. [Google Scholar] [CrossRef]
- Zhang, H.; Lu, T.; Sun, Y. Research on the development of real estate market based on population change in China. Proc. IOP Conf. Ser. Earth Environ. Sci. 2019, 267, 062031. [Google Scholar] [CrossRef]
- Baird, M.D.; Schwartz, H.; Hunter, G.P.; Gary-Webb, T.L.; Ghosh-Dastidar, B.; Dubowitz, T.; Troxel, W.M. Does large-scale neighborhood reinvestment work? Effects of public–private real estate investment on local sales prices, rental prices, and crime rates. Hous. Policy Debate 2020, 30, 164–190. [Google Scholar] [CrossRef]
- Xu, X.E.; Chen, T. The effect of monetary policy on real estate price growth in china. Pac.-Basin Financ. J. 2012, 20, 62–77. [Google Scholar] [CrossRef]
- Oni, A.; Emoh, F.; Ijasan, K. The impact of money market indicators on real estate finance in nigeria. Sri Lankan J. Real Estate 2012, 6, 16–37. [Google Scholar]
- Wang, X.; Hui, E.C.-M.; Sun, J. Population aging, mobility, and real estate price: Evidence from cities in china. Sustainability 2018, 10, 3140. [Google Scholar] [CrossRef] [Green Version]
- Tsai, I.C. Housing price convergence, transportation infrastructure and dynamic regional population relocation. Habitat Int. 2018, 79, 61–73. [Google Scholar] [CrossRef]
- Xu, Y.; Zhang, Q.; Zheng, S.; Zhu, G. House age, price and rent: Implications from land-structure decomposition. J. Real Estate Financ. Econ. 2018, 56, 303–324. [Google Scholar] [CrossRef] [Green Version]
- An, X.; Deng, Y.; Fisher, J.D.; Hu, M.R. Commercial real estate rental index: A dynamic panel data model estimation. Real Estate Econ. 2016, 44, 378–410. [Google Scholar] [CrossRef]
- Mitchell, T.; Krulicky, T. Big data-driven urban geopolitics, interconnected sensor networks, and spatial cognition algorithms in smart city software systems. Geopolit. Hist. Int. Relat. 2021, 13, 9–22. [Google Scholar]
- Hudson, L.; Sedlackova, A.N. Urban sensing technologies and geospatial big data analytics in internet of things-enabled smart cities. Geopolit. Hist. Int. Relat. 2021, 13, 37–50. [Google Scholar]
- Evans, V.; Horak, J. Sustainable urban governance networks, data-driven internet of things systems, and wireless sensor-based applications in smart city logistics. Geopolit. Hist. Int. Relat. 2021, 13, 65–78. [Google Scholar]
- König, P.D. Citizen-centered data governance in the smart city: From ethics to accountability. Sustain. Cities Soc. 2021, 75, 103308. [Google Scholar] [CrossRef]
- Feng, Z.; Zhang, J. Nonparametric k-means algorithm with applications in economic and functional data. Commun. Stat.-Theory Methods 2022, 51, 537–551. [Google Scholar] [CrossRef]
- Dang, C.; Chen, X.; Yu, S.; Chen, R.; Yang, Y. Credit ratings of chinese households using factor scores and k-means clustering method. Int. Rev. Econ. Financ. 2022, 78, 309–320. [Google Scholar] [CrossRef]
- Chuang, L.-Y.; Lin, Y.-D.; Yang, C.-H. An improved particle swarm optimization for data clustering. In Proceedings of the International MultiConference of Engineers & Computer Scientist 2012, IMECS, Hong Kong, China, 14–16 March 2012; pp. 440–445. [Google Scholar]
- Cao, L.; Wang, Y.; Zhang, B.; Jin, Q.; Vasilakos, A.V. Gchar: An efficient group-based context—aware human activity recognition on smartphone. J. Parallel Distrib. Comput. 2018, 118, 67–80. [Google Scholar] [CrossRef]
- Larabi Marie-Sainte, S. A survey of particle swarm optimization techniques for solving university examination timetabling problem. Artif. Intell. Rev. 2015, 44, 537–546. [Google Scholar] [CrossRef]




| X1 | X2 | X3 | X4 | X5 | X6 | X7 | X8 | X9 | X10 | X11 | X12 | X13 | |
|---|---|---|---|---|---|---|---|---|---|---|---|---|---|
| Mean | 4.77 | 154.97 | 277.30 | 1.76 | 144,541.68 | 377,650.51 | 98.47 | 53.27 | 276.25 | 76.02 | 122.09 | 106.32 | 71.62 |
| Maximum | 8.16 | 318.93 | 374.47 | 2.04 | 222,803 | 501,879 | 103.28 | 106.20 | 360.82 | 124.71 | 170.01 | 147.32 | 93.38 |
| Minimum | 2.62 | 132.15 | 202.67 | 1.35 | 84,834 | 280,973 | 91.47 | 23.40 | 114.58 | 53.07 | 74.38 | 57.81 | 45.49 |
| Variance | 0.58 | 339.86 | 953.26 | 0.03 | 1,022,005,117 | 3,646,905,425 | 10.36 | 354.36 | 1494.27 | 216.46 | 366.08 | 206.87 | 78.20 |
| Standard deviation | 0.76 | 18.44 | 30.87 | 0.17 | 31,968.81 | 60,389.61 | 3.22 | 18.82 | 38.66 | 14.71 | 19.13 | 14.38 | 8.84 |
| Coefficient of skewness | 0.72 | 5.30 | 0.49 | −0.50 | 0.28 | 0.077 | −0.37 | 0.52 | −1.19 | 1.16 | 0.05 | 0.20 | −0.14 |
| Coefficient of kurtosis | 2.81 | 43.85 | 0.55 | −0.32 | −0.72 | −1.199 | −0.98 | −0.59 | 4.10 | 1.16 | 0.11 | 2.79 | 0.22 |
| Normality and analysis | R-square | Adjusted R-square | Sum square | Mean square | F-value | Significance level(α) | |||||||
| Money supply | 0.99 | 0.99 | 519,543,632,217.67 | 43,295,302,684.81 | 2888.05 | <0.001 | |||||||
| X1: Number of real estate transactions (×10,000/month) X2: Average floor area of the real estate transactions (M2) X3: Average floor area of first-time real estate registrations (M2) X4: Mortgage interest rate (%) X5: M1b money supply (×100,000,000 NT$) X6: M2 money supply (×100,000,000 NT$) X7: Consumer price index | X8: Glass and ceramic index X9: Building material and construction index X10: Shipping and transportation index X11: Tourism index X12: Chemical index X13: Biotechnology and healthcare index Dependent variable: M2 money supply (×100,000,000 TWD) | ||||||||||||
| X1 | X2 | X3 | X4 | X5 | X6 | X7 | X8 | X9 | X10 | X11 | X12 | X13 | |
|---|---|---|---|---|---|---|---|---|---|---|---|---|---|
| Mean | 23.98 | 23,391,579 | 3,318,172 | 2,920,850 | 1259.27 | 141.66 | 1025.69 | 122.71 | 92.40 | 83.97 | 142.77 | 364.10 | 2045.62 |
| Maximum | 31.56 | 23,604,265 | 3,892,772 | 3,787,315 | 1903.42 | 226.41 | 1361.80 | 342.21 | 119.78 | 150.28 | 266.21 | 698.98 | 3900.80 |
| Minimum | 11.29 | 23,046,177 | 296,3396 | 2,410,897 | 431.72 | 46.60 | 500.80 | 45.64 | 46.68 | 36.55 | 72.95 | 172.86 | 965.39 |
| Variance | 9.05 | 32,008,583,400 | 69,875,514,058 | 177,487,013,674 | 141,995.88 | 1647.40 | 33,710.04 | 3092.43 | 139.40 | 367.04 | 2232.85 | 7955.39 | 248,057.85 |
| Standard deviation | 3.01 | 178,909.43 | 264,339.77 | 421,292.08 | 376.82 | 40.59 | 183.60 | 55.61 | 11.81 | 19.16 | 47.25 | 89.19 | 498.05 |
| Coefficient of skewness | −0.47 | −0.45 | 0.59 | 0.53 | −0.25 | −0.37 | −0.28 | 1.450 | −0.80 | 0.52 | 0.93 | 1.05 | 1.00 |
| Coefficient of kurtosis | 2.34 | −1.23 | −0.76 | −1.06 | −0.89 | −0.72 | −0.32 | 2.45 | 2.33 | 1.01 | 0.29 | 1.65 | 1.54 |
| Normality and analysis | R-square | Adjusted R-square | Sum square | Mean square | F-value | Significance level(α) | |||||||
| Money supply | 0.99 | 0.99 | 25,064,591,547,645.10 | 2,278,599,231,604.10 | 951.67 | <0.001 | |||||||
| X1: Average unit price of real estate transactions(×10,000/ping) X2: Taiwan population X3: Population (from 0-14 years) X4: Population (over 65 years old) X5: Food index X6: Electric machinery index X7: Finance and Insurance index | X8: Semiconductor index X9: Computer and peripheral equipment X10: Electronic parts and components index X11: Information service index X12: Electronic index X13: Electrical index Dependent variable: population (over 65 years old) | ||||||||||||
| X1 | X2 | X3 | X4 | X5 | ||
|---|---|---|---|---|---|---|
| Mean | 0.93 | 99.07 | 477.02 | 292.08 | 236.63 | |
| Maximum | 1.69 | 103.88 | 617.17 | 427.49 | 348.54 | |
| Minimum | 0.53 | 95.87 | 200.48 | 94.33 | 50.07 | |
| Variance | 0.04 | 6.59 | 6171.93 | 4220.02 | 5677.49 | |
| Standard deviation | 0.20 | 2.57 | 78.56 | 64.96 | 75.35 | |
| Coefficient of skewness | 0.89 | 0.35 | −1.06 | −0.34 | −0.54 | |
| Coefficient of kurtosis | 1.47 | −1.22 | 1.47 | 0.46 | −0.42 | |
| Normality and analysis | R-square | Adjusted R-square | Sum square | Mean square | F-value | Significance level(α) |
| Money supply | 0.72 | 0.71 | 675.78 | 168.95 | 88.33 | <0.001 |
|
X1: Number of first-time real estate registrations(
×10,000/Month) X2: Rental index X3: Textile index |
X4: Rubber index X5: Automobile index Dependent variable: monthly growth rate of rental index | |||||
Publisher’s Note: MDPI stays neutral with regard to jurisdictional claims in published maps and institutional affiliations. |
© 2022 by the authors. Licensee MDPI, Basel, Switzerland. This article is an open access article distributed under the terms and conditions of the Creative Commons Attribution (CC BY) license (https://creativecommons.org/licenses/by/4.0/).
Share and Cite
Yang, C.-H.; Lee, B.; Lin, Y.-D. Effect of Money Supply, Population, and Rent on Real Estate: A Clustering Analysis in Taiwan. Mathematics 2022, 10, 1155. https://doi.org/10.3390/math10071155
Yang C-H, Lee B, Lin Y-D. Effect of Money Supply, Population, and Rent on Real Estate: A Clustering Analysis in Taiwan. Mathematics. 2022; 10(7):1155. https://doi.org/10.3390/math10071155
Chicago/Turabian StyleYang, Cheng-Hong, Borcy Lee, and Yu-Da Lin. 2022. "Effect of Money Supply, Population, and Rent on Real Estate: A Clustering Analysis in Taiwan" Mathematics 10, no. 7: 1155. https://doi.org/10.3390/math10071155
APA StyleYang, C.-H., Lee, B., & Lin, Y.-D. (2022). Effect of Money Supply, Population, and Rent on Real Estate: A Clustering Analysis in Taiwan. Mathematics, 10(7), 1155. https://doi.org/10.3390/math10071155

