Next Article in Journal
Fractional Differential Equations with the General Fractional Derivatives of Arbitrary Order in the Riemann–Liouville Sense
Previous Article in Journal
Compact Word-Serial Modular Multiplier Accelerator Structure for Cryptographic Processors in IoT Edge Nodes with Limited Resources
 
 
Font Type:
Arial Georgia Verdana
Font Size:
Aa Aa Aa
Line Spacing:
Column Width:
Background:
Article

Comparative Multidimensional Analysis of the Current State of European Economies Based on the Complex of Macroeconomic Indicators

1
Department of Digital Economics and Information Technologies, South Ural State University, 76 Lenin Prospekt, 454080 Chelyabinsk, Russia
2
Faculty of Economics, Technical University of Kosice, Nemcovej 32, 04001 Kosice, Slovak Republic
*
Author to whom correspondence should be addressed.
Mathematics 2022, 10(5), 847; https://doi.org/10.3390/math10050847
Submission received: 8 January 2022 / Revised: 16 February 2022 / Accepted: 25 February 2022 / Published: 7 March 2022

Abstract

:
The stability of the economy of any country is primarily determined by the totality of macroeconomic indicators that describe the current economic state. This article provides a multi-dimensional analysis of the macroeconomic situation in Europe according to the data of 2020. The purpose of the article is to give a clear idea of the relative position of the economies of European countries, their proximity or the significance of their differences to determine each country’s place in the overall European economic system. Research objectives: (1) to identify the necessary macroeconomic indicators for the research; (2) to determine the direction of the impact of these indicators on the economic situation of European countries; (3) to carry out a cluster division of the studied countries with the identification of the main characteristics of each cluster; (4) to identify the main macroeconomic indicators that determine the level of welfare of European countries, (5) to reduce the dimension of the multi-dimensional economic space using integrated latent factors, (6) to build a fuzzy mathematical model to predict the level of welfare of the country when the specified values of latent factors are achieved. The methodological basis of the analysis is the methods of processing multi-dimensional information, such as multi-dimensional scaling, cluster analysis, factor analysis, multivariate regression analysis, analysis of variance, discriminant analysis, and fuzzy modelling methods. The multivariate data processing was performed using the SPSS and FuzzyTech computer programs. The results obtained in the article can be useful in carrying out macroeconomic reforms to improve the economic condition of the countries.

1. Introduction

There are many different questions in modern macroeconomic theory, but the main question that macroeconomists are trying to answer can be formulated as follows: “Why are some countries so rich and others so poor?”. The answer to this question in the form of a specific algorithm of actions is far from being as evident as it might seem at first glance. A country’s economy depends on many indicators of a different nature and different units of measurement. What is important for one country may be entirely unimportant for another. Nevertheless, it is necessary to find some approaches to solving the formulated question and identifying general trends and patterns, if not for all countries, then for their vast majority. When carrying out such research, it is necessary to use a multi-dimensional array of initial information and apply modern mathematical and computational methods for its processing. Such approaches will help develop strategies for action to improve the state of the economies of specific countries.
The set task can be viewed from the point of view of the dynamics of economic development. For example, Figure 1 shows a “box plot” for the variable GDP per capita, PPP, USD, for the last 11 years. The objects of research are 42 European countries.
The diagram shows that the economies of European countries tend to develop, as evidenced by the constant increase in the median value and interquartile range. The only exception is 2020, which shows the impact of the pandemic. One can note the divergence of European economies, as evidenced by the scope and interquartile range increase, except in 2020. We also note a significant excess of the indicator for Luxembourg and in 2020 for Ireland compared to other European countries. Therefore, supporters of the theory of convergence do not find confirmation of their views here.
However, in our study, we focus on the current state of the economies of European countries (as of 2020) based on the initial multivariate macroeconomic data. The task itself, in this case, is complex. Taking dynamic changes into account will further complicate the complex research task. Considering the dynamic features is possible in the framework of additional studies.

2. Literature Review/Background

Issues related to the well-being of countries with a high level of economic development have constantly attracted the attention of economists around the world, starting with the famous work of Adam Smith, “An Inquiry into the Nature and Causes of the Wealth of Nations” [1]. We refer to this famous investigation to show that, starting from this work, macroeconomists in many countries are trying to answer the question “Why are some countries so rich and others so poor?”. Our study contributes to some extent to the solution of this issue. The relevance of this issue is increasing due to the challenges that countries face today. Such challenges include the economic recession due to the pandemic, the need to reduce the unemployment rate, the volume of external debt, and others.
The author of [2] illustrates the steps to construct a measure that accounts for multi-dimensional inequality across European regions in human development. A multi-dimensional index to explore the inequalities across regions has been produced. Results show a generally increased level of human development achievements despite a widespread, persistent level of inequality in its distribution.
The author of [3] aims to conduct a multi-dimensional comparative analysis of E.U. countries’ implementation of a circular economy. Based on the analyses, it was concluded that these of the old E.U. countries are the most advanced in terms of a circular economy among all E.U. countries.
The scope of [4] is to investigate the performance of listed companies of the construction sector in the southern European member states of the E.U., namely Greece, Italy, Portugal, and Spain, taking into consideration their economic conditions as the recent economic crisis has formed them. The structure of the proposed methodology is based on a non-parametric method of Data Envelopment Analysis. Using statistical regression methods is attempted for possible correlation between each country’s efficiency scores and a group of key macroeconomic variables that can show the possible changes in the effects of crisis between the countries under examination.
Jacek Batóg and Barbara Jacek [5], in their study based on discriminant analysis, identify the key determinants affecting economic growth. The results obtained allowed us to conclude that the gross domestic product growth rates in E.U. countries were determined by consumption, investment, exports and labour productivity, and during periods of economic downturn and public debt.
The purpose of [6] is to verify the long-range correlation between the stock markets of the largest economies in the world and the individual exchange rate with the USD. The authors analysed the situation according to different time scales using detrended cross-correlation and detrended moving average cross-correlation analyses and the respective correlation coefficients. Their main results showed that the exchange rate does not significantly affect European markets.
Medium-term forecasts serve as a basis for compiling a multiple-budget of public finance and preparing or updating the Convergence Programme of the Slovak Republic. The subject of forecasting [7] includes the following indicators: generation of GDP in current and fixed prices and the structure of its use; foreign trade and a current account of the balance of payments; the inflation rate, growth of manufacturers’ prices and growth of deflators; the labour market—average nominal and real wage in the national economy, rate of employment and that of unemployment; and other derived indicators.
In [8], the issues are considered of how national governments, the private sector, and international institutions respond to the challenges of poverty, inequality, climate change, and others as we emerge from a crisis that has affected us all.
The main question that the authors explore in [9] is whether it is possible in today’s globalising world to talk about the uniformity of the competitiveness of economies. Such questions are crucial in the case of such political and economic structures as the European Union. The strategic development goals of the E.U. include the desire for the harmonious development of all its members. The aim of the work is a multi-dimensional comparative analysis of the competitiveness of the economies of the European Union countries. In studying the spatial differentiation of the economies of the E.U. countries in the context of their competitiveness, a taxonomic measure of development based on the Weber median vector was used.
The subject of [10] is a comparative analysis of the level of development of the European Union. The research is based on data collected in the Eurostat database, which the European Commission uses to implement the E.U.’s sustainable development goals. Multi-dimensional scaling was used to determine the similarities and differences at the level of development of the E.U. countries. According to the variable analyses, the results obtained made it possible to identify similar and different countries.
In [11], a composite index proposed and constructed based on a dynamic relative taxonomy was used in the conducted research to present the diversified distance of the individual E.U. countries concerning the E.U.-level targets and the national-level targets of the Europe 2020 Strategy.
The authors of [12] propose a new multi-dimensional, intertemporal measure of economic insecurity that accounts for its multiplicity and dynamism.
In [13], the authors claim that studies of economic inequality almost always separately examine income, consumption, and wealth inequality, and hence, miss the critical synergy amongst the three measures explicit in the life-cycle budget constraint. However, these joint distributions are essential in evaluating the macroeconomic impacts of changes in income because the response may differ across the wealth distribution. This heterogeneity in response to income changes can significantly impact the effectiveness of government fiscal policy.
In [14], Ruiz Estrada applies different multi-dimensional graphical models on macroeconomics and shows various applications from different multi-dimensional coordinate spaces offered by Econographicology.
The work in [15] shows the change in prices during the pandemic. The analysis is carried out by predicting prices and their impact on product development. The structure of the price change forecast model was based on a time series analysis using the ARIMA procedure. The construction of the predictive model was based on extrapolation.
In [16], using the theory of approximations, some problems of the modern economy associated with making decisions under uncertainty are analysed.
The authors of [17] developed a macroeconomic SIR model that considers herd immunity, behaviour-dependent transmission rates, remote workers, and the indirect externalities of lockdowns. It is formulated as an exit time control problem where a social planner can prescribe different levels of the lockdown low-risk and high-risk portions of the adult population. The model predicts that high-risk individuals can leave lockdown sooner than in models where herd immunity is not considered by considering the possibility of reaching herd immunity. Overall, the model-determined optimal lockdown strategy, combined with individual actions to slow virus transmission, can reduce total mortality to one-third of the model-predicted no-lockdown level of mortality.
One scientific paper [18] seeks to address the relationship between corporate social responsibility, intellectual capital, and performance environment. The questionnaire method was used for the targeted research objectives. The findings support the idea of a strong relationship between corporate social responsibility, intellectual capital, and performance in the business environment.
Undoubtedly, when conducting macroeconomic analysis, it is impossible not to note the generally recognised publications of such authors as Robert J. Barro [19,20,21], Paul M. Sommers [22,23,24], Danny Quah [25,26,27], and other authors.
In our study, we consider the economies of European countries in 2020. In the next study, we plan to conduct a study of the economies of European countries in dynamics. From this perspective, the works of such well-known economists as James H. Stock [28,29], Lucrezia Reichlin [30,31], Massimiliano Marcellino [32,33], and some other scientists should be mentioned.

3. Materials and Methods

The total set of macroeconomic parameters is controversial. Nevertheless, it is possible to single out macroeconomic parameters with the importance of which most macroeconomists agree. In our case, we will divide the initial parameters used for research into two groups (Table 1).
For the GDP Annual Growth Rate variable, we take into the analysis two variants, Last and Previous, which is explained by the abrupt change in the values of the variable during a pandemic.
All initial data are taken from open sources and can be obtained on demand.
To process the information, we used the methods of multivariate analysis: Multi-dimensional Scaling (ALSCAL command), Cluster Analysis (Hierarchical Cluster Analysis), Analysis of Variance (One-way ANOVA), Factor Analysis (Principal Component Method), Discriminant Analysis, Fuzzy Methods, and some others. These methods of processing multi-dimensional information in this study were implemented using the SPSS and FuzzyTECH computer programs.

4. Main Part/Results

4.1. A Visual Representation of the Relative Position of the Economies of European Countries

Graphical presentation of information has a significant advantage—clarity. If two (or three) variables describe the objects of study, the graphical representation of these objects does not cause any difficulties. In our case, we are in a 20-dimensional space. Nevertheless, in this case, it is also possible to visually see all the initial information not for individual variables or their sets in the form of slices but by taking into account all multi-dimensional information as a whole. This opportunity gives us multi-dimensional scaling, the main idea of which is a visual representation of all multi-dimensional information in the aggregate. In this case, of course, there is some distortion of the initial information, but the mathematical methods underlying the multi-dimensional scaling make it possible to reduce this distortion to a minimum [34].
The multi-dimensional scaling methods take an input matrix that defines the differences between elements and outputs a coordinate matrix configured to minimise the loss function. Pairwise distance between objects is defined as Euclidean distance in multi-dimensional space.
d i j = x i 1 x j 1 2 + x i 2 x j 2 2 + + x i N x j N 2 .
These distances are the entries of the dissimilarity matrix
D = d 11 d 12 d 1 N d 21 d 22 d 2 N d N 1 d N 2 d N N
Multidimensional scaling minimises the cost function named Stress:
S t r e s s D x 1 , x 2 , , x N = i j = 1 , , N d i j x i x j 2 1 / 2 .
The goal of multidimensional scaling is, using the matrix D{\displaystyle D}, to find {\displaystyle M} N vectors {\displaystyle x_{1},\ldots, x_{M}\in \mathbb {R} ^{N}} x 1 ,   x 2 ,   ,   x N R M such that x i x j d i j for all i , j 1 , 2 , , N . In other words, the ratio of the distances between pairs of objects in the space depicted visually should be as much as possible equal to the ratio of the distances between the corresponding pairs of objects in the original multidimensional space.
The steps in the classical MDS algorithm are as follows:
  • From D calculate A =   1 2 d i j 2 .
  • From A calculate B = a i j a i *   a * j a * * , where a i * is the average of all a i j across j.
  • Find the p largest eigenvalues λ 1 > λ 2 > > λ p of B and corresponding eigenvectors L = (L(1), L(2), …, L(p) which are normalised so that L(i)′ L(i) = λ i . (Here, it is assumed that p is selected so that the eigenvalues are all relatively large and positive.)
  • The coordinates of the objects are the rows of L.
We use the most commonly accepted multi-dimensional scaling procedure ALSCAL. The result of applying multi-dimensional scaling is shown in Figure 2.
A small value of the Stress parameter = 0.00012 shows the excellent adequacy of the obtained diagram to the actual multi-dimensional ratio of the economies of European countries.
The initial analysis of the resulting diagram indicates the unique position of Germany, the United Kingdom, France, Italy, Russia, Spain, Luxembourg, and Ireland relative to other countries. The noted countries may differ significantly among themselves in individual macroeconomic indicators. It is important to note that in terms of the ratio of the distances on the diagram between countries, one can judge their economic proximity or difference qualitatively and quantitatively, namely how many times the differences revealed between pairs of countries differ from each other. A more detailed further analysis of the undoubtedly helpful obtained diagram is also possible, which we do not carry out in this study for the following reasons.
Baselines include those measured in absolute terms, such as Population and GDP (in total). Therefore, even if they do not have a sufficiently high level of economic development, some countries can occupy a worthy place among other countries with high economic indicators. Examples include countries such as Russia and Turkey. The relatively large population in these countries leads to rather large values of the GDP variable (Figure 3), while the relative variable GDP per capita PPP has a low value for these countries.
Therefore, we remove such variables as Population and GDP from further analysis, focusing on relative variables. Moreover, we remove such variables as Female Life Expectancy at birth and Male Life Expectancy at birth since we cannot influence them in a directive way, meaning by command. Unlike these variables, the values of, for example, Personal Income Tax Rate, %, Sales Tax Rate, %, Interest Rate, %, Government Debt to GDP, %, and others can be changed in a command manner. Consequently, there are opportunities to quickly influence the change in the economic level of a country. At the same time, we leave for further analysis the variables of Retirement Age Men and Retirement Age Women, since we can set the values of these variables ourselves, and thus possibly influence the country’s economy.
Leaving the 16 initial variables in the analysis and repeating the multi-dimensional scaling procedure, we get the map shown in Figure 4. A small value of the Stress parameter = 0.00003 shows a good reflection of the actual economic situation.
The analysis of the chart reveals the special position of Luxembourg. This country is characterised by high values of the variables GDP per capita PPP = USD 110,261, Trade Balance = 38.72% of GDP, low value of the variable Net External Debt = −2611.3% of GDP. Ireland, Switzerland, Norway, and Cyprus also stand out. When conducting cluster analysis, we will get a more detailed description of the countries in the next section. The directionality of variables is determined by comparing the values of variables for countries occupying opposite positions in the diagram.

4.2. The Division of Countries into Clusters. Prediction Based on Discriminant Analysis

We use the hierarchical cluster analysis [35] procedure to perform clustering. As a method of cluster organisation, we use the Ward method, which is based on minimising the variance in each cluster. As a result, multi-dimensional clusters with a compact spherical shape are obtained. Note that we do not pre-assign any boundaries among clusters when conducting cluster analysis. The program finds the most significant gaps in the values of variables and draws boundaries between clusters using them.
We will construct the dendrogram to determine the optimal number of clusters (Figure 5).
As follows from the view of the dendrogram, at the global level, all countries can be divided into two clusters. The first cluster includes 20 countries, the second includes 22:
Cluster 1: Austria, Belgium, Germany, Denmark, Ireland, Iceland, Spain, Luxembourg, the Netherlands, Norway, the United Kingdom, Malta, Italy, Slovenia, Portugal, Greece, Finland, Switzerland, Sweden, and France.
Cluster 2: Czech Republic; Cyprus; Lithuania; Estonia; Poland; Hungary; Slovakia; Latvia; Romania; Turkey; Croatia; Russia; Bulgaria; Belarus; Montenegro; Serbia; Macedonia; Bosnia and Herzegovina; Albania; Ukraine; Moldova; and Kosovo.
The economy of the countries of the first cluster is characterised by high values of the variables GDP per capita PPP, Corporate Tax Rate, Personal Income Tax Rate, Government Debt to GDP, Current Account to GDP, Saving Rate (National savings/GNDI), and Trade balance and low values of the variables Unemployment Rate, Interest Rate, Inflation Rate, and Net External Debt, compared to the countries of the second cluster (Table 2).
The significance of the differences will be determined in the next section based on the analysis of variance. It is possible to characterise the countries of the first cluster as countries with thriving economies, while the countries of the second cluster are characterised by an insufficiently high level of economic development.
It is interesting to note that according to the value of the GDP Annual Growth Rate, the previous variable, because of the pandemic’s negative impact, had a more significant impact on the countries of the first cluster. For the first cluster, this variable has a value of −0.86 compared to the same indicator −0.02 for the countries of the second cluster.
The division of countries into two clusters shows the fundamental difference between economically successful countries and countries with a relatively low level of economic development. For a more detailed analysis, based on the obtained dendrogram, we will divide the countries into seven clusters:
  • Cluster: Austria; Finland; Norway; Sweden; France; Malta; Slovenia;
  • Cluster: Belgium; United Kingdom; Italy; Spain; Portugal; Greece;
  • Cluster; Denmark; Germany; Iceland; Netherlands; Switzerland;
  • Cluster: Ireland; Luxembourg;
  • Cluster: Czech Republic; Cyprus; Lithuania; Estonia; Poland; Hungary; Slovakia; Latvia; Romania; Croatia; Bulgaria; Serbia;
  • Cluster: Turkey; Russia; Belarus; Ukraine;
  • Cluster: Montenegro; Macedonia; Bosnia and Herzegovina; Albania; Moldova; Kosovo.
The mean values of the variables for each cluster are shown in Table 3.
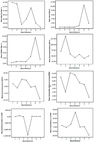
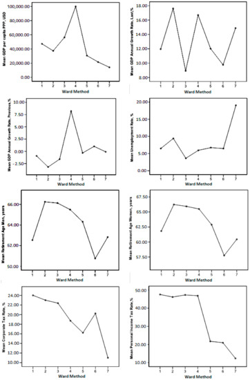
In order to visualise the characteristics of each cluster, we present graphs of the average values of the analysis variables by clusters (Figure 6).
Each cluster has its most significant characteristics, by which we can judge the distinctive economic characteristics of the countries included in this cluster. For example, the countries of the first cluster are distinguished by high values of taxes determined by the variables Corporate Tax Rate, Personal Income Tax Rate, and Sales Tax Rate and low values of the variables Interest Rate and Inflation Rate.
Unlike cluster analysis, in which clustering is carried out on the basis of initial given data, discriminant analysis makes it possible to make predictions in which of the existing clusters the country under consideration will fall if the values of macroeconomic indicators change in a certain way. Using discriminant analysis and based on cluster analysis results, predictions can be made. For example, when the indicators of the variables GDP per capita PPP = USD 32,000, GDP Annual Growth Rate, Last = 12%, GDP Annual Growth Rate, Previous = −10%, Unemployment Rate = 3%, Corporate Tax Rate = 20% Personal Income Tax Rate = 27%, Sales Tax Rate = 12%, Interest Rate = 2.7%, Inflation Rate 3.1%, Government Debt to GDP = 8%, Saving Rate (National savings/GNDI) 13%, Net External Debt = −18% of GDP, Trade Balance = 6% of GDP, Retirement Age Men = 66 years, Retirement Age Women = 62 years, Current Account to GDP = 5%, discriminant analysis shows that with a probability of 0.897, this country will belong to the third cluster; with a probability of 0.096, to the fifth cluster; and with a probability of 0.006, to the second cluster. The probabilities of this country belonging to other clusters are practically zero. Thus, this country will belong to the third cluster with a high degree of probability.
The cluster analysis results are in good agreement with the results of multivariate scaling. The slight differences are explained by the different approaches underlying these methods.
We will carry out a cluster analysis using the K-means method to identify more general characteristics of the original multi-dimensional data. Unlike the hierarchical cluster analysis, this method predetermines the number of clusters. In our case, we will set three clusters, allowing us to identify more general features of the classification of European countries based on initial multi-dimensional information and find the high-frequency cluster.
The analysis showed that the first cluster includes two countries: Luxembourg and Ireland, with equal distances from the centre of this cluster. The second cluster includes 12 countries: Austria, Belgium, Denmark, Finland, Germany, Iceland, the Netherlands, Norway, Sweden, Switzerland, France, and the United Kingdom. Iceland has the closest position in this cluster from its centre. The remaining 28 countries made up the third cluster. Croatia has the closest position to the centre in this cluster.
Figure 7 shows a box plot diagram for GDP per capita PPP, USD. The diagram clearly shows the differences in the values of this variable depending on the clusters.

4.3. Analysis of Variance

We use variance analysis to determine the significance of differences in the values of variables across clusters. Let us use the one-factor analysis of variance One-way ANOVA [36].
If countries are divided into two clusters (see the previous section), the procedure results are shown in Table 4.
Table 4 shows that the countries of the first and second clusters significantly differ in the values of the variables GDP per capita PPP, Retirement Age Men, Retirement Age Women, Corporate Tax Rate, Personal Income Tax Rate, Interest Rate, Inflation Rate, Government Debt to GDP, Current Account to GDP, Saving Rate (National savings / GNDI), and Trade Balance. For these variables, the significance level does not exceed the threshold value of 0.05. Close to the threshold is the significance of the differences for the Unemployment Rate variable. As for the variables GDP Annual Growth Rate, Last; GDP Annual Growth Rate, Previous; Sales Tax Rate; and Net External Debt, we cannot say that the countries of the first and second clusters differ significantly in the values of these variables. The significance level for the differences in these variables for the first and second clusters exceeds the threshold value of 0.05.
In the case of dividing countries into seven clusters, analysis of variance based on the Bonferroni post hoc test gives the following results.
According to the values of the variable GDP per capita PPP, the first cluster significantly differs from the fourth, fifth, sixth, and seventh, the second cluster from the third, fourth, sixth, and seventh, the third cluster from all the others except for the first, the fourth cluster from all the others, the fifth from the first, third, fourth, and seventh, the sixth from first, second, third, and seventh, and the seventh from all except the sixth.
For the GDP Annual Growth Rate variable, last, the program did not find any significant difference anywhere.
According to the GDP Annual Growth Rate variable, Previous, the first cluster differs significantly from the fourth, the second cluster from the fourth, the third cluster from the fourth, the fourth cluster from all the others except for the sixth, the fifth cluster from the fourth, the sixth cluster does not differ significantly from anyone else, and the seventh cluster from the fourth.
According to the Unemployment Rate variable, all clusters are significantly different from the seventh, and the seventh cluster is significantly different from all the others.
According to the Retirement Age Men variable, the first cluster differs significantly from the second, third, fourth, and fifth, the second cluster from the first, fifth, sixth, and seventh, the third cluster from the first, fifth, sixth, and seventh, the fourth cluster from the first and sixth, the fifth cluster from the first, second, third, and sixth, the sixth cluster from the second, third, fourth, and fifth, and the seventh cluster from the second and third.
According to the Retirement Age Women variable, the first cluster significantly differs from the second, third, fourth, and sixth, the second cluster from the first, fifth, sixth, and seventh, the third cluster from the first, fifth, sixth, and seventh, the fourth cluster from the first, sixth, and seventh, fifth cluster from the second, third, sixth, and seventh, the sixth cluster from all the others, and the seventh cluster from all the others except the first.
According to the Corporate Tax Rate variable, the first cluster differs significantly from the fifth and seventh, the second cluster from the fifth and seventh, the third cluster from the seventh, the fourth cluster does not differ significantly from anyone else, the fifth cluster from the first, the sixth cluster from the seventh, and the seventh cluster from the first, second, third, and sixth.
According to the Personal Income Tax Rate variable, the first, second, third, and fourth clusters differ significantly from the fifth, sixth, and seventh. The fifth, sixth, and seventh clusters significantly differ from the first, second, third, and fourth clusters.
According to the Corporate Tax Rate variable, the first cluster significantly differs from the fifth and seventh, the second cluster from the fifth and seventh, the third cluster from the seventh, the fourth cluster does not differ significantly from anyone else, the fifth cluster from the first, the sixth cluster from the seventh, and the seventh cluster from the first, second, third, and sixth.
The program did not find any significant difference in the Sales Tax Rate variable.
According to the Interest Rate variable, all clusters differ significantly from the sixth. The sixth cluster is significantly different from all the others.
According to the Inflation Rate variable, all clusters significantly differ from the sixth, and the sixth cluster significantly differs from all the others.
According to the Government Debt to GDP variable, all clusters differ significantly from the second, and the second cluster is significantly different from all the others.
According to the variable Current Account to GDP, the first cluster significantly differs from the seventh, and the second cluster does not differ significantly from anyone else. The third, fourth, and fifth clusters differ significantly from the seventh, the fifth and third cluster from the seventh, the fourth cluster does not significantly differ from any cluster, the fifth cluster from the first, the sixth cluster does not differ significantly from anyone else, and the seventh cluster from the first, third, fourth, and fifth.
According to the Saving Rate variable, the first cluster significantly differs from the second and seventh, the second cluster from the first and third, the third cluster from the second and seventh, and the fourth and fifth clusters significantly differ from the seventh, the sixth cluster does not differ significantly from anyone else, and the seventh cluster from the first, third, fourth, and fifth.
According to the Net External Debt variable, all clusters differ significantly from the fourth; the fourth cluster differs significantly from all the others.
According to the Trade Balance variable, the first, second, third, fifth clusters, and the sixth clusters differ significantly from the fourth and seventh; the fourth cluster differs significantly from all the others, and the seventh cluster also differs from all the others.
Among other possible combinations of clusters, analysis of variance did not reveal significant differences in the values of the studied variables.

4.4. Multiple Regression and Forecasting

If by carrying out multivariate scaling and cluster analysis, there is no need to select the dependent variable since all variables act as equal, then regression analysis requires the presence of a dependent variable. The issue is somewhat controversial. Generally, GDP per capita PPP is the dependent variable in determining countries’ welfare. Some researchers suggest taking Average Life Expectancy as a dependent variable when conducting such an analysis. The phrase defines another approach for assessing the wealth of a society: “The wealth of the state is determined by the availability of free time for its citizens” (Karl Marx) [37]. Our study follows the traditional approach, choosing GDP per capita PPP as the dependent variable. The rest of the variables are taken as an independent. Multiple regression is usually performed using a linear model.
The Durbin–Watson criterion determines the presence of a negative phenomenon of heteroscedasticity. This criterion takes values in the range [0; 4]. The absence of the phenomenon of heteroscedasticity is determined by the value 2. In our case, the Durbin–Watson test takes a value of 2.208 (Table 5), which is close enough to value two and indicates no adverse effect of heteroscedasticity on the regression analysis results. The residual analysis also indicates a favourable situation for performing multiple regression analysis.
The values of the R-squared coefficient = 0.913 (Table 5), close to one, and the significance of 0.000…, (Table 6), which is much lower than the threshold value of 0.05, indicate high adequacy of the model to the initial data.
The results of the regression analysis are shown in Table 7. Of particular interest are the values of the standardised coefficients since they are reduced to the same scale. In this case, the strength of the influence of independent variables on the dependent variable GDP per capita PPP can be compared.
First of all, we note the variables, the standardised values of which are greater than 0.1 in modulus. Thus, we highlight the most significant independent variables that affect the dependent variable. Let us write them in order of their decreasing strength of influence on the dependent variable:
  • Personal Income Tax Rate (positive impact);
  • Net External Debt (negative impact);
  • Saving Rate (positive impact);
  • Trade Balance (positive impact);
  • Corporate Tax Rate (negative impact);
  • Current Account to GDP (negative impact);
  • Interest Rate (negative impact);
  • Retirement Age Women (positive impact);
  • Unemployment Rate (negative impact).
The results of the study show that an increase in the value of the dependent variable in a certain interval is possible due to an increase in the Personal Income Tax Rate, Saving Rate, Trade Balance, a decrease in Net External Debt, Corporate Tax Rate, Current Account to GDP, Interest Rate, and so on.
It is important to note that the results of the performed regression analysis show not only the order in which independent variables follow in terms of the strength of their influence on the dependent variable, but also how many times the strength of the influence of one variable is greater than the strength of the influence of the other. For example, Table 7 shows that Net External Debt has a 1.6 times greater effect on the dependent variable than Trade Balance.
Thus, the regression analysis results allow us to identify the essential variables to focus on in the first place in solving the problem of increasing GDP per capita PPP.
It is interesting to note that the results obtained show a positive effect of the transfer of taxes from companies to individuals. At the same time, of course, social priorities come to the fore, but these issues are beyond the scope of this study.
The regression analysis results show that the convergence of the retirement ages for men and women has a positive effect on strengthening the economy. Note also that in many countries, the retirement age for men is higher than that for women. In some countries, such as Luxembourg, the values of these variables are the same.
We can also note the relatively low influence of the Inflation Rate and Government Debt to GDP variables on the value of the dependent variable. The reasons for this can be identified in subsequent studies.
The constructed regression model allows us to make predictions. So, with the same values of the variables as in Section 4.2, except the GDP per capita PPP variable, which in the case of regression analysis we take as the dependent variable, its predicted value is USD 38,053. If we consider Slovakia, the result of multiple regression is USD 31,101. The real value of the dependent variable for this country is 30,330. The relative values indicate good convergence of multiple regression results.

4.5. Factor Analysis

Factor analysis allows compressing variables to reduce their number without significant loss of initial information [38]. Factor analysis is based on identifying groups of variables. Variables in each group are correlated; therefore, they express some common essence. At the same time, the variables in different groups are weakly correlated with each other. Factor analysis allows an integrated form to express each group in the form of one latent variable, thereby dramatically reducing the number of variables for further analysis. In our case, we are using a procedure called principal component analysis.
The possibility of using factor analysis in our case is confirmed by the Kaiser–Meyer–Olkin criterion equal to 0.616, which is greater than the threshold value of 0.5 and the Bartlett sphericity criterion, for which the significance is less than the threshold value 0.05 (Table 8).
The optimal number of principal components (latent variables) can be determined from the Scree plot diagram (Figure 8). It can be seen from the diagram that three main components can be distinguished, the corresponding points of which lie on the steep slope of the diagram. We use the Varimax rotation method to interpret the selected components better.
When conducting factor analysis, the variable GDP per capita PPP is not included in the consideration. The factor analysis results are shown in Table 9.
While determining the economic meaning of the identified main components, it can be noted that the first component is associated with the financial position of the country and the balance in economic relations with other countries. The second component is characterised mainly by the inflation and bank deposit rates; domestic liabilities and ratios mainly characterise the third. When determining the economic essence of the selected components, it is essential to consider the signs of the variables.
With the help of SPSS software and understanding the economic meaning of each selected component, it is possible to find the values of the components for each country and, in further analysis, sharply reduce the number of independent variables and use only 3 instead of 15. For example, multiple regression will take the form:
GDP per Сapita PPP = 37.534 + 15.647 ∗ Factor1 − 5303.00 ∗ Factor2 + 2524.00 ∗ Factor3.
The standardised coefficients for the explanatory variables Factor1, Factor2, and Factor3 are 0.771, −0.261, and 0.124, respectively. Note that if the main components Factor1 and Factor3 positively affect the dependent variable and, therefore, play a positive role in strengthening the country’s economy, then the Factor2 component has a negative effect. R-squared has, in this case, the value 0.678.
A general diagram of the positions of European countries relative to each other in terms of their economic level of development can also be constructed using factor analysis. To do it by the principal component method, we have to select two latent integrated variables, Factor12 and Factor22 (Table 10), save the normalised values of these variables and use them as coordinates for constructing a two-dimensional scatter plot (Figure 9). Signs of factor loadings values (Table 10) will indicate the direction of action of the initial macroeconomic indicators.
Comparison of the results of multi-dimensional scaling, cluster analysis and a diagram based on factor analysis shows their good convergence. A slight difference in results is inevitable since the methods are based on different approaches and provide approximations to reality. Multivariate scaling is based on calculating the distances between objects in multivariate space, while factor analysis is based on the study of correlations between variables.
If we select the two principal components, Factor12 and Factor22, the regression equation becomes:
GDP per Сapita PPP = 37.534 + 15.479 ∗ Factor12 + 6246.00 ∗ Factor22.
In this case, R-squared = 0.676, and the values of the standardised coefficients for the Factor12 and Factor22 variables are 0.762 and 0.308, respectively. Both Factor12 and Factor22 positively affect the dependent variable GDP per capita PPP.
In the next section, the factor analysis results are used to construct an economic model using fuzzy modelling methods.
In 2020, the macroeconomic indicators were undoubtedly affected by the pandemic. We reflected its impact on GDP per capita PPP in Figure 10. In addition, we took into account the impact of the pandemic in our multivariate analysis by introducing two variables: the GDP Annual Growth Rate Previous and the GDP Annual Growth Rate Last. It is explained by the change in the values of the variables during a pandemic. A detailed study of the impact of the pandemic requires serious investigation that we plan to do in our following paper.

4.6. Fuzzy Method

Fuzzy modelling [39] will be performed based on the Fuzzy TECH 5.81 d Professional software package. As the output variable out, as in the case of regression analysis, we will take GDP per capita PPP, USD. We divide the values of this variable within (10,000; 120,000) into five gradations: very low values; low; medium; high, and very high.
As input variables, we take the three principal components obtained in the previous section as the result of factor analysis, Factor 1 (var1), Factor2 (var2), and Factor3 (var3). The values of these variables range from −3 to 3 since these variables are reduced to normal standard distribution with parameters (0; 1). We break these variables into three grades: low, medium and high.
The block diagram of the fuzzy logic model is shown in Figure 11.
The distribution law graph for the variable var1 is shown in Figure 12. The variables var2 and var3 have the same distribution laws. The variable out has five gradations.
The relationships among the dependent and independent variables are shown in Table 11.
Figure 13, Figure 14 and Figure 15 show 3D graphs of the functions out (var1, var2); out (var1, var3); out (var2, var3), respectively.
In the case of two independent variables, var1 and var2, which are the main components, Factor 12 and Factor 22, the relationship between the dependent and independent variables will be as follows (Table 12).
Figure 16 shows 3D graphs of the functions out (var1, var2) in case of only two independent variables.
The created fuzzy logic models allow you to make a prediction for the output variable of a particular country.
Some other aspects of the investigations are given in the papers [40,41].

5. Conclusions

  • A graphic model has been created that demonstrates the economic position of European countries relative to each other. The model considers all the initial variables in the complex and, despite the multidimensionality of the studied economic space, it allows us to present the results of the comparative analysis visually. Directions of influence variables on the position of countries in the developed model are determined.
  • Cluster analysis was carried out in two variants. The first option corresponds to the division of European countries into two clusters, making it possible to make quantitative estimates of variables for countries with a high level of economic development and countries with an insufficiently high level of the economy, thereby determining their fundamental difference. The second option corresponds to a detailed division of European countries into seven clusters with the definition of the most characteristic parameters of the countries of each cluster. Analysis of variance revealed which differences between the characteristics of clusters are significant and which can be explained by the influence of the random causes and fluctuations. Therefore, they are not of interest for research for this purpose.
  • Multiple regression analysis was carried out, which revealed the most significant independent variables that affect the dependent variable GDP per capita PPP. These variables include Personal Income Tax Rate, Net External Debt, Saving Rate, Trade Balance, Corporate Tax Rate, and others. No significant influence of the variables Inflation Rate, Sales Tax Rate, Government Debt to GDP, and some others were found within the framework of the study. A positive effect of economic development of tax transfers from companies to individuals and the convergence of the values of the retirement age for men and women has been revealed.
  • The conducted factor analysis showed the possibility of a sharp reduction in the dimension of the multi-dimensional space of independent variables from 15 to 3, which was used in the analysis by methods of fuzzy modelling.
  • The results obtained in the article using the multi-dimensional scaling cluster and factor analyses showed their good convergence and adequate reflection of the actual economic situation by these methods. The slight differences in the results are explained by the different approaches underlying these methods.
  • Based on the developed models, it is possible to carry out simulation forecasts, as seen in examples given in this study.
  • To prove the accuracy of the multiple regression, we used R-squared. In our case, R-squared is equal to 0.913. The high value of this coefficient of determination, close to one, indicates the constructed multiple regression model’s good descriptive and predictive ability. For the Factor analysis, we used the coefficient KMO (Kaiser–Meyer–Olkin measure of selective adequacy). In our case, this coefficient is equal to 0.616. It is more than 0.5. Therefore, the conducted Factor analysis results adequately describe the initial data. For the Analysis of Variance, we use the values of significance less than 0.05. For the Multi-Dimensional Scaling, we used the S-stress parameter. This indicator varies from 0 to 1. Its equality to zero means the exact fit of the model, to one means its complete meaninglessness. The minimal value of the Stress parameter equals 0.00003 shows a good reflection of the actual economic situation.
  • The applied methods of analysis of multivariate information, such as multivariate scaling, cluster analysis, factor analysis, analysis of variance, and fuzzy modelling, included the variable GDP per capita PPP, USD, as an equal one, along with other macroeconomic indicators. Each of these methods has a purpose. For example, the purpose of multidimensional scaling is to visualise multidimensional information. The purpose of cluster analysis is to divide the objects of study into fairly homogeneous groups and to identify the properties that characterise each group. The purpose of factor analysis is to identify latent variables, to reduce the dimension of a multidimensional space, etc. All these goals were achieved in the study. All results obtained using these methods have been studied and explained. Additionally, only the multiple regression method singles out the GDP per capita PPP, USD variable as a separate variable, which is quite natural, since this method requires a dependent variable and it must be one. As a dependent variable, we chose GDP per capita PPP, USD, since this variable is one of the universal generalised variables that largely determines the economic level of the country. The method of multiple regression analysis makes it possible to identify macroeconomic factors that have the most significant impact on the level of economic development.
  • In our study, we took into account 20 macroeconomic indicators. It is also possible to use other macroeconomic variables characterising, for example, education, the environment, security, etc. However, these variables are not easy to quantify. Secondly, the research becomes very extensive. It is impossible to take into account all possible macroeconomic factors. In our further studies, we plan to take into account some additional macroeconomic indicators.

Author Contributions

Conceptualisation, S.A. and J.B.; Methodology, S.A. and J.B.; Validation, S.A.; Formal Analysis, S.A.; Investigation, S.A. and J.B.; Resources, S.A. and J.B.; Data Collection, S.A. and J.B.; Writing—Original Draft Preparation, S.A.; Writing—Review and Editing, J.B.; Visualisation, S.A.; Supervision, J.B.; Project Administration, J.B.; Funding Acquisition, S.A. and J.B. All of the authors contributed significantly to the completion of this manuscript, conceiving and designing the research, writing and improving the paper. All authors have read and agreed to the published version of the manuscript.

Funding

This research received no external funding.

Institutional Review Board Statement

Not applicable.

Informed Consent Statement

Not applicable.

Data Availability Statement

Data is available on demand.

Acknowledgments

The authors thank the South Ural State University (SUSU) and the Slovak Academic Information Agency (SAIA) for their support. The work was supported by the National Scholarship Programme of the Slovak Republic.

Conflicts of Interest

The authors declare no conflict of interest.

References

  1. Smith, A. An Inquiry into the Nature and Causes of the Wealth of Nations, 2nd ed.; W. Strahan and T. Cadell: London, UK, 1778. [Google Scholar]
  2. Parente, F. A Multidimensional Analysis of the EU Regional Inequalities. Soc. Indic. Res. 2019, 143, 1017–1044. [Google Scholar] [CrossRef]
  3. Mazur-Wierzbicka, E. Towards Circular Economy—A Comparative Analysis of the Countries of the European Union. Resources 2021, 10, 49. [Google Scholar] [CrossRef]
  4. Nikolakopoulos, E.; Karaliotas, N.; Benetatos, E. The Impact of the Recent Economic Crisis in the Construction Sectors of the South-European Economies: A Comparative Study. Int. J. Corp. Financ. Account. 2015, 2, 59–89. [Google Scholar] [CrossRef]
  5. Batóg, J.; Batóg, B. Macroeconomic Factors of Economic Growth in the European Union in 2000–2016: A Multidimensional Analysis. Econometrics 2019, 23, 1–14. [Google Scholar] [CrossRef] [Green Version]
  6. Ferreira, P.; Silva, M.F.; Santana, I.S. Detrended Correlation Coefficients between Exchange Rate (in Dollars) and Stock Markets in the World’s Largest Economies. Economies 2019, 7, 9. [Google Scholar] [CrossRef] [Green Version]
  7. Ministry of Finance of the Slovak Republic, Macroeconomic Forecasts. Available online: https://www.mfsr.sk/en/finance/institute-financial-policy/economic-forecasts/macroeconomic-forecasts (accessed on 10 August 2021).
  8. World Bank. Global Economic Prospects; World Bank: Washington, DC, USA, 2021. [Google Scholar] [CrossRef]
  9. Cheba, K.; Szopik-Depczyńska, K. Multidimensional Comparative Analysis of the Competitiveness of the European Union Countries’ Economies; Institute of Economic Research: Toruń, Poland, 2017. [Google Scholar]
  10. Bartłomowicz, T.; Cheba, K. Multidimensional Comparative Analysis of the European Union Countries in the Field of Sustainable Development. Pr. Nauk. Uniw. Ekon. We Wrocławiu 2017, 476, 118–126. [Google Scholar] [CrossRef] [Green Version]
  11. Walesiak, M.; Dehnel, G.; Obrębalski, M. Assessment of the Europe 2020 Strategy: A Multidimensional Indicator Analysis via Dynamic Relative Taxonomy. Energies 2021, 14, 4990. [Google Scholar] [CrossRef]
  12. Ranci, C.; Beckfield, J.; Bernardi, L.; Parma, A. New Measures of Economic Insecurity Reveal its Expansion Into EU Middle Classes and Welfare States. Soc. Indic. Res. 2021, 158, 539–562. [Google Scholar] [CrossRef]
  13. Fisher, J.; Johnson, D.; Smeeding, T.; Thompson, J. Estimating the Marginal Propensity to Consume using the Distributions of Income, Consumption, and Wealth. J. Macroecon. 2020, 65, 103218. [Google Scholar] [CrossRef]
  14. Ruiz Estrada, M. The Uses of New Multidimensional Graphical Approaches in Macroeconomics and Microeconomics. 2020. Available online: https://www.semanticscholar.org/paper (accessed on 11 March 2021). [CrossRef]
  15. Tatarintsev, M.; Korchagin, S.; Nikitin, P.; Gorokhova, R.; Bystrenina, I.; Serdechnyy, D. Analysis of the Forecast Price as a Factor of Sustainable Development of Agriculture. Agronomy 2021, 11, 1235. [Google Scholar] [CrossRef]
  16. Gataullin, T.; Gataullin, S. Best Economic Approaches under Conditions of Uncertainty. In Proceedings of the Eleventh International Conference “Management of Large-Scale System Development”, Moscow, Russia, 1–3 October 2018; pp. 1–3. [Google Scholar] [CrossRef]
  17. Bayraktar, E.; Cohen, A.; Nellis, A. A Macroeconomic SIR Model for COVID-19. Mathematics 2021, 9, 1901. [Google Scholar] [CrossRef]
  18. Popescu, C.R.G.; Popescu, G.N. An Exploratory Study Based on a Questionnaire Concerning Green and Sustainable Finance, Corporate Social Responsibility, and Performance: Evidence from the Romanian Business Environment. J. Risk Financ. Manag. 2019, 12, 162. [Google Scholar] [CrossRef] [Green Version]
  19. Barro, R. Macroeconomics; Wiley: New York, NY, USA, 1984; p. 580. [Google Scholar]
  20. Barro, R.; Sala-i-Martin, X. Economic Growth; MIT Press: Cambridge, MA, USA, 2003; ISBN 9780262025539. [Google Scholar]
  21. Barro, R. Inequality and growth in a panel of countries. J. Econ. Growth 2000, 5, 5–32. [Google Scholar] [CrossRef]
  22. Sommers, P.; Daniel, B. A Cross-Section Model of Economic Growth. Rev. Econ. Stat. 1971, 53, 121–128. [Google Scholar] [CrossRef]
  23. Sommers, P. A Probability Distribution With Serious Faults. J. Recreat. Math. 1992, 24, 241–244. [Google Scholar]
  24. Sommers, P. Big Macroeconomic Analysis. J. Recreat. Math. 2002- 2003, 31, 257–260. [Google Scholar]
  25. Quah, D. The Global Economy’s Shifting Centre of Gravity. Global Policy 2011, 2, 3–9. [Google Scholar] [CrossRef]
  26. Quah, D. Empirics for Growth and Distribution: Stratification, Polarization, and Convergence Clubs. J. Econ. Growth 1997, 2, 27–59. [Google Scholar] [CrossRef]
  27. Quah, D. How We Miss the Great Shift East. Global Policy. 2012. Available online: http://globalpolicyjournal.com/blog/17/05/2012 (accessed on 15 March 2020).
  28. Stock, J.; Watson, M. Generalized Shrinkage Methods for Forecasting Using Many Predictors. J. Bus. Econ. Stat. 2012, 30, 481–493. [Google Scholar] [CrossRef]
  29. Stock, J. The business cycle is alive and well. Bus. Econ. Palgrave Macmillan Natl. Assoc. Bus. Econ. 2019, 54, 79–84. [Google Scholar] [CrossRef]
  30. Giannone, D.; Reichlin, L. Trends and Cycles in the Euro Area: How Much Heterogeneity and Should We Worry about It? Macroeconomics 0511016; University Library of Munich: Munich, Germany, 2005. [Google Scholar]
  31. Giannone, D.; Reichlin, L.; Small, D. Nowcasting GDP and Inflation: The Real-Time Informational Content of Macroeconomic Data Releases; Money Macro and Finance (MMF) Research Group Conference; Money Macro and Finance Research Group: Frankfurt am Main, Germany, 2007. [Google Scholar]
  32. Marcellino, M.; Musso, A. Real Time Estimates of the Euro Area Output Gap: Reliability and Forecasting Performance; Working Paper Series 1157; European Central Bank: Frankfurt am Main, Germany, 2010. [Google Scholar]
  33. Angelini, E.; Marcellino, M. Econometric analyses with backdated data: Unified Germany and the euro area. Econ. Model. Elsevier 2011, 28, 1405–1414. [Google Scholar] [CrossRef] [Green Version]
  34. Borg, I.; Groenen, P. Modern Multidimensional Scaling: Theory and Applications, 2nd ed.; Springer: New York, NY, USA, 2005; pp. 207–212. ISBN 978-0-387-94845-4. [Google Scholar]
  35. Maimon, O.; Rokach, L. Clustering methods. In Data Mining and Knowledge Discovery Handbook; Springer: New York, NY, USA, 2006; pp. 321–352. ISBN 978-0-387-25465-4. [Google Scholar]
  36. Freedman, D.A. Statistical Models: Theory and Practice; Cambridge University Press: Cambridge, UK; ISBN 978-0-521-67105-7.
  37. Alternatives. 2021. Available online: https://alternativy.ru/ru/node/2109 (accessed on 22 October 2021).
  38. Harman, H.H. Modern Factor Analysis; University of Chicago Press: Chicago, IL, USA, 1976; pp. 175–176. ISBN 978-0-226-31652-9. [Google Scholar]
  39. Robert, B. Fuzzy Modelling for Control; Springer Science & Business Media: Luxembourg, 2012; ISBN 978-94-011-4868-9. [Google Scholar]
  40. Zhuravlyov, V.; Varkova, N.; Aliukov, S.; Khudyakova, T. Strategic Aspects of Ensuring Sustainable Development of Gold Enterprises of the Russian Federation. Sustainability 2018, 10, 4410. [Google Scholar] [CrossRef] [Green Version]
  41. Zhuravlyov, V.; Khudyakova, T.; Varkova, N.; Aliukov, S.; Shmidt, S. Improving the Strategic Management of Investment Activities of Industrial Enterprises as a Factor for Sustainable Development in a Crisis. Sustainability 2019, 11, 6667. [Google Scholar] [CrossRef] [Green Version]
Figure 1. Box plot: variable GDP per capita, PPP, USD.
Figure 1. Box plot: variable GDP per capita, PPP, USD.
Mathematics 10 00847 g001
Figure 2. Multidimensional Scaling: the group space.
Figure 2. Multidimensional Scaling: the group space.
Mathematics 10 00847 g002
Figure 3. Box plot diagrams: (a) Population; (b) GDP. means outlier, extreme outlier.
Figure 3. Box plot diagrams: (a) Population; (b) GDP. means outlier, extreme outlier.
Mathematics 10 00847 g003
Figure 4. Map of the multidimensional scaling. V1: Net External Debt; V2: Government Debt to GDP; V3: Saving Rate; V4: Retirement Age Men; V5: Personal Income Tax Rate; V6: Retirement Age Women; V7: GDP per capita PPP; V8: Current Account to GDP; V9: GDP Annual Growth Rate, Previous; V10: Corporate Tax Rate; V11: Trade Balance; V12: Sales Tax Rate; V13: Inflation Rate; V14: Interest Rate; V15: GDP Annual Growth Rate, Last; V16: Unemployment Rate.
Figure 4. Map of the multidimensional scaling. V1: Net External Debt; V2: Government Debt to GDP; V3: Saving Rate; V4: Retirement Age Men; V5: Personal Income Tax Rate; V6: Retirement Age Women; V7: GDP per capita PPP; V8: Current Account to GDP; V9: GDP Annual Growth Rate, Previous; V10: Corporate Tax Rate; V11: Trade Balance; V12: Sales Tax Rate; V13: Inflation Rate; V14: Interest Rate; V15: GDP Annual Growth Rate, Last; V16: Unemployment Rate.
Mathematics 10 00847 g004
Figure 5. Dendrogram.
Figure 5. Dendrogram.
Mathematics 10 00847 g005
Figure 6. Graphs of the mean values of variables by clusters.
Figure 6. Graphs of the mean values of variables by clusters.
Mathematics 10 00847 g006aMathematics 10 00847 g006b
Figure 7. Box plot diagram.
Figure 7. Box plot diagram.
Mathematics 10 00847 g007
Figure 8. Diagram Scree plot.
Figure 8. Diagram Scree plot.
Mathematics 10 00847 g008
Figure 9. General view of the economic situation of European countries. V1—GDP per capita PPP, V2—Trade Balance, V3—Current Account to GDP, V4—Saving Rate, V5—Personal Income Tax Rate, V6—Corporate Tax Rate, V7—Retirement Age Women, V8—Unemployment Rate, V9—Net External Debt, V10—Retirement Age Men, V11—Sales Tax Rate, V12—Government Debt to GDP, V13—GDP Annual Growth Rate, Last, V14—Interest Rate, V15—Inflation Rate, V16—GDP Annual Growth Rate, Previous.
Figure 9. General view of the economic situation of European countries. V1—GDP per capita PPP, V2—Trade Balance, V3—Current Account to GDP, V4—Saving Rate, V5—Personal Income Tax Rate, V6—Corporate Tax Rate, V7—Retirement Age Women, V8—Unemployment Rate, V9—Net External Debt, V10—Retirement Age Men, V11—Sales Tax Rate, V12—Government Debt to GDP, V13—GDP Annual Growth Rate, Last, V14—Interest Rate, V15—Inflation Rate, V16—GDP Annual Growth Rate, Previous.
Mathematics 10 00847 g009
Figure 10. General drop the GDP per capita PPP n European countries, as a result of the pandemic.
Figure 10. General drop the GDP per capita PPP n European countries, as a result of the pandemic.
Mathematics 10 00847 g010
Figure 11. Block diagram of the fuzzy logic model.
Figure 11. Block diagram of the fuzzy logic model.
Mathematics 10 00847 g011
Figure 12. The distribution law for the variable var1.
Figure 12. The distribution law for the variable var1.
Mathematics 10 00847 g012
Figure 13. The graph of the function out (var1, var2).
Figure 13. The graph of the function out (var1, var2).
Mathematics 10 00847 g013
Figure 14. The graph of the function out (var1, var3).
Figure 14. The graph of the function out (var1, var3).
Mathematics 10 00847 g014
Figure 15. The graph of the function out (var2, var3).
Figure 15. The graph of the function out (var2, var3).
Mathematics 10 00847 g015
Figure 16. 3D graph of the function out (var1, var2) in case of only two variables.
Figure 16. 3D graph of the function out (var1, var2) in case of only two variables.
Mathematics 10 00847 g016
Table 1. The initial macroeconomic parameters.
Table 1. The initial macroeconomic parameters.
Main IndicatorsAdditional Indicators
1. GDP per capita PPP, USD1. GDP, USD Billion
2. GDP Annual Growth Rate, Last, %2. Population, million
3. GDP Annual Growth Rate, Previous, %3. Retirement Age Men, years
4. Unemployment Rate, %4. Retirement Age Women, years
5. Corporate Tax Rate, %5. Current Account to GDP, %
6. Personal Income Tax Rate, %6. Female Life Expectancy at birth, years
7. Sales Tax Rate, %7. Male Life Expectancy at birth, years
8. Interest Rate, %
9. Inflation Rate, %
10. Government Debt to GDP, %
11. Saving Rate (National savings/GNDI), %
12. Net External Debt, % of GDP
13. Trade Balance, % of GDP
Table 2. Comparison of mean values.
Table 2. Comparison of mean values.
Ward MethodGDP per CapitaPPP, USDGDP Annual Growth Rate, Last,%GDP Annual Growth Rate, Previous, %Unemployment Rate, %Retirement Age Men, yearsRetirement Age Women, yearsCorporate Tax Rate, %Personal Income Tax Rate, %
1Mean51,87313.37−0.866.5964.8464.5422.7747.02
N2020202020202020
2Mean24,49812.38−0.0210.0463.2661.2815.5219.04
N2222222222222222
TotalMean37,53412.85−0.428.4064.0162.8318.9732.36
N4242424242424242
Ward MethodSales Tax Rate, %Interest Rate,%Inflation Rate, %Government Debt to GDP,%Current Account to GDP,%Saving Rate (National savings/GNDI), %Net External Debt, % of GDPTrade balance, % of GDP
1Mean21.080.022.5384.552.188.39−120.836.11
N2020202020202020
2Mean20.362.785.5151.61−2.754.6728.32−4.82
N2222222222222222
TotalMean20.701.464.0967.30−0.416.44−42.700.38
N4242424242424242
Table 3. Comparison of mean values of the variables for each cluster.
Table 3. Comparison of mean values of the variables for each cluster.
Ward MethodGDP per capita PPP, USDGDP Annual Growth Rate, Last,%GDP Annual Growth Rate, Previous,%Unemployment Rate, %Retirement Age Men, yearsRetirement Age Women, yearsCorporate Tax Rate, %Personal Income Tax Rate,%
1Mean47,32311.95−0.936.4862.5361.8224.0147.57
N77777777
2Mean37,41817.61−3.209.4166.2566.2523.0046.16
N66666666
3Mean56,3488.92−1.603.6466.1365.9322.3847.33
N55555555
4Mean99,97516.708.205.9565.5065.5018.7246.89
N22222222
5Mean30,64512.01−0.336.7364.3162.8816.2021.75
N1212121212121212
6Mean21,5919.761.016.4760.7557.7520.2521.00
N44444444
7Mean14,14314.88−0.0919.0662.8360.4411.0012.33
N66666666
TotalMean37,53412.85−0.428.4064.0162.8318.9732.36
N4242424242424242
Ward MethodSales Tax Rate, %Interest Rate, %Inflation Rate, %Government Debt to GDP, %Current Account to GDP, %Saving Rate (National Savings/GNDI), %Net External Debt, % of GDPTrade Balance, % of GDP
1Mean22.000.042.2570.012.0610.15−0.413.60
N77777777
2Mean21.830.022.67137.86−1.182.0276.25−0.71
N66666666
3Mean19.340.002.7257.865.3912.43−0.086.52
N55555555
4Mean20.000.002.6542.204.6611.27−1435.4534.34
N22222222
5Mean21.330.664.5256.73−0.506.9633.580.21
N1212121212121212
6Mean19.5010.6211.5638.850.186.0716.820.81
N44444444
7Mean19.001.783.4649.90−9.22−0.8225.48−18.63
N66666666
TotalMean20.701.464.0967.30−0.416.44−42.700.38
N4242424242424242
Table 4. Results of analysis of variance.
Table 4. Results of analysis of variance.
VariablesGroupsFSig.
GDP per capita PPP, USDBetween groups34.6900.000
GDP Annual Growth Rate, Last, %Between groups0.3590.553
GDP Annual Growth Rate, Previous, %Between groups0.6030.442
Unemployment Rate, %Between groups3.1120.085
Retirement Age Men, yearsBetween groups7.7000.008
Retirement Age Women, yearsBetween groups20.0260.000
Corporate Tax Rate, %Between groups24.0680.000
Personal Income Tax Rate, %Between groups129.2620.000
Sales Tax Rate, %Between groups0.5440.465
Interest Rate, %Between groups7.8330.008
Inflation Rate, %Between groups11.9770.001
Government Debt to GDP, %Between groups8.3540.006
Current Account to GDP, %Between groups7.4860.009
Saving Rate (National savings/GNDI), %Between groups4.8780.033
Net External Debt, % of GDPBetween groups1.3680.249
Trade Balance, % of GDPBetween groups10.8040.002
Table 5. Model summary.
Table 5. Model summary.
ModelRR-SquaredAdjusted R-SquaredStd. Estimation ErrorDurbin–Watson
Regression0.9550.9130.8627538.9182.208
Table 6. Analysis of variance.
Table 6. Analysis of variance.
ModelFSig.
Regression18.0930.000
Table 7. Regression analysis results.
Table 7. Regression analysis results.
ModelUnstandardized CoefficientsStandardized Coefficients95% Confidence Interval for BCollinearity Statistics
BStd. Error BetaLower BoundUpper BoundToleranceVIF
1(Constant)4513.50453,881.836 −106,242.195115,269.203
GDP Annual Growth Rate, Last, %−281.245316.443−0.073−931.703369.2120.4992.003
GDP Annual Growth Rate, Previous, %474.083481.6200.082−515.9011464.0670.4892.044
Unemployment Rate, %−362.315244.204−0.116−864.284139.6530.5511.813
Retirement Age Men, years−302.1371077.518−0.030−2517.0061912.7320.3023.312
Retirement Age Women, years883.718860.5560.124−885.1802652.6170.2304.351
Corporate Tax Rate, %−728.029292.989−0.214−1330.277−125.7810.4522.214
Personal Income Tax Rate, %709.412130.5380.565441.087977.7360.3113.220
Sales Tax Rate, %−597.108447.288−0.093−1516.522322.3060.6991.430
Interest Rate, %−847.845917.313−0.144−2733.4091037.7190.1387.235
Inflation Rate, %315.173945.5900.049−1628.5142258.8600.1586.335
Government Debt to GDP, %−7.45056.905−0.015−124.421109.5200.2673.747
Current Account to GDP, %−652.652409.296−0.202−1493.972188.6670.2094.777
Saving Rate (National savings/GNDI), %959.131341.1220.269257.9441660.3180.3672.727
Net External Debt, % of GDP−17.9434.891−0.366−27.998−7.8880.3372.968
Trade Balance, % of GDP384.628297.1550.227−226.182995.4380.1099.151
Table 8. Adequacy measure and Bartlett test.
Table 8. Adequacy measure and Bartlett test.
Kaiser–Meyer–Olkin measure of selective adequacy.0.616
Bartlett’s criterion for sphericityApprox. chi-square347.970
degrees of freedom105
Sig.0.000
Table 9. Rotated Component Matrix.
Table 9. Rotated Component Matrix.
Component
123
Trade balance, % of GDP0.918
Current Account to GDP, %0.836
Saving Rate (National savings/GNDI), %0.769
Unemployment Rate, %−0.625
Corporate Tax Rate, %0.563
Net External Debt, % of GDP−0.460
Interest Rate, % 0.927
Inflation Rate, % 0.904
Retirement Age Women, years −0.659
Retirement Age Men, years −0.649
GDP Annual Growth Rate, Previous, % 0.438
Government Debt to GDP, % 0.793
GDP Annual Growth Rate, Last, % 0.616
Personal Income Tax Rate, % 0.615
Sales Tax Rate, % 0.448
Table 10. Rotated component matrix.
Table 10. Rotated component matrix.
VariablesFactor
1222
Trade Balance, % of GDP0.933
GDP per capita PPP, USD0.845
Current Account to GDP, %0.792
Saving Rate (National savings/GNDI), %0.757
Unemployment Rate, %−0.594
Personal Income Tax Rate, %0.582
Net External Debt, % of GDP−0.530
Corporate Tax Rate, %0.529
Retirement Age Women, years0.309
Retirement Age Men, years 0.772
Government Debt to GDP, % 0.748
Interest Rate, % −0.748
Inflation Rate, % −0.701
GDP Annual Growth Rate, Previous, % −0.390
Sales Tax Rate, % 0.341
GDP Annual Growth Rate, Last, % 0.290
Table 11. Connections among variables.
Table 11. Connections among variables.
Var1Var2Var3Out
1lowlowlowlow
2lowlowmediumlow
3lowlowhighmedium
4lowmediumlowlow
5lowmediummediummedium
6lowmediumhighlow
7lowhighlowvery low
8lowhighmediumlow
9lowhighhighlow
10mediumlowlowmedium
11mediumlowmediummedium
12mediumlowhighhigh
13mediummediumlowmedium
14mediummediummediummedium
15mediummediumhighhigh
16mediumhighlowmedium
17mediumhighmediummedium
18mediumhighhighmedium
19highlowlowhigh
20highlowmediumvery high
21highlowhighvery high
22highmediumlowhigh
23highmediummediumhigh
24highmediumhighvery high
25highhighlowmedium
26highhighmediumhigh
27highhighhighhigh
Table 12. Connections among variables in case of two independent variables.
Table 12. Connections among variables in case of two independent variables.
In1In2Out
1lowlowvery low
2lowmediumlow
3lowhighlow
4mediumlowmedium
5mediummediummedium
6mediumhighhigh
7highlowmedium
8highmediumhigh
9highhighvery high
Publisher’s Note: MDPI stays neutral with regard to jurisdictional claims in published maps and institutional affiliations.

Share and Cite

MDPI and ACS Style

Aliukov, S.; Buleca, J. Comparative Multidimensional Analysis of the Current State of European Economies Based on the Complex of Macroeconomic Indicators. Mathematics 2022, 10, 847. https://doi.org/10.3390/math10050847

AMA Style

Aliukov S, Buleca J. Comparative Multidimensional Analysis of the Current State of European Economies Based on the Complex of Macroeconomic Indicators. Mathematics. 2022; 10(5):847. https://doi.org/10.3390/math10050847

Chicago/Turabian Style

Aliukov, Sergei, and Jan Buleca. 2022. "Comparative Multidimensional Analysis of the Current State of European Economies Based on the Complex of Macroeconomic Indicators" Mathematics 10, no. 5: 847. https://doi.org/10.3390/math10050847

APA Style

Aliukov, S., & Buleca, J. (2022). Comparative Multidimensional Analysis of the Current State of European Economies Based on the Complex of Macroeconomic Indicators. Mathematics, 10(5), 847. https://doi.org/10.3390/math10050847

Note that from the first issue of 2016, this journal uses article numbers instead of page numbers. See further details here.

Article Metrics

Back to TopTop