Magnetic Geodesic in (Almost) Cosymplectic Lie Groups of Dimension 3
Abstract
:1. Introduction
2. Homogeneous Almost Cosymplectic 3-Manifolds
- a tensor field , such that , where I is the identity,
- a vector field ,
- a 1-form ,
- (1)
- either one of the product Riemannian symmetric spaceswhere and are the sphere of curvature and the hyperbolic plane of curvature , respectively,
- (2)
- or M is a Lie group equipped with a left invariant almost cosymplectic structure.
3. Magnetic Jacobi Fields
- A first example of a magnetic Jacobi field is velocity vector field of a magnetic geodesic (see, e.g., [11]).
4. Magnetic Geodesics in a 3-Dimensional Lie Group
4.1. Unimodular Case
4.1.1. Contact Magnetic Geodesics in
- the Heisenberg group when the Perrone invariant p vanishes;
- the universal covering of the group motions of Euclidean 2-space, when ;
- the group of rigid motions of Minkowski 2-space when .
- (i)
- ;
- (ii)
- and , ;
- (iii)
- and , .
- (i)
- either γ is an integral curve of ξ case when it is a geodesic,
- (ii)
- or γ is a helix with curvatures and ,
- (iii)
- or γ is a helix with curvatures and .
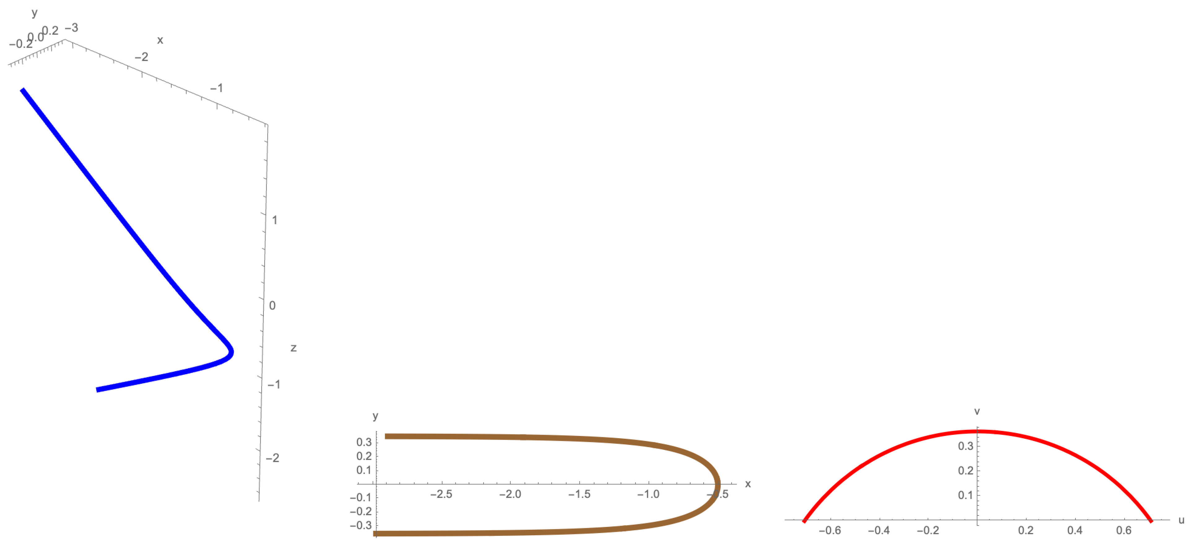
4.1.2. Contact Magnetic Geodesics in the Euclidean Motion Group
4.1.3. Magnetic Jacobi Fields on
4.2. Nonunimodular Case
4.2.1. Contact Magnetic Geodesics in
- (i)
- if , then , where ;
- (ii)
- if , then , where ;
- (iii)
- if , then where .
- (i)
- ;
- (ii)
- and , .
- (i)
- either γ is an integral curve of the ξ case when it is a geodesic;
- (ii)
- or γ is a helix with curvatures and .
- the metric: , where
- 1-form ;
- vector field .
4.2.2. Magnetic Jacobi Fields on
5. Conclusions
Funding
Institutional Review Board Statement
Informed Consent Statement
Acknowledgments
Conflicts of Interest
References
- Blair, D.E. The Theory of Quasi-Sasakian Structures. Ph.D. Thesis, University of Illinois, Champaign, IL, USA, 1966. [Google Scholar]
- Ogiue, K. G-structures defined by tensor fields. Kodai Math. Sem. Rep. 1968, 20, 54–75. [Google Scholar] [CrossRef]
- Blair, D.E. The theory of quasi-Sasakian structure. J. Differ. Geom. 1967, 1, 331–345. [Google Scholar] [CrossRef]
- Perrone, D. Classification of homogeneous almost cosymplectic three-maifolds. Diff. Geom. Appl. 2012, 30, 49–58. [Google Scholar] [CrossRef] [Green Version]
- Munteanu, M.I.; Nistor, A.I. The classification of Killing magnetic curves in . J. Geom. Phys. 2012, 62, 170–182. [Google Scholar] [CrossRef]
- Nistor, A.I. Motion of charged particles in a Killing magnetic field in . Rend. Sem. Mat. Univ. Politec. Torino 2015, 73, 161–170. [Google Scholar]
- Druţă-Romaniuc, S.L.; Inoguchi, J.; Munteanu, M.I.; Nistor, A.I. Magnetic curves in cosymplectic manifolds. Rep. Math. Phys. 2016, 78, 33–48. [Google Scholar] [CrossRef]
- Munteanu, M.I.; Nistor, A.I. Magnetic Jacobi fields in 3-dimensional cosymplectic manifolds. Mathematics 2021, 9, 3220. [Google Scholar] [CrossRef]
- Adachi, T. A comparison theorem on magnetic Jacobi fields. Proc. Edinb. Math. Soc. 1997, 40, 293–308. [Google Scholar] [CrossRef] [Green Version]
- Gouda, N. The theorem of E. Hopf under uniform magnetic fields. J. Math. Soc. Jpn. 1998, 50, 767–779. [Google Scholar] [CrossRef]
- Gouda, N. Magnetic flows of Anosov type. Tohoku Math. J. 1997, 49, 165–183. [Google Scholar] [CrossRef]
- Adachi, T. Magnetic Jacobi fields for Kähler magnetic fields. In Recent Progress in Differential Geometry and Its Related Fields; Adachi, T., Hashimoto, H., Hristov, M., Eds.; World Scientific: Singapore, 2011; pp. 41–53. [Google Scholar]
- Shi, O. Magnetic Jacobi fields for surface magnetic fields. In Current Developments in Differential Geometry and Its Related Fields; Adachi, T., Hashimoto, H., Hristov, M., Eds.; World Scientific: Singapore, 2016; pp. 215–224. [Google Scholar]
- Inoguchi, J.; Munteanu, M.I. Magnetic Jacobi fields in 3-dimnesional Sasakian space forms. J. Geom. Anal. 2022, 32, 1–26. [Google Scholar] [CrossRef]
- Inoguchi, J.; Munteanu, M.I. Magnetic Jacobi fields in Sasakian space forms. submitted.
- Milnor, J. Curvature of left invariant metrics on Lie groups. Adv. Math. 1976, 21, 293–329. [Google Scholar] [CrossRef] [Green Version]
- Olszak, Z. On almost cosymplectic manifold. Kodai Math. J. 1981, 4, 239–250. [Google Scholar] [CrossRef]
- Inoguchi, J. Characteristic Jacobi operator an almost cosymplectic 3-manifolds. Internat. Electron. J. Geom. 2019, 12, 276–299. [Google Scholar] [CrossRef]
- Inoguchi, J.; Lee, J.E. Slant curves in 3-dimensional almost contact metric geometry. Internat. Electron. J. Geom. 2015, 8, 106–146. [Google Scholar] [CrossRef] [Green Version]
- Erjavec, Z.; Inoguchi, J. On Magnetic Curves in Almost Cosymplectic Sol Space. Results Math. 2020, 75, 1–16. [Google Scholar] [CrossRef]
- Inoguchi, J.; Van der Veken, J. Parallel surfaces in the motion groups E(1, 1) and E(2). Bull. Belg. Math. Soc. Simon Stevin 2007, 14, 321–332. [Google Scholar] [CrossRef]
- Druţă-Romaniuc, S.L.; Munteanu, M.I. Magnetic curves corresponding to Killing magnetic fields in E3. J. Math. Phys. 2011, 52, 113506. [Google Scholar] [CrossRef] [Green Version]
- Meeks, W.H., III; Mira, P.; Pérez, J. The geometry of stable minimal surfaces in metric Lie groups. Trans. Amer. Math. Soc. 2019, 372, 1023–1056. [Google Scholar] [CrossRef]
- Inoguchi, J.; Naitoh, H. Grassmann geometry on the 3-dimensional non-unimodular Lie groups. Hokkaido Math. J. 2019, 48, 385–406. [Google Scholar] [CrossRef]
- Turhan, T. Magnetic trajectories in three-dimensional Lie groups. Math. Meth. Appl. Sci. 2020, 43, 2747–2758. [Google Scholar] [CrossRef]
- do Espírito-Santo, N.; Fornari, S.; Frensel, K.; Ripoll, J. Constant mean curvature hypersurfaces in a Lie group with a bi-invariant metric. Manuscripta Math. 2003, 111, 459–470. [Google Scholar] [CrossRef]
- Inoguchi, J.; Munteanu, M.I. Periodic magnetic curves in Berger spheres. Tohoku Math. J. 2017, 69, 113–128. [Google Scholar] [CrossRef]
- Inoguchi, J.; Munteanu, M.I. Magnetic curves on tangent sphere bundles. RACSAM 2019, 113, 2087–2112. [Google Scholar] [CrossRef]
- Munteanu, M.I.; Nistor, A.I. On some closed magnetic curves on a 3-torus. Math. Phys. Anal. Geom. 2017, 20, 1–13. [Google Scholar] [CrossRef]
- Barros, M.; Cabrerizo, J.L.; Fernández, M.; Romero, A. Magnetic vortex filament flows. J. Math. Phys. 2007, 48, 082904. [Google Scholar] [CrossRef]
- Barros, M.; Romero, A.; Cabrerizo, J.L.; Fernández, M. The Gauss-Landau-Hall problem on Riemannian surfaces. J. Math. Phys. 2005, 46, 112905. [Google Scholar] [CrossRef] [Green Version]
- Barros, M.; Romero, A. Magnetic vortices. EPL 2007, 77, 34002. [Google Scholar] [CrossRef]
- Erjavec, Z. On Killing magnetic curves in SL(2, R) geometry. Rep. Math. Phys. 2019, 84, 333–350. [Google Scholar] [CrossRef]
- Ginzburg, V.L. A charge in a magnetic field: Arnold’s problems 1981–9, 1982–24, 1984–4, 1994–14, 1994–35, 1996–17, 1996–18. In Arnold’s Problems; Arnold, V.I., Ed.; Springer: Berlin/Heidelberg, Germany, 2004; pp. 395–401. [Google Scholar]
- Munteanu, M.I. Magnetic curves in a Euclidean space: One example, several approaches. Publ. l’Institut Math. (Beograd) 2013, 94, 141–150. [Google Scholar] [CrossRef]
- Sunada, T. Magnetic flows on a Riemann surface. In Proceedings of the KAIST Mathematics Workshop: Analysis and Geometry, KAIST, Taejeon, Korea, 3–6 August 1993. [Google Scholar]





Publisher’s Note: MDPI stays neutral with regard to jurisdictional claims in published maps and institutional affiliations. |
© 2022 by the author. Licensee MDPI, Basel, Switzerland. This article is an open access article distributed under the terms and conditions of the Creative Commons Attribution (CC BY) license (https://creativecommons.org/licenses/by/4.0/).
Share and Cite
Munteanu, M.I. Magnetic Geodesic in (Almost) Cosymplectic Lie Groups of Dimension 3. Mathematics 2022, 10, 544. https://doi.org/10.3390/math10040544
Munteanu MI. Magnetic Geodesic in (Almost) Cosymplectic Lie Groups of Dimension 3. Mathematics. 2022; 10(4):544. https://doi.org/10.3390/math10040544
Chicago/Turabian StyleMunteanu, Marian Ioan. 2022. "Magnetic Geodesic in (Almost) Cosymplectic Lie Groups of Dimension 3" Mathematics 10, no. 4: 544. https://doi.org/10.3390/math10040544
APA StyleMunteanu, M. I. (2022). Magnetic Geodesic in (Almost) Cosymplectic Lie Groups of Dimension 3. Mathematics, 10(4), 544. https://doi.org/10.3390/math10040544
